- Article
Performance Evaluation of the Ultrasonic Humidification Process for HDH Desalination Applications
- Aurora C. Duran,
- Keny Parisheck and
- Mostafa H. Sharqawy
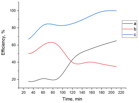
Water scarcity remains a critical global challenge, driving the need for efficient small-scale desalination technologies. This study presents experimental research on the performance evaluation of an innovative ultrasonic humidifier designed for the...

