Abstract
Shale gas pressure post-production accompanies the entire production process. The depth of the tubing is crucial for the entire life cycle of production, especially influencing the production dynamics in the middle and later stages of downward-inclined Wells. The full dynamic multiphase flow simulation method is adopted, combined with wellbore structure, fluid composition (gas), gas layer temperature and pressure gradient, production dynamic data, etc., to establish the wellbore structure model of the gas well, simulate the production dynamics under different formation pressures and tubing depths, and determine a reasonable tubing depth. Considering the material balance of the constant-volume gas reservoir and the critical formation pressure of the gas well’s self-injection, the cumulative gas production of the gas well at different tubing depths was analyzed. Taking 11210-1-well as an example, it was believed that when the tubing depth reached 4000 m, the self-injection production time could be extended by 206 days, and the cumulative gas production increased by 5.1 × 106 m3, compared with the tubing depth of 2983 m. The gas production is increased by approximately 12.2 × 106 cubic meters when the tubing depth is 2000 m. The research conclusion can provide theoretical guidance for the optimization of tubing depth during the drainage and production process of shale gas downward-inclined horizontal Wells.
1. Introduction
Shale gas is an important component of unconventional oil and gas resources in China. Thanks to the gradual maturation of horizontal well staged fracturing technology, it has also become a major growth point for natural gas in China. At present, the output of shale gas in China mainly comes from the middle and shallow layers. In the early stage of production, due to the sufficient formation pressure, the casing method is often adopted for production [1]. As the bottom-hole flow pressure drops rapidly, the liquid-carrying capacity of the casing decreases. Timely lowering of the tubing can effectively extend the liquid-carrying production time of the gas well by self-injection. The stable production period is crucial for increasing the output of shale gas [2]. The length of the stable production period of shale gas depends on the liquid accumulation in the gas well after compression, and the drainage and production measures have been taken. In particular, the depth of the oil pipe has a significant impact on the self-injection drainage and production effect of the gas well [3].
Scholars have conducted research on various aspects of shale gas reservoirs, including drainage and gas recovery, wellbore fluid accumulation, capacity forecast, etc. Na et al. analyzed the water production patterns and production capacity details of shallow gas fields, as well as the diagnostic mode of wellbore fluid accumulation, proposed a practical application mode and strategy for drainage and gas recovery technology, and provided a reasonable reference for the optimized implementation of related work [4]. Wang et al. analyzed the inflow and outflow dynamic curves of horizontal Wells, determined the influence of tubing depth on the stable production of gas Wells, and concluded that production and drainage were most stable when the tubing reached the end of the horizontal well [5]. Zheng et al., using the gas–liquid-carrying test, analyzed the gas–liquid-carrying mechanism of the entire wellbore of horizontal Wells and established a calculation model for critical liquid-carrying flow [6]. Sreenivasan et al. conducted node analysis using the lift injection volume and wellhead pressure under different reservoir-pressure and water-content conditions to optimize the production of gas-lift Wells [7]. Xu Yingying et al. established a constant-pressure semi-analytical productivity prediction model for shale gas Wells and verified it using actual production data [8]. Igbal et al. developed a reservoir model, combining the unique flow and storage characteristics of coalbed methane reservoirs, described other production facilities including artificial lifting, wellhead separation, collection systems, compression, gas and water treatment, and used reservoir simulation to diagnose the reasons for reduced production efficiency of oil Wells [9]. Yang et al. developed a density-based production data analysis method for reserve estimation and output prediction in gas–water two-phase flow scenarios and verified the proposed model through fine-grid numerical simulation of the control input parameters. The validity of the formula was verified through the field example of the Sulige tight gas reservoir [10]. Cao Lei et al. established horizontal wellbore and vertical wellbore models based on the transient flow mathematical model and the unified two-phase flow pattern, as well as phase equilibrium and mechanical analysis, and established them by using the multiphase flow-transient simulation software OLGA (2022.1.0) [11]. Wu Kunyi et al. proposed an innovative multi-functional compressor process integrating pressurization and gas lift. Through modular integrated design, they achieved the multi-mode intelligent switching function of “pressurization—gas lift → pressurization—gas lift coordination”, which improved the development efficiency of shale gas Wells [12]. Yu Shuxin et al. established a numerical model of the flowback period by considering the three-phase flow of oil, gas and water and the orthogonal fracture network. They conducted in-depth research on the performance characteristics and the influencing factors of flowback, and reasonably optimized the flowback mode of horizontal Wells in shale oil [13].
Scholars’ research on shale gas Wells has mostly focused on establishing production-capacity prediction models or on production and drainage effects. There are relatively few studies on the production effect of shale gas Wells based on tubing depth, and even fewer involving the influence of the tubing depth on the self-injection production time and cumulative gas production of gas Wells. In addition, downward-inclined horizontal Wells are more prone to fluid accumulation during drainage, and this issue is in urgent need of corresponding research. This study conducted a numerical simulation using the fully dynamic multiphase flow simulation software OLGA, aiming to deepen the understanding of gas–liquid two-phase flow laws in the wellbore. It evaluated the production and drainage effects of shale gas pipelines with the goal of providing a basis for decision-making related to the post-pressure production management and drainage technology of shale reservoirs.
2. Simulate Basic Data Extraction
2.1. Well Structure
Based on the wellbore trajectory data of Well 11210-1 of Zhejiang Oilfield Company of China National Petroleum Corporation (located in Zijinba Block, Weixin County, Zhaotong, China), the wellbore trajectory simulation diagram of the gas well was established in OLGA (2022.1.0), a numerical simulation software (Figure 1). The gas well has a measured depth of 4600 m, a vertical depth of 2670.4 m, and an entry vertical depth of 2379 m to the target point. Currently, a two inches three tubing pipe has reached a measured depth of 2983 m, with an exit vertical depth of 2644 m from the target point (measured depth 4600 m). The production layer thickness is 65 m, making it a typical downward-inclined horizontal well.
Figure 1.
The 11210-1 Well path.
2.2. Original Formation Pressure and Well Fluid
The current formation pressure of this gas well is 20 MPa. The controlled geological reserves of this well are 1.27 × 108 m3. The composition of the fluid components in this well is based on the detection results of this platform. The methane content in the natural gas of this well is as high as 98.9%. The specific composition of the fluid components is shown in Table 1.
Table 1.
Fluid components.
2.3. Production Equation
Based on the production data of this well from 2021 to 2023 (Figure 2), as of 27 February 2024, when the well was in stable production, the corresponding oil pressure was approximately 2 MPa, the casing pressure was about 1.7 MPa, and the gas production was approximately 25,000 m3/d. A binomial regression was adopted to obtain the IPR curve of the entire horizontal section of the well (Figure 3), and the corresponding productivity equation is
In the formula, and are, respectively, the formation pressure and the bottom-hole flow pressure in MPa; is the daily gas production capacity of 104 cubic meters.
Figure 2.
The 11210-1 Well–production curve. (a) Gas production variation curve. (b) Water production variation curve. (c) Oil pressure variation curve. (d) Casing pressure variation curve.
Figure 2.
The 11210-1 Well–production curve. (a) Gas production variation curve. (b) Water production variation curve. (c) Oil pressure variation curve. (d) Casing pressure variation curve.

Figure 3.
The 11210-1 Well IPR curve.
Figure 3.
The 11210-1 Well IPR curve.

3. Simulation Analysis and Discussion
The fundamental principle of OLGA lies in conducting fully implicit and fully dynamic numerical simulations of multiphase flow systems by solving the three major conservation equations of mass, momentum, and energy, and combining these with advanced flow pattern transformation mechanisms. Its advantage lies in its ability to accurately reproduce and predict complex transient flow phenomena, and flow guarantee risks in oil and gas production systems, thereby providing indispensable technical support for the safe, efficient, and economic development and production of oil and gas fields. In this study, the gas-lift model in OLGA software (2022.1.0) was selected to simulate the flow behavior of gas and liquid phases in pipelines. This model can simulate the real effect of gas Wells by adjusting data such as the penetration depth of the tubing, the formation pressure, and the valve-opening degree.
The mass-conservation equation of gas–liquid two-phase flow is shown in Equation (2); the energy-conservation equation of gas–liquid two-phase mixing is shown in Equation (3). The meanings of each variable appearing in the formulae are shown in Table 2.
Table 2.
Meaning of each alphabet.
3.1. Simulation of the Depth of the Tubing Under Different Formation Pressures
The OLGA software was used to simulate the dynamic effects of different oil pipe depths (1500 m, 2000 m, 2500 m, 2983 m, 3500 m, 4000 m) on gas production when the formation pressure dropped to 10 MPa, 8 MPa, and 6 MPa, respectively.
3.1.1. The Formation Pressure Dropped to 10 MPa
The results of the simulation of the self-injection gas production when the subsurface pressure is 10 MPa, corresponding to different pipe depths, are shown in Figure 4. From the curve changes in Figure 4, it can be known that when the reasonable pipe depth is 4000 m, the self-injection gas production is at its maximum. By analyzing the dynamic changes in self-injection gas production when the oil pipe is lowered to the depths of 2000 m, 2983 m, and 4000 m (Figure 5), it can be seen that the deeper the oil pipe is lowered, the more stable the production, and the gas production is relatively higher. The main reasons can be summarized as follows: (1) When the oil pipe depth is relatively shallow, liquid accumulates at the bottom of the wellbore, causing pressure fluctuations; (2) when the oil pipe depth is relatively deep, the accumulated liquid at the bottom of the wellbore is discharged, and the bottom-well flow pressure decreases, thereby increasing the gas production. Further analysis of the simulation results of the wellbore pressure gradient corresponding to the pipe depths of 2000 m, 2983 m, and 4000 m (Figure 6) reveals the following: (1) as the pipe depth increases, the pressure in the production layer section decreases; (2) as the depth of the tubing increases, the pressure gradient decreases and the wellbore gradient line shifts to the left. When the tubing is relatively shallow, there is fluid accumulation in the wellbore which increases the “bottom hole pressure”.
Figure 4.
The relationship between the depth of tubing and gas production (pr = 10 MPa).
Figure 5.
Dynamic simulation of gas production (pr = 10 MPa). (a) Tubing depth 2000 m. (b) Tubing depth 2983 m. (c) Tubing depth 4000 m.
Figure 6.
Wellbore pressure gradient (pr = 10 MPa). (a) Tubing depth of 2000 m. (b) Tubing depth of 2983 m. (c) Tubing depth of 4000 m.
3.1.2. The Formation Pressure Dropped to 8 MPa
The results of the simulation of the self-injection gas production when the subsurface pressure is 8 MPa, corresponding to different pipe depths, are shown in Figure 7.
Figure 7.
The relationship between the depth of tubing and gas production (pr = 8 MPa).
From the curve changes in Figure 7, it can be known that when the reasonable pipe depth is 4000 m, the self-injection gas production is at its maximum. By analyzing the dynamic changes in self-injection gas production when the oil pipe is lowered to depths of 2000 m, 2983 m, and 4000 m (Figure 8), it can be seen that the deeper the oil pipe is lowered, the more stable the production, and the gas production is relatively higher. The main reason is similar to that when the formation pressure drops to 10 MPa. Further analysis of the simulation results of wellbore pressure gradients at depths of 2000 m, 2983 m, and 4000 m (Figure 9) shows that they are similar to those obtained when the formation pressure drops to 10 MPa.
Figure 8.
Dynamic simulation of gas production (pr = 8 MPa). (a) Tubing depth of 2000 m, (b) tubing depth of 2983 m, (c) tubing depth of 4000 m.
Figure 9.
Wellbore pressure gradient (pr = 8 MPa). (a) Tubing depth of 2000 m, (b) tubing depth of 2983 m, (c) tubing depth of 4000 m.
3.1.3. The Formation Pressure Dropped to 6 MPa
From the curve changes in Figure 10, it can be seen that under different pipe depth conditions, gas Wells cannot maintain production and will eventually be shut down due to liquid accumulation.
Figure 10.
The relationship between the depth of tubing and gas production (pr = 6 MPa).
The results of the simulation of the self-injection gas production when the subsurface pressure is 6 MPa, corresponding to different pipe depths, are shown in Figure 10. From the curve changes in Figure 10, it can be seen that under different pipe depth conditions, gas Wells cannot maintain production and will eventually be shut down due to liquid accumulation.
From the simulation results of the dynamic changes in self-injection gas production (Figure 11), it can be seen that it reflects the rate of gas production attenuation (or the rate of change in the height of the accumulated fluid at the bottom of the well). Due to the small cross-sectional area of the oil pipe, the deeper the oil pipe, the longer the length of the liquid accumulation in the oil pipe, and the faster the output decline. However, the cross-sectional area of the casing is large, and the liquid accumulation in the casing is relatively short. On the other hand, when the fluid flows through the casing, the gas flow rate is low, and it is more difficult to carry the liquid. Therefore, when the depth of the tubing is relatively shallow, the attenuation rate first slows down and then increases. After the accumulation of liquid, a scissor difference occurs in the oil jacket pressure at the wellhead (Figure 12). (During the production process of gas Wells, as the production time extends, the formation energy decreases. When the existing gas volume is insufficient to carry all of the produced liquid out from the formation, the wellbore begins to accumulate liquid. Due to the compression of the gas in the casing, the casing pressure will increase. When the liquid column in the gas well increases, the pressure gradient in the tubing increases rapidly, and the oil pressure decreases. The phenomenon where there is a huge gap between the pressure of the tubing and that of the casing at this time is called a “scissor difference”. This method is called the production dynamic method and is often used to determine whether there is fluid accumulation at the bottom of the well).
Figure 11.
Dynamic simulation of gas production (pr = 6 MPa). (a) Tubing depth 2000 m. (b) Tubing depth 2983 m. (c) Tubing depth 4000 m.
Figure 12.
Pressure difference in the oil jacket under different tubing depths (pr = 6 MPa).
3.2. Analysis of the Causes of Gas Production Decline
According to the above research, it can be known that when the geothermal pressure deteriorates to a certain fixed value: the deeper the tubing is lowered, the greater the gas production; the shallower the tubing is lowered, the lesser the gas production.
In order to analyze the specific reasons for the fluctuation of gas production with the depth of the tubing, a resistance simulation of the gas well was conducted. We set the depth of the oil pipe to 2983 m (the current depth of the oil pipe) or 4000 m (at the bottom of the well). We set a pressure observation point, A in the upper boundary of the production layer, and the pressure at point A is the residual pressure of the fluid flowing from the ground layer to point A (Figure 13). The greater the pressure at point A, the smaller the resistance along the way; conversely, the smaller the pressure at point A, the greater the resistance along the way (resistance includes the seepage resistance of the fluid in the formation).
Figure 13.
Schematic diagram of resistance simulation.
Under the same gas production, when the oil pipe depth is 4000 m and the residual pressure at point A is greater than 2983 m, it indicates that the oil pipe depth is large and the resistance along the way is small. At the same time, under the same pressure conditions at point A, the deeper the oil pipe is lowered, the greater the gas production will be. When the gas layer does not produce liquid, the depth of the oil pipe is large, and conversely, the gas production is small. By comparison, it can be found that the formation of liquid affects the resistance along the way.
The energy loss of the fluid in the wellbore is mainly due to gravity loss, which is related to the trajectory of the downward-inclined wellbore. When the oil pipe is buried at a depth of 2983 m, liquid accumulates in the casing below the pipe shoe, resulting in a gravity loss greater than that at a depth of 4000 m. This is the fundamental cause of the reduction in gas production.
3.3. Analysis and Verification of the Cumulative Production Effect of Self-Spraying
To analyze the influence of the depth of the tubing on the cumulative gas production and the duration of self-injection, it is first necessary to determine the ultimate formation pressure corresponding to self-injection production (also known as the critical formation pressure for self-injection), and then determine the cumulative gas production by self-injection using the material balance equation of the constant-volume gas reservoir. Finally, the duration of self-injection is determined in combination with the attenuation law of formation pressure. The material balance equation of a constant-volume gas reservoir is expressed as
In the formula, represents the original formation pressure in MPa; and are, respectively, the original geological reserves and the cumulative gas production volume; and are, respectively, the gas compression factor under the original formation conditions and the gas compression factor under the critical spontaneous injection formation pressure. According to the composition of the gas components, the gas compression factor was calculated using the DAK11 parameter method. The variation curve of the gas compression factor is shown in Figure 14.
Figure 14.
Gas compression factor change curve.
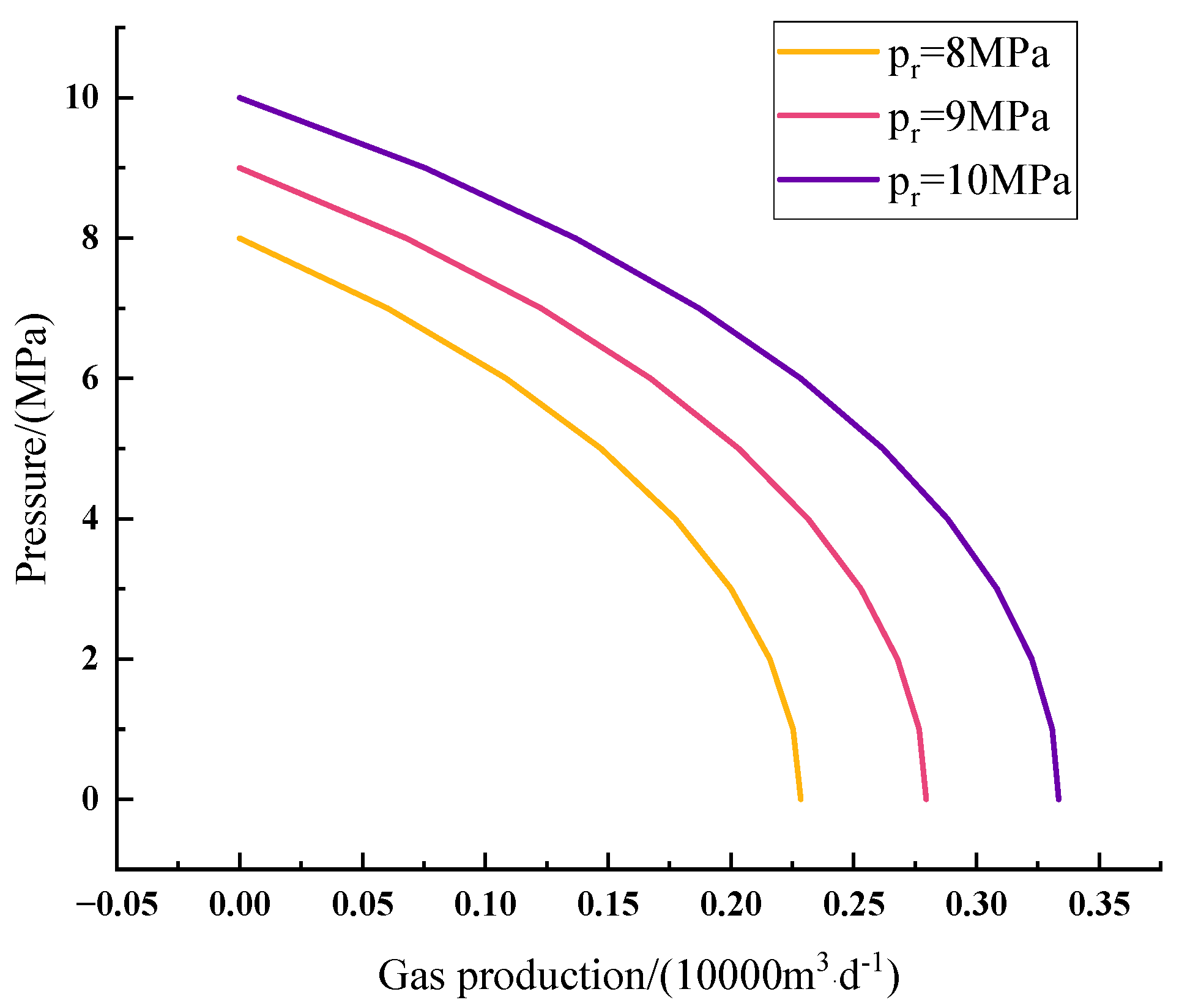
The original formation pressure of this well was 20 MPa, and the controlled geological reserves were 1.27 × 108 m3. By substituting them into the material balance equation of the constant-volume gas reservoir, the relationship between the cumulative gas production and the formation pressure was obtained (Figure 15).
Figure 15.
Relationship between cumulative gas production and formation pressure.
As production proceeds, the formation pressure gradually decreases. When the formation pressure drops to the critical self-injection formation pressure, if the formation pressure further decreases, it becomes impossible to maintain the self-injection production of the gas well. Since the depth of the tubing can affect the fluid flow state and wellbore pressure distribution, the critical self-ejection formation pressure corresponding to different tubing depths is also different. Based on a comprehensive analysis of the reasonable simulation results of the tubing depth (Figure 16), the critical self-ejection formation pressures corresponding to the tubing depths of 2000 m, 2983 m, and 4000 m are 8.6 MPa, 7.5 MPa, and 6.7 MPa, respectively. The calculation results of cumulative gas production under the critical spontaneous injection formation pressure at different tubing depths are shown in Table 3. According to the data in Table 4, when the tubing depth is 4000 m and the formation pressure drops to the critical spontaneous injection formation pressure, the cumulative gas production is 85.53 × 106 m3, which is approximately 5.1 × 106 m3 higher than that obtained with a tubing depth of 2983 m; the gas production increased by approximately 12.2 × 106 m3 compared to a depth of 2000 m below the oil pipe. When the oil pipe was lowered to a depth of 4000 m, the self-injection production time was extended by 206 days.
Figure 16.
Analysis of deep gas production under different tubing depths. (a) Tubing depth of 4000 m. (b) Tubing depth of 2983 m. (c) Tubing depth of 2000 m.
Table 3.
Gas production at different formation pressures.
Table 4.
Cumulative gas production at different tubing depths.
From the above, it can be seen that the production-increase effect of the tubing depth is mainly reflected in the extension of the natural-injection production time of the gas well and the increase in the cumulative gas production of the gas well. It is believed that the optimized tubing depth of this well is 4000 m. Based on field tests and numerical simulations, after adjusting the tubing depth of this well from 2983 m to 4000 m, the comprehensive decline rate of production was 28.81%, which was 5.21% lower than the predicted comprehensive decline rate. The gas production data under different critical self-ejection formation pressures are shown in Table 3. The comprehensive decline rate comparison table and the gas production change table are, respectively, shown in Table 4 and Table 5. The comparison of output before and after the experiment is shown in Table 6.
Table 5.
Comprehensive decline rate comparison.
Table 6.
Yield comparison before and after the test.
4. Conclusions and Discussion
- (1)
- The wellbore structure model of Well 11210-1 was established through OLGA, and the productivity equation of this down-inclined well was determined.
- (2)
- The influence of the tubing depth on the production dynamics of this well under different formation pressures was simulated. When the formation pressure dropped to 10 MPa and 8 MPa, the tubing depth corresponding to the optimal self-injection gas production was 4000 m. When the formation pressure dropped to 6 MPa, self-injection production could not be achieved.
- (3)
- Based on the material balance equation of the constant-volume gas reservoir and the attenuation law of formation pressure during spontaneous injection production, it is believed that the critical formation pressure corresponding to spontaneous injection at a depth of 4000 m under the tubing is the smallest, which is 6.7 MPa. At this time, the cumulative gas production is 85.53 × 106 m3, which is approximately 5.1 × 106 m3 higher than that at a depth of 2983 m under the tubing. Compared with the tubing depth of 2000 m, the gas production increased by approximately 12.2 × 106 m3. When the tubing depth reached 4000 m, the self-injection production time was extended by 206 days. The optimized tubing depth for this well is 4000 m.
- (4)
- Based on field tests and numerical simulations, after adjusting the tubing depth of this well from 2983 m to 4000 m, the comprehensive decline rate of production was 28.81%, which was 5.21% lower than the predicted comprehensive decline rate.
- (5)
- This study only considered the self-ejection limits at different tubing depths of one gas well and did not analyze the self-ejection limits at different tubing depths of other deep gas Wells. By comparing them with the existing typical well understanding, more gas Wells will be studied in the future to draw deeper conclusions.
- (6)
- The current research trajectory of this paper focuses on the gas and liquid production of gas Wells with a limited understanding of the patterns of temperature- and pressure-drop changes. It does not take into account the influence of various factors in the production process of multi-gas Wells. In the future, it will be necessary to continue to conduct in-depth research and comprehensive analyses on the impact of other factors on the production effect of gas Wells and to compare and analyze them with the current research conclusions to draw more guiding conclusions.
Author Contributions
Conceptualization, J.Y.; Methodology, J.Y., L.Z., G.J. and Z.L.; Software, J.Y., L.Z., G.J., J.L. and Z.L.; Investigation, J.Y.; Resources, Z.L.; Writing – original draft, J.Y., L.Z., G.J., J.L. and Z.L.; Writing – review & editing, J.Y., L.Z., G.J. and J.L.; Visualization, J.L.; Supervision, J.Y., G.J., J.L. and Z.L.; Project administration, G.J., J.L. and Z.L. All authors have read and agreed to the published version of the manuscript.
Funding
This research received no external funding.
Data Availability Statement
The data that support the findings of this study are available on request from the corresponding author upon reasonable request.
Acknowledgments
This study was supported by the Junliang Li, School of Petroleum Engineering, Yangtze University.
Conflicts of Interest
Author Jingjia Yang was employed by the company PetroChina Zhejiang Oilfield Company. The remaining authors declare that the research was conducted in the absence of any commercial or financial relationships that could be construed as a potential conflict of interest.
References
- Wu, J.; Tan, J.; Xu, J.; Li, L.; Beroza, G.C.; Mumford, K.G.; Van De Ven, C.; Chen, B.; Elsworth, D. Challenges to sustainable large-scale shale gas development in China. Proc. Natl. Acad. Sci. USA 2025, 122, e2415192122. [Google Scholar] [CrossRef] [PubMed]
- Guo, X.; Wang, R.; Shen, B.; Wang, G.; Wan, C.; Wang, Q. Geological characteristics, resource potential, and development direction of shale gas in China. Pet. Explor. Dev. Online 2025, 52, 17–32. [Google Scholar] [CrossRef]
- Li, H. Coordinated development of shale gas benefit exploitation and ecological environmental conservation in China: A mini review. Front. Ecol. Evol. 2023, 11, 1232395. [Google Scholar] [CrossRef]
- Lv, N. Application Strategy of Drainage Gas Production Technology in Shallow Gas Fields. E3S Web Conf. 2023, 375, 01015. [Google Scholar] [CrossRef]
- Wang, X.; Ma, W.; Luo, W.; Liao, R. Drainage research of different tubing depth in the horizontal gas well based on laboratory experimental investigation and a new liquid-carrying model. Energies 2023, 16, 2165. [Google Scholar] [CrossRef]
- Zheng, J.; Li, J.; Dou, Y.; Zhang, Y.; Yang, X.; Zhang, Y. Research progress on the calculation model of critical liquid carrying flow of gas well. Energy Sci. Eng. 2023, 11, 4774–4786. [Google Scholar] [CrossRef]
- Sreenivasan, H.; Patel, J.; Jain, D.; Patel, S.; Wilson, I.; Krishna, S. Optimization of gas lift system for well performance improvement in Asmari formation: A techno-economic perspective. Pet. Res. 2024, 9, 115–124. [Google Scholar] [CrossRef]
- Xu, Y.; Liu, X.; Hu, Z.; Shao, N.; Duan, X.; Chang, J. Production effect evaluation of shale gas fractured horizontal well under variable production and variable pressure. J. Nat. Gas Sci. Eng. 2022, 97, 104344. [Google Scholar] [CrossRef]
- Iqbal, I.; Gupta, D.K. Reservoir Simulation to Diagnose the Causes of Reduced Well Production Efficiency in Coal Bed Methane. J. Earth Sci. Clim. Change 2015, 6, 1–8. [Google Scholar]
- Yang, S.; Zhang, M.; Ayala, F.L. A new practical method for reserve estimation and production forecast of gas wells exhibiting gas–water two-phase flow. J. Pet. Explor. Prod. Technol. 2025, 15, 77. [Google Scholar] [CrossRef]
- Cao, L.; Ji, G. Research on the Influence of Various Factors Inside the Wellbore on Liquid Holdup and Gas–Liquid Ratio. J. Energy Eng. 2025, 151, 04025016. [Google Scholar] [CrossRef]
- Wu, K.; Qu, L.; Zhou, J.; He, Y.; Wu, Y.; Zhou, Z.; Qin, C.; Chen, L.; Zhang, C. Design and Adaptability Analysis of Integrated Pressurization–Gas Lifting Multifunctional Compressor for Enhanced Shale Gas Production Flexibility. Processes 2025, 13, 1233. [Google Scholar] [CrossRef]
- Yu, S.; Wu, Y.; Cheng, X.; Li, B.; Niu, L.; Wang, R.; Jia, P.; Cheng, L. Investigation of Flowback Behavior for Multi-Fractured Horizontal Wells in Gulong Shale Oil Reservoir Based on Numerical Simulation. Energies 2025, 18, 2568. [Google Scholar] [CrossRef]
Disclaimer/Publisher’s Note: The statements, opinions and data contained in all publications are solely those of the individual author(s) and contributor(s) and not of MDPI and/or the editor(s). MDPI and/or the editor(s) disclaim responsibility for any injury to people or property resulting from any ideas, methods, instructions or products referred to in the content. |
© 2025 by the authors. Licensee MDPI, Basel, Switzerland. This article is an open access article distributed under the terms and conditions of the Creative Commons Attribution (CC BY) license (https://creativecommons.org/licenses/by/4.0/).













