Next Article in Journal
Bioconversion of Ferulic Acid to 4-Vinylguaiacol by Ferulic Acid Decarboxylase from Brucella intermedia TG 3.48
Previous Article in Journal
Preparation, Modification, and Application of Graphitic Carbon Nitride in Photocatalytic Degradation of Antibiotics
 
 
Font Type:
Arial Georgia Verdana
Font Size:
Aa Aa Aa
Line Spacing:
Column Width:
Background:
Article

Sensorless Control of Permanent Magnet Synchronous Motor in Low-Speed Range Based on Improved ESO Phase-Locked Loop

School of Electrical and Information Engineering, Beihua University, Jilin 132013, China
*
Author to whom correspondence should be addressed.
Processes 2025, 13(10), 3366; https://doi.org/10.3390/pr13103366
Submission received: 23 September 2025 / Revised: 11 October 2025 / Accepted: 15 October 2025 / Published: 21 October 2025

Abstract

Aiming at the speed chattering problem caused by high-frequency square wave injection in permanent magnet synchronous motors (PMSMs) during low-speed operation (200–500 r/min), this study intends to improve the rotor position estimation accuracy of sensorless control systems as well as the system’s ability to resist harmonic interference and sudden load changes. The goal is to enhance the control performance of traditional control schemes in this scenario and meet the requirement of stable low-speed operation of the motor. First, the study analyzes the harmonic error propagation mechanism of high-frequency square wave injection and finds that the traditional PI phase-locked loop (PI-PLL) is susceptible to high-order harmonic interference during demodulation, which in turn leads to position estimation errors and periodic speed fluctuations. Therefore, the extended state observer phase-locked loop (ESO-PLL) is adopted to replace the traditional PI-PLL. A third-order extended state observer (ESO) is used to uniformly regard the system’s unmodeled dynamics, external load disturbances, and harmonic interference as “total disturbances”, realizing real-time estimation and compensation of disturbances, and quickly suppressing the impacts of harmonic errors and sudden load changes. Meanwhile, a dynamic pole placement strategy for the speed loop is designed to adaptively adjust the controller’s damping ratio and bandwidth parameters according to the motor’s operating states (loaded/unloaded, steady-state/transient): large poles are used in the start-up phase to accelerate response, small poles are switched in the steady-state phase to reduce errors, and a smooth attenuation function is used in the transition phase to achieve stable parameter transition, balancing the system’s dynamic response and steady-state accuracy. In addition, high-frequency square wave voltage signals are injected into the dq axes of the rotating coordinate system, and effective rotor position information is extracted by combining signal demodulation with ESO-PLL to realize decoupling of high-frequency response currents. Verification through MATLAB/Simulink simulation experiments shows that the improved strategy exhibits significant advantages in the low-speed range of 200–300 r/min: in the scenario where the speed transitions from 200 r/min to 300 r/min with sudden load changes, the position estimation curve of ESO-PLL basically overlaps with the actual curve, while the PI-PLL shows obvious deviations; in the start-up and speed switching phases, dynamic pole placement enables the motor to respond quickly without overshoot and no obvious speed fluctuations, whereas the traditional fixed-pole PI control has problems of response lag or overshoot. In conclusion, the “ESO-PLL + dynamic pole placement” cooperative control strategy proposed in this study effectively solves the problems of harmonic interference and load disturbance caused by high-frequency square wave injection in the low-speed range and significantly improves the accuracy and robustness of PMSM sensorless control. This strategy requires no additional hardware cost and achieves performance improvement only through algorithm optimization. It can be directly applied to PMSM control systems that require stable low-speed operation, providing a reliable solution for the promotion of sensorless control technology in low-speed precision fields.

1. Introduction

Compared with permanent magnet synchronous motor (PMSM) control technologies that rely on physical encoder position sensors, the sensorless control technology for PMSMs estimates the rotor position and speed in real time through algorithms. This eliminates the need for expensive hardware such as encoders, which not only significantly reduces the system cost and volume but also improves mechanical reliability. It also avoids problems related to sensor installation alignment and potential faults of sensors in harsh environments such as high temperatures and vibrations, resulting in a more compact motor system structure and stronger robustness [1,2].
Due to the inherent harmonic characteristics of PMSMs and the coupling properties of nonlinear components in the system, square-wave voltage signals contain abundant high-order harmonics (especially odd-order harmonics). After these harmonic components enter the position observer through the high-frequency response current of the motor, the nonlinear demodulation characteristics of position extraction algorithms such as Phase-Locked Loops (PLL) or arctangent functions will cause multi-frequency harmonic errors in the rotor position estimation. When this position error is further processed by the speed observer (usually a low-pass filter), although its high-frequency components are attenuated, low-frequency harmonics (especially integer multiples of the fundamental frequency) cannot be completely filtered out due to the bandwidth limitation of the speed loop. Eventually, these low-frequency harmonics are demodulated into low-frequency periodic torque fluctuations, forcing the electromagnetic torque to oscillate accordingly, which manifests as obvious speed chattering on the mechanical shaft [3,4].
To address the speed chattering problem caused by high-order harmonics generated by high-frequency injection signals, Reference [5] combines a first-order Active Disturbance Rejection Controller (ADRC) in the speed loop with high-frequency square-wave injection, while Reference [6] proposes a high-frequency pulse voltage signal injection method based on enhanced Linear Active Disturbance Rejection Control (LADRC). Both methods establish cascaded extended state observers to ensure relatively timely and accurate estimation of total disturbances, which can effectively solve the speed chattering problem caused by high-frequency injections. Reference [7] adopts different pole placement strategies in the acceleration phase and steady-state phase; this dynamic pole placement ensures the system response speed while effectively reducing speed chattering. Based on the sensorless control with high-frequency square-wave injection, this paper proposes an improved control strategy: replacing the traditional PI-PLL with an Extended State Observer Phase-Locked Loop (ESO-PLL) to improve the accuracy of rotor position estimation and designing dynamic pole placement for the speed loop. Different pole configurations are used under loaded/unloaded and steady-state/unsteady-state conditions to enhance the robustness of the motor.
On the other hand, in sensorless control systems, position estimation errors are inevitable in environments with large load disturbances. When the error is large, it may lead to incorrect polarity judgment and thus result in speed regulation failure [8]. References [9,10] improve the estimation accuracy by modifying the high-frequency signal injection method. Reference [9] proposes an improved rotating injection method, which uses the injected negative sequence component as a compensation term to eliminate rotor position errors. However, there are still certain errors in rotor position estimation when the speed fluctuates significantly. Reference [10] presents an improved pulse injection method: it calculates the possible rotor position by injecting a series of phase-axis voltages, then injects two reciprocal voltage pulses to obtain the rotor polarity and finally injects iterative voltage vectors to quickly obtain the actual position. During the estimation process, no filter is required to extract high-frequency current signals. References [11,12,13] point out that there is a close connection between the pole placement of PMSMs and the load torque, which is mainly reflected in the control system design, dynamic response performance, and disturbance suppression capability.
By introducing a more advanced observer to replace the traditional PI regulator, the uncertainties in the rotor motion equation, such as position, speed, and changes in load torque, are uniformly regarded as total disturbances, which are then observed and compensated. This effectively suppresses the estimation delay and errors caused by dynamic speed changes or sudden load changes, enabling the system to track the actual rotor position signal more quickly and accurately [14,15]. Reference [16] proposes a high-order PLL for detecting the rotor convergence point, which not only reduces the position estimation error but also enables the motor to switch between forward and reverse rotation. Reference [17] presents an adaptive second-order sliding mode observer based on the Super-Twisting Algorithm (STA-SMO) for estimating the rotor position and speed of PMSMs. A new form of disturbance term is adopted, and an adaptive sliding mode coefficient related to the absolute value of the estimated speed is derived according to the stability conditions of the STA-SMO, ensuring performance over a wide range of positive and negative speeds. Compared with the traditional PI-PLL, it has higher position estimation accuracy.
Based on the sensorless control with high-frequency injections, this paper proposes a coordinated control strategy combining ESO-PLL and dynamic pole placement. Firstly, dynamic pole placement is designed for the speed loop to solve the harmonic interference and load disturbance problems of PMSMs in the low-speed range caused by high-frequency square-wave injection. Secondly, an extended state observer is used to uniformly model position errors, speed errors, and total disturbances, realizing high-precision observation and compensation of nonlinear dynamics.
Figure 1 corresponds to the research method of “Dynamic Pole Placement of the Speed Loop”, which is one of the core control links to solve the problems of speed chattering, harmonic interference, and load disturbance caused by high-frequency square wave injection in the low-speed range (200–500 r/min) of permanent magnet synchronous motors (PMSMs). The logical framework of this method is as follows:
This method takes “motor speed error” and load torque T L as the core inputs and realizes the dynamic optimization of speed loop controller parameters (damping ratio ξ, bandwidth ω n by designing an adaptive pole adjustment mechanism. Specifically, the motor’s operating state is first determined based on the speed error: when the speed error is less than 5 r/s, it is judged as the steady state, and “small poles” are switched to reduce speed fluctuations and position estimation errors, thereby suppressing harmonic interference caused by high-frequency square wave injection; when the speed error is ≥5 r/s, it is judged as the transient state (e.g., start-up, speed switching phases), and “large poles” are adopted to accelerate the system response speed and shorten the transition time. Meanwhile, in response to differences between loaded and unloaded operating conditions, this mechanism synchronously adapts the pole parameters to ensure the system remains stable when the load changes suddenly.
In the signal processing and control output links, this method combines current loop PI regulation (Equation (6)) and feedforward decoupling (Equation (5)) to convert the control quantity output by dynamic pole placement into dq-axis voltage commands. These commands act on the motor in coordination with the high-frequency square wave injection signal, ultimately achieving a balance between “dynamic response speed” and “steady-state control accuracy”. This lays a foundation for the subsequent improvement of rotor position estimation accuracy and suppression of total disturbances via ESO-PLL (Extended State Observer-Phase-Locked Loop) in the speed loop control. Among them, Table 1 provides the parameters of the permanent magnet synchronous motor.
The literature [18] proposes a sensorless control method for Permanent Magnet Synchronous Motors (PMSM) that combines a Fifth-Order Generalized Integral Flux Observer (FOGIFO) and a Phase-Locked Loop based on an Extended State Observer (ESO_PLL). It optimizes the pole distribution of FOGIFO to enhance harmonic suppression performance and analyzes the conventional Phase-Locked Loop based on the error transfer function. This ESO_PLL is used for observing rotor position and speed, significantly improving dynamic tracking performance. The research in this article demonstrates the feasibility of combining the ESO Phase-Locked Loop with dynamic pole configuration, providing theoretical support for the research in this paper.

2. Dynamic Pole Placement of the Speed Loop

The traditional speed loop often adopts a PI control strategy with fixed pole design. However, in actual operation, the motor faces complex and variable working conditions: a fast response is required during the start-up phase to shorten the transition time; harmonic interference caused by high-frequency square wave injection needs to be suppressed during the steady-state phase to reduce speed fluctuations; and the difference in load torque between loaded and no-load states can also lead to changes in the dynamic characteristics of the system. To address these issues, this paper proposes a dynamic pole placement strategy for the speed loop. By establishing a pole adjustment mechanism that adaptively matches the motor’s operating states (loaded/no-load, steady-state/transient), real-time optimization of the controller’s damping ratio and bandwidth parameters is achieved, laying a control foundation for solving the problems of harmonic interference and load disturbance in the low-speed range. In response to complex torque disturbances, this paper presents a speed loop with nonlinear pole placement based on high-frequency injection sensorless control, aiming to enhance the robustness of the motor during low-speed operation under nonlinear torque disturbances.
In the dq rotating coordinate system, the voltage equations of the Permanent Magnet Synchronous Motor (PMSM) are as follows:
v d = R s i d + L d d i d d t ω e L q i q v q = R s i q + L q d i q d t + ω e L d i d + ψ f
where ψ f denotes the permanent magnet flux linkage. The electromagnetic torque is expressed as:
T e = 3 2 p ψ f i q + L d L q i d i q
The expression for the load torque is:
T e = k 1 x 1 k 2 x 2 = k 1 Δ ω m d t k 2 Δ ω m
T ˙ e = k 1 Δ ω m k 2 ώ m
where x 1 represents the speed integral and x 2 represents the speed error integral. To eliminate the coupling terms, feedforward decoupling is employed, and PI control is introduced:
v d = R s i d ω e L q i q v q = R s i q + ω e L d i d + ω e ψ f
v _ { d , p i } = K _ { p , d } i d * i d + K i , d i d * i d d t v _ { q , p i } = K _ { p , q } i q * i q + K i , q i q * i q d t
By substituting Equation (1), since the bandwidth of the current loop is much higher than that of the speed loop, the stator resistances ( R s i d , R s i q ) can be neglected at high frequencies (where the inductive voltage drop dominates). Meanwhile, the feedforward decoupling has completely canceled out the cross-coupling terms ( ω e L q i q , ω e L d i d ), so the decoupled dq-axis voltage commands v _ { d , p i } v _ { q , p i } can be approximately equal to the output voltage of the PI regulator.
Substitute the current dynamic equations into the PI expressions:
d i d d t = 1 L d K _ { p , d } i d * i d + K _ { i , d } i d * i d d t d i q d t = 1 L q K _ { p , q } i q * i q + K _ { i , q } i q * i q d t
After rearrangement, the closed-loop transfer functions are obtained:
I d I d * = K _ { p , d } s + K _ { i , d } L d s 2 + K p , d s + K i , d I q I q * = K _ { p , q } s + K _ { i , q } L q s 2 + K p , q s + K i , q
The current loop, as a second-order system, includes the damping ratio ξ and the natural frequency ω n :
s 2 + 2 ξ ω n s + ω n 2 = 0
By comparing with the denominator of the closed-loop transfer function:
L d s 2 + K _ { p , d } s + K _ { i , d } ω n , d = K _ { i , d } L d , 2 ξ ω n , d = K _ { p , d } L d L q s 2 + K _ { p , q } s + K _ { i , q } ω n , q = K _ { i , q } L q , 2 ξ ω n , q = K _ { p , q } L q
The PI parameters are solved as follows:
K _ { p , d } = 2 ξ ω n , d L d K _ { i , d } = ω n , d 2 L d K _ { p , q } = 2 ξ ω n , q L q K _ { i , q } = ω n , q 2 L q
Figure 2 shows the system block diagram of the improved speed loop, which takes the speed error and load torque ( T L ) as input items to realize the dynamic pole placement of the speed loop, where K is the proportional gain of the speed loop controller, and Ts is the discrete sampling period.
A fixed large pole may result in excessive position estimation errors during low-speed start-up, potentially causing motor runaway. In contrast, a small pole leads to small steady-state errors but slow response.
A speed error of less than 5 r/s is defined as the steady state, and otherwise, it is the transient state. The motor’s operating states are categorized into loaded steady-state, loaded transient, no-load steady-state, and no-load transient. Different pole placements are adopted for each state to enhance the robustness of the system. A larger pole ξ m a x is used during the start-up phase to accelerate the response. During the transition phase, the pole smoothly decays to a smaller value ξ m i n . After the dynamic adjustment of the pole, the system achieves both fast response and high-precision steady-state estimation.

3. High-Frequency Square Wave Injection

3.1. Mathematical Model of High-Frequency Square Wave Injection

A high-frequency square wave voltage signal (with a frequency of 2 kHz) is injected into the dq-axis of the rotating frame.
Since the frequency of the high-frequency signal is much higher than that of the fundamental wave, the motor’s response to high-frequency excitation is mainly determined by the saliency of the inductance. Therefore, the influence of resistance and back-EMF is ignored (reactance dominates at high frequencies), and the voltage equation of the PMSM is expressed as follows:
V _ { d h } V _ { q h } = L d 0 0 L q d d t i _ { d h } i _ { q h }
Transform the high-frequency voltage from the dq-axis to the αβ-axis (where θr is the rotor position):
V _ { α h } V _ { β h } = c o s θ _ r s i n θ _ r s i n θ _ r c o s θ _ r V _ { d h } 0 = V _ { d h } c o s θ _ r s i n θ _ r
The differential equation of the corresponding current response is:
d d t i _ { α h } i _ { β h } = c o s θ r s i n θ r s i n θ r c o s θ r 1 / L d 0 0 1 / L q c o s θ r s i n θ r s i n θ r c o s θ r V _ { α h } V _ { β h }
Through derivation, the high-frequency current responses in the αβ-axis are obtained:
i _ { α h } i _ { β h } = V i n j j ω h s g n s i n ω h t L Σ + L Δ c o s 2 θ r L Δ s i n 2 θ r L Δ s i n 2 θ r L Σ L Δ c o s 2 θ r 1 c o s θ r s i n θ r
where V i n j = i _ { α h } i _ { β h } is the high-frequency square wave injection voltage signal, L Σ is the average inductance, and L Δ is the half-difference inductance.
L Σ = L d + L q 2 ,   L Δ = L q L d 2
After further simplification, the high-frequency current contains rotor position information:
i α h I p s g n s i n ω h t c o s θ r + I n s g n s i n ω h t c o s 3 θ r i β h I p s g n s i n ω h t s i n θ r + I n s g n s i n ω h t s i n 3 θ r
Among them, I p is the positive current amplitude, and I n is the negative current amplitude; both are constant parameters.
The error signal containing θ r is extracted through demodulation (multiplication with the square wave sign function + low-pass filtering):
ε = L P F i _ { β h } c o s θ ^ r i _ { α h } s i n θ ^ r s g n s i n ω h t
where θ ^ r is the estimated position. When ε → 0, θ ^ r θ r .
The demodulated signal is the sign function of the injected square wave voltage:
D t = s g n s i n ω h t
The Fourier series expansion of the square wave is:
D t = 4 π k = 1,3 , 5 . . . 1 k s i n k ω h t
In general, D ( t ) 2 =1
i _ { α h } D t = V i n j ω h L Σ c o s θ _ r L Δ c o s 3 θ _ r D ( t ) 2 i _ { β h } D t = V i n j ω h L Σ s i n θ _ r L Δ s i n 3 θ _ r D ( t ) 2
In the high-frequency current response, the effective position information is hidden in the second harmonic 2 θ r The demodulation process extracts the low-frequency component through multiplication:
ε α = L P F i _ α h D t ε β = L P F i _ β h D t
where LPF denotes a low-pass filter, which is used to retain DC and low-frequency components.

3.2. Traditional PI Phase-Locked Loop (PI-PLL)

In the sensorless control of PMSMs based on high-frequency square wave injection, the traditional PI Phase-Locked Loop (PI-PLL) is a common method for realizing rotor position estimation. Its core logic is to obtain position error information by demodulating the high-frequency current signal and then correct the estimated position through PI regulation. Figure 3 shows the structural block diagram of the traditional PI.
Specifically, first, the αβ-axis high-frequency currents obtained after high-frequency square wave injection are multiplied by the square wave sign function and demodulated by a Low-Pass Filter (LPF). The demodulated signal is combined with the estimated position θ ^ r to construct the error signal:
ε = ε β c o s θ ^ r ε α s i n θ ^ r
Substitute the demodulated expression, and ignore high-order harmonics to obtain:
ε K s i n 2 θ r θ ^ r
where K is a gain related to motor parameters. When the estimation error θ r θ ^ r is small, the approximate linear relationship is:
ε 2 K θ r θ ^ r
The q-axis high-frequency current is used as the error signal, and the estimated position θ ^ r is corrected by a Phase-Locked Loop (PLL) or Proportional-Integral (PI) regulator:
θ ^ e = 1 2 K p Δ i q h | d t
where K p is the regulator gain. Finally, Δθ → 0 is achieved to realize position tracking.
However, the traditional PI-PLL has obvious limitations: on the one hand, the high-order harmonics (especially odd harmonics) accompanied by high-frequency square wave injection will enter the error signal through the demodulation process, leading to periodic deviations in position estimation and thus causing speed fluctuations.

3.3. Improved ESO-PLL (Extended State Observer-PLL)

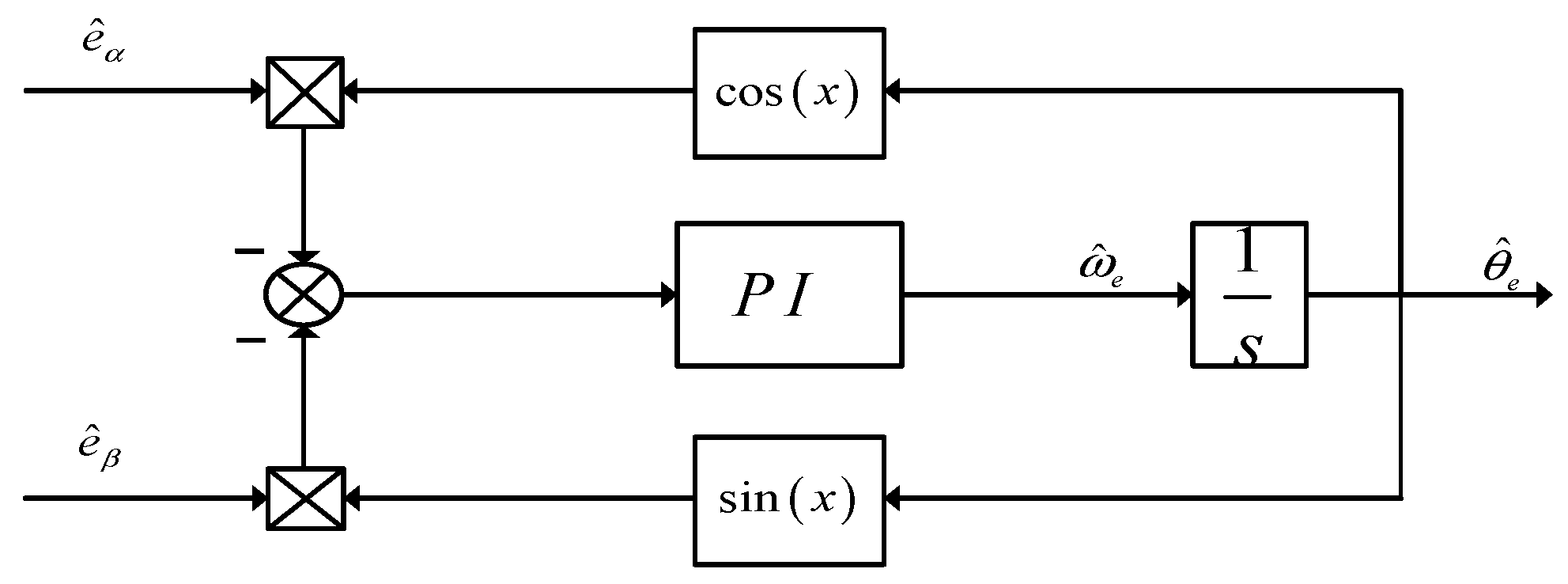
As shown in Figure 4, in the sensorless control based on high-frequency square wave injection, the main problems faced by the traditional PI-PLL are periodic position estimation errors caused by harmonic interference and nonlinear dynamic responses caused by disturbances such as load mutations. The ESO-PLL effectively solves the above problems by taking disturbances as extended states for real-time estimation and compensation.
Consider the dynamics of position tracking error:
e ˙ θ = e ω e ˙ ω = f e θ , e ω , d + b u
where e θ is the position error; e ω is the speed error; f() includes the unmodeled dynamics and disturbances of the system; x 3 = f e θ , e ω , d the external disturbance. Treat the total disturbance as a new state variable, x 3 = f e θ , e ω , d , b is the control input gain coefficient, and u is the error correction control input, which realizes the closed-loop correction of position error. Specifically, the bu term exerts active regulation on the speed error e ω to make the speed error converge to 0 rapidly. Furthermore, through e θ = e ω | d t the elimination of position error is achieved, ultimately ensuring the accuracy of rotor position estimation, then the extended system is:
x ˙ 1 = x 2 x ˙ 2 = x 3 + b u x ˙ 3 = h t y = x 1
where h t = f ˙ e θ , e ω , d is the rate of change in the unknown disturbance, and y is the system output, that is actually the position error.
Design a linear ESO:
x ^ ˙ 1 = x ^ 2 + β 1 y x ^ 1 x ^ ˙ 2 = x ^ 3 + β 2 y x ^ 1 + b u x ^ ˙ 3 = β 3 y x ^ 1
The pole placement method can be used to derive the observer characteristic equation, and all poles of the characteristic equation are placed at − ω o :
s + ω o 3 = s 3 + 3 ω o s 2 + 3 ω o 2 s + ω o 3 = 0
The corresponding gain selection is:
β 1 = 3 ω o β 2 = 3 ω o 2 β 3 = ω o 3
where ω o is the observer bandwidth. The closed-loop bandwidth of the system in this paper is ω c = 100   r a d / s and ω o = 5 ω c is taken.
ω o = 5 ω c = 500   r a d / s
β 1 = 1500 , β 2 = 750000 , β 3 = 125000000
Figure 5 (ESO-PLL Decouples High-Frequency Response Current) demonstrates the core function of the improved ESO-PLL in sensorless control based on high-frequency square wave injection—realizing the decoupling of high-frequency response currents. This figure intuitively shows how the ESO-PLL separates valid information related to rotor position from high-frequency current signals containing harmonic interference, while filtering out or compensating for invalid components introduced by high-order harmonics and load disturbances. Specifically, the figure illustrates the following process through signal flow directions or module interactions: the αβ-axis high-frequency currents generated after high-frequency square wave injection first pass through a demodulation module (multiplication with the square wave sign function + low-pass filtering) to initially extract position error signals, which are then transmitted to the ESO module; the ESO regards the system’s unmodeled dynamics, harmonic interference, and other factors as “total disturbances”, performs real-time estimation and compensation, and finally outputs decoupled and pure position/speed signals, laying a foundation for the subsequent accurate tracking of the rotor position. This decoupling process effectively solves the estimation error problem caused by the mutual coupling of high-frequency currents and interference signals in the traditional PI-PLL and is a key link for the ESO-PLL to improve control accuracy in the low-speed range.
Figure 6 illustrates the structure of a sensorless control system for a Permanent Magnet Synchronous Motor (PMSM) based on high-frequency square wave injection and the improved ESO-PLL. The given i d * and i q * are compared with the actual i d and i q obtained through current closed-loop control, and the differences are processed by PI regulators. Meanwhile, the high-frequency square wave signal injection module generates high-frequency voltage signals and injects them into the system. Then, combined with the improved ESO-PLL, information such as the motor speed and position is observed. Finally, through links such as SVPWM (Space Vector Pulse Width Modulation), the sensorless and precise control of the PMSM is realized. It fully reflects the application logic of high-frequency square wave injection combined with the improved observer in sensorless control and provides a structural basis for subsequent system performance verification (such as error comparison at different speeds).

4. Simulation and Experimental Results

To verify the effectiveness of the sensorless control method for permanent magnet synchronous motors (PMSM) based on the phase-locked loop (PLL) with an improved extended state observer (ESO) in the low-speed range, simulation experiments were conducted using MATLAB/Simulink. Under no-load conditions, with given speeds of 200 rpm and 300 rpm, performance comparisons were carried out between the improved ESO-PLL speed control system and the traditional PI-PLL speed control system. The following are the results of the simulation experiments.
Figure 7 intuitively presents the waveform characteristics of the high-frequency square wave voltage signal injected into the dq-axis of the PMSM. In this study, the frequency of this injected high-frequency square wave signal is set to 2 kHz, and this parameter is a core value determined comprehensively based on the system’s control requirements and motor characteristics.
In Figure 8 (Comparison of Speed Errors between PI-PLL and ESO-PLL at 200 rpm), at a rotational speed of 200 rpm, the speed error of the improved ESO-PLL is significantly smaller than that of the traditional PI-PLL. Figure 9a shows the comparison between the estimated speed and the actual speed of the PI-PLL, while Figure 9b presents the comparison between the estimated speed and the actual speed of the ESO-PLL. The former can more effectively suppress the harmonic interference and load disturbances caused by high-frequency square wave injection, making the speed error more stable, which highlights its advantage in speed estimation accuracy in the low-speed range.
Figure 10a shows the comparison between the estimated rotor position and the actual rotor position of the PI-PLL, while Figure 9b presents the comparison between the estimated rotor position and the actual rotor position of the ESO-PLL.
In Table 2, when the motor operates stably at 200 rpm under no-load conditions, the maximum speed estimation error of the PI-PLL is 10 rpm, and the position estimation error is approximately 0.54 radians; in contrast, the maximum speed estimation error of the improved ESO-PLL is 3.7 rpm, with a position estimation error of about 0.08 radians.
To further verify the effectiveness of the proposed algorithm, the second set of experiments involved setting the motor to run at 200 rpm, accelerating it to 300 rpm at 1 s. Subsequently, after the motor reached the given speed of 300 rpm, an adjustment was made by applying an additional torque of 10 N·m.
At a given speed of 200 rpm, a torque of 10 N is applied after 1 s. Experiments are conducted, respectively, on the traditional PI-PLL and the improved ESO-PLL speed regulation.
When the motor operates stably at 200 rpm under no-load conditions, the maximum speed estimation error of PI-PLL is 89 rpm, and the position estimation error is approximately 0.19 rad. Under the action of a large fixed sliding mode coefficient, the maximum speed estimation error of the improved ESO-PLL is 82 rpm, and the position estimation error is approximately 0.17 rad.
To further verify the effectiveness of the proposed algorithm, the second group of experiments involves setting the permanent magnet synchronous motor adopting VGLSTA-SMO to operate at 200 rpm under no-load condition, accelerating it to 300 rpm at 1 s. Subsequently, after reaching the given speed of 300 rpm, adjustments are made by increasing the torque by 10 N·m.
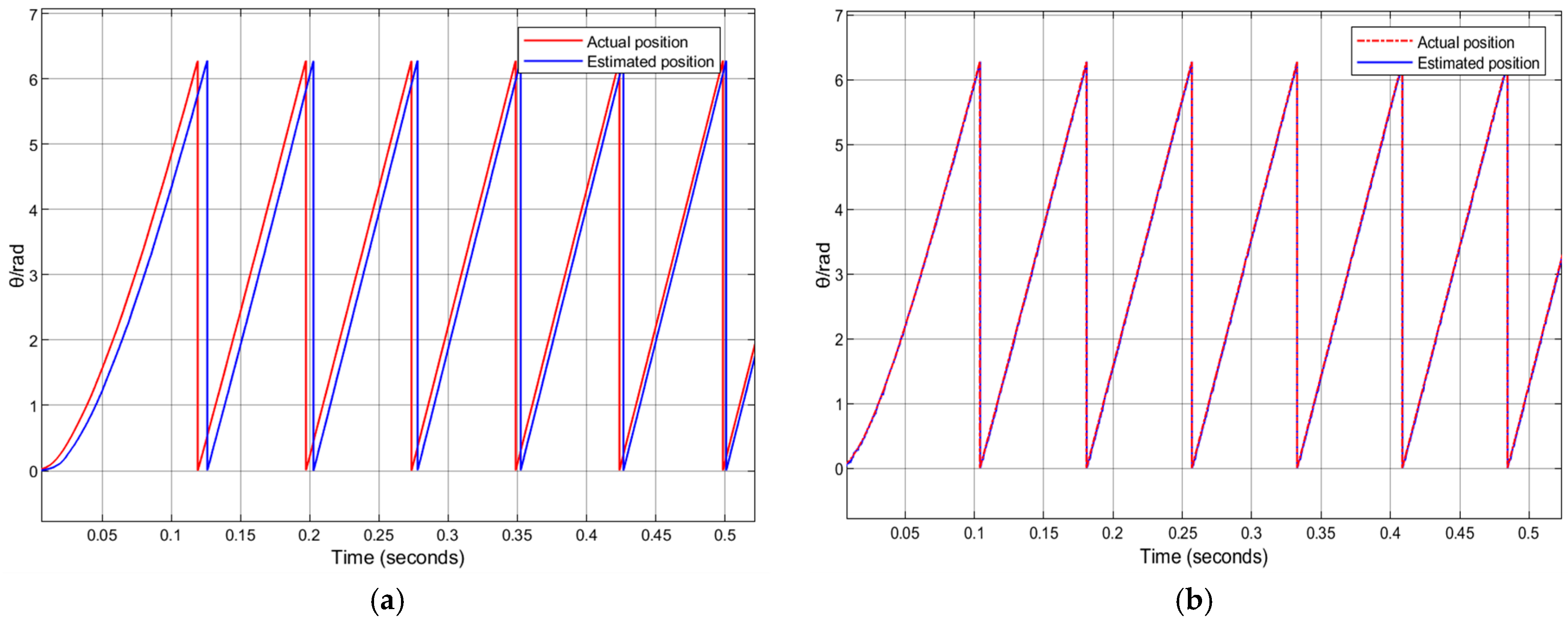
Figure 11 presents a comparison of rotor position estimation between the PI-PLL and the improved ESO-PLL under the operating conditions of speed transition from 200 rpm to 300 rpm and application of load torque at 1.5 s. Among them, Figure 11a corresponds to the PI-PLL, and Figure 11b corresponds to the ESO-PLL. The experimental setup is as follows: the motor operates stably at 200 rpm from 0 to 1 s, accelerates to 300 rpm at 1 s, and has load torque applied at 1.5 s. The figure compares the deviations between the estimated position values and the actual position values of the two phase-locked loops through curves. It intuitively shows that the PI-PLL has a large position estimation deviation and weak anti-disturbance capability during dynamic speed transition and sudden load changes. In contrast, the estimated position curve of the ESO-PLL is more consistent with the actual position curve, and it can still maintain high position estimation accuracy even under dual disturbances.
Figure 12 is a comparison chart of speed errors between PI-PLL and the improved ESO-PLL. It can be intuitively seen from the figure that within the entire time range, the speed error curve corresponding to the improved ESO-PLL is always closer to the zero point of the vertical axis with a smaller fluctuation range. In contrast, the speed error curve of PI-PLL fluctuates more violently and deviates further from the zero point. This indicates that under the same operating conditions, the improved ESO-PLL can more effectively suppress speed errors and improve speed control accuracy.
Figure 13 is a comparison chart of the estimated position and actual position between the PI Phase-Locked Loop and the improved ESO Phase-Locked Loop during the loaded start-up process, including two subgraphs: (a) PI-PLL and (b) ESO-PLL. In Figure 13a, there is an obvious deviation between the estimated position curve and the actual position curve of PI-PLL, and the two curves are separated to a large extent especially during the start-up phase. In Figure 13b, however, the estimated position curve and the actual position curve of ESO-PLL almost overlap. Even during the dynamic process of loaded start-up, the deviation between the two is extremely small. This fully demonstrates that ESO-PLL has better accuracy in rotor position estimation under the scenario of loaded start-up.
Figure 14 is a comparison chart of the estimated position and actual position errors between PI-PLL and the improved ESO-PLL. This figure further verifies the advantages of ESO-PLL: within the time interval covered by the curve, the position error of the improved ESO-PLL is always maintained within a small range and can quickly return to a state close to zero error. PI-PLL not only has a higher peak value of position error but also takes a longer time for the error to return to the stable range. This shows that the improved ESO-PLL has stronger anti-disturbance ability and better stability in speed control when dealing with changes in operating conditions.
Table 3 compares the performance of PI-PLL and ESO-PLL across different operating conditions. At 200 rpm, ESO-PLL’s speed estimation error (3.7 rpm), rotor position error (0.08 rad), and settling time (0.16 s) are all superior to PI-PLL’s (9.6 rpm, 0.54 rad, 0.26 s). At 300 rpm, ESO-PLL also outperforms PI-PLL. Under increased and reduced load scenarios, ESO-PLL maintains smaller speed and position errors and shorter settling times, demonstrating its better accuracy and robustness.
In low-speed steady-state operation, at 200 rpm, the traditional PI-PLL exhibits a speed estimation error of 9.6 rpm, a rotor position estimation error of 0.54 rad, and a settling time of 0.26 s. In contrast, the ESO-PLL reduces the speed estimation error to only 3.7 rpm, cuts the position estimation error to 0.08 rad, and shortens the settling time to 0.16 s—optimizing the three core control indicators by approximately 61.5%, 85.2%, and 38.5%, respectively. Even when the speed increases to 300 rpm, the PI-PLL still has a speed error of 9.2 rpm and a position error of 1.7 rad, while the ESO-PLL maintains a speed error of 3.6 rpm and a position error of 0.09 rad, consistently delivering superior steady-state estimation accuracy. Moreover, this speed control method is not suitable for high-speed operating conditions. At high speeds, the back electromotive force (back-EMF) of the motor increases and its frequency rises accordingly. This leads to strong coupling between the high-frequency injected signal and the back-EMF. Since the high-frequency injected signal is originally intended to obtain the motor rotor position information, such coupling will cause distortion of the injected signal, thereby affecting the accurate detection of the rotor position and consequently impairing the control performance. Additionally, during high-speed operation, the electromagnetic noise and mechanical vibration noise generated by the motor increase. These noises interfere with the high-frequency injected signal, further reducing the signal-to-noise ratio and making position detection based on high-frequency injections more difficult, which also affects the performance of the control system at high speeds.
When the load increases, the PI-PLL’s speed estimation error rises to 10.5 rpm, with a position estimation error of 0.56 rad and a settling time of 0.18 s. However, the ESO-PLL keeps its speed error at 3.9 rpm, position error at 0.1 rad, and settling time at 0.16 s, showing better error control and response speed. When the load decreases, the PI-PLL’s speed error surges to 11.4 rpm, position error reaches 1.9 rad, and settling time extends to 0.29 s. Meanwhile, the ESO-PLL remains stable, maintaining a speed error of 4.1 rpm, a position error of 0.1 rad, and a settling time of 0.17 s.
As shown in Figure 15, at a speed of 50 rpm, the speed regulation of the PI-PLL—based control system fails due to the extremely low signal-to-noise ratio of the high-frequency signal, and the ESO-PLL also inevitably exhibits speed fluctuations.
Moreover, this speed control method is not suitable for high-speed operating conditions. At high speeds, the back electromotive force (back-EMF) of the motor increases and its frequency rises accordingly. This leads to strong coupling between the high-frequency injected signal and the back-EMF. Since the high-frequency injected signal is originally intended to obtain the motor rotor position information, such coupling will cause distortion of the injected signal, thereby affecting the accurate detection of the rotor position and consequently impairing the control performance. Additionally, during high-speed operation, the electromagnetic noise and mechanical vibration noise generated by the motor increase. These noises interfere with the high-frequency injected signal, further reducing the signal-to-noise ratio and making position detection based on high-frequency injections more difficult, which also affects the performance of the control system at high speeds.

5. Conclusions

This study focuses on the speed chattering problem of permanent magnet synchronous motors (PMSMs) caused by high-frequency square wave injection in the low-speed operation range (200–500 r/min). It aims to improve the rotor position estimation accuracy, anti-harmonic interference capability, and anti-sudden load change capability of sensorless control systems, thereby optimizing the low-speed control performance of traditional control schemes and meeting the practical requirement for stable low-speed operation of motors.
Through theoretical analysis and simulation verification, the study has obtained three core findings. Firstly, the traditional PI phase-locked loop (PI-PLL) is susceptible to high-order harmonic interference when demodulating high-frequency square wave injection signals, leading to periodic deviations in rotor position estimation and ultimately causing speed fluctuations. In contrast, the extended state observer phase-locked loop (ESO-PLL) can uniformly classify the system’s unmodeled dynamics, external load disturbances, and harmonic interference as “total disturbances”. By real-time estimating and compensating for these disturbances, it significantly reduces position estimation errors and effectively suppresses the impact of sudden load changes on the system. Secondly, the dynamic pole placement strategy designed for the speed loop can adaptively adjust the controller parameters according to the motor’s operating states (loaded/unloaded, steady-state/transient). During transient phases such as start-up and speed switching, large poles are adopted to accelerate the response speed; during the steady-state phase, small poles are switched to reduce operating errors; and during the transition phase, a smooth attenuation function is used to achieve stable parameter switching, balancing the system’s dynamic response speed and steady-state control accuracy. Thirdly, by injecting high-frequency square wave voltage signals into the dq axes of the rotating coordinate system and combining signal demodulation with ESO-PLL technology, the decoupling of high-frequency response currents can be realized, and effective rotor position information can be successfully extracted from the current signals containing interference, providing support for accurate sensorless control.
From the perspective of technical significance, the “ESO-PLL + dynamic pole placement” cooperative control strategy proposed in this study breaks through the bottlenecks of traditional high-frequency square wave injection-based sensorless control in two aspects: disturbance suppression and parameter adaptability. Without additional hardware costs, it can solve the problems of harmonic interference and load disturbance in the low-speed range only through algorithm optimization, significantly improving the accuracy and robustness of PMSM sensorless control. From the perspective of application value, this strategy can be directly applied to PMSM control systems that require stable low-speed operation, providing a reliable solution for the promotion and application of sensorless control technology in low-speed precision fields (such as precision transmission, low-speed conveying equipment, etc.), and also offering theoretical and practical references for the subsequent optimization of low-speed control algorithms for similar motors.

Author Contributions

Conceptualization, M.L.; Formal Analysis, M.L. and P.L.; Data Curation, M.L., B.W. and X.Z.; Writing—Review and Editing, M.L. and P.L. All authors have read and agreed to the published version of the manuscript.

Funding

This research was funded by Graduate Student Innovation Program Project of Beihua University grant number No. [2024]052.

Data Availability Statement

The original contributions presented in this study are included in the article. Further inquiries can be directed to the corresponding author.

Conflicts of Interest

The authors declare no conflicts of interest.

References

  1. Liu, G.; Zhang, H.; Song, X. Position-estimation deviation-suppression technology of PMSM combining phase self-compensation SMO and feed-forward PLL. IEEE J. Emerg. Sel. Top. Power Electron. 2020, 9, 335–344. [Google Scholar] [CrossRef]
  2. Shi, L.; Lv, M.; Li, P. Sensorless Position Control in High-Speed Domain of PMSM Based on Improved Adaptive Sliding Mode Observer. Processes 2024, 12, 2581. [Google Scholar] [CrossRef]
  3. Wang, G.; Yang, L.; Yuan, B.; Wang, B.; Zhang, G.; Xu, D. Pseudo-random high-frequency square-wave voltage injection based sensorless control of IPMSM drives for audible noise reduction. IEEE Trans. Ind. Electron. 2016, 63, 7423–7433. [Google Scholar]
  4. Yoon, Y.-D.; Sul, S.-K.; Morimoto, S.; Ide, K. High-bandwidth sensorless algorithm for AC machines based on square-wave-type voltage injection. IEEE Trans. Ind. Appl. 2011, 47, 1361–1370. [Google Scholar] [CrossRef]
  5. Zhu, L. Robust Position Sensorless Control Stratgy of High-Frequency Signal Injection for PMSM Low-Speed Operation; Harbin Institute of Technology: Harbin, China, 2023. [Google Scholar] [CrossRef]
  6. Wang, G.; Liu, R.; Zhao, N.; Ding, D.; Xu, D.G. Enhanced linear ADRC strategy for HF pulse voltage signal injection-based sensorless IPMSM drives. IEEE Trans. Power Electron. 2018, 34, 514–525. [Google Scholar] [CrossRef]
  7. Li, B.; Bai, Y.; Wang, S.; Sun, Y. A Method for Rotor Position Detection of PMSM Using Filterless Square Wave Signal Injection. J. Phys. Conf. Series 2023, 2655, 012034. [Google Scholar] [CrossRef]
  8. Wang, L.; Yu, L.; Han, A.; Shi, Z. A novel phase current difference construction based initial rotor position detection method for surface mounted PMSM without injections of high-frequency voltage or pulse sequence. J. Electr. Eng. Technol. 2024, 19, 4369–4380. [Google Scholar] [CrossRef]
  9. Gao, H.; Yang, G.; Liu, J. A Vector Control Strategy for Five-phase PMSM With Third Harmonic Injection. Proc. CSEE 2014, 34, 4101–4108. [Google Scholar]
  10. Xiong, Y.; Wang, A.; Zhang, T. Sensor-less complex system control of PMSM based on improved SMO. In Proceedings of the 2021 6th International Conference on Automation, Control and Robotics Engineering (CACRE), Dalian, China, 15–17 July 2021; IEEE: Piscataway, NJ, USA, 2021; pp. 228–232. [Google Scholar]
  11. Zhang, W.; Huang, S.; Gao, J. Electromagnetic Torque Analysis for All-Harmonic-Torque Permanent Magnet Synchronous Motor. IEEE T. Magn. 2018, 54, 1–5. [Google Scholar] [CrossRef]
  12. Liu, G.; Zeng, Y.; Zhao, W.; Ji, J. Permanent magnet shape using analytical feedback function for torque improvement. IEEE Trans. Ind. Electron. 2017, 65, 4619–4630. [Google Scholar] [CrossRef]
  13. Xu, G.; Liu, G.; Chen, M.; Du, X.; Xu, M. Cost-effective Vernier permanent-magnet machine with high torque performance. IEEE Trans. Magn. 2017, 53, 8202604. [Google Scholar] [CrossRef]
  14. Chen, Q.; Tian, Y.; Kang, S.; Yu, Y.; Ding, J.; Xie, Y. Sensorless control of permanent magnet synchronous motor for electric vehicle based on phase locked loop. Int. J. Automot. Technol. 2021, 22, 1409–1414. [Google Scholar] [CrossRef]
  15. Zhan, Y.; Guan, J.; Zhao, Y. An adaptive second-order sliding-mode observer for permanent magnet synchronous motor with an improved phase-locked loop structure considering speed reverse. Trans. Inst. Meas. Control 2020, 42, 1008–1021. [Google Scholar] [CrossRef]
  16. Wu, C.; Kang, L.; Zheng, L. Sensorless Control of Permanent Magnet Synchronous Motors Based on a New High-order Phase-locked Loop. Proc. CSEE 2025, 45, 1968–1980. [Google Scholar] [CrossRef]
  17. Wang, Q.; Wang, G. An Impedance Model Based Multi-Parameter Identification Method of PMSM for Both Offline and Online Conditions. IEEE Trans. Power Electron. 2020, 36, 727–738. [Google Scholar] [CrossRef]
  18. Zhang, X.; Zhu, J.; Zheng, Z.; Liu, H.; Xue, Y.; Wan, F.; Wu, X. Sensorless Control of PMSM Based on Fifth-Order Generalized Integral Flux Observer and Extended State Observer-Based Phase-Locked Loop. IEEE Trans. Power Electron. 2024, 40, 5080–5093. [Google Scholar] [CrossRef]
Figure 1. Through the designed dynamic pole placement mechanism, the adaptive adjustment of the damping ratio and bandwidth parameters of the speed loop controller is realized. The system can match the corresponding pole parameters according to the actual operating state of the motor (loaded/no-load, steady-state/transient state). For instance, a larger pole is adopted during the start-up phase to accelerate the response speed; a smaller pole is switched to during the steady-state phase to reduce errors; and during the transition phase, a smooth attenuation function is used to achieve stable parameter transition. This serves to address the issues of harmonic interference and load disturbance in the low-speed range.
Figure 1. Through the designed dynamic pole placement mechanism, the adaptive adjustment of the damping ratio and bandwidth parameters of the speed loop controller is realized. The system can match the corresponding pole parameters according to the actual operating state of the motor (loaded/no-load, steady-state/transient state). For instance, a larger pole is adopted during the start-up phase to accelerate the response speed; a smaller pole is switched to during the steady-state phase to reduce errors; and during the transition phase, a smooth attenuation function is used to achieve stable parameter transition. This serves to address the issues of harmonic interference and load disturbance in the low-speed range.
Processes 13 03366 g001
Figure 2. Improve Speed Loop Block Diagram.
Figure 2. Improve Speed Loop Block Diagram.
Processes 13 03366 g002
Figure 3. Traditional PI Phase-Locked Loop Structure.
Figure 3. Traditional PI Phase-Locked Loop Structure.
Processes 13 03366 g003
Figure 4. ESO-PLL.
Figure 4. ESO-PLL.
Processes 13 03366 g004
Figure 5. ESO-PLL Decouples High-Frequency Response Current.
Figure 5. ESO-PLL Decouples High-Frequency Response Current.
Processes 13 03366 g005
Figure 6. Structure of Sensorless Control System for Permanent Magnet Synchronous Motor Based on High-Frequency Square Wave Injection and Improved ESO-PLL.
Figure 6. Structure of Sensorless Control System for Permanent Magnet Synchronous Motor Based on High-Frequency Square Wave Injection and Improved ESO-PLL.
Processes 13 03366 g006
Figure 7. High-Frequency Injected Signal.
Figure 7. High-Frequency Injected Signal.
Processes 13 03366 g007
Figure 8. Speed Errors of PI-PLL and ESO-PLL at 200 rpm.
Figure 8. Speed Errors of PI-PLL and ESO-PLL at 200 rpm.
Processes 13 03366 g008
Figure 9. Comparison of Rotational Speeds Observed by PI-PLL and Improved ESO-PLL at 200 rpm, (a) estimated speed and actual speed of the traditional PI-PLL, (b) estimated speed and actual speed of the improved ESO-PLL.
Figure 9. Comparison of Rotational Speeds Observed by PI-PLL and Improved ESO-PLL at 200 rpm, (a) estimated speed and actual speed of the traditional PI-PLL, (b) estimated speed and actual speed of the improved ESO-PLL.
Processes 13 03366 g009
Figure 10. Comparison of Estimated Position and Actual Position Between PI Phase-Locked Loop and Improved ESO Phase-Locked Loop During Loaded Start-up, (a) PI-PLL; (b) improved ESO-PLL.
Figure 10. Comparison of Estimated Position and Actual Position Between PI Phase-Locked Loop and Improved ESO Phase-Locked Loop During Loaded Start-up, (a) PI-PLL; (b) improved ESO-PLL.
Processes 13 03366 g010
Figure 11. Comparison of Rotor Position Estimation between Improved ESO-PLL and PI-PLL during 200 rpm to 300 rpm Speed Transition, (a) PI-PLL; (b) improved ESO-PLL.
Figure 11. Comparison of Rotor Position Estimation between Improved ESO-PLL and PI-PLL during 200 rpm to 300 rpm Speed Transition, (a) PI-PLL; (b) improved ESO-PLL.
Processes 13 03366 g011
Figure 12. The comparison of speed errors between PI-PLL and ESO-PLL.
Figure 12. The comparison of speed errors between PI-PLL and ESO-PLL.
Processes 13 03366 g012
Figure 13. Comparison of Estimated Position and Actual Position Between PI Phase-Locked Loop and Improved ESO Phase-Locked Loop During Loaded Start-up, (a) PI-PLL; (b) improved ESO-PLL.
Figure 13. Comparison of Estimated Position and Actual Position Between PI Phase-Locked Loop and Improved ESO Phase-Locked Loop During Loaded Start-up, (a) PI-PLL; (b) improved ESO-PLL.
Processes 13 03366 g013
Figure 14. The position error between the estimated position and the actual position of the improved PI-PLL and ESO-PLL.
Figure 14. The position error between the estimated position and the actual position of the improved PI-PLL and ESO-PLL.
Processes 13 03366 g014
Figure 15. Experimental results at a full-load starting speed of 50 rpm, where (a) shows the estimated speed and actual speed under the PI-PLL control system, and (b) shows the estimated speed and actual speed under the optimized ESO-PLL control system.
Figure 15. Experimental results at a full-load starting speed of 50 rpm, where (a) shows the estimated speed and actual speed under the PI-PLL control system, and (b) shows the estimated speed and actual speed under the optimized ESO-PLL control system.
Processes 13 03366 g015
Table 1. Motor Parameters.
Table 1. Motor Parameters.
Motor ParametersNumerical ValuesUnits of Measurement
Number of phases3
Stator phase resistance Rs0.045Ω
Inductance L d 1.3 × 10−4H
Inductance L q 2.35 × 10−4H
Inertia J0.0034 k g · m 2
Viscous damping F0.005 N · m · s
Pole pairs p40.29 s
Table 2. Performance Comparison of Different Observers Under No-Load Condition.
Table 2. Performance Comparison of Different Observers Under No-Load Condition.
Control
Method
Speed
Estimation Errors
Rotor Position
Estimation Errors
Settling
Time
200PI-PLL9.8 rpm0.54 rad0.37 s
ESO-PLL3.7 rpm0.08 rad0.16 s
300PI-PLL9.4 rpm1.9 rad0.39 s
ESO-PLL3.6 rpm0.09 rad0.18 s
Table 3. Performance comparison between different observers.
Table 3. Performance comparison between different observers.
Control
Method
Speed
Estimation
Errors
Speed
Estimation
Errors
Settling
Time
200 rpmPI-PLL9.6 rpm0.54 rad0.26 s
ESO-PLL3.7 rpm 0.08 rad0.16 s
300 rpmPI-PLL9.2 rpm1.7 rad0.17 s
ESO-PLL3.6 rpm0.09 rad0.11 s
Increased load PI-PLL10.5 rpm0.56 rad0.18 s
ESO-PLL3.9 rpm0.1 rad0.16 s
Reduced loadPI-PLL11.4 rpm1.9 rad0.29 s
ESO-PLL4.1 rpm0.1 rad0.17 s
Disclaimer/Publisher’s Note: The statements, opinions and data contained in all publications are solely those of the individual author(s) and contributor(s) and not of MDPI and/or the editor(s). MDPI and/or the editor(s) disclaim responsibility for any injury to people or property resulting from any ideas, methods, instructions or products referred to in the content.

Share and Cite

MDPI and ACS Style

Lv, M.; Wang, B.; Zhang, X.; Li, P. Sensorless Control of Permanent Magnet Synchronous Motor in Low-Speed Range Based on Improved ESO Phase-Locked Loop. Processes 2025, 13, 3366. https://doi.org/10.3390/pr13103366

AMA Style

Lv M, Wang B, Zhang X, Li P. Sensorless Control of Permanent Magnet Synchronous Motor in Low-Speed Range Based on Improved ESO Phase-Locked Loop. Processes. 2025; 13(10):3366. https://doi.org/10.3390/pr13103366

Chicago/Turabian Style

Lv, Minghao, Bo Wang, Xia Zhang, and Pengwei Li. 2025. "Sensorless Control of Permanent Magnet Synchronous Motor in Low-Speed Range Based on Improved ESO Phase-Locked Loop" Processes 13, no. 10: 3366. https://doi.org/10.3390/pr13103366

APA Style

Lv, M., Wang, B., Zhang, X., & Li, P. (2025). Sensorless Control of Permanent Magnet Synchronous Motor in Low-Speed Range Based on Improved ESO Phase-Locked Loop. Processes, 13(10), 3366. https://doi.org/10.3390/pr13103366

Note that from the first issue of 2016, this journal uses article numbers instead of page numbers. See further details here.

Article Metrics

Back to TopTop