You are currently viewing a new version of our website. To view the old version click .
Processes
  • Article
  • Open Access

21 October 2025

Bioconversion of Ferulic Acid to 4-Vinylguaiacol by Ferulic Acid Decarboxylase from Brucella intermedia TG 3.48

,
,
,
,
,
,
,
and
Laboratory of Unesp’s Bioenegy Institute IPBEN, São Paulo State University, UNESP, São José do Rio Preto 15054-000, SP, Brazil
*
Author to whom correspondence should be addressed.
This article belongs to the Special Issue Enzyme Production Using Industrial and Agricultural By-Products

Abstract

4-vinylguaiacol (4-VG) is a commercially important compound due to its characteristic clove-like aroma and its use as a flavoring in the food, beverage, and cosmetics industries. However, its extraction from natural sources or by a chemical method is expensive. The bioconversion of ferulic acid (FA) to 4-VG via microorganisms is an alternative, considering the market trend toward biotechnological and environmentally friendly processes and products. This study aimed to evaluate the tolerance of the bacterial strain Brucella intermedia (basonym Ochrobactrum intermedium) TG 3.48 to FA, its bioconversion to 4-VG, and the activity of the FA decarboxylase enzyme (FADase), which is key to the 4-VG production process. The strain tolerated FA concentrations up to 700 mg L−1. When the microorganism grew at 300 mg L−1 FA in Mineral Liquid Medium (MLM), it converted 99.5% of FA to 4-VG within 12 h. The FADase activity was cell-associated with 5.17 U mL-1 in the whole cell, 4.40 U mL−1 in the intracellular extract, and 3.54 U mL−1 in the cell wall fragments, while the specific activity was 778.90 U mg−1.

1. Introduction

Several processes that use lignocellulosic raw material result in an excessive amount of lignin that is not optimally utilized. This polymer and its derivatives with high content of aromatic compounds have potential applications in the biosynthesis of various products [1]. Ferulic acid (FA) is present in high concentrations in hydrolyzed lignocellulosic biomass and serves as a substrate for the synthesis of flavor compounds such as vanillic acid (VA), vanillin, and 4-vinylguaiacol (4-VG) [2,3].
4-VG is a phenolic volatile substance with a spicy clove-like aroma, which makes it a key aroma compound in the beverages and beer industries [4], and as an additive in flavors and fragrances industries [5]. On the other hand, 4-VG is a well-documented volatile phenolic compound that occurs in roasted coffee beans during roasting process by thermal decarboxylation of FA [6,7], while in citrus, research reports 4-VG among identified aroma compounds in citrus peels and dried citrus products, especially when peel is processed (drying, extraction) or when bound precursor is hydrolyzed, as well as in cold-pressed grapefruit oil [8,9]. In addition, its antioxidant activity makes it a potential pharmaceutical agent [10,11]. 4-VG can be extracted from plants, yet the low concentration of this compound makes the process economically unfeasible. Chemical synthesis is an alternative representing around 80% of total 4-VG production [12,13].
The biological synthesis of 4-VG by fungi and bacteria using FA as a substrate has been reported [2,5,13,14]. These biocatalytic routes use low-cost renewable FA, operate under mild aqueous conditions with high chemo-selectivity and reduced by-product formation, simplifying downstream processing [15]. In contrast, classical chemical routes such as Wittig-type alkene formation produce stoichiometric phosphine-oxide waste, typically require harsher conditions and organic solvents, and exhibit poor green chemistry metrics [16].
The biotransformation of FA to 4-VG is catalyzed by FA decarboxylase enzyme (FADase, EC 4.1.1.102) via non-oxidative decarboxylation of FA to 4-VG with release of CO2 from the substrate’s terminal carboxyl carbon [12] (Figure 1). FADas has been reported in various microorganisms such as Aspergillus luchuensis, Candida guilliermondii, Bacillus sp., and Klebsiella pneumoniae, where it generally involves in culture media detoxification processes and, in some species, forms part of the metabolic pathway for assimilating xenobiotic compounds [2,11].
Figure 1. FADase non-oxidative decarboxylation of FA to 4-VG with release of CO2.
The bacterium Brucella intermedia TG 3.48 demonstrates tolerance to compounds that typically inhibit microbial growth, such as lead and chromium VI, and can degrade xenobiotic substances including diuron and piracetam (2-(2-oxopyrrolidin-1-yl) acetamide) [17,18,19,20,21,22]. A 16S rRNA gene partial sequence (1329 bp) of B. intermedia TG 3.48 is available in GenBank under accession number MG214517, as reported by Egea et al. [21].
Previous studies report large inter- and intra-species variation in FA tolerance, Klebsiella pneumoniae TD4.7 showed growth and activity only at 0.3–0.5 g L−1 [2], as for Bacillus subtilis B7-S lost growth and bioconversion at levels around 1.3 g L−1 [23], while adaptive laboratory evolution (ALE) of Pseudomonas putida KT2440 markedly increased tolerance up to the 30 g L−1 range, showing that baseline tolerance is strain- and condition-dependent and can be substantially improved by ALE [24].
Unlike many fungal and yeast ferulic acid decarboxylases that require the prenylated-FMN (prFMN) cofactor and its biosynthetic partner (UbiX/PAD1) for activity [25], the enzyme described here is cofactor independent, which simplifies heterologous expression and process design, avoiding the co-expression or supplementation of accessory cofactor pathways, and thereby facilitates robust single step bioconversion of FA from lignocellulosic hydrolysates to 4-VG [5,26].
The objective of this work is to assess the FA tolerance, study the potential of B. intermedia TG 3.48 to produce 4-VG via decarboxylation of the FA and evaluate the expression and characterization of the FADase enzyme.

2. Materials and Methods

2.1. Microorganism

The bacterium Brucella intermedia (basonym Ochrobactrum intermedium) TG 3.48 [27], previously isolated [21], is part of the working collection of the Biochemical and Applied Microbiology laboratory, Unesp Bioenergy Research Institute, São José do Rio Preto, SP, Brazil. The strain has been maintained at −80 °C in a 15% glycerol solution. Identification was carried out by DNA extraction using the commercial AxyPrep Bacterial Genomic DNA Miniprep Kit (Axygen, Union City, CA, USA) from a colony obtained after cultivation on Luria-Bertani agar medium (LB) for 12 h at 30 °C. The partial sequence of the 16S rRNA gene is available on NCBI website https://www.ncbi.nlm.nih.gov/nuccore/MG214517.1/, accessed on 20 August 2025.

2.2. Culture Medium

The Liquid Nutrient Medium (LNM) [28] consisted of 0.2% glucose, 0.1% sodium chloride, 1% tryptone, and 0.5% yeast extract. An adaptation of the Mineral Liquid Medium (MLM) proposed by Bushnell and Haas [29], composed of 11% (NH4)2SO4, 0.02% MgSO4, 0.002% CaCl2, 0.1% KHPO4, and 0.1% KH2PO4 was also used. The solid medium contained the same nutrients as LNM, with the addition of 1.5% agar.

2.3. Bacterial Tolerance to FA and Potential Biotransformatio of FA to 4-VG

For all cultivation procedures, the pre-inoculum was prepared by suspending bacterial cells in a liquid nutrient medium at pH 6.0. Pre-inoculum cultures were incubated in an orbital shaker at 28 °C and 150 rpm. The optical density (O.D) of the culture was measured at 600nm using a spectrophotometer until an O.D of 0.8 was reached.
Bacterial tolerance to FA was assessed in 96-well microtiter plates containing 196.0 μL of LNM, with FA concentrations ranging from 100 up to 700 mg L−1, and after addition of ferulic acid the medium pH was readjusted to pH 6.0 with 1 M NaOH (or HCl where required) prior to inoculation to avoid pH-driven effects on bacterial growth, incubated at 28 °C and 190 rpm.
For the decarboxylation of FA to 4-VG, the methods described above were followed, with 250 mL of LB medium containing 300 mg L−1 of FA in a 500 mL Erlenmeyer flask, which was inoculated with one mL of inoculum obtained as previously described and left for 48 h. During the first 24 h of cultivation, samples were collected every two hours, and subsequently every eight hours, for the microbial growth evaluation by O.D at 600 nm. The concentrations of glucose, FA, 4-VG, and other metabolites were determined. The initial FA concentration was used to calculate product yields (%).
FA, 4-VG, VA, catechol and vanillin, metabolites commonly reported in the FA bioconversion pathways, were assayed by HPLC. The formation of 4-VG during cultivation was verified by mass spectrometry (MS) analysis.
Two controls were employed in this work, an abiotic control (medium supplemented with FA but not inoculated); and a biotic control (medium inoculated with the microorganism but without FA addition).
Unless indicated otherwise, all reagents were obtained from Sigma-Aldrich (St. Louis, MO, USA).

2.4. Analytical Methods

Metabolites potentially derived from FA including catechol (benzene-1,2-diol), guaiacol (2-methoxyphenol), 4-VG (2-Methoxy-4-vinylphenol), VA (4-hydroxy-3-methoxybenzoic acid) and vanillin (4-Hydroxy-3-methoxybenzaldehyde) were screened and analyzed by HPLC and LC-MS. Filtered samples were prepared using a 0.22 μm syringe filter (analitica 2202213 300 Cw syringe filter, hydrophilic PTFE membrane, filter diameter 13 mm, pore size 0.22 µm, pre-cleaned, with polypropylene (PP) pre-filter.), and 20 μL aliquots were injected into a 1220 Infinity liquid chromatograph (LC) (Agilent Technologies, Santa Clara, CA, USA) equipped with a binary pump, autosampler, column oven, and a UV-VIS detector. Chromatographic separation was achieved on a ZORBAX Eclipse Plus C18 column (4.6 × 250 mm) (Agilent Technologies, Santa Clara, CA, USA), and preserved at 25 °C.
Chromatographic separation was performed using solvent A (methanol:acetic acid:water, 10:2:88 v/v) and solvent B (methanol:acetic acid:water, 90:2:8 v/v). [30]. Retention times were determined using analytical standards, and calibration curves of FA and its metabolites were plotted at concentrations between 2.5 and 300 mg L−1. The correlation coefficient was 0.999 for analyzed compounds, and the peak areas were quantified according to the calibration curves.
Sugars were quantified by ion-exchange chromatography using a Dionex ICS-5000 HPAEC-PAD (Thermo Scientific, Hampton, NH, USA) equipped with a CarboPac® PA-1 anion exchange column at a temperature of 25 °C. Eluents were prepared with ultrapure deionized water (18 MΩ) and degassed with N2. The flow rate was set to one mL min−1 with solvent A (ultrapure water) and solvent B (500 mM NaOH), under isocratic condition of 96% A and 4% B for 25 min. The lint sample was centrifuged at 15,000× g for 15 min, and the supernatant was filtered through same previously mentioned 0.22 μm syringe filter, diluted 50-fold, and injected into the chromatograph.

2.5. FA Decarboxylase Activity (FADase)

FADase activity was evaluated in three different crude enzyme fractions: extracellular crude enzyme (culture medium), intracellular extract, and cell wall-associated enzymes (fragments). To obtain the biomass needed, 2 L of medium MLM (as described previously) with the supplemented with 0.05% of glucose (w/v) and 300 mg L−1 of commercial FA was inoculated and incubated at 28 °C and 150 rpm. Cell growth was monitored until OD600 reached 0.80. The entire culture volume was used to obtain the crude enzyme fractions previously mentioned as follows.
  • Extracellular crude enzyme: Culture medium was centrifuged at 15,000× g for 15 min at 4 °C and the supernatant was filtered through a 0.22 μm filter and retained as the extracellular enzyme fracture.
  • Intracellular crude enzyme: Cell biomass was washed twice with 50 mM sodium phosphate buffer (pH 6.0), the supernatant was discarded, and the pellet was resuspended in the same buffer at a concentration of 0.2 g mL−1 wet biomass (0.2 g wet cell per mL buffer). The resulting cell suspension was sonicated 4 times for 30 s at 20 kHz with 15 s cooling intervals in an ice bath. The lysate was centrifuged at 15,000× g for 15 min at 4 °C, and the supernatant was collected and used as the intracellular enzyme fraction.
  • Cell wall-associated enzyme: The pellet obtained from the previous centrifugation step was resuspended in 50 mM sodium phosphate buffer (pH 6.0) and centrifuged at 15,000× g and 4 °C for 15 min. The supernatant was discarded, and the pellet resuspended in the same buffer at a concentration of 0.2 g mL−1 (wet weight), the method was described by dos Santos et al. [2].
The reactional mixture consisted of 1:9 ratio of enzyme solution to substrate, one mmol L−1 of dithiothreitol, and a FA (0.5 g L−1) prepared in sodium phosphate buffer 50 mM (pH 6.0). Reaction was maintained at 30.0 °C for five minutes, and the enzymatic activity was then halted by adding ethanol 96 ºGL in a 1:4 ratio (reaction mixture: ethanol).
FA decarboxylase activity was determined by FA reduction and 4-VG formation (μmol). One unit (U) of enzyme activity was defined as the amount of enzyme required to produce one μmol of 4-VG per minute under the assay conditions. Specific activity was calculated by relation of total enzyme unit (U) to the total proteins (mg) of the intracellular fraction used in the reaction. The total protein content was determined using the Bradford method, with bovine serum albumin (BSA) as the standard.

2.6. FA Decarboxylase Characterization

2.6.1. Effect of pH and Temperature on Enzyme Activity and Stability

During the cell wall-associated crude enzyme characterization, the enzyme activity was evaluated across a pH range of 4.0 to 9.0, using 0.1 M sodium acetate (pH 4.0–5.0); MES (pH 5.5–6.5); HEPES (pH 7.0–8.0); BICINE (pH 8.5–9.0) at 30 °C. The temperature effect on the enzyme activity was determined in the range of 20 and 60 °C, at pH 5.5, following the previously described enzyme reaction. Enzyme stability was assessed by incubating the enzyme without substrate, while for pH stability, samples were incubated in buffers ranging from pH 4.0 to 9.0 at 4 and 25 °C for 60 min. Thermal stability was determined by incubating the crude enzyme solution at a temperature range from 20 to 50 °C for 60 min. The remaining decarboxylase activity was determined under standard assay conditions described above at 40 °C and pH 5.0.

2.6.2. Stability of Enzyme on Storage at Different Temperatures

The enzyme was stored at 4 °C and −20 °C for 30, 90, and 180 days, and the remaining activities were determined as described in the previous section after filtration in a 0.22 µm syringe filter.

2.7. Data Analysis

At least three independent replicates were included for each measurement, with a control experiment performed under the same conditions. Results are expressed as the mean of replicate values with their corresponding standard deviations (mean ± SD).
Statistical analyses were conducted through one-way ANOVA and followed by Tukey’s post hoc test for multiple comparisons in GraphPad Prism 10.6.0, with significance defined at p < 0.05.

3. Results and Discussion

3.1. Studies on Bacterial Tolerance to FA and Its Transformation to 4-VG

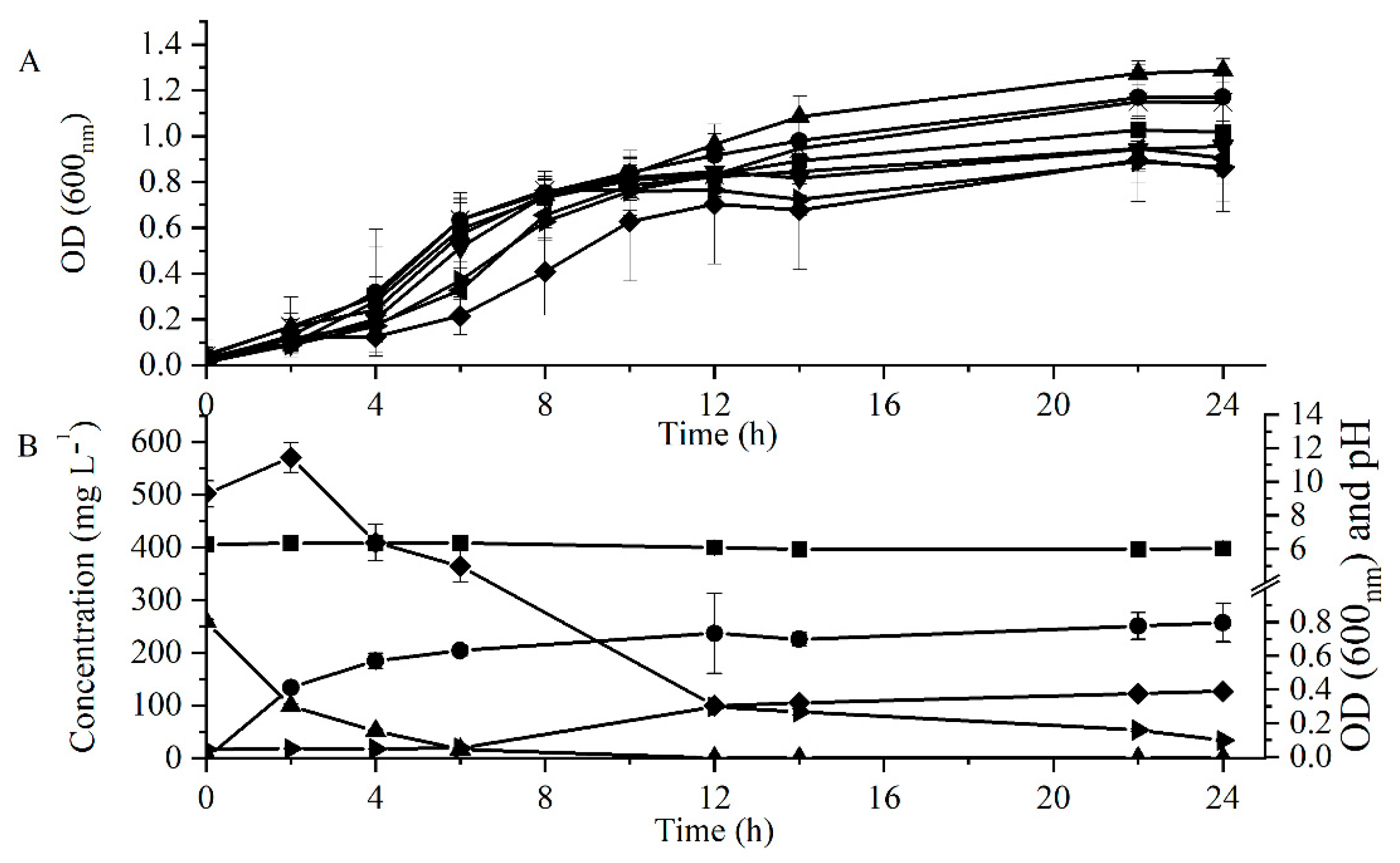
There was no significant difference in bacterium growth at FA concentrations between 100 and 700 mg L−1. (Figure 2A), although a slight decrease was observed at concentrations above 500 mg L−1. For more details check Figure S9 in Supplementary material.
Figure 2. (A) Growth of B. intermedia TG 3.48 in nutrient medium containing 100 to 700 mg L−1 of FA. ■ 100 mg L−1; ● 200 mg L−1; ▲ 300 mg L−1; ▼ 400 mg L−1; ► 500 mg L−1 and ◄ 600 mg L−1; ♦ 700 mg L−1 of FA. × = biotic control; and (B) B. intermedia TG 3.48 growth in a medium with 300 mg L−1 of FA. Left y-axis (concentration mg L−1): ▲ = FA; ♦ = Glucose; ● = 4-VG. Right y-axis (pH up/OD down): ■ = pH; ► = microbial biomass. Data are mean ± SD of three replicates (n = 3).
Figure 2B shows that during cultivation with 300 mg L−1 of FA, there was a rapid decrease in FA concentration within the first 6 h, during which no bacterial growth was observed. Once the FA level reached its minimum, glucose was rapidly consumed, which marked the onset of growth. Glucose concentration continued to decrease until 12 h of cultivation when the maximum biomass and the highest 4-VG concentration (236.8 ± 76.3 mg L−1) were achieved. The 4-VG concentration remained stable for up to 24 h of cultivation. See Figure S10.
LC-MS chromatography revealed a proton ion peak at 151.1 m/z (Figure S2), consistent with the mass of 4-VG (150.17 g mol−1). A yield of 99.5% was achieved for the bioconversion of FA to 4-VG, starting with an initial concentration of 258.7 ± 4.0 mg L−1 (1.71 mmol L−1).
HPLC did not detect any FA-derived metabolites, except in samples collected between 12 and 14 h of cultivation when VA was observed (Figure 3).
Figure 3. Chromatogram using a sample from 12 h of cultivation of B. intermedia TG 3.48 in a medium with 300 mg L−1 of FA, only showed the presence of VA as a FA derivative. The compounds were confirmed by LC-MS.
B. intermedia TG 3.48 has been shown to be capable of degrading xenobiotic compounds [21,31,32]. FA has been characterized as an antimicrobial agent with bacteriostatic effect, impacting cell mobility, biofilm formation, and energy metabolism. On the other hand, the microbial transformation of this compound could be seen as a detoxification action [33,34].
A concentration of FA around 500 mg L−1 inhibited the growth of Pseudomonas aeruginosa ATCC 10145 and Escherichia coli CECT4342, while Staphylococcus aureus CECT 976 was only inhibited at 5000 mg L−1 of FA [35]. B. intermedia TG 3.48 tolerated FA concentrations up to 700 mg L−1 without a significant decrease in biomass production (Figure 2A). The simultaneous consumption of glucose and FA suggests that the bacteria utilize the sugar as an energy and carbon source, while FA is biotransformed into 4-VG as a detoxification mechanism.
For the bioconversion of FA to 4-VG, 300 mg L−1 of FA was used to avoid inhibition in bacterial growth and to optimize the process. The concurrent decrease in FA concentration and formation of 4-VG (Figure S3) confirms the use of decarboxylation as a detoxification mechanism. Similar results have been reported for Enterobacter sp. Px6-4 [36] and K. pneumoniae [2].

3.2. FA Decarboxylase Activity (FADase)

FADase activity was examined in the intracellular extract (lysed cell) using the whole cell, the cell wall fragments, and the culture medium. It was considered an extracellular enzyme in all the samples, except the intracellular extract. When the whole cell was used, an activity of 5.17 U mL−1 was determined. With the intracellular extract and the cell wall fragments, the activity was 4.40 U mL−1 and 3.54 U mL−1, respectively (Figure 4 FADase Activity, B and C), while the specific activity was 778.90 U mg−1. These findings indicate that the enzyme is associated with the cell. A small amount of 4-VG detected in the culture medium (0.35 U mL−1) could be the result of cell disruption during cultivation.
Figure 4. Residual ferulic acid (FA), 4-vinylguaiacol production (4-VG), and FADase activity. A: whole cell; B: intracellular extract; C: cell wall fragments; D: culture medium; E: control. Data are mean ± SD of three replicates (n = 3) and statistical significance (ANOVA/Tukey’s post hoc test) was set at p < 0.05.
A one-way ANOVA confirmed the highly significant difference among the enzyme fractions for all tested parameters, including FADase activity, 4-VG production, and FA consumption (all p < 0.0001). Post hoc analysis with Tukey’s test showed that the whole-cell fraction (A) had significantly higher FADase activity and produced significantly more 4-VG product compared to the culture medium (D) (p < 0.0001 for both comparisons). The negligible activity and product formation in the culture medium confirm that the FADase enzyme is cell-associated and is secreted into the medium only at low concentrations.
Our results confirm that the conversion of FA to 4-VG occurs via decarboxylation. The detection of cell-associated FADase activity supports this hypothesis. Data indicates that FADase is associated with the whole cell and cell wall fragments, suggesting it is an extracellular enzyme, but it was not released into the medium. This profile is consistent with enzymes involved in medium detoxification [37]. Similar findings were reported by Li et al. [36], where the intracellular activity of FADase was directly associated with an increase in 4-VG concentration in Enterobacter sp. Px6-4.

3.3. Enzyme Characterization

FADase exhibited maximum activity at pH 5.5 (Figure 5A) and at 50 °C, with activity in temperature range between 40 and 55 °C (Figure 5B). In the absence of any substrate, FADase remained stable within a pH range of 4.5 to 6.5 (Figure 5C), while remaining stable between 30 and 45 °C, it lost 40% of its initial activity at 50 °C and was inactivated at 55 °C (Figure 5D).
Figure 5. Effect of pH (A) and temperature (B) on enzyme activity. Effect of pH (C) and temperature (D) on the enzyme stability in absence of substrate. The maximal activity among the data was considered as 100%. Data are mean ± SD of three replicates (n = 3).
The enzyme remained stable for 180 days when stored at −20 °C. At 4 °C, it retained 60% of its initial activity after 90 days and 40% after 180 days (Figure 6).
Figure 6. Effect of temperature on enzyme storage. ■ = 4 °C; ● = −20 °C. 100% of activity was considered based on the unincubated enzyme.
The physicochemical properties of FADase, including maximum activity at pH 5.0 and 6.0, are consistent with other FADases, such as that described by Santos et al. [2] from K. pneumoniae TD 4.7 and by Maeda et al. [38] from Bacillus sp. BP-7. However, the highest activity observed at 40 and 55 °C indicates that these enzymes are more thermostable than those from Candida guilliermondii, which has an optimal temperature at 25 °C, P. fluorescens UI 670 at 27 to 30 °C, B. pumilus PS213 at 37 °C, and K. pneumoniae TD 4.7 at 40 °C [2,37,39,40].

3.4. Products of FADase Activity

The degradation of FA via 4-VG is a pathway commonly employed by bacteria, filamentous fungi, and yeasts, but with differences in efficiencies and resulting metabolites. In many studies, 4-VG is reported as an intermediate metabolite resulting from the decarboxylation of FA. This intermediate can be further biotransformed into acetovanillone or vanillin. Oxidation of vanillin produces VA, which can be subsequently bioconverted into protocatechuic acid or catechol [2,13,41,42].
In this study, only trace amounts of VA were detected, indicating that B. intermedia TG 3.48 can convert 4-VG to vanillin and subsequently to VA, as suggested in the literature [43]. The non-detection of vanillin may be due to its rapid conversion to VA. The maintenance of 4-VG concentration after the maximum production peak at 12 h of cultivation suggests that this metabolite was not used as a carbon source and was minimally converted to other metabolites (vanillin, VA, and catechol) [11]. However, it is possible that, with cultivation exceeding 24 h, further metabolization of 4-VG to vanillin and VA may occur, as observed in Streptomyces setonii by Salgado et al. [44]. These findings are interesting from a biotechnological perspective, indicating the potential use of this bacterium for single step production of 4-VG at high yield.

4. Conclusions

To our knowledge, this study is the first report that B. intermedia TG 3.48 biotransforms FA to 4-VG via a cell-wall-associated FADase. The strain tolerates high FA concentrations and achieves a high conversion yield, while the enzyme is stable between 30 and 40 °C and operates without added cofactors, features that simplify reactor design and reduce operating costs. Although vanillin was not detected in the culture, likely due to rapid conversion, the strain can further convert 4-VG into downstream derivatives such as vanillic acid, indicating useful substrate scope for valorizing lignocellulosic FA into value-added aroma and chemical intermediates. When compared with conventional biotransformation routes that require cofactor supplementation or regeneration, or to free enzyme approaches, which typically demand purification, can be less stable, and suffer greater sensitivity to substrate and product toxicity, B. intermedia TG 3.48 stands as a practical and competitive biocatalyst for valorizing FA from lignocellulosic biomass, because of the combination of species-level novelty, cell-wall-associated localization, cofactor independence, thermal stability in a mesophilic range, high substrate tolerance, and elevated bioconversion rates.

Supplementary Materials

The following supporting information can be downloaded at: https://www.mdpi.com/article/10.3390/pr13103367/s1, Figure S1. Chromatogram obtained from a sample of medium after 24 h of cultivation of the bacterium B. intermedia TG 3.48, where the peak at 28.6 min represents 4-VG. Figure S2. Chromatogram (A) and mass spectrum (B) for 4-VG, determined by LC-MS. Figure S3. FA consumption profile and 4-VG formation at different incubation times. Figure S4. Chromatogram corresponding to the retention time of the FA standard. Figure S5. Chromatogram corresponding to the retention time of the 4-VG standard. Figure S6. Chromatogram corresponding to the retention time of the catechol standard. Figure S7. Chromatogram corresponding to the retention time of the vanillic acid standard. Figure S8. Chromatogram corresponding to the retention time of the vanillin standard. Figure S9. Growth profiles of the bacterium Brucella intermedia TG 3.48 at concentrations of (A) 100 to 500 mg L−1 FA and (B) between 500 and 700 mg L−1 FA. Figure S10. B. intermedia TG 3.48 growth in a medium with 300 mg L−1 of FA. Left y-axis (concentration mg L−1): ▲ = FA; = Glucose; = 4-VG. Right y-axis (pH up/OD down): = pH; = microbial biomass.

Author Contributions

Conceptualization: E.G.; methodology: E.G., M.B.C.d.S., M.A.Z., É.J.P. and M.B.; investigation: S.P.d.C. and K.S.D.; data curation: E.G., M.B.C.d.S., M.B. and R.d.S.; formal analysis: E.G. and M.B.C.d.S.; writing—original draft preparation: S.P.d.C., E.G. and M.A.Z.; writing—review and editing: E.G., M.A.Z. and É.J.P.; visualization, R.R.d.S.; supervision: E.G. and M.B.C.d.S.; project administration: E.G., M.B. and R.d.S.; funding acquisition: E.G., M.B. and R.d.S. All authors have read and agreed to the published version of the manuscript.

Funding

The authors gratefully acknowledge the financial support from the São Paulo Research Foundation (FAPESP-Process n. 2018/21030-9 and 2021/01317-4) and National Council for Scientific and Technological Development—CNPq.

Data Availability Statement

Data is contained within the article.

Conflicts of Interest

The authors declare no conflicts of interest.

References

  1. Eugenio, M.E.; Martín-Sampedro, R.; Santos, J.I.; Wicklein, B.; Martín, J.A.; Ibarra, D. Properties versus application requirements of solubilized lignins from an elm clone during different pre-treatments. Int. J. Biol. Macromol. 2021, 181, 99–111. [Google Scholar] [CrossRef]
  2. dos Santos, M.B.C.; Scarpassa, J.A.; Monteiro, D.A.; Ladino-Orjuela, G.; Da Silva, R.; Boscolo, M.; Gomes, E. Evaluation of the tolerance and biotransformation of ferulic acid by Klebsiella pneumoniae TD 4.7. Braz. J. Microbiol. 2021, 52, 1181–1190. [Google Scholar] [CrossRef] [PubMed]
  3. Pang, T.; Wang, G.; Sun, H.; Sui, W.; Si, C. Lignin fractionation: Effective strategy to reduce molecule weight dependent heterogeneity for upgraded lignin valorization. Ind. Crops Prod. 2021, 165, 113442. [Google Scholar] [CrossRef]
  4. Lentz, M. The Impact of Simple Phenolic Compounds on Beer Aroma and Flavor. Fermentation 2018, 4, 20. [Google Scholar] [CrossRef]
  5. Li, L.; Long, L.; Ding, S. Bioproduction of high-concentration 4-vinylguaiacol using whole-cell catalysis harboring an organic solvent-tolerant phenolic acid decarboxylase from Bacillus atrophaeus. Front. Microbiol. 2019, 10, 1798. [Google Scholar] [CrossRef]
  6. Dorfner, R.; Ferge, T.; Kettrup, A.; Zimmermann, R.; Yeretzian, C. Real-Time Monitoring of 4-Vinylguaiacol, Guaiacol, and Phenol during Coffee Roasting by Resonant Laser Ionization Time-of-Flight Mass Spectrometry. J. Agric. Food Chem. 2003, 51, 5768–5773. [Google Scholar] [CrossRef]
  7. Moon, J.-K.; Shibamoto, T. Role of Roasting Conditions in the Profile of Volatile Flavor Chemicals Formed from Coffee Beans. J. Agric. Food Chem. 2009, 57, 5823–5831. [Google Scholar] [CrossRef]
  8. Lin, J.; Rouseff, R.L. Characterization of Aroma-Impact Compounds in Cold-Pressed Grapefruit Oil Using Time–Intensity GC–Olfactometry and GC–MS. Flavour Fragr. J. 2001, 16, 457–463. [Google Scholar] [CrossRef]
  9. Yu, X.; Chen, X.; Li, Y.; Li, L. Effect of Drying Methods on Volatile Compounds of Citrus Reticulata Ponkan and Chachi Peels as Characterized by GC-MS and GC-IMS. Foods 2022, 11, 2662. [Google Scholar] [CrossRef]
  10. Khan, M.R.; Fadlallah, S.; Gallos, A.; Flourat, A.L.; Torrieri, E.; Allais, F. Effect of ferulic acid derivative concentration on the release kinetics, antioxidant capacity, and thermal behaviour of different polymeric films. Food Chem. 2023, 410, 135395. [Google Scholar] [CrossRef] [PubMed]
  11. Lubbers, R.J.M.; Dilokpimol, A.; Visser, J.; Mäkelä, M.R.; Hildén, K.S.; de Vries, R.P. A comparison between the homocyclic aromatic metabolic pathways from plant-derived compounds by bacteria and fungi. Biotechnol. Adv. 2019, 37, 107396. [Google Scholar] [CrossRef]
  12. Detering, T.; Mundry, K.; Berger, R.G. Generation of 4-vinylguaiacol through a novel high-affinity ferulic acid decarboxylase to obtain smoke flavours without carcinogenic contaminants. PLoS ONE 2020, 15, e0244290. [Google Scholar] [CrossRef]
  13. Sun, L.-H.; Lv, S.-W.; Yu, F.; Li, S.-N.; He, L.-Y. Biosynthesis of 4-vinylguaiacol from crude ferulic acid by Bacillus licheniformis DLF-17056. J. Biotechnol. 2018, 281, 144–149. [Google Scholar] [CrossRef]
  14. Tramontina, R.; Ciancaglini, I.; Roman, E.K.B.; Chacón, M.G.; Corrêa, T.L.R.; Dixon, N.; Bugg, T.D.H.; Squina, F.M. Sustainable biosynthetic pathways to value-added bioproducts from hydroxycinnamic acids. Appl. Microbiol. Biotechnol. 2023, 107, 4165–4185. [Google Scholar] [CrossRef]
  15. Bell, E.L.; Finnigan, W.; France, S.P.; Green, A.P.; Hayes, M.A.; Hepworth, L.J.; Lovelock, S.L.; Niikura, H.; Osuna, S.; Romero, E.; et al. Biocatalysis. Nat. Rev. Methods Primers 2021, 1, 46. [Google Scholar] [CrossRef]
  16. Byrne, P.A.; Gilheany, D.G. The Modern Interpretation of the Wittig Reaction Mechanism. Chem. Soc. Rev. 2013, 42, 6670–6696. [Google Scholar] [CrossRef]
  17. Woźniak-Karczewska, M.; Čvančarová, M.; Chrzanowski, Ł.; Kolvenbach, B.; Corvini, P.F.-X.; Cichocka, D. Isolation of two Ochrobactrum sp. strains capable of degrading the nootropic drug—Piracetam. New Biotechnol. 2018, 43, 37–43. [Google Scholar] [CrossRef] [PubMed]
  18. Katsivela, E.; Moore, E.R.B.; Kalogerakis, N. Biodegradation of aliphatic and aromatic hydrocarbons: Specificity among bacteria isolated from refinery waste sludge. Water Air Soil Pollut. Focus 2003, 3, 103–115. [Google Scholar] [CrossRef]
  19. Sultan, S.; Hasnain, S. Reduction of toxic hexavalent chromium by Ochrobactrum intermedium strain SDCr-5 stimulated by heavy metals. Bioresour. Technol. 2007, 98, 340–344. [Google Scholar] [CrossRef] [PubMed]
  20. Waranusantigul, P.; Lee, H.; Kruatrachue, M.; Pokethitiyook, P.; Auesukaree, C. Isolation and characterization of lead-tolerant Ochrobactrum intermedium and its role in enhancing lead accumulation by Eucalyptus camaldulensis. Chemosphere 2011, 85, 584–590. [Google Scholar] [CrossRef] [PubMed]
  21. Egea, T.C.; Da Silva, R.; Boscolo, M.; Rigonato, J.; Monteiro, D.A.; Grünig, D.; Da Silva, H.; Van Der Wielen, F.; Helmus, R.; Parsons, J.R. Diuron degradation by bacteria from soil of sugarcane crops. Heliyon 2017, 3, e00471. [Google Scholar] [CrossRef] [PubMed]
  22. Ferhat, S.; Alouaoui, R.; Badis, A.; Moulai-Mostefa, N. Production and characterization of biosurfactant by free and immobilized cells from Ochrobactrum intermedium isolated from the soil of southern Algeria with a view to environmental application. Biotechnol. Biotechnol. Equip. 2017, 31, 733–742. [Google Scholar] [CrossRef]
  23. Chen, P.; Yan, L.; Wu, Z.; Li, S.; Bai, Z.; Yan, X.; Wang, N.; Liang, N.; Li, H. A Microbial Transformation Using Bacillus subtilis B7-S to Produce Natural Vanillin from Ferulic Acid. Sci. Rep. 2016, 6, 20400. [Google Scholar] [CrossRef]
  24. Mohamed, E.T.; Werner, A.Z.; Salvachúa, D.; Singer, C.A.; Szostkiewicz, K.; Rafael Jiménez-Díaz, M.; Eng, T.; Radi, M.S.; Simmons, B.A.; Mukhopadhyay, A.; et al. Adaptive Laboratory Evolution of Pseudomonas Putida KT2440 Improves p-Coumaric and Ferulic Acid Catabolism and Tolerance. Metab. Eng. Commun. 2020, 11, e00143. [Google Scholar] [CrossRef]
  25. Lin, F.; Ferguson, K.L.; Boyer, D.R.; Lin, X.N.; Marsh, E.N.G. Isofunctional Enzymes PAD1 and UbiX Catalyze Formation of a Novel Cofactor Required by Ferulic Acid Decarboxylase and 4-Hydroxy-3-Polyprenylbenzoic Acid Decarboxylase. ACS Chem. Biol. 2015, 10, 1137–1144. [Google Scholar] [CrossRef]
  26. Landete, J.M.; Rodríguez, H.; Curiel, J.A.; De Las Rivas, B.; Mancheño, J.M.; Muñoz, R. Gene Cloning, Expression, and Characterization of Phenolic Acid Decarboxylase from Lactobacillus Brevis RM84. J. Ind. Microbiol. Biotechnol. 2010, 37, 617–624. [Google Scholar] [CrossRef]
  27. Hördt, A.; López, M.G.; Meier-Kolthoff, J.P.; Schleuning, M.; Weinhold, L.-M.; Tindall, B.J.; Gronow, S.; Kyrpides, N.C.; Woyke, T.; Göker, M. Analysis of 1,000+ Type-Strain Genomes Substantially Improves Taxonomic Classification of Alphaproteobacteria. Front. Microbiol. 2020, 11, 468. [Google Scholar] [CrossRef]
  28. Bertani, G. Studies on lysogenesis I. J. Bacteriol. 1951, 62, 293–300. [Google Scholar] [CrossRef]
  29. Bushnell, L.D.; Haas, H.F. The utilization of certain hydrocarbons by microorganisms. J. Bacteriol. 1941, 41, 653–673. [Google Scholar] [CrossRef]
  30. Rodríguez-Delgado, M.A.; Malovaná, S.; Pérez, J.P.; Borges, T.; García Montelongo, F.J. Separation of phenolic compounds by high-performance liquid chromatography with absorbance and fluorimetric detection. J. Chromatogr. A 2001, 912, 249–257. [Google Scholar] [CrossRef] [PubMed]
  31. Mahendhran, K.; Arthanari, A.; Dheenadayalan, B.; Ramanathan, M. Bioconversion of oily bilge waste to polyhydroxybutyrate (PHB) by marine Ochrobactrum intermedium. Bioresour. Technol. Rep. 2018, 4, 66–73. [Google Scholar] [CrossRef]
  32. Shukla, A.; Parmar, P.; Goswami, D.; Patel, B.; Saraf, M. Characterization of novel thorium tolerant Ochrobactrum intermedium AM7 in consort with assessing its EPS-Thorium binding. J. Hazard. Mater. 2020, 388, 122047. [Google Scholar] [CrossRef]
  33. Lemos, M.; Borges, A.; Teodósio, J.; Araújo, P.; Mergulhão, F.; Melo, L.; Simões, M. The effects of ferulic and salicylic acids on Bacillus cereus and Pseudomonas fluorescens single- and dual-species biofilms. Int. Biodeterior. Biodegrad. 2014, 86, 42–51. [Google Scholar] [CrossRef]
  34. Hu, B.-B.; Wang, J.-L.; Wang, Y.-T.; Zhu, M.-J. Specify the individual and synergistic effects of lignocellulose-derived inhibitors on biohydrogen production and inhibitory mechanism research. Renew. Energy 2019, 140, 397–406. [Google Scholar] [CrossRef]
  35. Borges, A.; Saavedra, M.J.; Simões, M. The activity of ferulic and gallic acids in biofilm prevention and control of pathogenic bacteria. Biofouling 2012, 28, 755–767. [Google Scholar] [CrossRef]
  36. Li, X.; Yang, J.; Li, X.; Gu, W.; Huang, J.; Zhang, K.-Q. The metabolism of ferulic acid via 4-vinylguaiacol to vanillin by Enterobacter sp. Px6-4 isolated from Vanilla root. Process Biochem. 2008, 43, 1132–1137. [Google Scholar] [CrossRef]
  37. Degrassi, G.; Polverino De Laureto, P.; Bruschi, C.V. Purification and characterization of ferulate and p-coumarate decarboxylase from Bacillus pumilus. Appl. Environ. Microbiol. 1995, 61, 326–332. [Google Scholar] [CrossRef] [PubMed]
  38. Maeda, M.; Tokashiki, M.; Tokashiki, M.; Uechi, K.; Ito, S.; Taira, T. Characterization and induction of phenolic acid decarboxylase from Aspergillus luchuensis. J. Biosci. Bioeng. 2018, 126, 162–168. [Google Scholar] [CrossRef] [PubMed]
  39. Huang, Z.; Dostal, L.; Rosazza, J.P. Purification and characterization of a ferulic acid decarboxylase from Pseudomonas fluorescens. J. Bacteriol. 1994, 176, 5912–5918. [Google Scholar] [CrossRef]
  40. Huang, H.-K.; Tokashiki, M.; Maeno, S.; Onaga, S.; Taira, T.; Ito, S. Purification and properties of phenolic acid decarboxylase from Candida guilliermondii. J. Ind. Microbiol. Biotechnol. 2012, 39, 55–62. [Google Scholar] [CrossRef]
  41. Baqueiro-Peña, I.; Rodríguez-Serrano, G.; González-Zamora, E.; Augur, C.; Loera, O.; Saucedo-Castañeda, G. Biotransformation of ferulic acid to 4-vinylguaiacol by a wild and a diploid strain of Aspergillus niger. Bioresour. Technol. 2010, 101, 4721–4724. [Google Scholar] [CrossRef] [PubMed]
  42. Xie, X.-G.; Dai, C.-C. Degradation of a model pollutant ferulic acid by the endophytic fungus Phomopsis liquidambari. Bioresour. Technol. 2015, 179, 35–42. [Google Scholar] [CrossRef] [PubMed]
  43. Girawale, S.D.; Meena, S.N.; Nandre, V.S.; Waghmode, S.B.; Kodam, K.M. Biosynthesis of Vanillic Acid by Ochrobactrum Anthropi and Its Applications. Bioorg. Med. Chem. 2022, 72, 117000. [Google Scholar] [CrossRef] [PubMed]
  44. Salgado, J.M.; Max, B.; Rodríguez-Solana, R.; Domínguez, J.M. Purification of ferulic acid solubilized from agroindustrial wastes and further conversion into 4-vinyl guaiacol by Streptomyces setonii using solid state fermentation. Ind. Crops Prod. 2012, 39, 52–61. [Google Scholar] [CrossRef]
Disclaimer/Publisher’s Note: The statements, opinions and data contained in all publications are solely those of the individual author(s) and contributor(s) and not of MDPI and/or the editor(s). MDPI and/or the editor(s) disclaim responsibility for any injury to people or property resulting from any ideas, methods, instructions or products referred to in the content.

Article Metrics

Citations

Article Access Statistics

Multiple requests from the same IP address are counted as one view.