- Communication
Glutathione Trisulphide Improves Skin Brightness with Anti-Melanogenesis Effects and Maintains Intracellular Persulphide Levels
- Yoshiaki Uchida and
- Toshiya Sato
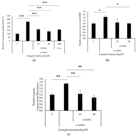
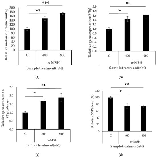
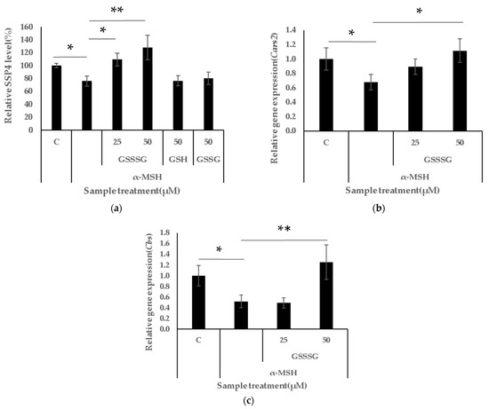
Melanin, the principal component of skin pigmentation, is produced through tyrosinase activity. Recently, supersulphides have been identified in human cells and found to play a role in maintaining cellular activities. Glutathione trisulphide (GSSSG),...

