Previous Issue
Volume 14, December-1
 
 
jcm-logo

Journal Browser

Journal Browser

J. Clin. Med., Volume 14, Issue 24 (December-2 2025) – 47 articles

  • Issues are regarded as officially published after their release is announced to the table of contents alert mailing list.
  • You may sign up for e-mail alerts to receive table of contents of newly released issues.
  • PDF is the official format for papers published in both, html and pdf forms. To view the papers in pdf format, click on the "PDF Full-text" link, and use the free Adobe Reader to open them.
Order results
Result details
Section
Select all
Export citation of selected articles as:
12 pages, 220 KB  
Article
Impact of Surgical Timing on Outcome in Papillary Thyroid Cancer Patients in Saudi Arabia
by Omar Zaki Alaidaroos, Saleh F. Aldhahri, Talal Banan Alanazi, Malak Satam Alanazi, Khalid H. Alqahtani, Mohammed Alessa, Naif Fnais and Faisal R. Alzahrani
J. Clin. Med. 2025, 14(24), 8662; https://doi.org/10.3390/jcm14248662 (registering DOI) - 6 Dec 2025
Abstract
Background/Objectives: To evaluate whether the interval between diagnosis and surgery is associated with aggressive histopathological features in papillary thyroid carcinoma (PTC) among patients treated at a tertiary hospitals in Saudi Arabia. Methods: This retrospective study was conducted at King Fahad Medical City, Riyadh, [...] Read more.
Background/Objectives: To evaluate whether the interval between diagnosis and surgery is associated with aggressive histopathological features in papillary thyroid carcinoma (PTC) among patients treated at a tertiary hospitals in Saudi Arabia. Methods: This retrospective study was conducted at King Fahad Medical City, Riyadh, Saudi Arabia, from November 2009 to November 2024. A total of 350 adult patients who underwent surgical intervention for PTC were included based on predefined inclusion and exclusion criteria. Data were collected from medical records and included demographic, clinical, and histopathological characteristics. The primary outcome was the presence of aggressive histopathological features, assessed through tumor subtype, tumor size, extrathyroidal extension (ETE), lymph-node involvement, extracapsular extension (ECE), multifocality, goitrous tumor, thyroiditis, perineural invasion, lymphovascular invasion, and margin status. Surgical timing was categorized into two groups: less than six months and six months or more from diagnosis. Results: Most patients were female (76.6%), with a mean age of 40.7 years, and 78.3% were classified as overweight or obese. The analysis showed no statistically significant differences in histopathological outcomes between the two surgical timing groups. A significant association was found between positive lymph-node involvement and surgery performed within the first six months of diagnosis (p = 0.004). Conclusions: This study showed that surgical timing does not significantly affect histopathological outcomes in papillary thyroid carcinoma, particularly in patients without aggressive disease features. The association between early surgery and positive lymph-node involvement may reflect the prioritization of patients with preoperative lymph-node disease for earlier surgical intervention, highlighting the importance of individualized treatment planning. Further research is needed to explore the long-term impact of surgical timing and potential subgroup differences. Full article
(This article belongs to the Section General Surgery)
20 pages, 1211 KB  
Systematic Review
Release of Titanium Particles After Implantoplasty in the Treatment of Peri-implantitis: Local and Systemic Implications—An Integrative Systematic Review
by Maria Belén Rodríguez Alvarez, Esteban Padullés-Roig, Guillermo Cabanes-Gumbau, J. A. Callejas-Cano and Javier Gil
J. Clin. Med. 2025, 14(24), 8661; https://doi.org/10.3390/jcm14248661 (registering DOI) - 6 Dec 2025
Abstract
Background/Objectives: Implantoplasty is widely applied in the surgical management of peri-implantitis; however, this procedure releases titanium micro- and nanoparticles whose biological relevance remains uncertain. Understanding whether these particles influence peri-implant tissue health or systemic responses is essential for assessing the long-term safety of [...] Read more.
Background/Objectives: Implantoplasty is widely applied in the surgical management of peri-implantitis; however, this procedure releases titanium micro- and nanoparticles whose biological relevance remains uncertain. Understanding whether these particles influence peri-implant tissue health or systemic responses is essential for assessing the long-term safety of implantoplasty. To determine whether titanium particles generated during implantoplasty are associated with peri-implantitis, peri-implant tissue changes, or systemic effects. Methods: This systematic review followed PRISMA 2020 guidelines. Electronic searches were performed in PubMed, Scopus, and Cochrane Library for studies published between 2015 and 2025. Eligible in vitro, in vivo, observational, and clinical studies evaluated titanium particle release during or after implantoplasty and its local or systemic effects. Study selection and data extraction were conducted independently, and the risk of bias was assessed using RoB 2, ROBINS-I, and AMSTAR 2. Synthesis was qualitative due to heterogeneity. Certainty of evidence was evaluated with GRADE. Results: Fourteen studies met the inclusion criteria. Titanium particles ranging from 100 nm to 54 µm were consistently detected in peri-implant tissues, with higher levels in peri-implantitis sites, though without consistent clinical association. In vitro data showed dose-dependent inflammatory cytokine release and decreased osteogenic activity, whereas human studies did not confirm a direct relationship between particles and peri-implantitis or marginal bone loss. Certainty of evidence was generally low. Conclusions: Titanium particles generated during implantoplasty are detectable but show no consistent clinical association with peri-implantitis or significant inflammation. Implantoplasty may be applied selectively, although robust long-term clinical studies are still required. No protocol was registered. Full article
21 pages, 754 KB  
Systematic Review
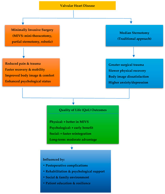
Does Minimally Invasive Valve Surgery Improve Quality of Life Compared to Sternotomy? A Systematic Review
by Andra Denis Marinescu, Stefan Andrei Oprea and Victor Sebastian Costache
J. Clin. Med. 2025, 14(24), 8660; https://doi.org/10.3390/jcm14248660 (registering DOI) - 6 Dec 2025
Abstract
Background/Objectives: Minimally invasive valve surgery (MIVS) is increasingly employed as an alternative to conventional median sternotomy (MS) in the treatment of valvular heart disease. However, its impact on postoperative quality of life (QoL) remains incompletely understood. This systematic review and meta-analysis aimed [...] Read more.
Background/Objectives: Minimally invasive valve surgery (MIVS) is increasingly employed as an alternative to conventional median sternotomy (MS) in the treatment of valvular heart disease. However, its impact on postoperative quality of life (QoL) remains incompletely understood. This systematic review and meta-analysis aimed to compare QoL outcomes between MIVS and MS, focusing on physical, psychological, and social dimensions, both in the short- and long-term postoperative periods. Methods: A comprehensive search was conducted in PubMed, Scopus, Web of Science, and Wiley Online Library databases for studies published between January 2020 and September 2025. Eligible studies included adult patients undergoing MIVS or MS and assessed QoL using validated instruments (SF-36, EQ-5D, MLHFQ, KCCQ). Random-effects models were used for meta-analysis, and standardized mean differences (SMDs) were calculated to estimate pooled effects. Results: Fifty-six studies with a combined sample of over 10,000 patients were included. MIVS was associated with significantly better short-term QoL outcomes across physical (SMD = 0.88; 95% CI: 0.74–1.02) and psychological domains (SMD = 0.47; 95% CI: 0.35–0.59). Patients also experienced earlier social reintegration and improved body image perception. Although these benefits diminished beyond 12 months, MIVS maintained a modest but persistent advantage in long-term QoL (≥5 years). Structured psychological support and cardiac rehabilitation programmes further enhanced physical and emotional recovery. Conclusions: MIVS confers meaningful benefits in postoperative QoL, particularly during the early recovery phase. Sustained improvements depend on comprehensive postoperative care, including rehabilitation and psychosocial support. Further long-term, standardized research is required to strengthen evidence and guide patient-centred surgical decision-making. Full article
(This article belongs to the Section Cardiovascular Medicine)
Show Figures

Figure 1

15 pages, 1079 KB  
Article
Three-Dimensional Models in Hepatic Surgery: Clinical Outcomes A Single-Center Experience
by María Victoria Vieiro Medina, Laura Alonso Murillo, Carlos Ernesto García Vasquez, Marta de la Fuente Bartolomé, Victor Nieto Barros, Fernando Neria and Santos Jiménez de los Galanes Marchán
J. Clin. Med. 2025, 14(24), 8659; https://doi.org/10.3390/jcm14248659 (registering DOI) - 6 Dec 2025
Abstract
Background: Hepatic resection requires precise knowledge of vascular anatomy and remnant liver volume to guarantee both safety and efficacy. Three-dimensional (3D) models, either virtual or printed, have been proposed as tools to optimize surgical planning, education, and intraoperative navigation. Material and Methods: This [...] Read more.
Background: Hepatic resection requires precise knowledge of vascular anatomy and remnant liver volume to guarantee both safety and efficacy. Three-dimensional (3D) models, either virtual or printed, have been proposed as tools to optimize surgical planning, education, and intraoperative navigation. Material and Methods: This retrospective observational study evaluated the impact of 3D model utilization (virtual and printed), in 89 patients who underwent elective hepatectomy at Infanta Elena University Hospital (Valdemoro, Madrid, Spain) between May 2018 and May 2023. The implementation of 3D modeling began to be routinely implemented as of November 2020. Patients were divided into two groups: those without 3D modeling (n = 40) and those with 3D modeling (n = 49). Results: Baseline characteristics were comparable between groups. Intraoperative blood loss was significantly lower in the 3D model group (median 175 mL vs. 262.5 mL; p < 0.001), with no statistically significant differences in operative time, complication rate (Clavien–Dindo classification), length of hospital stay, or in-hospital mortality. Multivariable analysis identified dyslipidemia, postoperative sodium delta, and postoperative increase in direct bilirubin as independent risk factors for complications, whereas albumin demonstrated a protective effect. Conclusions: Three-dimensional modeling improves anatomic orientation and reduces intraoperative blood loss, although it does not significantly modify classic perioperative outcomes. Its principal value appears to reside in preoperative planning and technical safety rather than direct clinical impact. Full article
(This article belongs to the Section General Surgery)
Show Figures

Figure 1

21 pages, 561 KB  
Article
Ghost in the Axilla: Luminal-Type Breast Cancer and Occult Sentinel Node Metastasis After Neoadjuvant Chemotherapy
by Gokay Cetinkaya, Ibrahim Burak Bahcecioglu, Sema Horasan, Osman Bardakci and Mehmet Ali Gulcelik
J. Clin. Med. 2025, 14(24), 8658; https://doi.org/10.3390/jcm14248658 (registering DOI) - 6 Dec 2025
Abstract
Background: Sentinel lymph node biopsy (SLNB) is the standard axillary staging procedure in clinically node-negative breast cancer but remains invasive, non-therapeutic and increasingly questioned in contemporary de-escalation algorithms. After neoadjuvant chemotherapy (NACT), however, the safety of omitting SLNB solely on the basis [...] Read more.
Background: Sentinel lymph node biopsy (SLNB) is the standard axillary staging procedure in clinically node-negative breast cancer but remains invasive, non-therapeutic and increasingly questioned in contemporary de-escalation algorithms. After neoadjuvant chemotherapy (NACT), however, the safety of omitting SLNB solely on the basis of a negative axillary ultrasound (AUS) is uncertain, particularly across molecular subtypes with heterogeneous chemosensitivity. This study evaluated the diagnostic performance of preoperative AUS after NACT and explored clinicopathological and biological factors associated with SLNB positivity in ultrasound-negative axillae. Methods: In this single-centre retrospective cohort, 135 women with invasive breast cancer who received NACT followed by surgery (2022–2024) were analysed. To avoid spectrum bias, 77 patients with clipped, cytologically or histologically proven node-positive disease at baseline were excluded from the main analysis. All patients underwent preoperative AUS and definitive axillary staging. Ninety-six women with ultrasound-negative axillae who proceeded to SLNB constituted the primary study population. Oestrogen receptor (ER), progesterone receptor (PR), HER2, Ki-67 and immunohistochemistry-based molecular subtype were recorded. Receiver operating characteristic (ROC) analysis and uni/multivariable logistic regression were used as exploratory tools to identify factors associated with SLNB positivity. Results: In the overall cohort, AUS sensitivity, specificity, negative predictive value and false-negative rate for axillary metastasis were 47.8%, 90.9%, 62.5% and 52.2%, respectively. Among ultrasound-negative axillae, SLNB was positive in 37.5%. Compared with SLNB-negative patients, those with SLNB metastases more frequently harboured an intratumoural ductal carcinoma in situ (DCIS) component, showed higher ER/PR expression and lower Ki-67, and were predominantly luminal A or luminal B/HER2−, whereas AUS performance appeared more favourable in HER2-enriched and triple-negative tumours. ROC-derived cut-offs for ER (82.5%), PR (25.0%) and Ki-67 (17.5%) provided only moderate discrimination (area under the curve 0.68–0.70). In multivariable analysis, absence of a DCIS component and low PR expression were independently associated with reduced odds of SLNB positivity, suggesting that DCIS and high PR may act as indicators of residual nodal risk in ultrasound-negative axillae. All estimates are limited by sample size and wide confidence intervals and should be interpreted as hypothesis-generating. Conclusions: Preoperative AUS alone cannot reliably exclude sentinel lymph node metastasis after NACT, particularly in luminal A and luminal B/HER2− tumours with strong hormone receptor expression and a low proliferative index. Until prospective, biology-stratified trials confirm the safety of omission, SLNB should not be withheld solely on the basis of a negative AUS in these subtypes. Axillary management after NACT should systematically integrate both imaging findings and tumour biology when considering further de-escalation of surgery. Full article
(This article belongs to the Section Oncology)
Show Figures

Figure 1

11 pages, 644 KB  
Article
Real-World, Single-Center Analysis of Cutaneous Adverse Events with Nemolizumab: Toward Safer and More Effective Use
by Akiko Sugiyama, Takeshi Nakahara, Kaoru Kojima, Haruko Nishie, Miku Nishimura and Tetsuya Hiramoto
J. Clin. Med. 2025, 14(24), 8657; https://doi.org/10.3390/jcm14248657 (registering DOI) - 6 Dec 2025
Abstract
Background/Objectives: Nemolizumab provides rapid and effective relief from pruritus in patients with atopic dermatitis. However, it is frequently associated with cutaneous adverse events, and reliable predictors of their severity have not yet been clearly identified. This study aimed to investigate the relationship between [...] Read more.
Background/Objectives: Nemolizumab provides rapid and effective relief from pruritus in patients with atopic dermatitis. However, it is frequently associated with cutaneous adverse events, and reliable predictors of their severity have not yet been clearly identified. This study aimed to investigate the relationship between the severity of nemolizumab-associated cutaneous adverse events and patients’ clinical background and to explore baseline factors that may be useful in predicting their severity. Methods: We retrospectively analyzed data from 40 patients with atopic dermatitis who received nemolizumab between May 2023 and March 2025. Clinical variables included demographics, prior therapies, phenotype, baseline Eczema Area and Severity Index subscores, serum biomarker levels, and treatment courses. The severity of cutaneous adverse events was classified as mild (<10% body surface area or limited to dryness/desquamation) or moderate-to-severe (≥10% body surface area). Results: Cutaneous adverse events occurred in 31 of 40 patients (78%); 13 were moderate-to-severe and 18 were mild. Most events appeared within 16 weeks of treatment initiation. Severity was associated with age, duration of disease, serum Thymus and Activation-Regulated Chemokine (TARC) level, and clinical phenotype. Patients with trunk-dominant phenotypes showed more severe cutaneous adverse events than patients with extremity-dominant or prurigo-type atopic dermatitis. Most cutaneous adverse events resolved within 12 weeks using topical therapy, without requiring treatment discontinuation. Conclusions: Baseline characteristics such as age, duration of disease, serum TARC levels, and severity of trunk lesions may be useful in predicting the risk of severe cutaneous adverse events, supporting their potential use in pre-treatment assessment and patient counseling. Full article
(This article belongs to the Special Issue Treatment of Atopic Dermatitis)
13 pages, 416 KB  
Article
Impaired Attention Functioning in Children and Adolescents with Obesity: Preliminary Results Based on the Computerized Continuous Performance Test
by Katarzyna Anna Majewska, Maia Stanisławska-Kubiak, Paulina Wais, Joanna Budzulak, Ewa Mojs and Andrzej Kędzia
J. Clin. Med. 2025, 14(24), 8656; https://doi.org/10.3390/jcm14248656 (registering DOI) - 6 Dec 2025
Abstract
Background/Objectives: Attention is a fundamental cognitive parameter, essential for developmental processes. It enables the selective processing of environmental stimuli and guides behavioral responses. Obesity, apart from its broad influence on human somatic health, is also associated with mental and cognitive functioning. In childhood [...] Read more.
Background/Objectives: Attention is a fundamental cognitive parameter, essential for developmental processes. It enables the selective processing of environmental stimuli and guides behavioral responses. Obesity, apart from its broad influence on human somatic health, is also associated with mental and cognitive functioning. In childhood obesity, detailed attention assessment could help elucidate the relationship between the condition and cognitive development, and perhaps also help predict specific difficulties during treatment. The aim of the study was to investigate attention functioning in children and adolescents with obesity using the computerized continuous performance test (CPT). Methods: The study involved 71 children, including 23 with obesity and 48 healthy children with normal body weight. The MOXO CPT was used to assess attention parameters in all participants. The test covered four parameters: sustained attention, timing, impulsivity, and hyperactivity. Results: Children with obesity obtained significantly lower CPT results in terms of timing (p = 0.024), hyperactivity (p = 0.001), and impulsivity (p < 0.001), while the difference in sustained attention did not reach statistical significance (p = 0.074). Conclusions: Attention efficiency appears to be reduced in children with obesity compared with their healthy peers. Assessment of attention parameters in this group of patients could be valuable in the context of planning and implementing therapeutic interventions. Children with coexisting obesity and impaired attention functioning would probably require more assistance in following daily behavioral and nutritional recommendations. Full article
Show Figures

Figure 1

21 pages, 1629 KB  
Systematic Review
Comparative Safety and Efficacy of Patient-Specific Versus Hand-Molded Implants in Cranioplasty: A Systematic Review and Meta-Analysis
by Elias-Leon Nolden, Bruna Katherine Guimarães Carvalho, Katarina Sofia Barkovskij-Jakobsen, Alexander Schulze Wenning, Boglárka Lilla Szentes, Gergely Agócs, Zsolt Németh, Márton Kivovics, Péter Hegyi, László Köles and Mihály Vaszilkó
J. Clin. Med. 2025, 14(24), 8655; https://doi.org/10.3390/jcm14248655 (registering DOI) - 6 Dec 2025
Abstract
Background/Objectives: Cranioplasty (CP) is associated with high complication rates (20–50%), and the optimal choice between patient-specific implants (PSIs) and hand-molded (HM) alternatives remains debated. This systematic review and meta-analysis aims to compare surgical and postoperative outcomes between PSIs and HM implants. Methods: A [...] Read more.
Background/Objectives: Cranioplasty (CP) is associated with high complication rates (20–50%), and the optimal choice between patient-specific implants (PSIs) and hand-molded (HM) alternatives remains debated. This systematic review and meta-analysis aims to compare surgical and postoperative outcomes between PSIs and HM implants. Methods: A systematic search was performed in three databases to identify studies reporting surgical site infection (SSI), implant removal, reoperation, operative time or cosmetic outcome for PSIs and/or HM implants. Two-arm studies of the same material were analyzed separately from pooled single- and two-arm studies. Results: 125 observational studies involving 10,034 patients were included. In two-arm comparisons, PSIs reduced implant removal for titanium (OR 0.34, p = 0.053) and PMMA (OR 0.56, p = 0.188), while SSI rates showed no meaningful difference between groups. In one-arm analyses, PSIs demonstrated lower explantation probabilities (titanium 6.1%, PMMA 7.9%) compared with HM alternatives (titanium 9.9%, PMMA 14.2%), alongside shorter operation times and fewer reoperations. Cosmetic outcomes consistently favored PSIs. Conclusions: PSIs demonstrate advantages in efficiency, durability, and esthetics compared with HM implants, supporting their preferential use where resources allow. HM implants remain a cost-effective option in resource-limited settings. Due to the observational nature of the included studies and differences in study populations across arms, the findings should be interpreted with caution. Full article
(This article belongs to the Section General Surgery)
Show Figures

Figure 1

14 pages, 558 KB  
Article
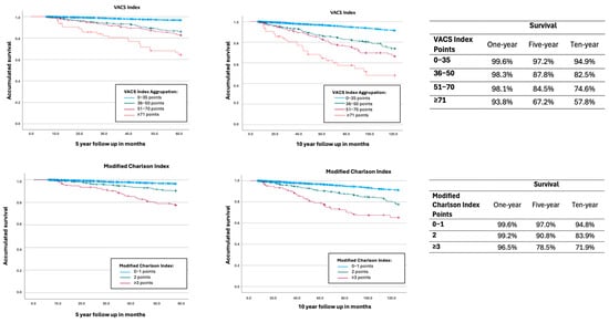
The Validation of Mortality Risk Indexes for Predicting Long-Term Outcomes in People Living with HIV in a Spanish Cohort (eVIHa)
by Sophia Pinecki Socias, Marc Moragues Serra, Francisca Artigues Serra, Maria Luisa Martin, Javier Murillas, Aroa Villoslada, Adrian Rodriguez, Adelaida Rey, Julia Serra, Laia Vilaplana, Pedro Fernandez, Francisco Fanjul, Aina Millan and Melchor Riera Jaume
J. Clin. Med. 2025, 14(24), 8654; https://doi.org/10.3390/jcm14248654 (registering DOI) - 6 Dec 2025
Abstract
Background/Objectives: Having access to antiretroviral therapy (ART) has altered the health status of people living with HIV (PLHIV) to that of having a chronic condition, with a greater life expectancy. The development of the Veterans Aging Cohort Study (VACS) Index has allowed [...] Read more.
Background/Objectives: Having access to antiretroviral therapy (ART) has altered the health status of people living with HIV (PLHIV) to that of having a chronic condition, with a greater life expectancy. The development of the Veterans Aging Cohort Study (VACS) Index has allowed for the prediction of 5-year mortality in PLHIV, using both HIV-related and non-HIV-related markers. The modified Charlson Index describes the comorbidity burden and is indicated to predict 10-year mortality. This study validates the Veterans Aging Cohort Study (VACS) Index 1.0 and the modified Charlson Index in a contemporary European cohort, with the aim of better predicting mortality. Methods: An observational, multicenter study was conducted using data from the eVIHa cohort in the Balearic Islands (Spain) from 2000 to 2023. The VACS Index 1.0 and the modified Charlson Index were calculated. Model discrimination was assessed using Harrell’s C-statistic, and observed mortality was estimated using Kaplan–Meier analysis. Results: Of 6913 eligible PLHIV, 4480 (64.8%) had sufficient data for VACS Index calculation and were included in the primary analysis. The excluded group (N = 2433) had significantly higher mortality (27.7% vs. 9.4%) and a greater proportion of people who inject drugs. In the analyzed cohort, the VACS Index 1.0 showed good discrimination for 5-year all-cause mortality (C-statistic: 0.759), outperforming the modified Charlson Index (C-statistic: 0.729). Discrimination was the highest for deaths from liver disease (C: 0.875) and non-HIV-related infections (C: 0.853). Conclusions: In our analyzed cohort, the VACS Index 1.0 accurately predicted 5-year mortality. However, its performance in populations with higher rates of people who inject drugs and irregular follow-up is unknown and likely to be lower. Clinicians should be aware of these limitations when applying the index in practice. Full article
(This article belongs to the Special Issue Infectious Disease Epidemiology: Current Updates and Perspectives)
Show Figures

Figure 1

15 pages, 767 KB  
Article
Association Between Fasting Insulin Levels and Handgrip Strength: A Cross-Sectional Study Using the Korean National Health and Nutrition Examination Survey
by Hyang Rae Lee, Minjeong Ko, Seung-Kuy Cha and Taesic Lee
J. Clin. Med. 2025, 14(24), 8653; https://doi.org/10.3390/jcm14248653 (registering DOI) - 6 Dec 2025
Abstract
Background: Sarcopenia and metabolic dysfunction share common physiological mechanisms, and insulin resistance has been recognized as a major contributor to muscle loss. However, the independent association between circulating fasting insulin and muscle strength remains unclear. Methods: We analyzed data from 8343 [...] Read more.
Background: Sarcopenia and metabolic dysfunction share common physiological mechanisms, and insulin resistance has been recognized as a major contributor to muscle loss. However, the independent association between circulating fasting insulin and muscle strength remains unclear. Methods: We analyzed data from 8343 Korean adults aged ≥ 20 years who participated in the 2015 and 2019 Korea National Health and Nutrition Examination Surveys. Multivariate outliers were removed using the Mahalanobis distance, and sampling weights were applied to account for the complex survey design. Multivariable linear regression models were constructed with progressive adjustments for demographic and metabolic covariates, and stratified analyses were conducted by age, BMI category, and diabetes status. Results: Crude models showed a weak positive association between fasting insulin and handgrip strength in both sexes. However, after adjustment for age and BMI, the association became significantly inverse and remained consistent in fully adjusted models. The inverse association was most pronounced in individuals aged ≤ 65 years, with BMI < 23 kg/m2, and without diabetes. Conclusions: Elevated fasting insulin levels were independently associated with lower handgrip strength in Korean adults. These findings suggest that hyperinsulinemia may reflect early metabolic changes linked to subclinical muscle weakness, warranting further longitudinal investigation. Full article
(This article belongs to the Section Endocrinology & Metabolism)
17 pages, 4799 KB  
Article
Accuracy of Computer-Guided Dental Implant Placement: A Clinical Comparison of Three Surgical Guide Types
by Marek Markiewicz and Adam Aleksander Nowicki
J. Clin. Med. 2025, 14(24), 8652; https://doi.org/10.3390/jcm14248652 (registering DOI) - 6 Dec 2025
Abstract
Background/Objectives: The accurate and prosthetically driven placement of dental implants is crucial for long-term clinical success. While computer-aided static navigation enhances precision, the comparative accuracy of different surgical guide support types (teeth-, mucosa-, and bone-supported) under identical clinical conditions remains a critical [...] Read more.
Background/Objectives: The accurate and prosthetically driven placement of dental implants is crucial for long-term clinical success. While computer-aided static navigation enhances precision, the comparative accuracy of different surgical guide support types (teeth-, mucosa-, and bone-supported) under identical clinical conditions remains a critical and less explored variable. This study aimed to compare the accuracy of these three guide types. Methods: This clinical study evaluated the precision of computer-aided implant placement by comparing planned versus actual implant positions in fifty participants who received 140 implants. Discrepancies were measured in 3D using STL files in Exocad® DentalCAD software (exocad Elefsina 3.2, Darmstadt, Germany). Results: In the maxilla, mean total deviation was 0.443 mm at the implant neck and 0.562 mm at the apex. In the mandible, deviations were higher: 0.755 mm at the neck and 0.981 mm at the apex. Teeth-supported guides demonstrated the highest accuracy. Mucosa-supported guides showed the least precision, particularly in the mandible, while bone-supported guides provided clinically acceptable results. Conclusions: Computer-aided static navigation is highly accurate for implant placement. Guide selection should be tailored to anatomical conditions, with bone-supported guides preferred for edentulous mandibles. Full article
Show Figures

Figure 1

14 pages, 263 KB  
Article
Prognostic Value of 48-h Biomarker Changes in Sepsis Mortality
by Yeliz Özdemir, Özkan Özmuk, Şebnem Çalık and Selma Tosun
J. Clin. Med. 2025, 14(24), 8651; https://doi.org/10.3390/jcm14248651 (registering DOI) - 6 Dec 2025
Abstract
Background: Sepsis remains a major cause of morbidity and mortality in intensive care units (ICUs). Although various scoring systems and biomarkers have been studied, the prognostic significance of early dynamic changes in laboratory parameters remains unclear. This study aimed to investigate the prognostic [...] Read more.
Background: Sepsis remains a major cause of morbidity and mortality in intensive care units (ICUs). Although various scoring systems and biomarkers have been studied, the prognostic significance of early dynamic changes in laboratory parameters remains unclear. This study aimed to investigate the prognostic value of 48 h changes in routinely monitored biomarkers for in-hospital mortality in septic patients. Methods: This retrospective, single-center study was conducted in the Anesthesiology and Reanimation ICU of a tertiary teaching hospital. A total of 174 adult patients (≥18 years) diagnosed with sepsis according to SEPSIS-3 criteria between January 2017 and December 2022 were included. Laboratory data were recorded at ICU admission and after 48 h. Patients who died within 48 h or had missing follow-up data were excluded. Receiver operating characteristic (ROC) analysis and logistic regression models were used to assess the prognostic performance of clinical and laboratory parameters. Results: The median age was 71 years, and 58% of patients were male. Comorbidities were present in 76% patients, and malignancy was associated with higher mortality (p = 0.012). The overall in-hospital mortality rate was 58.6%. Inappropriate empirical antibiotic therapy significantly increased mortality risk (p = 0.001). Non-survivors had higher baseline SOFA and APACHE II scores. At 48 h, mortality was associated with increased procalcitonin, lactate, and CRP/albumin ratio and greater albumin decline. ROC analysis identified procalcitonin ≤ 28% decrease, lactate > 23% increase, albumin > 7% decrease, and CRP/albumin ratio > 31% increase as optimal cutoffs. Multivariate analysis revealed SOFA score > 6, inappropriate antibiotic therapy, procalcitonin ≤ 28% decrease, lactate > 23% increase, and platelet > 37% decrease as independent mortality predictors. The change in albumin level was included in the model but was not statistically significant. Conclusions: Forty-eight–hour biomarker changes, particularly in lactate and platelet count, may provide complementary prognostic information to baseline SOFA scores and may support early risk stratification in sepsis. These findings should be considered exploratory and require confirmation in prospective multicenter studies before clinical implementation. Full article
(This article belongs to the Section Infectious Diseases)
21 pages, 695 KB  
Systematic Review
Is Conservative Treatment Superior to Surgical Intervention in Hematogenous Primary Septic Spinal Infection in Terms of Mortality, Recurrence, and Hospital Stay? A Systematic Review and Meta-Analysis
by Panagiotis Korovessis, Vasileios Syrimpeis and Georgios Dimakopoulos
J. Clin. Med. 2025, 14(24), 8650; https://doi.org/10.3390/jcm14248650 (registering DOI) - 6 Dec 2025
Abstract
Background/Objectives: The treatment of Hematogenous Primary Septic Spinal Infection (HPSSI) typically involves either conservative management or surgical intervention. Previous studies have suggested that conservative treatment with antibiotics is the mainstay conventional procedure in treating HPSSI, but relevant conclusions remain controversial regarding mortality, recurrence, [...] Read more.
Background/Objectives: The treatment of Hematogenous Primary Septic Spinal Infection (HPSSI) typically involves either conservative management or surgical intervention. Previous studies have suggested that conservative treatment with antibiotics is the mainstay conventional procedure in treating HPSSI, but relevant conclusions remain controversial regarding mortality, recurrence, and hospital stay. There is a lack of systematic reviews and meta-analyses comparing conservative vs. surgical treatment specifically in non-TBC, non-fungal, and non-postsurgical HPSSI in adults. This systematic review and meta-analysis aim to systematically evaluate the therapeutic effectiveness of conservative versus surgical intervention for the management of HPSSI, through a meta-analysis of key outcomes including mortality, recurrence, and length of hospital stay. Methods: A comprehensive literature search was performed across four major databases: PubMed, Cochrane, Science Direct, and Scopus. Using defined inclusion and exclusion criteria, we identified twelve studies encompassing 1199 patients with hematogenous, primary, septic spinal infection, which was not post-surgical, not due to TBC, and not fungal, who were treated conservatively (n = 519) or surgically (n = 680) for inclusion in the meta-analysis. PRISMA guidelines were used for this analysis. The primary outcome analyzed was mortality; secondary outcomes were infection recurrence and length of hospital stay, comparing conservative treatment versus operative intervention for HPSSI. Results: Mortality rates for surgical versus conservative treatment varied across five studies. Some studies reported significantly lower mortality with surgical intervention vs. conservative treatment (2.3–6% vs. 17.8–18%), while others showed no difference (11% for both treatments). This meta-analysis indicates that surgical treatment does not significantly alter mortality rates compared to conservative management, although study heterogeneity is considerable. Infection recurrence was reported in three studies, with rates ranging from 5 to 16.4% for conservative treatment and 5 to 11.6% for surgical intervention. These differences were not statistically significant in studies that provided group-specific data. Findings on hospital length of stay were mixed: two studies reported shorter stays for surgical patients (23.9–33.4 days vs. 40.5–51.2 days), while another study found no meaningful difference between the groups. Across multiple studies, advanced age, frailty, higher comorbidity burden, and neurological impairment were consistently identified as independent predictors of increased mortality, irrespective of treatment modality. Although some data suggest a short-term survival advantage associated with surgical intervention, the overall mortality outcomes remain heterogeneous across the literature. Conclusions: Overall, the findings of this meta-analysis remain inconclusive regarding which treatment—surgical or conservative—is more advantageous in reducing mortality, infection recurrence, and hospital stay. The variability across studies highlights the influence of patient selection, treatment protocols, and local clinical practices. To enhance our understanding and improve outcomes in HPSSI, future randomized controlled trials are essential. These studies should incorporate clear selection criteria, standardized terminology for spinal infection subgroups, and homogenous patient populations with well-defined comorbidities to allow for meaningful data comparisons. Additionally, emphasis should be placed on early diagnosis, rapid identification of causative pathogens, using modern diagnostic tools, and timely initiation of appropriate treatment—whether surgical or conservative—to optimize patient outcomes, including reduced mortality, lower recurrence rates, and shorter hospitalizations. Full article
(This article belongs to the Section Orthopedics)
13 pages, 241 KB  
Article
Predictors of Independent Community Ambulation in Individuals with Chronic Stroke: A Cross-Sectional Study of Gait Speed, Gait Endurance, and Balance Self-Efficacy
by SeungHeon An, DongGeon Lee, DongMin Park and Kyeongbong Lee
J. Clin. Med. 2025, 14(24), 8649; https://doi.org/10.3390/jcm14248649 (registering DOI) - 6 Dec 2025
Abstract
Background/Objectives: Community ambulation after stroke depends on locomotor capacity and confidence in everyday environments. We compared functional performance across three community walking levels and identified constructs independently associated with being an independent community walker in individuals with chronic stroke. Methods: Adults [...] Read more.
Background/Objectives: Community ambulation after stroke depends on locomotor capacity and confidence in everyday environments. We compared functional performance across three community walking levels and identified constructs independently associated with being an independent community walker in individuals with chronic stroke. Methods: Adults admitted to an acute-care general hospital or an inpatient rehabilitation hospital were enrolled. Community walking level was classified by a self-reported questionnaire. Primary constructs were gait speed, gait endurance, and balance self-efficacy measured with standard clinical tests. Additional measures described balance, lower-limb motor function, and task-based mobility. Group differences were examined with one-way analysis of variance with Bonferroni comparisons. Community walking status was modeled with binary logistic regression using forward stepwise selection. Results: Fifty-nine individuals were analyzed. Performance differed across levels. Effect sizes were small, medium, or large overall. Independent community walkers showed faster gait speed, longer walking distance, and higher balance self-efficacy, with the same direction for balance and lower-limb motor scores and shorter times on task-based tests. In univariable models, age, sex, and time since stroke were not associated with independence, whereas assistive device use related to lower odds. In the multivariable model, gait speed, gait endurance, and balance self-efficacy retained independent associations with independent community walking. Other measures were not retained after adjustment. Conclusions: Community walking status in chronic stroke relates most closely to gait speed, gait endurance, and balance self-efficacy. Evaluation can emphasize the 10 m Walk Test, 6 Min Walk Test, and Activities-specific Balance Confidence Scale, with impairment and task-based tests used to guide intervention planning. Full article
(This article belongs to the Special Issue Rising Star: Advanced Physical Therapy and Expansion)
15 pages, 899 KB  
Article
Adherence and Radiological Outcomes in Braced Adolescents with Idiopathic Scoliosis: A Real-World Study Using Thermal Sensors
by Samra Pjanić, Fabio Zaina, Nikola Jevtić, Filip Golić, Vanja Dimitrijević, Bojan Rašković, Snježana Novaković-Bursać, Dragana Bojinović-Rodić and Goran Talić
J. Clin. Med. 2025, 14(24), 8648; https://doi.org/10.3390/jcm14248648 (registering DOI) - 6 Dec 2025
Abstract
Background: Bracing is an effective treatment for idiopathic scoliosis (IS), and Adherence is one of the most important factors influencing outcomes. However, evidence on the effectiveness of objective monitoring using thermal sensors in everyday clinical settings remains limited. Objective: To evaluate the [...] Read more.
Background: Bracing is an effective treatment for idiopathic scoliosis (IS), and Adherence is one of the most important factors influencing outcomes. However, evidence on the effectiveness of objective monitoring using thermal sensors in everyday clinical settings remains limited. Objective: To evaluate the impact of Adherence and brace-wearing consistency on short-term outcomes in IS patients during growth in a real clinical setting. Methods: This retrospective cohort study included 114 patients (100 with adolescent idiopathic scoliosis (AIS) and 14 with juvenile idiopathic scoliosis (JIS)) treated with a three-dimensional (3D) rigid brace equipped with a thermal sensor. Adherence was calculated as the ratio of actual to prescribed wear time; consistency was defined using the interquartile range (IQR) of daily wear time (IQR ≤ 1 h = consistent). Cobb angle was measured at baseline, in-brace, and after 6 months. Logistic regression, receiver-operating characteristic (ROC) analysis, and general linear model (GLM) analyses were performed, supported by sensitivity analyses, to assess model robustness. Results: Mean Adherence was 85.3 ± 18.9%; high Adherence was observed in 71.4% of JIS and 57.0% of AIS patients, while 19.3% showed high consistency. In-brace correction averaged 52.5 ± 23.2% (68.1% JIS vs. 50.3% AIS; p = 0.007). At 6 months, 55% improved, 42% were stable, and 3% worsened. Adherence was the only significant predictor of consistency (OR = 1.511; 95% CI 1.181–1.933; p = 0.001). The ROC analysis showed excellent discriminative ability (Area Under the Curve (AUC) = 0.908). Adherence category (p = 0.041) and Risser stage (p = 0.041) were significant predictors of short-term outcome. Conclusions: Adherence and brace-wearing consistency are key predictors of short-term bracing outcomes in IS. Objective monitoring with thermal sensors enables precise tracking, improves patient engagement, and supports individualised treatment. Full article
(This article belongs to the Special Issue Clinical New Insights into Management of Scoliosis)
10 pages, 505 KB  
Article
Positive Airway Pressure Therapies and Oxygen Therapy in Obstructive Sleep Apnea (OSA): 5-Year Survival
by Juan Sebastian Hernández Puentes, Alirio Rodrigo Bastidas, Eduardo Andres Tuta Quintero, Juan David Acosta Otero, Valeria Leyton Franco, Juan Diego Castro Córdoba, Lina María López Nuñez, Isabella Lenhardt Guaqueta, Alejandra Mora Vega, Paola Stefanny Martínez Sáenz, Charbel Kamil Faizal Gomez, María Catalina Vaca Espinosa, Cristian Felipe Cardona Molina, Gabriela Diaz Romero and Avril Johanna Rubio Noel
J. Clin. Med. 2025, 14(24), 8647; https://doi.org/10.3390/jcm14248647 (registering DOI) - 6 Dec 2025
Abstract
Background: Obstructive sleep apnea (OSA) is a highly prevalent disorder associated with increased morbidity and mortality. Continuous positive airway pressure (CPAP) remains the first-line therapy, but its long-term effectiveness is limited by suboptimal adherence, with only 50–60% of patients achieving the recommended use. [...] Read more.
Background: Obstructive sleep apnea (OSA) is a highly prevalent disorder associated with increased morbidity and mortality. Continuous positive airway pressure (CPAP) remains the first-line therapy, but its long-term effectiveness is limited by suboptimal adherence, with only 50–60% of patients achieving the recommended use. Evidence on adherence with alternative modalities, such as bilevel positive airway pressure (BiPAP) or oxygen therapy, is even more limited. Furthermore, few studies have directly compared these treatments with each other, particularly in relation to survival outcomes. Objective: Evaluate 5-year survival in patients with OSA treated with CPAP, BIPAP, or oxygen therapy. Methods: A retrospective cohort study with survival analysis was conducted in subjects with OSA followed at a tertiary-level institution in Colombia between January 2005 and December 2021. Results: Among 3039 patients with OSA (mean age 59.6 years; 59.8% male), the five-year mortality rate was 5.8%. Deceased patients presented a higher prevalence of comorbidities, including hypertension, diabetes, and cardiovascular disease (all p < 0.001). Adherence to CPAP was significantly lower in deceased patients. Survival analysis showed the highest five-year survival among adherent CPAP/Auto-CPAP users (95.6%), followed by non-adherent CPAP (95%) and adherent BiPAP users (94.1%). Lower survival was observed in non-adherent BiPAP users (91.7%) and oxygen therapy patients (80.6%). In multivariable analysis, treatment type, older age, congestive heart failure, chronic lung disease, and metastatic cancer were independently associated with increased mortality risk. Conclusions: Five-year survival in patients with obstructive sleep apnea was significantly associated with the treatment modality and adherence level. Full article
Show Figures

Figure 1

36 pages, 777 KB  
Article
Integrated Artificial Intelligence Framework for Tuberculosis Treatment Abandonment Prediction: A Multi-Paradigm Approach
by Frederico Guilherme Santana Da Silva Filho, Igor Wenner Silva Falcão, Tobias Moraes de Souza, Saul Rassy Carneiro, Marcos César da Rocha Seruffo and Diego Lisboa Cardoso
J. Clin. Med. 2025, 14(24), 8646; https://doi.org/10.3390/jcm14248646 (registering DOI) - 6 Dec 2025
Abstract
Background/Objectives: Treatment adherence challenges affect 10–20% of tuberculosis patients globally, contributing to drug resistance and continued transmission. While artificial intelligence approaches show promise for identifying patients who may benefit from additional treatment support, most models lack the interpretability necessary for clinical implementation. We [...] Read more.
Background/Objectives: Treatment adherence challenges affect 10–20% of tuberculosis patients globally, contributing to drug resistance and continued transmission. While artificial intelligence approaches show promise for identifying patients who may benefit from additional treatment support, most models lack the interpretability necessary for clinical implementation. We aimed to develop and validate an integrated artificial intelligence framework combining traditional machine learning (interpretable algorithms like logistic regression and decision trees), explainable AI (methods showing which patient characteristics influence predictions), deep reinforcement learning (algorithms learning optimal intervention strategies), and natural language processing (clinical text analysis) to identify tuberculosis patients who would benefit from enhanced treatment support services. Methods: We analyzed 103,846 pulmonary tuberculosis cases from São Paulo state surveillance data (2006–2016). We evaluated models using precision (accuracy of positive predictions), recall (ability to identify all patients requiring support), F1-score (balanced performance measure), and AUC-ROC (overall discrimination ability) while maintaining interpretability scores above 0.90 for clinical transparency. Results: Our integrated framework demonstrated that explainable AI matched traditional machine learning performance (both F1-score: 0.77) while maintaining maximum interpretability (score: 0.95). The combined ensemble delivered superior results (F1-score: 0.82, 95% CI: 0.79–0.85), representing a 6.5% improvement over individual approaches (p < 0.001). Key predictors included substance use disorders, HIV co-infection, and treatment supervision factors rather than demographic characteristics. Conclusions: This multi-paradigm AI system provides a methodologically sound foundation for identifying tuberculosis patients who would benefit from enhanced treatment support services. The approach delivers excellent predictive accuracy while preserving full clinical transparency, demonstrating that the accuracy–interpretability trade-off in medical AI can be resolved through the systematic integration of complementary methodologies. Full article
(This article belongs to the Section Infectious Diseases)
Show Figures

Figure 1

15 pages, 683 KB  
Review
Technical Principles in Elective Surgical Treatment of Left Colon Diverticular Disease: A Scoping Review
by Luca Emanuele Amodio, Gianluca Rizzo, Federica Marzi, Camilla Marandola, Francesco Ferrara and Vincenzo Tondolo
J. Clin. Med. 2025, 14(24), 8645; https://doi.org/10.3390/jcm14248645 (registering DOI) - 5 Dec 2025
Abstract
Left colon diverticular disease (LCDD) is prevalent in the aging populations of industrialized countries, with many patients requiring surgery. Elective surgery decisions should consider individual health conditions and quality of life. Typically, surgery is recommended six weeks after an acute episode. This scoping [...] Read more.
Left colon diverticular disease (LCDD) is prevalent in the aging populations of industrialized countries, with many patients requiring surgery. Elective surgery decisions should consider individual health conditions and quality of life. Typically, surgery is recommended six weeks after an acute episode. This scoping review, following PRISMA-ScR guidelines, analyzed the literature on elective LCDD surgery, focusing on inferior mesenteric artery (IMA) ligation, splenic flexure mobilization (SFM), surgical approach, and extent of resection. The databases searched included PubMed, Embase, and Cochrane Library up to May 2025. Twenty studies met the inclusion criteria: 2 randomized trials (RCTs), 6 systematic reviews, 3 prospective studies, and 9 retrospective cohorts. The findings suggest preserving the IMA and selectively omitting SFM may reduce minor complications without compromising safety. Resection should reach the rectosigmoid junction and include only the affected colon segment. Minimally invasive techniques, especially laparoscopic surgery improve outcomes, reduce morbidity, and are more cost-effective than open surgery. Robotic approaches offer new options for complex cases. Surgical strategies must be tailored to disease severity, patient comorbidities, and anatomy. Further prospective studies are needed to refine guidelines and support personalized surgical decisions in LCDD management. Full article
14 pages, 1527 KB  
Article
Bariatric Surgery Impacts Retinal Vessel Status Assessed by Optical Coherence Tomography Angiography: A Prospective 12 Months Study
by Xavier Carreras-Castañer, Sofía Batlle-Ferrando, Rubén Martín-Pinardel, Teresa Hernández, Cristian Oliva, Irene Vila, Rafael Castro-Dominguez, Andrea Mendez-Mourelle, Alfredo Adán, Diana Tundidor, Ana de Hollanda, Emilio Ortega, Amanda Jiménez and Javier Zarranz-Ventura
J. Clin. Med. 2025, 14(24), 8644; https://doi.org/10.3390/jcm14248644 (registering DOI) - 5 Dec 2025
Abstract
Objectives: To assess retinal microvascular changes in patients with Grade II and III obesity before and after bariatric surgery using Optical Coherence Tomography Angiography (OCTA), and to compare these metrics with age- and sex-matched healthy controls. Methods: Prospective, consecutive, longitudinal cohort study with [...] Read more.
Objectives: To assess retinal microvascular changes in patients with Grade II and III obesity before and after bariatric surgery using Optical Coherence Tomography Angiography (OCTA), and to compare these metrics with age- and sex-matched healthy controls. Methods: Prospective, consecutive, longitudinal cohort study with a 12-month follow-up. Grade II and III obese patients scheduled for bariatric surgery underwent comprehensive ophthalmic examinations, including OCTA imaging, prior to the surgery and postoperatively at 1 month, 6 months, and 12 months post-surgery. Results: A total of 43 eyes from 43 patients with obesity (one eye per patient) were included at baseline. At 12 months post-surgery, there was a significant increase in vessel density (VD) (16.70 vs. 17.68; p < 0.01) and perfusion density (PD) (0.406 vs. 0.433; p < 0.01), reaching values comparable to those of the control group (17.73 and 0.434, respectively). Significant reductions were also observed in body mass index (BMI) (43.74 vs. 29.53; p < 0.01), body weight (122.44 kg vs. 81.90 kg; p < 0.01), and intraocular pressure (IOP) (15.72 mmHg vs. 14.16 mmHg; p < 0.01). Conclusions: This study demonstrates a compelling association between obesity and retinal microvascular impairment, highlighting the efficacy of bariatric surgery not only in achieving substantial weight loss but also in improving the retinal perfusion of these patients, achieving metrics at 12 months comparable to age- and sex-matched healthy controls at baseline. These findings raise the hypothesis of the potential utility of OCTA as a monitoring tool for tracking the microvascular status in patients with obesity undergoing bariatric surgery in a longitudinal manner. Full article
(This article belongs to the Section Ophthalmology)
Show Figures

Figure 1

20 pages, 811 KB  
Article
Urine Sodium Excretion in Children with Primary Hypertension: A Single-Center Retrospective Study
by Marcin Sota, Marta Armuła, Michał Szyszka and Piotr Skrzypczyk
J. Clin. Med. 2025, 14(24), 8643; https://doi.org/10.3390/jcm14248643 (registering DOI) - 5 Dec 2025
Abstract
Background: Pediatric hypertension is an increasingly recognized health concern and is commonly influenced by modifiable factors such as dietary sodium intake and obesity and non-modifiable factors like family history of hypertension. Urinary sodium excretion provides an objective surrogate marker of sodium consumption [...] Read more.
Background: Pediatric hypertension is an increasingly recognized health concern and is commonly influenced by modifiable factors such as dietary sodium intake and obesity and non-modifiable factors like family history of hypertension. Urinary sodium excretion provides an objective surrogate marker of sodium consumption and may be associated with blood pressure severity. This study aimed to evaluate urinary sodium excretion in children with primary hypertension (PH) and to test the hypothesis that higher sodium excretion is associated with less favorable clinical, biochemical, and blood pressure parameters. Methods: This retrospective, cross-sectional, single-center study analyzed data from 369 hypertensive patients and 59 healthy children. Patients with a confirmed diagnosis of PH and ambulatory blood pressure monitoring results were included in the study group. Clinical, anthropometric, laboratory, echocardiographic, and blood pressure data were examined, and sodium excretion was evaluated using both the spot urine sodium-to-creatinine ratio and 24-hour urinary sodium per kilogram of body weight. Results: Children with hypertension exhibited higher urinary sodium excretion compared to the control group. Sodium excretion of the hypertensive group, measured using the sodium/creatinine ratio and 24 hour urinary sodium excretion per kilogram, was positively correlated with 25-hydroxyvitamin D, the urinary potassium/creatinine ratio, and the urinary uric acid/creatinine ratio. Moreover, negative correlations were observed for both parameters with age, body weight, serum uric acid, and left ventricular mass. In the multivariate analysis, weighted Z-score (beta = −0.393), age (beta = −0.293), 25-OHD (beta = 0.182), and arterial hypertension in the father (beta = 0.166) predicted 24 h urinary sodium excretion. Children with excessive sodium excretion had a significantly higher systolic blood pressure load over 24 h. Conclusions: Urinary sodium excretion is elevated in children with PH. Children with a lower weight for their age, who are younger, and who have a father with arterial hypertension might be at higher risk of excessive urine excretion. Our findings underscore the clinical importance of dietary sodium reduction as a non-pharmacological therapeutic target, especially in these patient populations. Prospective studies are needed to evaluate its impact on long-term cardiovascular outcomes in this population. Full article
(This article belongs to the Section Clinical Pediatrics)
13 pages, 633 KB  
Article
Comparison of Oral Antidiabetic Medications and Insulin Therapy for Glucocorticoid-Induced Hyperglycemia in Patients with Autoimmune Diseases
by Shinichiro Ueno, Masataka Tajima, Kiyomi Saito, Masayuki Yoshikawa, Takeo Isozaki, Hitoshi Sato and Erika Sugiyama
J. Clin. Med. 2025, 14(24), 8642; https://doi.org/10.3390/jcm14248642 (registering DOI) - 5 Dec 2025
Abstract
Background: Glucocorticoid-induced hyperglycemia (GCIH) is a common adverse effect of glucocorticoid (GC) therapy. Although evidence on oral antidiabetic medications (OADMs) for GCIH is emerging, direct comparisons with insulin therapy remain limited. This study aimed to compare the efficacy and safety of OADMs [...] Read more.
Background: Glucocorticoid-induced hyperglycemia (GCIH) is a common adverse effect of glucocorticoid (GC) therapy. Although evidence on oral antidiabetic medications (OADMs) for GCIH is emerging, direct comparisons with insulin therapy remain limited. This study aimed to compare the efficacy and safety of OADMs and sliding scale insulin (SSI) in patients with autoimmune diseases who developed GCIH. Methods: We retrospectively analyzed 97 patients who developed GCIH during GC therapy equivalent to ≥20 mg/day of prednisolone. Patients were classified into SSI-only (n = 41), OADM (n = 31), and basal–bolus/basal or bolus insulin (BBI/BI) (n = 25) groups. The primary endpoint was mean preprandial blood glucose (BG), adjusted for patient characteristics. Secondary outcomes included hospital stay, hypoglycemia, insulin use, and glycated hemoglobin. Results: In univariate analysis, the mean preprandial BG levels during the treatment period were significantly associated with the mean initial preprandial BG levels. Adjusted mean preprandial BG during treatment did not differ significantly between the OADM and SSI-only groups, whereas the BBI/BI group had higher pre-breakfast BG (p = 0.016). Among first-time GC users, those in the OADM group using cyclophosphamide had significantly lower fasting BG than non-users (p = 0.011). Conclusions: In patients with autoimmune diseases receiving ≥20 mg/day GC, OADM provided glycemic control comparable to SSI with similar hypoglycemia risk. Early preprandial BG levels during the first 3 days of GC therapy may help predict glycemic outcomes. Prospective studies with standardized regimens are needed to optimize GCIH management. Full article
(This article belongs to the Section Pharmacology)
Show Figures

Figure 1

8 pages, 2798 KB  
Case Report
Regression of Post-Essential Thrombocythaemia Myelofibrosis with Intermittent Hydroxyurea Therapy: A Case Report
by Arumugam Manoharan and Ian Tang
J. Clin. Med. 2025, 14(24), 8641; https://doi.org/10.3390/jcm14248641 (registering DOI) - 5 Dec 2025
Abstract
We describe a patient with post-essential thrombocythaemia myelofibrosis treated with intermittent hydroxyurea (Hu) therapy (20 mg/Kg, given as a single dose, thrice weekly), achieving sustained disease control and regression of bone marrow fibrosis. Additionally, we discuss the efficacy of and rationale for use [...] Read more.
We describe a patient with post-essential thrombocythaemia myelofibrosis treated with intermittent hydroxyurea (Hu) therapy (20 mg/Kg, given as a single dose, thrice weekly), achieving sustained disease control and regression of bone marrow fibrosis. Additionally, we discuss the efficacy of and rationale for use of intermittent Hu therapy in patients with myeloproliferative neoplasms, including those deemed to be Hu-resistant or intolerant to the commonly used continuous therapy. Full article
18 pages, 275 KB  
Article
Vietnamese Consensus on the Structure and Content of Asthma Action Plan
by Quan Vu Tran Thien, Tho Nguyen Van, Quyen Thi Le Pham, Linh Duong Thi Chuc, Cong Nguyen Hai, Tuan Tran Trong Anh, Khai Ho Quoc, Huong Hoang Thi Lan and Lan Le Thi Tuyet
J. Clin. Med. 2025, 14(24), 8640; https://doi.org/10.3390/jcm14248640 (registering DOI) - 5 Dec 2025
Abstract
Background/Objectives: Asthma action plans (AAPs) are recommended for patients’ self-management of asthma and should be adapted to a country’s situation. This study aimed to develop expert consensus on the optimal structure, content, and action of asthma action plans for Vietnamese settings to [...] Read more.
Background/Objectives: Asthma action plans (AAPs) are recommended for patients’ self-management of asthma and should be adapted to a country’s situation. This study aimed to develop expert consensus on the optimal structure, content, and action of asthma action plans for Vietnamese settings to ensure feasibility, acceptance, and implementation. Methods: A Delphi consensus was conducted over two rounds. The proposed items were evaluated by a Vietnamese panel of pulmonologists, allergists, tuberculosis/lung disease specialists, and general practitioners. Structured online questionnaires with five-point Likert scales were used. Consensus was defined as >80% agreement and <10% strong disagreement. Results: A total of 26 and 21 participants completed round 1 and round 2, respectively. The 4-zone format of AAP was preferred (42.3%) over the 3-zone (38.5%) or 2-zone (19.2%) formats. The AAP should include some key statements for asthma, symptoms for self-monitoring, an objective asthma control questionnaire, actions for changes in maintenance medication, and instructions in emergency situations. AAP zones should be classified by symptom frequency and severity. Patient actions should be tailored to their treatment regimen (MART or ICS/LABA + SABA). The APP might not include peak expiratory flow monitoring and oral corticosteroid self-administration for both the MART and ICS/LABA + SABA regimens and might not add SABA together with ICS dose escalation for the ICS/LABA + SABA regimen. Conclusions: This study established an expert consensus on fundamental AAP structural elements and actions for the Vietnamese. The failure to achieve consensus on PEF monitoring tools and OCS for the self-management of asthma exacerbation reflects concerns about medication abuse, especially in Vietnamese healthcare settings. Full article
(This article belongs to the Section Respiratory Medicine)
23 pages, 1032 KB  
Systematic Review
Evaluating Techniques for Vertical Ridge Augmentation via Comparative Study of Clinical Outcomes: A Systematic Review
by Ioannis Frantzopoulos, Mihaela Băciuț, Oana Almășan and Avram Manea
J. Clin. Med. 2025, 14(24), 8639; https://doi.org/10.3390/jcm14248639 (registering DOI) - 5 Dec 2025
Abstract
Background/Objectives: Vertical ridge augmentation (VRA) is often necessary in severe bone atrophy, yet the most predictable approach remains unclear. This systematic review compared Guided Bone Regeneration (GBR) and the Shell Technique (ST) for vertical bone gain (VBG), bone quality, complications, patient-reported outcomes (PROMs), [...] Read more.
Background/Objectives: Vertical ridge augmentation (VRA) is often necessary in severe bone atrophy, yet the most predictable approach remains unclear. This systematic review compared Guided Bone Regeneration (GBR) and the Shell Technique (ST) for vertical bone gain (VBG), bone quality, complications, patient-reported outcomes (PROMs), and implant survival. Methods: Following PRISMA 2020 and PROSPERO registration (CRD420251128502), PubMed and Scopus databases were searched. Adults requiring VRA before implants were included. Interventions were GBR using titanium-reinforced dense PTFE (Polytetrafluoroethylene) or collagen membranes and ST using autogenous or allogeneic cortical plates. Results: Both techniques achieved clinically meaningful vertical augmentation. Median VBG was 4.24 mm for GBR (range 2.20–8.78 mm) and 5.16 mm for ST (range 3.10–7.60 mm) at re-entry (typically 4–9 months). Long-term series showed maintained gains for ST up to 10 years and multi-year stability after GBR in selected cohorts. Major early-healing complications were uncommon with both methods. Minor soft-tissue events varied; several GBR cohorts reported more exposures/dehiscence and occasional infections. Implant survival was uniformly high; validated PROMs were seldom reported. Conclusions: GBR and ST both enable vertical reconstruction sufficient for implant placement. ST tended toward higher median VBG but requires greater technical expertise and, when autogenous, adds donor-site morbidity; allogeneic shells reduce harvesting needs. GBR remains a versatile, donor-site-sparing alternative. Standardized outcome (including validated PROMs) reporting and head-to-head randomized trials are needed to refine case selection and confirm comparative effectiveness. Full article
(This article belongs to the Section Dentistry, Oral Surgery and Oral Medicine)
19 pages, 638 KB  
Article
Comparison of Shoulder and Elbow Biomechanical Characteristics in Left- and Right-Handed Youth Baseball Players
by Hitoshi Shitara, Tsuyoshi Tajika, Tsuyoshi Ichinose, Tsuyoshi Sasaki, Noritaka Hamano, Masataka Kamiyama, Ryosuke Miyamoto, Kurumi Nakase, Fukuhisa Ino, Takuma Kachi, Yuhei Hatori, Koichiro Yanai, Atsushi Yamamoto, Kenji Takagishi and Hirotaka Chikuda
J. Clin. Med. 2025, 14(24), 8638; https://doi.org/10.3390/jcm14248638 (registering DOI) - 5 Dec 2025
Abstract
Background/Objectives: This study investigated biomechanical differences between right-handed (RHPs) and left-handed (LHPs) youth baseball players by analyzing shoulder and elbow range of motion (ROM), muscle strength, and humeral torsion. Side-to-side asymmetries were also examined to identify potential handedness-related adaptations. Methods: This cross-sectional study [...] Read more.
Background/Objectives: This study investigated biomechanical differences between right-handed (RHPs) and left-handed (LHPs) youth baseball players by analyzing shoulder and elbow range of motion (ROM), muscle strength, and humeral torsion. Side-to-side asymmetries were also examined to identify potential handedness-related adaptations. Methods: This cross-sectional study included 2008 youth baseball players (1829 RHPs and 179 LHPs) aged 9–13 years; female players were excluded because of their small number, and only male participants were analyzed. Shoulder and elbow ROM, muscle strength, and humeral torsion were evaluated, with humeral torsion data collected from 1024 measurements (946 RHPs, 78 LHPs). Group differences were analyzed using the Mann–Whitney U and Wilcoxon Signed-Rank tests. Logistic regression analysis identified independent factors associated with being an LHP, while Pearson correlation analyses explored the relationships between humeral torsion and external/internal rotation. Results: LHPs exhibited significantly larger nondominant shoulder external rotation (p < 0.001), dominant internal rotation (p = 0.003), dominant shoulder horizontal adduction (p = 0.007), dominant elbow flexion (p = 0.006), and side-to-side prone internal rotation strength ratio (p < 0.001). LHPs also showed smaller dominant shoulder external rotation (p = 0.012), nondominant shoulder internal rotation (p = 0.001), nondominant horizontal adduction (p = 0.037), dominant prone external rotation strength (p = 0.002), and humeral torsion (p = 0.031). Humeral torsion differences correlated with external rotation in LHPs (r = 0.236) and internal rotation in RHPs (r = −0.153). Predictors of left-handedness included lower dominant shoulder external rotation (OR = 0.937) and higher dominant elbow flexion (OR = 1.410). Conclusions: This study provides novel insights into the normal functional characteristics of LHPs, an area that has been relatively underexplored. These findings serve as a basis for future studies on risk assessment, injury prevention, and performance optimization in youth baseball players. Full article
(This article belongs to the Section Sports Medicine)
8 pages, 1442 KB  
Case Report
Limb Salvage After Deep Tissue Infection Associated with Hydroxyurea Therapy and Recommendations for a Follow-Up Protocol in Patients Treated with Hydroxyurea
by Éva Badak, Edina Bodnár, László Virág, Éva Remenyik and Éva Szabó
J. Clin. Med. 2025, 14(24), 8637; https://doi.org/10.3390/jcm14248637 (registering DOI) - 5 Dec 2025
Abstract
Hydroxyurea (HU) is a cytostatic drug used in oncotherapy. The drug has inhibitory effects on bone marrow and epithelial cells and causes minor side effects in the skin, including nail deformity, alopecia, and hyperpigmentation, and severe side effects, including skin tumors and nonhealing [...] Read more.
Hydroxyurea (HU) is a cytostatic drug used in oncotherapy. The drug has inhibitory effects on bone marrow and epithelial cells and causes minor side effects in the skin, including nail deformity, alopecia, and hyperpigmentation, and severe side effects, including skin tumors and nonhealing ulcers. Herein, we report the case of a patient who received HU therapy for polycythemia vera. The patient had type 2 diabetes and atherosclerosis. Onychodystrophy and a non-healing ulcer developed. Severe deep tissue infection and osteomyelitis, rare complications of a HU-related ulcer, were also diagnosed later. Diabetes and atherosclerosis made the condition more severe. Complex systemic and local therapy led to complete healing of the ulcer and osteomyelitis. Based on the literature and our own experience, a care protocol was proposed for the dermatological follow-up of patients under HU treatment. This recommendation may be particularly useful in the treatment of patients treated with hydroxyurea who suffer from atherosclerosis, diabetes, or leg ulcers and are therefore at increased risk of severe skin and deep tissue infections. Full article
(This article belongs to the Section Dermatology)
11 pages, 1289 KB  
Article
Combined Histological and Proteomic Analysis Reveals Muscle Denervation in KMT5B-Related Neurodevelopmental Disorder: A Case Report
by Ozge Aksel Kilicarslan, Andrea Gangfuß, Heike Kölbel, David Muhmann, Kiran Polavarapu, Rachel Thompson, Linda-Isabell Schmitt, Lola Lessard, Lei Chen, Astrid Eisenkölbl, Ulrike Schara-Schmidt, Andreas Hentschel, Hanns Lochmüller and Andreas Roos
J. Clin. Med. 2025, 14(24), 8636; https://doi.org/10.3390/jcm14248636 (registering DOI) - 5 Dec 2025
Abstract
Background: Patients with neurodevelopmental and neuromuscular disorders often show overlapping clinical phenotypes. Pathogenic variants in KMT5B, a histone lysine methyltransferase, have been linked to neurodevelopmental disorders, yet their effects on human skeletal muscle remain unexplored. We report on a patient with [...] Read more.
Background: Patients with neurodevelopmental and neuromuscular disorders often show overlapping clinical phenotypes. Pathogenic variants in KMT5B, a histone lysine methyltransferase, have been linked to neurodevelopmental disorders, yet their effects on human skeletal muscle remain unexplored. We report on a patient with KMT5B-linked disease who presented to a neuromuscular specialty clinic with significant involvement of skeletal muscle, where a multi-omics approach established the genetic diagnosis and revealed neuromuscular findings relevant for diagnosis, care and rehabilitation. Methods: Whole-exome sequencing was performed from blood and data was analyzed using the RD-Connect Genome Phenome Analysis Platform. Histological analysis and proteomic profiling were performed on muscle tissue. Results: Whole-exome sequencing revealed a pathogenic heterozygous variant (c.554_557del, p.Tyr185Cysfs*27) in KMT5B. Histological examination revealed fiber-type grouping, angular fibers, increased fast-twitch fiber proportion, and lipid droplet accumulation, indicative of muscle denervation. Proteomic profiling identified 77 dysregulated proteins, including upregulation of sarcomeric proteins, mitochondrial and glycolytic enzymes, acute-phase and complement factors, and extracellular matrix components, reflecting structural remodeling, metabolic adaptation, and inflammatory activation. These findings align with the role types observed in Kmt5b mouse models, supporting a role of KMT5B in neuromuscular function. Conclusions: We present the first combined histological and proteomic analysis of quadriceps muscle from a patient carrying a pathogenic KMT5B variant with a neuromuscular phenotype. The convergence of histological and proteomic alterations suggests that KMT5B haploinsufficiency may be associated with fiber-type shifts, denervation, and metabolic stress in human skeletal muscle. Understanding these processes provides mechanistic insight into motor deficits and informs targeted therapeutic strategies, including physiotherapeutic interventions, and early compensatory measures. Full article
(This article belongs to the Special Issue Clinical Care and Rehabilitation for Neuromuscular Diseases)
15 pages, 1538 KB  
Article
Concomitant Hysterectomy and vNOTES-Assisted Sacrocolpopexy: A Feasible and Safe Scarless Approach for Apical Prolapse Repair
by Ali Deniz Erkmen and Kevser Arkan
J. Clin. Med. 2025, 14(24), 8635; https://doi.org/10.3390/jcm14248635 (registering DOI) - 5 Dec 2025
Abstract
Background/Objectives: Durable apical support after hysterectomy is crucial to prevent subsequent vaginal vault prolapse. Abdominal sacrocolpopexy remains the gold standard but carries risks of visceral injury and wound morbidity. The vaginal natural orifice transluminal endoscopic surgery (vNOTES) approach provides a scarless, minimally invasive [...] Read more.
Background/Objectives: Durable apical support after hysterectomy is crucial to prevent subsequent vaginal vault prolapse. Abdominal sacrocolpopexy remains the gold standard but carries risks of visceral injury and wound morbidity. The vaginal natural orifice transluminal endoscopic surgery (vNOTES) approach provides a scarless, minimally invasive alternative, but data on vNOTES-assisted sacrocolpopexy (vNOTES-SC) performed concurrently with hysterectomy remain limited. Methods: A retrospective cohort of 30 women with stage II uterine prolapse underwent concomitant hysterectomy and vNOTES-assisted sacrocolpopexy between January 2023 and January 2024. Anatomical outcomes were evaluated using the Pelvic Organ Prolapse Quantification (POP-Q) system preoperatively and at 12 months postoperatively. The primary endpoint was anatomical success (C ≤ −1 cm); the secondary endpoint used the IUGA criterion (C < −TVL/2). Complications were graded using the Clavien–Dindo classification. Statistical analyses included Wilcoxon signed-rank tests, effect-size estimation, ROC analysis, logistic regression, and Spearman correlation. Results: Mean operative time was 100.2 ± 11.7 min, mean blood loss 155.3 ± 74.8 mL, and mean hospital stay 1.5 ± 0.7 days. Significant improvements were seen in Aa, Ba, C, and Bp points (p < 0.001). Anatomical success (C ≤ −1 cm) was achieved in 73.3% and clinical success in 93.3% of patients. Two patients exhibited anatomical recurrence (6.7%), whereas one patient reported symptomatic recurrence (3.3%). Using the IUGA definition, anatomical success increased to 83.3%. The difference between strict success (C ≤ −1 cm) and IUGA success (C < −TVL/2) reflects definitional sensitivity, particularly in post-hysterectomy vaginal length. All complications were minor (Grade I–II). ROC analysis showed age as a weak predictor (AUC = 0.67). Effect sizes were large for apical and anterior compartments (Cohen’s d = 1.84 for C-point). Conclusions: Concomitant hysterectomy with vNOTES-assisted sacrocolpopexy is a feasible, safe, and effective scarless approach for apical support restoration. The procedure provides significant anatomical correction and rapid recovery with low morbidity. Patients had symptomatic stage II prolapse with risk factors for early failure after native-tissue repair, supporting the selection of sacrocolpopexy for durable apical support. Larger prospective trials are needed to confirm long-term efficacy and functional outcomes. Full article
(This article belongs to the Section Obstetrics & Gynecology)
11 pages, 2894 KB  
Case Report
Role of 68Ga-DOTATOC Positron Emission Tomography in Locating Pulmonary Neuroendocrine Tumor Presenting with ACTH-Dependent Cushing’s Syndrome: A Case Report
by Misako Tanaka, Masakazu Uejima, Kuniaki Ozaki, Maiko Nishigori, Yukako Kurematsu, Kosuke Kaji, Kei Moriya, Tadashi Namisaki, Akira Mitoro, Fumihiko Nishimura, Motoaki Yasukawa and Hitoshi Yoshiji
J. Clin. Med. 2025, 14(24), 8634; https://doi.org/10.3390/jcm14248634 (registering DOI) - 5 Dec 2025
Abstract
Background: In ectopic adrenocorticotropic hormone (ACTH) syndrome, locating the responsible lesion is often challenging. Case Presentation: A 68-year-old woman was transferred to Nara Medical University hospital for a detailed investigation of her ACTH-dependent Cushing’s syndrome. Because of hypercortisolism-induced immunosuppression, she subsequently developed [...] Read more.
Background: In ectopic adrenocorticotropic hormone (ACTH) syndrome, locating the responsible lesion is often challenging. Case Presentation: A 68-year-old woman was transferred to Nara Medical University hospital for a detailed investigation of her ACTH-dependent Cushing’s syndrome. Because of hypercortisolism-induced immunosuppression, she subsequently developed severe Nocardia pneumonia and was forced to temporarily depend on noninvasive positive pressure ventilation (NIPPV). Intravenous antifungal agents and antibiotics were administered, resulting in significant symptomatic improvement. Metyrapone was administered to suppress excessive cortisol. Contrast-enhanced magnetic resonance imaging of the pituitary revealed a 4 mm sized poorly enhanced area, and microadenoma was suspected. Although cavernous venous sampling was indispensable prior to trans-spheroidal surgery (TSS), this examination could not be performed because of the presence of deep vein thrombosis. TSS was performed for both diagnostic and therapeutic purposes, but hypercortisolism did not improve. Moreover, immunohistochemical findings of the specimen revealed nonfunctional pituitary tumor. Methods: We re-evaluated the responsible lesion causing ACTH-dependent Cushing’s syndrome. Fluorine-18 fluorodeoxyglucose (FDG) positron emission tomography (PET) revealed weak and abnormal FDG uptake in the right pericardium, but the possibility of nonspecific uptake could not be ruled out. However, gallium-68 1,4,7,10-tetraazacyclododecane-N,N′,N′′,N′′′-tetraacetic-acid-D-Phe1-Tyr3-octreotide (68Ga-DOTATOC)-PET demonstrated the same degree of abnormal uptake; therefore, a functional pulmonary tumor was strongly suspected. Results: Video-Assisted Thoracic Surgery (VATS) was performed, and histopathological findings of the specimen revealed a neuroendocrine tumor with positive ACTH staining. After VATS, ACTH and cortisol levels were normalized. Conclusions: Here, we report a case of ACTH-dependent Cushing’s syndrome caused by a lung neuroendocrine tumor, in which 68Ga-DOTATOC PET was helpful in detecting the functional tumors. Full article
(This article belongs to the Section Endocrinology & Metabolism)
18 pages, 1649 KB  
Article
Managing Complex Chronic Otitis Media: Insights from Subtotal Petrosectomy with Blind Sac Closure
by Angelo Immordino, Simone Oliva, Palmira Immordino, Federico Sireci, Francesco Lorusso, Riccardo Manzella, Salvatore Gallina, Antonino Maniaci, Giannicola Iannella, Quentin Mat and Francesco Dispenza
J. Clin. Med. 2025, 14(24), 8633; https://doi.org/10.3390/jcm14248633 (registering DOI) - 5 Dec 2025
Abstract
Objectives: Chronic otitis media poses a surgical challenge, and subtotal petrosectomy represents a last-resort intervention. This study aims to evaluate the efficacy and safety of subtotal petrosectomy with blind sac closure of the external auditory canal in managing chronic and recurrent otitis [...] Read more.
Objectives: Chronic otitis media poses a surgical challenge, and subtotal petrosectomy represents a last-resort intervention. This study aims to evaluate the efficacy and safety of subtotal petrosectomy with blind sac closure of the external auditory canal in managing chronic and recurrent otitis media by sharing our experiences and discussing the findings from a comprehensive literature review. Methods: A retrospective analysis including nine patients undergoing subtotal petrosectomy with blind sac closure of the external auditory canal was conducted. Additionally, two independent otolaryngologists conducted a review according to the Preferred Reporting Items for Systematic Reviews and Meta-analyses (PRISMA) statement. The criteria for considering studies for the review were based on the population, intervention, comparison, outcome, timing, and setting (PICOTS) framework. Results: Our retrospective analysis comprised eight chronic cholesteatomatous otitis media cases and one atelectatic case. No postoperative complications occurred. The literature review discussed SP applications, surgical techniques, and outcomes from 17 selected studies. Conclusions: Subtotal petrosectomy with blind sac closure of the external auditory canal effectively manages chronic otitis, exhibiting minimal complications and improved postoperative outcomes. Despite study limitations, including a small sample size, this research provides valuable insights into subtotal petrosectomy’s application and success. The literature review enhances understanding by summarizing findings from diverse studies, offering a comprehensive view of the procedure’s evolution and applications. Full article
Show Figures

Figure 1

Previous Issue
Back to TopTop