Bariatric Surgery Impacts Retinal Vessel Status Assessed by Optical Coherence Tomography Angiography: A Prospective 12 Months Study
Abstract
1. Introduction
2. Methods
2.1. Study Design and Ethics
2.2. Inclusion and Exclusion Criteria
2.3. Ocular and Systemic Data
2.4. Structural Optical Coherence Tomography (OCT) and OCTA Imaging Protocols
2.5. Statistical Analysis
3. Results
3.1. Study Cohort
3.2. Baseline Demographic and Clinical Characteristics of Study Groups
3.3. Baseline OCTA and Structural OCT Characteristics of Study Groups
3.4. Systemic and Ocular Characteristics Changes Following Bariatric Surgery: 12-Month Progression
3.5. Longitudinal Optical Coherence Tomography Angiography Parameters Evolution over 12 Months Post-Bariatric Surgery
3.6. Structural Macular and Optic Nerve Head OCT Changes over 12 Months Post-Bariatric Surgery
4. Discussion
| Author | Sample Size | Control Group | Follow-Up Duration | Study Design | Country | Parameters Evaluated | Methods Used | Main Results | Limitations |
|---|---|---|---|---|---|---|---|---|---|
| Agarwal et al. (2020) [16] | 50 | Yes (25 age and sex matched controls) | 6 months | Prospective | India | Retinochoroidal structural alterations | OCT (No OCTA) | Significant improvement in retinal and choroidal thickness post-weight loss. | Limited to structural outcomes; functional changes not assessed. |
| ElShazly et al. (2022) [12] | 45 | No control group | 3 months | Prospective | Egypt | IOP, RNFL thickness, optic nerve head blood flow | OCTA, RNFL | IOP reduction and improved optic nerve head perfusion; no RNFL changes. | Short follow-up period; no comparison group for validation. |
| Laiginhas et al. (2021) [17] | 35 | Yes (15 controls) | 12 months | Prospective | Portugal | Microvascular perfusion changes | OCTA and systemic vascular assessments | Improved microvascular perfusion post-gastric bypass surgery. | Small sample size; patient demographics not diverse. |
| Dogan et al. (2023) [18] | 60 | Yes (30 controls) | No follow-up (cross-sectional) | Cross-sectional | Turkey | Optic disk and retinal vascular densities | OCTA | Reduced vascular density in obese patients compared to controls. | Cross-sectional design; no post-weight-loss evaluation. |
| Alacamli et al. (2023) [19] | 80 | No control group | 6 months | Prospective | Romania | Microvascular changes in obesity | OCTA | Detection of early microvascular changes in obese patients. | No differentiation between obesity-related changes and comorbidities. |
| This study | 43 | Yes (43 age and sex matched controls) | 12 months | Prospective | Spain | Functional, structural, and microvascular retinal perfusion changes | OCT and OCTA | Improved microvascular perfusion post-bariatric surgery, compared to the control group at month 12 | - |
Author Contributions
Funding
Institutional Review Board Statement
Informed Consent Statement
Data Availability Statement
Conflicts of Interest
Abbreviations
| AL | Axial length |
| AMT | Average macular thickness |
| BCVA | Best corrected visual acuity |
| BMI | Body mass index |
| CC | Choriocapillaris |
| CRT | Central retinal thickness |
| DCP | Deep capillary plexus |
| FAZ | Foveal avascular zone |
| FAZa | Foveal avascular zone area |
| FAZc | Foveal avascular zone circularity |
| FAZp | Foveal avascular zone perimeter |
| GCC | Ganglion cell complex |
| IQR | Interquartile range |
| MV | Macular volume |
| OCT | Optical Coherence Tomography |
| OCTA | Optical Coherence Tomography Angiography |
| PD | Perfusion density |
| RNFL | Retinal nerve fiber layer |
| SCP | Superficial capillary plexus |
| SD | Standard deviation |
| SE | Spherical equivalent |
| SVD | Small vessel disease |
| VD | Vessel density |
References
- Yumuk, V.; Tsigos, C.; Fried, M.; Schindler, K.; Busetto, L.; Micic, D.; Toplak, H. European Guidelines for Obesity Management in Adults. Obes. Facts 2015, 8, 402–424. [Google Scholar] [CrossRef] [PubMed]
- WHO. Obesity: Preventing and Managing the Global Epidemic; WHO Technical Report Series, no. 894; World Health Organization: Geneva, Switzerland, 2000; 253p. [Google Scholar]
- Dandona, P.; Weinstock, R.; Thusu, K.; Abdel-Rahman, E.; Aljada, A.; Wadden, T. Tumor Necrosis Factor-Alpha in Sera of Obese Patients: Fall with Weight Loss. J. Clin. Endocrinol. Metab. 1998, 83, 2907–2910. [Google Scholar] [CrossRef] [PubMed]
- Virdis, A.; Santini, F.; Colucci, R.; Duranti, E.; Salvetti, G.; Rugani, I.; Segnani, C.; Anselmino, M.; Bernardini, N.; Blandizzi, C.; et al. Vascular Generation of Tumor Necrosis Factor-α Reduces Nitric Oxide Availability in Small Arteries from Visceral Fat of Obese Patients. J. Am. Coll. Cardiol. 2011, 58, 238–247. [Google Scholar] [CrossRef] [PubMed]
- Hakim, A.M. Small Vessel Disease. Front. Neurol. 2019, 10, 1020. [Google Scholar] [CrossRef] [PubMed]
- Posarelli, C.; Salvetti, G.; Piaggi, P.; Guido, F.; Ceccarini, G.; Santini, F.; Figus, M. Ophthalmologic Evaluation of Severely Obese Patients Undergoing Bariatric Surgery: A Pilot, Monocentric, Prospective, Open-Label Study. PLoS ONE 2019, 14, e0216351. [Google Scholar] [CrossRef] [PubMed]
- de Araújo Brandão, L.P.N.; Vilar, L.; Cavalcanti, B.M.; Brandão, P.H.A.; e Arantes, T.E.F.; Campos, J.M. Níveis Séricos de Vitamina A, Função Visual e Superfície Ocular Após Cirurgia Bariátrica. Arq. Gastroenterol. 2017, 54, 65–69. [Google Scholar] [CrossRef]
- Ministrini, S.; Fattori, C.; Ricci, M.A.; Bianconi, V.; Paltriccia, R.; Boni, M.; Paganelli, M.T.; Vaudo, G.; Lupattelli, G.; Pasqualini, L. Microcirculatory Improvement Induced by Laparoscopic Sleeve Gastrectomy Is Related to Insulin Sensitivity Retrieval. Obes. Surg. 2018, 28, 3151–3158. [Google Scholar] [CrossRef] [PubMed]
- Laiginhas, R.; Guimarães, M.; Cardoso, P.; Santos-Sousa, H.; Preto, J.; Nora, M.; Chibante, J.; Falcão-Reis, F.; Falcão, M. Bariatric Surgery Induces Retinal Thickening Without Affecting the Retinal Nerve Fiber Layer Independent of Diabetic Status. Obes. Surg. 2020, 30, 4877–4884. [Google Scholar] [CrossRef] [PubMed]
- Dogan, B.; Dogan, U.; Erol, M.K.; Habibi, M.; Bulbuller, N. Optical Coherence Tomography Parameters in Morbidly Obese Patients Who Underwent Laparoscopic Sleeve Gastrectomy. J. Ophthalmol. 2016, 2016, 5302368. [Google Scholar] [CrossRef] [PubMed]
- Gonul, S.; Yilmaz, H.; Gedik, S.; Ozturk, B.T.; Oflaz, A.B.; Sahin, M. Evaluation of the Choroidal Thickness and Retinal Nerve Fiber Layer and Visual Fields in Morbid Obesity: Does Bariatric Surgery Affect Retinal Structure and Function? Indian. J. Ophthalmol. 2021, 69, 301–306. [Google Scholar] [CrossRef] [PubMed]
- ElShazly, M.I.; Elessawy, K.B.; Salama, M.M. Short-Term Effect of Weight Loss after Bariatric Surgery on IOP, RNFL Thickness, and the Optic Nerve Head Blood Flow Measured by OCTA. Eur. J. Ophthalmol. 2022, 32, 2153–2158. [Google Scholar] [CrossRef] [PubMed]
- Laiginhas, R.; Guimarães, M.; Cardoso, P.; Santos-Sousa, H.; Preto, J.; Nora, M.; Chibante, J.; Falcão-Reis, F.; Falcão, M. Retinal Nerve Fiber Layer Thickness Decrease in Obesity as a Marker of Neurodegeneration. Obes. Surg. 2019, 29, 2174–2179. [Google Scholar] [CrossRef] [PubMed]
- Alé-Chilet, A.; Bernal-Morales, C.; Barraso, M.; Hernández, T.; Oliva, C.; Vinagre, I.; Ortega, E.; Figueras-Roca, M.; Sala-Puigdollers, A.; Esquinas, C.; et al. Optical Coherence Tomography Angiography in Type 1 Diabetes Mellitus—Report 2: Diabetic Kidney Disease. J. Clin. Med. 2021, 11, 197. [Google Scholar] [CrossRef] [PubMed]
- Bernal-Morales, C.; Alé-Chilet, A.; Martín-Pinardel, R.; Barraso, M.; Hernández, T.; Oliva, C.; Vinagre, I.; Ortega, E.; Figueras-Roca, M.; Sala-Puigdollers, A.; et al. Optical Coherence Tomography Angiography in Type 1 Diabetes Mellitus. Report 4: Glycated Haemoglobin. Diagnostics 2021, 11, 1537. [Google Scholar] [CrossRef] [PubMed]
- Agarwal, A.; Saini, A.; Mahajan, S.; Agrawal, R.; Cheung, C.Y.; Rastogi, A.; Gupta, R.; Wang, Y.M.; Kwan, M.; Gupta, V. Effect of Weight Loss on the Retinochoroidal Structural Alterations among Patients with Exogenous Obesity. PLoS ONE 2020, 15, e0235926. [Google Scholar] [CrossRef]
- Laiginhas, R.; Guimarães, M.; Nora, M.; Chibante, J.; Falcão, M. Gastric Bypass Improves Microvascular Perfusion in Patients with Obesity. Obes. Surg. 2021, 31, 2080–2086. [Google Scholar] [CrossRef] [PubMed]
- Dogan, B.; Dogan, U.; Gedik, B.; Turkmen, B.; Cakir, R.C.; Demirer, M.E.; Aslaner, A. Optical Coherence Tomography Angiography Evaluation of Optic Disc and Retinal Vascular Densities in Obese Patients. Photodiagnosis Photodyn. Ther. 2023, 44, 103826. [Google Scholar] [CrossRef] [PubMed]
- Alacamli, G.; Kaderli, S.T.; Edebali, S.; Alacamli, O.G.; Sul, S.; Canbek, T.D.; Karalezli, A. Microvascular changes in obese adults detected by Optical Coherence Tomography Angiography. Rom. J. Ophthalmol. 2023, 67, 140–145. [Google Scholar] [CrossRef] [PubMed]





| Characteristics, Mean (SD) (SEM) | Baseline | Month 1 | Month 6 | Month 12 | Controls | p-Value |
|---|---|---|---|---|---|---|
| DEMOGRAPHICS | ||||||
| Age | 49.26 (10.52)(1.60) | - | - | - | 49.28 (10.79)(1.65) | 0.990 |
| Sex, male, n (%) | 16 (37.2%) | - | - | - | 16 (37.2%) | 1.000 |
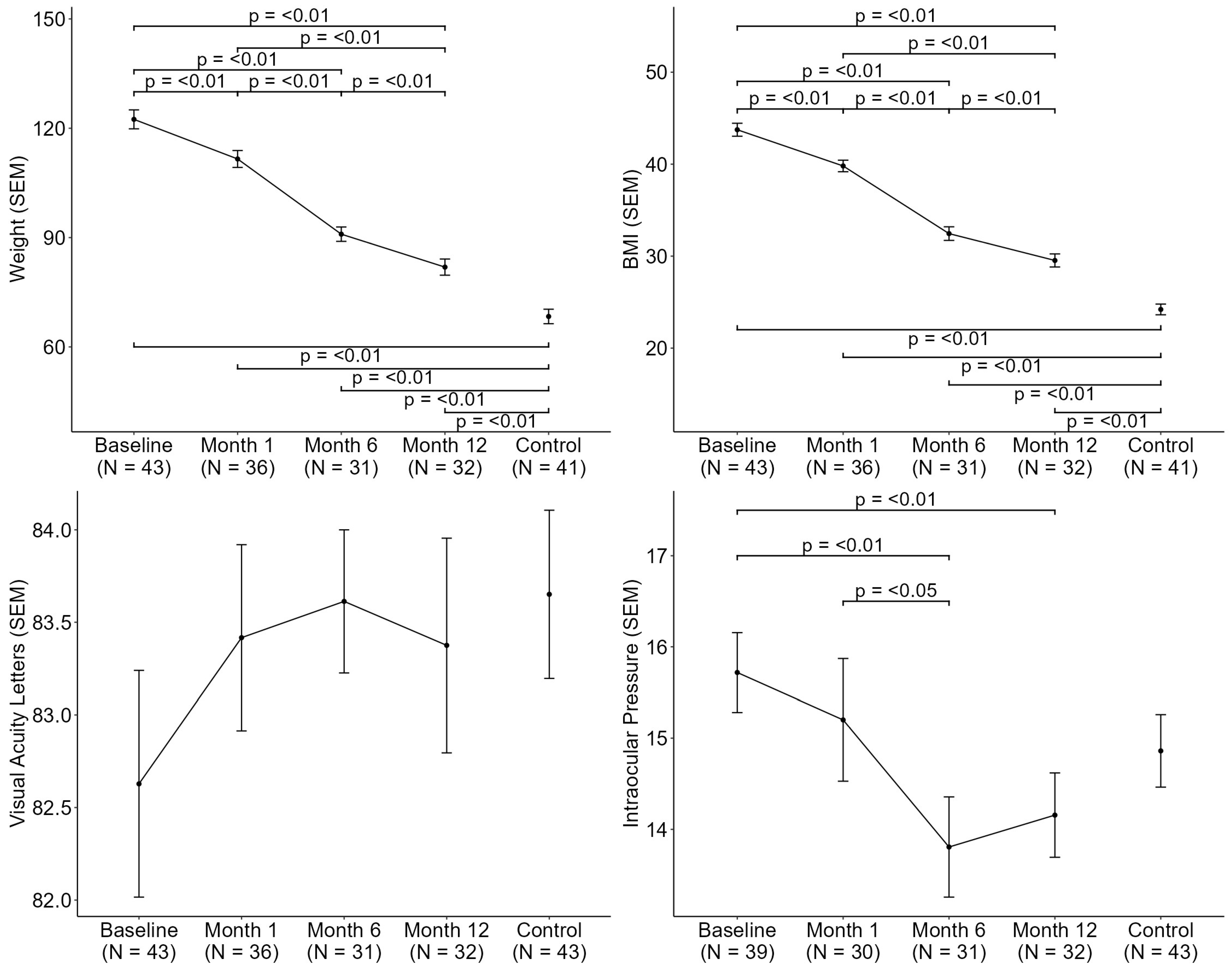
| Weight (kg) | 122.44 (17.04)(2.60) | 111.57 a (13.91)(2.32) | 90.94 b (10.97)(1.97) | 81.90 c (12.56)(2.22) | 68.35 d (12.72)(1.99) | a,b,c,d |
| Height (m) | 1.66 (0.09)(0.01) | - | - | - | 1.68 (0.09)(0.01) | 0.425 |
| BMI (kg/m2) | 43.74 (4.62)(0.70) | 39.81 a (3.77)(0.63) | 32.45 b (4.12)(0.74) | 29.53 c (4.02)(0.71) | 24.21 d (3.73)(0.58) | a,b,c,d |
| OCULAR DATA | ||||||
| Visual Acuity (LogMAR) | 82.63 (4.01)(0.61) | 83.42 (3.02)(0.50) | 83.61 (2.16)(0.39) | 83.38 (3.28)(0.58) | 83.65 (2.98)(0.45) | - |
| Spherical Equivalent | −0.65 (2.15)(0.34) | - | - | - | −0.13 (2.26)(0.35) | 0.920 |
| Axial Length | 23.66 (1.25)(0.20) | - | - | - | 23.74 (1.00)(0.15) | 0.441 |
| Intraocular Pressure | 15.72 (2.73)(0.44) | 15.20 (3.68)(0.67) | 13.81 b (3.06)(0.55) | 14.16 c (2.62)(0.46) | 14.86 d (2.61)(0.40) | b,c,d |
| Eyes | 43 | 36 | 31 | 32 | 43 | |
| Baseline Cardiovascular Characteristics, Mean (SD)(SEM) | Patients with Obesity | Controls | p-Value |
|---|---|---|---|
| Systolic BP (mmHg) | 131.69 (14.96)(2.49) | 120.84 (15.29)(2.33) | <0.05 |
| Dyastolic BP (mmHg) | 82.47 (8.28)(1.38) | 81.02 (9.59)(1.46) | 0.584 |
| Heart Rate | 74.39 (12.31)(2.05) | 70.86 (10.13)(1.55) | 0.195 |
| HbA1c | 6.07 (1.14)(0.18) | 5.41 (0.33)(0.05) | <0.05 |
| Diabetes Mellitus | No: 20 (46.5%) Yes: 14 (32.6%) Pre-DM: 9 (20.9%) | - | |
| Cerebrovascular disease n (%) | 0 (0.0%) | 0 (0.0%) | 1.000 |
| Ischemic heart disease n (%) | 0 (0.0%) | 1 (2.3%) | 1.000 |
| Peripheral vascular disease n (%) | 4 (9.5%) | 0 (0.0%) | 0.055 |
| HT n (%) | 23 (53.5%) | 6 (14.0%) | <0.05 |
| Anti-HT Treatment n (%) | 19 (44.2%) | 6 (14.0%) | <0.05 |
| CAIs n (%) | 17 (40.5%) | 4 (9.3%) | <0.05 |
| Diuretics n (%) | 7 (16.7%) | 1 (2.3%) | <0.05 |
| Ca + Antagonists n (%) | 2 (4.8%) | 2 (4.7%) | 1.000 |
| Others n (%) | 1 (2.4%) | 3 (7.0%) | 0.616 |
| Statins n (%) | 7 (16.7%) | 2 (4.7%) | 0.089 |
| Fibrates n (%) | 1 (2.5%) | 0 (0.0%) | 0.482 |
| Antiplatelets n(%) | 7 (17.5%) | 0 (0.0%) | <0.05 |
| Smoking habits | |||
| Non smoker | 23 (53.5%) | 27 (62.8%) | 0.487 |
| Current smoker | 4 (9.3%) | 5 (11.6%) | |
| Ex-smoker | 16 (37.2%) | 11 (25.6%) | |
| Patients | 43 | 43 |
| Characteristics, Mean (SD) (SEM) | Baseline | Month 1 | Month 6 | Month 12 | Control | Significant p-Values |
|---|---|---|---|---|---|---|
| OCTA | ||||||
| Vessel Density (mm−1) | 16.70 (1.63)(0.26) | 16.92 e (1.97)(0.34) | 17.00 f (1.47)(0.27) | 17.68 c (1.26)(0.23) | 17.73 d (1.37)(0.21) | c,d,e,f |
| Perfusion Density (0–1) | 0.406 (0.043)(0.007) | 0.413 (0.051)(0.009) | 0.415 f (0.039)(0.007) | 0.433 c (0.035)(0.006) | 0.434 d (0.035)(0.006) | c,d,f |
| FAZ Area (mm2) | 0.232 (0.105)(0.018) | 0.239 (0.119)(0.021) | 0.247 (0.116)(0.022) | 0.251 (0.115)(0.021) | 0.274 (0.075)(0.014) | - |
| FAZ Perimeter (mm) | 2.085 (0.574)(0.097) | 2.014 (0.540)(0.097) | 2.082 (0.540)(0.102) | 2.077 (0.525)(0.094) | 2.140 (0.333)(0.062) | - |
| FAZ Circularity | 0.657 (0.110)(0.019) | 0.704 a,e (0.082)(0.015) | 0.684 f (0.092)(0.017) | 0.698 g (0.087)(0.016) | 0.743 d (0.068)(0.013) | a,d,e,f,g |
| STRUCTURAL OCT | ||||||
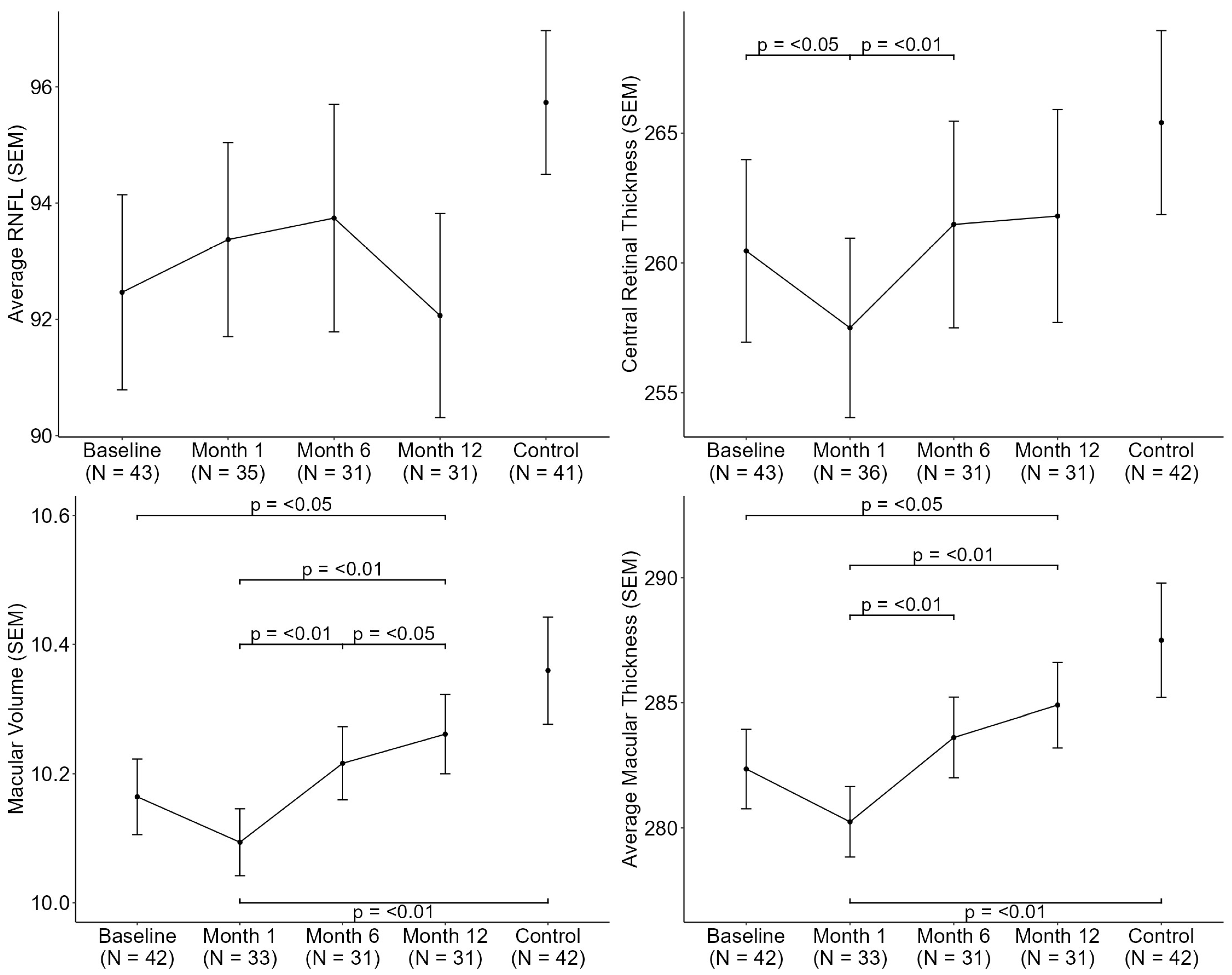
| RNFL (μm) | 92.47 (11.01)(1.68) | 93.37 (9.88)(1.67) | 93.74 (10.90)(1.96) | 92.06 (9.77)(1.76) | 95.73 (7.91)(1.24) | - |
| Central Retinal Thickness (μm) | 260.47 (23.05)(3.52) | 257.50 a (20.72)(3.45) | 261.48 (22.16)(3.98) | 261.81 (22.82)(4.10) | 265.40 (22.95)(3.54) | a |
| Macular Volume | 10.16 (0.38)(0.06) | 10.09 e (0.30)(0.05) | 10.22 (0.32)(0.06) | 10.26 c (0.34)(0.06) | 10.36 (0.54)(0.08) | c,e |
| Macular Thickness (μm) | 282.36 (10.31)(1.59) | 280.24 e (8.09)(1.41) | 283.61 (8.95)(1.61) | 284.90 c (9.50)(1.71) | 287.50 (14.85)(2.29) | c,e |
| Ganglion-Cell Complex Thickness (μm) | 82.02 (6.06)(0.95) | 81.40 a (6.23)(1.05) | 81.97 (5.85)(1.05) | 81.65 (5.24)(0.94) | - | a |
| Eyes | 43 | 36 | 31 | 32 | 43 | |
Disclaimer/Publisher’s Note: The statements, opinions and data contained in all publications are solely those of the individual author(s) and contributor(s) and not of MDPI and/or the editor(s). MDPI and/or the editor(s) disclaim responsibility for any injury to people or property resulting from any ideas, methods, instructions or products referred to in the content. |
© 2025 by the authors. Licensee MDPI, Basel, Switzerland. This article is an open access article distributed under the terms and conditions of the Creative Commons Attribution (CC BY) license (https://creativecommons.org/licenses/by/4.0/).
Share and Cite
Carreras-Castañer, X.; Batlle-Ferrando, S.; Martín-Pinardel, R.; Hernández, T.; Oliva, C.; Vila, I.; Castro-Dominguez, R.; Mendez-Mourelle, A.; Adán, A.; Tundidor, D.; et al. Bariatric Surgery Impacts Retinal Vessel Status Assessed by Optical Coherence Tomography Angiography: A Prospective 12 Months Study. J. Clin. Med. 2025, 14, 8644. https://doi.org/10.3390/jcm14248644
Carreras-Castañer X, Batlle-Ferrando S, Martín-Pinardel R, Hernández T, Oliva C, Vila I, Castro-Dominguez R, Mendez-Mourelle A, Adán A, Tundidor D, et al. Bariatric Surgery Impacts Retinal Vessel Status Assessed by Optical Coherence Tomography Angiography: A Prospective 12 Months Study. Journal of Clinical Medicine. 2025; 14(24):8644. https://doi.org/10.3390/jcm14248644
Chicago/Turabian StyleCarreras-Castañer, Xavier, Sofía Batlle-Ferrando, Rubén Martín-Pinardel, Teresa Hernández, Cristian Oliva, Irene Vila, Rafael Castro-Dominguez, Andrea Mendez-Mourelle, Alfredo Adán, Diana Tundidor, and et al. 2025. "Bariatric Surgery Impacts Retinal Vessel Status Assessed by Optical Coherence Tomography Angiography: A Prospective 12 Months Study" Journal of Clinical Medicine 14, no. 24: 8644. https://doi.org/10.3390/jcm14248644
APA StyleCarreras-Castañer, X., Batlle-Ferrando, S., Martín-Pinardel, R., Hernández, T., Oliva, C., Vila, I., Castro-Dominguez, R., Mendez-Mourelle, A., Adán, A., Tundidor, D., de Hollanda, A., Ortega, E., Jiménez, A., & Zarranz-Ventura, J. (2025). Bariatric Surgery Impacts Retinal Vessel Status Assessed by Optical Coherence Tomography Angiography: A Prospective 12 Months Study. Journal of Clinical Medicine, 14(24), 8644. https://doi.org/10.3390/jcm14248644

