Sign in to use this feature.

Years

Between: -

Subjects

remove_circle_outline
remove_circle_outline
remove_circle_outline
remove_circle_outline
remove_circle_outline
remove_circle_outline
remove_circle_outline
remove_circle_outline

Journals

Article Types

Countries / Regions

Search Results (22)

Search Parameters:
Keywords = microplastic shape parameters

Order results
Result details
Results per page
Select all
Export citation of selected articles as:
22 pages, 3437 KB  
Review
Plastic Waste to Microplastic Pollution and Its Impacts: A Comprehensive Review on Delhi, India
by Rakshit Jakhar, Sarita Kumari Sandwal, Irfan Ali and Katarzyna Styszko
Appl. Sci. 2026, 16(1), 61; https://doi.org/10.3390/app16010061 - 20 Dec 2025
Viewed by 232
Abstract
Microplastics are very small particles of plastics, usually smaller than 5 mm. Microplastic pollution has emerged as a rising and challenging issue worldwide, posing serious threats to aquatic and terrestrial ecosystems and human health. Because of global demand and frequent use in daily [...] Read more.
Microplastics are very small particles of plastics, usually smaller than 5 mm. Microplastic pollution has emerged as a rising and challenging issue worldwide, posing serious threats to aquatic and terrestrial ecosystems and human health. Because of global demand and frequent use in daily routines, including clothing, packaging, and household items, the production of plastic is increasing annually. This study provides a comprehensive overview of the source, classification (based on shape, color, polymer), transportation, and impact of microplastic pollution. Depending upon size, mass, and density, microplastics can be transported to the environment via air and water. However, microplastics can be inhaled and ingested by humans, causing various health issues; for example, aquatic organisms like small fish ingest microplastics, which accumulate through the food chain and end up in the human body. This can lead to physiological harm, including inflammation, digestion tract obstruction, biomagnification throughout the food chain, and reproductive failure. This study further highlighted initiatives taken by government agencies to address plastic and microplastic pollution across India; for example, The Ministry of Environment Forest and Climate Change (MoEFCC) has formulated and amended the Plastic Waste Management (PWM) rules, Mission LiFE (LiFEStyle for Environment) launched campaigns such as “Say No to Single Use Plastic” and “One Nation, One Mission: End Plastic Pollution” to create awareness at the grassroot level, and institutions like the Food Safety and Standards Authority of India (FSSAI) have initiated a project to detect microplastics in food products. In addition, the National Green Tribunal (NGT) has instructed the Central Pollution Control Board (CPCB) to actively take measures to address microplastic pollution across Indian cities, focusing on key parameters like air, water, food, and humans. This study presents several recommendations, including detection and removal techniques (conventional, advanced, and removal); strengthening legislative policies such as Extended Producer Responsibility (EPR); research collaboration and monitoring with institutions such as CSIR-IITR, ICAR-CIFT, and BITS-Pilani; integrating EPR and Material Recovery Facilities (MRF) to develop a circular economy model; and mass awareness through government initiatives like the Swachh Bharat and Smart City programs to foster long-term behavioral change. Full article
Show Figures

Figure 1

20 pages, 38386 KB  
Article
Study on the Mass Concentration Distributions of Marine Microplastics in Estuaries and Coastal Areas
by Jinfeng Zhang, Zhengqi Li, Jiaxiong Liang, Guangwei Liu, Yongming Luo and Qinghe Zhang
Water 2025, 17(8), 1136; https://doi.org/10.3390/w17081136 - 10 Apr 2025
Cited by 2 | Viewed by 3992
Abstract
Marine microplastics are a global environmental issue, and understanding their distributions in estuaries and coastal areas is a critical prerequisite for the effective and sustainable management of microplastic pollution. Owing to the lack of methods that exist for quantifying microplastic content, characterizing the [...] Read more.
Marine microplastics are a global environmental issue, and understanding their distributions in estuaries and coastal areas is a critical prerequisite for the effective and sustainable management of microplastic pollution. Owing to the lack of methods that exist for quantifying microplastic content, characterizing the distribution of microplastics is difficult. The mass concentration of microplastics is an objective indicator that reflects their distribution. Therefore, a formula for calculating the microplastic mass concentration is proposed through the parameters of the number concentration, microplastic size, and mesh size, in addition to the proportions of particles with different sizes and shapes. On the basis of the large amount of existing measured data, the mass concentrations of microplastics in estuaries and coastal areas are calculated. It can be concluded that polypropylene (PP; 72%) and polyethylene (PE; 67%) are the most abundant microplastics in the ocean. Additionally, marine microplastics are more common in estuaries (102–103 mg/L) than in the open sea (0–10 mg/L). The maximum concentration of microplastics in surface water is approximately 8.0 g/L. Moreover, the concentration of microplastic pollution has significantly increased in areas surrounding sewage treatment plants and aquaculture farms. Full article
(This article belongs to the Section Oceans and Coastal Zones)
Show Figures

Figure 1

24 pages, 1414 KB  
Review
Microplastics in Water Resources: Threats and Challenges
by Wojciech Strojny, Renata Gruca-Rokosz and Maksymilian Cieśla
Appl. Sci. 2025, 15(8), 4118; https://doi.org/10.3390/app15084118 - 9 Apr 2025
Cited by 4 | Viewed by 4837
Abstract
This study is a review of current knowledge on microplastics (MPs) in aquatic environments. In addition to identifying the sources of contamination by MPs in water and the hazards of their presence, an attempt is made to systematize the terminology of polymeric microparticles [...] Read more.
This study is a review of current knowledge on microplastics (MPs) in aquatic environments. In addition to identifying the sources of contamination by MPs in water and the hazards of their presence, an attempt is made to systematize the terminology of polymeric microparticles according to their size and to describe other parameters characteristic of MPs, i.e., shape and color. Special focus was placed on a review of the most important methods used to extract MPs from environmental matrices, as well as the latest and most effective analytical methods, highlighting their advantages and disadvantages. The value of the paper is in pointing out important developments in MPs analytics, identifying existing inaccuracies and limitations in the field and providing practical guidance. Thanks to its comprehensive approach, this article is a valuable resource for researchers concerned with the problem of environmental MPs pollution. Full article
(This article belongs to the Special Issue Pollution Control and Environmental Remediation)
Show Figures

Figure 1

23 pages, 8696 KB  
Article
Effects of Microplastics on Selected Earthworm Species
by Marek Klimasz and Anna Grobelak
Toxics 2025, 13(3), 201; https://doi.org/10.3390/toxics13030201 - 11 Mar 2025
Cited by 5 | Viewed by 3054
Abstract
Microplastics currently pose a serious threat to aquatic and terrestrial ecosystems. The high mobility of particles and their diversity in size, material and shape lets them spread widely. Further complicating matters is the ever-expanding plastics industry and modifications to its manufacturing processes. To [...] Read more.
Microplastics currently pose a serious threat to aquatic and terrestrial ecosystems. The high mobility of particles and their diversity in size, material and shape lets them spread widely. Further complicating matters is the ever-expanding plastics industry and modifications to its manufacturing processes. To date, many cases of negative, often toxic effects of microplastics on various species such as fish, birds and mammals have been documented. The methodology for measuring and determining the effects of microplastics on soil organisms is still an area of little understanding and certainly requires further study. In our conducted experiment, we reported the effects of selected microplastics in soil (polyethylene, polyethylene terephthalate, polystyrene, polyamide and a mixture of these plastics) at concentrations of 0.1% w/v and 1% w/v at two time intervals, one and three months, on five different earthworm species, identifying the species-related microplastic response. This study investigated the effects of different microplastics on biological parameters such as survival and respiration and biochemical parameters such as effects on glutathione s-transferase (GST), a marker of detoxification and adaptive response in earthworm species Eisenia andrei, Eisenia fetida, Lumbricus terrestris, Apporectoda caliginosa and Dendrobena veneta. The choices of species and the types of microplastic selected are intended to map the occurrence of microplastic contamination in the soil and determine the adaptation of earthworms to changing environmental conditions, considering their ecological significance and functional diversity in soil ecosystems. Full article
Show Figures

Graphical abstract

12 pages, 2220 KB  
Article
Significance of Morphology in Characterizing Human Health Risk from di(2-ethylhexyl) Phthalate in Polyvinyl Chloride Microplastics in Groundwater
by Ki-Han Song, Sang-Gyu Yoon, Jin-Yong Lee and Jinsung An
Toxics 2025, 13(2), 105; https://doi.org/10.3390/toxics13020105 - 28 Jan 2025
Cited by 2 | Viewed by 1933
Abstract
In this study, a human health risk assessment was performed on the ingestion route of groundwater containing polyvinyl chloride (PVC) microplastics (MPs), and the carcinogenic and non-carcinogenic risks of di(2-ethylhexyl) phthalate (DEHP), a representative additive, were determined. In particular, the impact of volume [...] Read more.
In this study, a human health risk assessment was performed on the ingestion route of groundwater containing polyvinyl chloride (PVC) microplastics (MPs), and the carcinogenic and non-carcinogenic risks of di(2-ethylhexyl) phthalate (DEHP), a representative additive, were determined. In particular, the impact of volume diversity according to the shape (morphology) of PVC MP (fragment, fiber, film) on the risk characterization was intensively explored. Firstly, a continuous particle size distribution following a power function was derived using the abundance ratio of PVC MPs by size in the investigated groundwater, and human health risk assessment for DEHP in the PVC MPs was performed through the volume distribution according to the shape of MPs. DEHP human health risk assessment showed an excess cancer risk (ECR) of below 10−6 for a 95% cumulative probability for all MP shapes, but the values varied depending on the shape. Sensitivity analysis showed that the parameter that most affected human health risk was MP volume, second to concentration, which is dependent on MP shape. Therefore, it is necessary to consider the variety of MP shapes during human health risk assessment, and it can be achieved through probabilistic risk assessment utilizing the probability distribution for size and shape of MPs. Full article
Show Figures

Graphical abstract

16 pages, 2602 KB  
Article
Phytotoxic Effects of Polystyrene Microplastics on Growth Morphology, Photosynthesis, Gaseous Exchange and Oxidative Stress of Wheat Vary with Concentration and Shape
by Komal Riaz, Tahira Yasmeen, Kotb A. Attia, Itoh Kimiko and Muhammad Saleem Arif
Toxics 2025, 13(1), 57; https://doi.org/10.3390/toxics13010057 - 15 Jan 2025
Cited by 5 | Viewed by 3669
Abstract
Microplastics pose a serious ecological threat to agricultural soils, as they are very persistent in nature. Microplastics can enter the soil system in different ways and present different shapes and concentrations. However, little is known about how plants react to microplastics with different [...] Read more.
Microplastics pose a serious ecological threat to agricultural soils, as they are very persistent in nature. Microplastics can enter the soil system in different ways and present different shapes and concentrations. However, little is known about how plants react to microplastics with different concentrations and shapes. To this end, we conducted a factorial pot experiment with wheat (Triticum aestivum L.) in which we mixed polystyrene (PS) in different shapes (bead, fiber and powder) with soil at concentrations of 0, 1, 3 and 5%. Although all shapes of PS significantly reduced morphological growth traits, PS in powder shape was the microplastic that reduced plant height (by 58–60%), fresh biomass (by 54–55%) and dry biomass (by 61–62%) the most, especially at the 3% and 5% concentrations compared with 0% PS. Similar negative effects were also observed for root length and fresh root weight at the 3% and 5% concentrations, regardless of shape. A concentration-dependent reduction in the leaf area index (LAI) was also observed. Interestingly, increasing the PS concentration tended to up-regulate the activity of antioxidant enzymes for all shapes, indicating potential complexity and a highly time-dependent response related to various reactive oxygen species (ROS). Importantly, PS at the 5% concentration caused a significant reduction in chlorophyll pigmentation and photosynthetic rate. For the transpiration rate, stomatal conductance and intercellular CO2 concentration, the negative effects of PS on wheat plants increased with the increase in microplastic concentration for all shapes of PS. Overall, we concluded that PS microplastics at higher concentrations are potentially more devastating to the physiological growth and biochemical attributes of wheat, as evidenced by the negative effects on photosynthetic pigments and gas exchange parameters for all shapes. We recommend further research experiments not only on translocation but also on tissue-specific retention of different sizes in crops to fully understand their impact on food safety. Full article
(This article belongs to the Special Issue Environmental Pollution and Food Safety)
Show Figures

Figure 1

19 pages, 2439 KB  
Article
Microplastic Transport and Accumulation in Rural Waterbodies: Insights from a Small Catchment in East China
by Tom Lotz, Wenjun Chen and Shoubao Su
Toxics 2024, 12(10), 761; https://doi.org/10.3390/toxics12100761 - 19 Oct 2024
Cited by 3 | Viewed by 2166
Abstract
Microplastic (MP) pollution in agricultural ecosystems is an emerging environmental concern, with limited knowledge of its transport and accumulation in rural waterbodies. This study investigates the distribution and sources of MP in drainage ditches influenced by pond connectivity, land use, and soil properties [...] Read more.
Microplastic (MP) pollution in agricultural ecosystems is an emerging environmental concern, with limited knowledge of its transport and accumulation in rural waterbodies. This study investigates the distribution and sources of MP in drainage ditches influenced by pond connectivity, land use, and soil properties within a small catchment in Nanjing, East China. Sediment was collected from ditches in 18 sites across forest, agricultural, horticultural, and urban areas. Using laser-directed infrared spectroscopy (LDIR), 922 MP particles were identified. Six materials were dominant: fluororubber (FR), polyethylene terephthalate (PET), polyurethane (PU), acrylonitrile (ACR), chlorinated polyethylene (CPE), and polyethylene (PE). MP concentrations varied by land use and pond connectivity, with ditches above ponds exhibiting higher counts (1700 particles/kg) than those below (1050 particles/kg), indicating that ponds act as MP sinks. The analysis revealed site-specific MP sources, with FR linked to road runoff and PET associated with agricultural practices. Correlations between MP shape and soil properties showed that more compact and filled shapes were more commonly associated with coarser soils. PE particle size was negatively correlated with organic matter. This study highlights the need for targeted strategies to reduce MP pollution in rural landscapes, such as reducing plastic use, ditch maintenance, and improved road runoff management. Full article
(This article belongs to the Topic Microplastics Pollution)
Show Figures

Figure 1

22 pages, 2723 KB  
Article
Identification Tools of Microplastics from Surface Water Integrating Digital Image Processing and Statistical Techniques
by Ewa Dacewicz, Ewa Łobos-Moysa and Krzysztof Chmielowski
Materials 2024, 17(15), 3701; https://doi.org/10.3390/ma17153701 - 26 Jul 2024
Cited by 1 | Viewed by 1921
Abstract
The primary objective of this study was to demonstrate the potential of digital image analysis as a tool to identify microplastic (MP) particles in surface waters and to facilitate their characterisation in terms of 2D and 3D morphology. Digital image analysis preceded by [...] Read more.
The primary objective of this study was to demonstrate the potential of digital image analysis as a tool to identify microplastic (MP) particles in surface waters and to facilitate their characterisation in terms of 2D and 3D morphology. Digital image analysis preceded by microscopic analysis was used for an exhaustive quantitative and qualitative evaluation of MPs isolated from the Vistula River. Using image processing procedures, 2D and 3D shape descriptors were determined. Principal Component Analysis was used to interpret the relationships between the parameters studied, characterising MP particle geometry, type and colour. This multivariate analysis of the data allowed three or four main factors to be extracted, explaining approximately 90% of the variation in the data characterising MP morphology. It was found that the first principal component for granules, flakes and films was largely represented by strongly correlated with 2D shape descriptors (area, perimeter, equivalent area diameter) and 3D shape descriptors (Corey Shape Factor, Compactness, Dimensionality). Considering the scraps, principal component PC1 was represented by only five of the above descriptors, and the Compactness variable had the largest contribution to principal component PC2. In addition, for granules, flakes and films, a relationship between 2D shape and the colour of their particles could be observed. For the most numerous MP group identified of multicoloured scraps, no such association was found. The results of our study can be used for further multivariate analysis regarding the presence of microplastic floating on the river surface, with a particular focus on particles of secondary origin. This is of key importance for optimising future efforts in conducting small-scale and multidimensional monitoring of and reducing plastics in the aquatic environment. Full article
(This article belongs to the Section Advanced Materials Characterization)
Show Figures

Figure 1

22 pages, 7610 KB  
Article
Microplastic Distribution Characteristics Considering the Marine Environment Based on Surface Seawater Quality Parameters in Southern Sea of Korea, 2019
by Ki Yoon Kim, Hui Ho Jeong, Ji Hoo Kim, Byeong Kyu Min, Chon Rae Cho, Ho Young Soh, Yasuhiro Ishibashi and Hyeon Seo Cho
Sustainability 2024, 16(15), 6272; https://doi.org/10.3390/su16156272 - 23 Jul 2024
Cited by 4 | Viewed by 2556
Abstract
The present study determined the microplastic distributions in the surface water of the Southern Sea of Korea (SS01–SS09) in September 2019, depending on three groups (Groups A, B, and C) categorized via the principal component analysis and cluster analysis using the water quality [...] Read more.
The present study determined the microplastic distributions in the surface water of the Southern Sea of Korea (SS01–SS09) in September 2019, depending on three groups (Groups A, B, and C) categorized via the principal component analysis and cluster analysis using the water quality parameters (water temperature, salinity, pH, dissolved oxygen, suspended particulate matter, and chlorophyll-a). The microplastic samples in the surface water were collected using a 300 μm-mesh neuston net. The microplastic abundance ranged from 0.10 to 5.08 (average 0.71 ± 1.64) particles/m3 in the entire sampling area. Median values in Groups A (SS01, SS02, and SS07), B (SS05, SS08, and SS09), and C (SS03, SS04, and SS06) were 0.14 ± 0.02, 0.12 ± 0.14, and 0.17 ± 2.85 particles/m3, respectively, and there were no statistically significant differences (p < 0.050). However, it was highlighted that the most considerably numerous microplastic abundance in SS04 (5.08 particles/m3) revealed relatively high water temperatures distinguished from other sampling areas. Polystyrene, consisting mainly of expanded polystyrene, was the predominant polymer type, accounting for 81.5% in Groups A, 84.4% in B, and 97.0% in C. The particle size in Group C (average 3.11 ± 1.08 mm) was statistically larger (p < 0.001) than those of Groups A (average 0.71 ± 1.06 mm) and B (average 0.98 ± 1.22 mm). Only fragment and sheet shapes were found in all the sampling points and the former, which consisted of the secondary microplastics regardless of the groups, was the dominant type. The fragment composition gradually increased from 77.3% in Group A, 96.7% in B, to 99.1% in C. However, the strategy studies should be investigated in the foreseeable future to supplement the current study limitations, such as verifying the effect of the Yangtze River and the Tsushima warm current, and seasonal fluctuation. Full article
(This article belongs to the Special Issue Pollution, Toxicology and Sustainable Solutions in Aquatic System)
Show Figures

Figure 1

20 pages, 12595 KB  
Article
Identification of Microplastics Using µ-Raman Spectroscopy in Surface and Groundwater Bodies of SE Attica, Greece
by Maria Perraki, Vasilios Skliros, Petros Mecaj, Eleni Vasileiou, Christos Salmas, Ioannis Papanikolaou and Georgios Stamatis
Water 2024, 16(6), 843; https://doi.org/10.3390/w16060843 - 14 Mar 2024
Cited by 30 | Viewed by 9010
Abstract
Sixteen surface (5) and groundwater (11) samples were collected from the south-eastern part of Attica, Greece, and analysed for physico-chemical parameters and microplastics (MPs) by optical microscopy and Raman microspectroscopy (RS). A total of 3399 particles were optically identified in all sixteen samples, [...] Read more.
Sixteen surface (5) and groundwater (11) samples were collected from the south-eastern part of Attica, Greece, and analysed for physico-chemical parameters and microplastics (MPs) by optical microscopy and Raman microspectroscopy (RS). A total of 3399 particles were optically identified in all sixteen samples, ranging from only 16 particles/L in a sample from a deeper borehole to 513 particles/L in a sample from a shallow water well. They were then visually classified into eight categories based on their color, texture, size, reflectivity, shape, and general morphological properties. Raman microspectroscopy was performed on the particles on the filters and revealed four different types of MPs, namely polyethylene (PE, 35%), polypropylene (PP, 30%), polystyrene (PS, 10%), and polyethylene terephthalate (PET, 25%). The samples from the shallow phreatic aquifer contained more MPs than the samples from the deeper borehole, which contained fewer MPs and categories. This is to be expected, since the phreatic aquifer (a) is generally more contaminated, as it is close to human activities that generate MPs and its infiltration depth is only a few metres, which means that many microplastics can infiltrate at such shallow depths, and (b) it is exposed to the atmosphere, so they can also be suspended in the air. On the other hand, it is interesting to note that MPs, especially PET and PE, were detected in the borehole sample, suggesting that MPs can migrate to greater depths through water infiltration. Chemical analyses of the groundwater samples revealed high values of E.C., Ca2+, Mg2+, Cl, and Na+, which indicate that seawater intrusion is taking place in the coastal aquifer system of the Erasinos basin. The increased concentrations of NO3 and PO43− also indicate the impact of agricultural activities. Full article
Show Figures

Figure 1

10 pages, 1248 KB  
Communication
Similarity of Microplastic Characteristics between Amphibian Larvae and Their Aquatic Environment
by Michał Szkudlarek, Bartłomiej Najbar and Łukasz Jankowiak
Animals 2024, 14(5), 717; https://doi.org/10.3390/ani14050717 - 25 Feb 2024
Cited by 7 | Viewed by 2167
Abstract
Microplastics, pervasive environmental pollutants, are found across various ecosystems, including small inland water bodies. They are reported in different environmental media, yet little is known about the mutual relationships of microplastics’ properties across components of small inland water bodies. Here, having extracted and [...] Read more.
Microplastics, pervasive environmental pollutants, are found across various ecosystems, including small inland water bodies. They are reported in different environmental media, yet little is known about the mutual relationships of microplastics’ properties across components of small inland water bodies. Here, having extracted and analyzed these particles from water, sediment, and amphibian larvae from 23 sites, we test within-site similarities regarding shape (morphological type), color, and chemical composition (polymer type). We also provide a brief characterization of the microplastics extracted from water and sediment regarding these parameters. We observed a statistically significant similarity of microplastics’ shapes and colors between those extracted from water and amphibian larvae. Such a similarity, though less pronounced, was also found between amphibian larvae and sediment. However, the chemical composition (polymer type) of the microplastics from water, sediment, and amphibian larvae did not exhibit any similarities beyond what would be expected by chance. The observed congruence in the colors and shapes of microplastics between amphibian larvae and their corresponding aquatic habitats underscores the profound interconnectedness among the constituents of freshwater ecosystems. Full article
(This article belongs to the Section Ecology and Conservation)
Show Figures

Figure 1

23 pages, 23119 KB  
Article
An Image-Processing Tool for Size and Shape Analysis of Manufactured Irregular Polyethylene Microparticles
by Melanie Fritz, Lukas F. Deutsch, Karunia Putra Wijaya, Thomas Götz and Christian B. Fischer
Microplastics 2024, 3(1), 124-146; https://doi.org/10.3390/microplastics3010008 - 9 Feb 2024
Cited by 9 | Viewed by 5952
Abstract
Microplastics (MPs) pose a significant risk to humans and animals due to their ability to absorb, adsorb, and desorb organic pollutants. MPs catchment from either sediments or water bodies is crucial for risk assessment, but fast and effective particle quantification of irregularly shaped [...] Read more.
Microplastics (MPs) pose a significant risk to humans and animals due to their ability to absorb, adsorb, and desorb organic pollutants. MPs catchment from either sediments or water bodies is crucial for risk assessment, but fast and effective particle quantification of irregularly shaped particles is only marginally addressed. Many studies used microscopy methods to count MP particles, which are tedious for large sample sizes. Alternatively, this work presents an algorithm developed in the free software GNU Octave to analyze microscope images of MP particles with variable sizes and shapes. The algorithm can detect and distinguish different particles, compensate for uneven illumination and low image contrast, find high-contrast areas, unify edge regions, and fill the remaining pixels of stacked particles. The fully automatic algorithm calculates shape parameters such as convexity, solidity, reciprocal aspect ratio, rectangularity, and the Feret major axis ratio and generates the particle size distribution. The study tested low-density polyethylene particles with sizes of 50–100 µm and 200–300 µm. A scanning electron microscope image series analyzed with Octave was compared to a manual evaluation using ImageJ. Although the fully automatic algorithm did not identify all particles, the comprehensive tests demonstrate a qualitatively accurate particle size and shape monitoring applicable to any MPs, which processes larger data sets in a short time and is compatible with MATLAB-based codes. Full article
(This article belongs to the Collection Current Opinion in Microplastics)
Show Figures

Graphical abstract

14 pages, 10315 KB  
Article
Empirical Shape-Based Estimation of Settling Microplastic Particles Drag Coefficient
by Toni Holjević, Siniša Družeta, Luka Grbčić and Marta Alvir
J. Mar. Sci. Eng. 2023, 11(11), 2166; https://doi.org/10.3390/jmse11112166 - 13 Nov 2023
Cited by 2 | Viewed by 2473
Abstract
Microplastics (MP) are found in nature in various forms. The transport and settling process of MP particles in water streams is highly influenced by particle size and shape. In order to investigate the impact of particle shape, an experimental analysis of settling behavior [...] Read more.
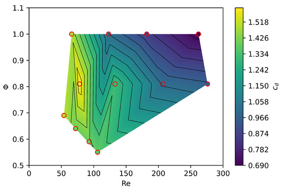
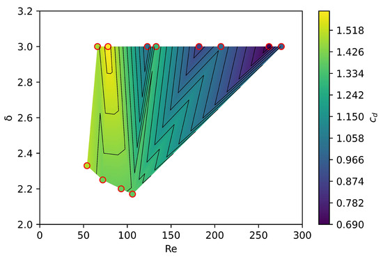
Microplastics (MP) are found in nature in various forms. The transport and settling process of MP particles in water streams is highly influenced by particle size and shape. In order to investigate the impact of particle shape, an experimental analysis of settling behavior of flat square particles and 3D cubic particles in flowing water was conducted. The analysis is based on tracking the settling trajectories of particles of various size and using this information for calculating the drag coefficient cd in relation to the Reynolds number Re in the range of 80 to 280 for cubes and 50 to 110 for flat particles. The results were correlated with two shape parameters, sphericity ϕ and a newly proposed shape descriptor dimensionality δ. The final output is a model for particle shape-based cd estimation, mainly serving as an illustration of the potential of the proposed methodology. Full article
(This article belongs to the Section Ocean Engineering)
Show Figures

Figure 1

15 pages, 4396 KB  
Article
An Assessment of Microplastic Contamination in a Commercially Important Marine Fish, Harpadon nehereus (Hamilton, 1822)
by Kalpana Prusty, Vasantkumar Rabari, Krupal Patel, Daoud Ali, Saud Alarifi, Virendra Kumar Yadav, Dipak Kumar Sahoo, Ashish Patel and Jigneshkumar Trivedi
Fishes 2023, 8(9), 432; https://doi.org/10.3390/fishes8090432 - 23 Aug 2023
Cited by 33 | Viewed by 4322
Abstract
Microplastic (MP) pollution is a prevalent and global threat to fish. MP contamination was investigated in Harpadon nehereus collected from the principal fishing harbors of India’s northwest coast. A total of 213 specimens were collected from the major fishing harbors of Gujarat state (Jakhau, [...] Read more.
Microplastic (MP) pollution is a prevalent and global threat to fish. MP contamination was investigated in Harpadon nehereus collected from the principal fishing harbors of India’s northwest coast. A total of 213 specimens were collected from the major fishing harbors of Gujarat state (Jakhau, Okha, and Jaffrabad) and Maharashtra state (Mumbai). In the laboratory, the morphometric parameters of the specimens, such as total length and body weight, were measured. The collected specimens were analyzed for MP isolation using the previously documented protocol. MPs were quantified under a stereomicroscope, and physical parameters were recorded. All the examined specimens were found to be contaminated with MPs, with an abundance of 6.98 ± 6.73 MPs/g. The maximum contamination of MPs was recorded at the study site in Jaffrabad, followed by Jakhau, Mumbai, and Okha. Morphometric analysis of MPs revealed threads to be the most dominant shape. Black and blue MPs with a 1–2 mm size were the predominant recorded types. The chemical composition of extracted MPs revealed polyethylene (PE), polystyrene (PS), and polyurethane (PU) as polymer compositions. Conclusively, the findings highlighted a greater menace to seafood safety due to trophic transfer, which causes a hazardous effect on human health. Full article
(This article belongs to the Special Issue The Effect of Nano and Micro-Plastic on Fish)
Show Figures

Graphical abstract

13 pages, 1295 KB  
Article
Design of Chitosan-Polyester Composites to Reduce Particulate Contamination of Washing Wastewater
by Tea Kaurin, Mirjana Čurlin, Ana Šaravanja, Branka Vojnović and Tanja Pušić
Water 2023, 15(13), 2418; https://doi.org/10.3390/w15132418 - 29 Jun 2023
Cited by 2 | Viewed by 2209
Abstract
In this research, the modification of different polyester structures (fabrics and knits) by the biopolymer chitosan was studied to evaluate the effects of the polyester structure and treatments on the particulate pollution of wastewater. The pristine polyester and the chitosan-polyester fabric and polyester [...] Read more.
In this research, the modification of different polyester structures (fabrics and knits) by the biopolymer chitosan was studied to evaluate the effects of the polyester structure and treatments on the particulate pollution of wastewater. The pristine polyester and the chitosan-polyester fabric and polyester knit composites were washed cyclically with standard ECE A detergent at 60 °C. The laser diffraction technique was used to characterize the particle size of the washing wastewaters from the 1–5, 6–10 and 1–10 wash cycles. In addition, the total solids (TS), total suspended solids (TSS), total dissolved solids (TDS), turbidity and chemical oxygen demand (COD) were also determined, according to standard procedures. The obtained results show the influence of the polyester fabrics and polyester knit structures and chitosan-polyester composites on the particle size distribution (PSD) in the washing wastewater. Differences in the values of the characteristic parameters, especially the span value and shape factor (k) of the individual curves, are visible, indicating the release of particles during the washing process. The experimental results show that the laser diffraction technique is suitable for characterizing the particle dimensions of the washing wastewater for different pristine polyester structures and chitosan-polyester composites. Modification with chitosan has been shown to provide potential protection against the release of microplastic particles into the environment. Full article
(This article belongs to the Special Issue Novel Approaches to Nutrients and Pollutants Removal from Wastewaters)
Show Figures

Figure 1

Back to TopTop