Sign in to use this feature.

Years

Between: -

Subjects

remove_circle_outline
remove_circle_outline
remove_circle_outline
remove_circle_outline
remove_circle_outline
remove_circle_outline
remove_circle_outline
remove_circle_outline
remove_circle_outline

Journals

remove_circle_outline
remove_circle_outline
remove_circle_outline
remove_circle_outline
remove_circle_outline
remove_circle_outline
remove_circle_outline
remove_circle_outline
remove_circle_outline
remove_circle_outline
remove_circle_outline
remove_circle_outline
remove_circle_outline
remove_circle_outline
remove_circle_outline
remove_circle_outline
remove_circle_outline
remove_circle_outline
remove_circle_outline
remove_circle_outline

Article Types

Countries / Regions

remove_circle_outline
remove_circle_outline
remove_circle_outline
remove_circle_outline
remove_circle_outline
remove_circle_outline
remove_circle_outline

Search Results (1,842)

Search Parameters:
Keywords = HBV

Order results
Result details
Results per page
Select all
Export citation of selected articles as:
31 pages, 4562 KB  
Article
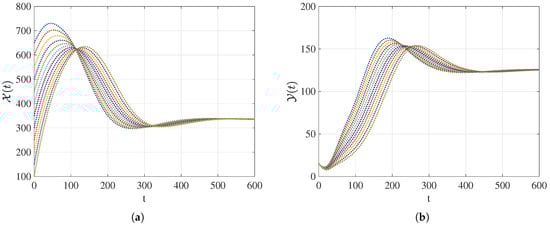
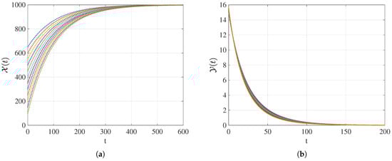
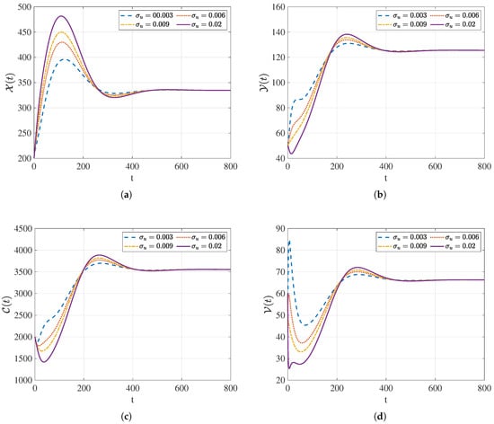
A Mathematical Model of Within-Host HBV and HTLV-1 Co-Infection Dynamics
by Amani Alsulami and Ebtehal Almohaimeed
Mathematics 2026, 14(5), 912; https://doi.org/10.3390/math14050912 - 7 Mar 2026
Viewed by 111
Abstract
Hepatitis B virus (HBV) and human T-lymphotropic virus type 1 (HTLV-1) are blood-borne pathogens with overlapping transmission routes, resulting in an increased prevalence of HBV among individuals infected with HTLV-1. Notwithstanding the widespread application of mathematical modeling to the study of each virus [...] Read more.
Hepatitis B virus (HBV) and human T-lymphotropic virus type 1 (HTLV-1) are blood-borne pathogens with overlapping transmission routes, resulting in an increased prevalence of HBV among individuals infected with HTLV-1. Notwithstanding the widespread application of mathematical modeling to the study of each virus in isolation, the within-host dynamics of HBV–HTLV-1 co-infection remain insufficiently characterized. This study introduces a novel within-host co-infection model that characterizes the interactions between HBV and HTLV-1, where HTLV-1 infects CD4+ T cells and HBV targets hepatocytes. A comprehensive qualitative analysis yields four threshold parameters (Ri,i=1,2,3,4) governing the existence and stability of equilibrium points, with global stability established using Lyapunov functions. Numerical simulations validate the analytical results, and sensitivity analysis identifies parameters that most strongly influence the basic reproduction numbers for HBV (R1) and HTLV-1 (R2) mono-infections. Our results corroborate that, in patients with HBV, the presence of HTLV-1 contributes to an elevated HBV viral load and CD4+ T cells play a crucial role in controlling HBV infection. Full article
Show Figures

Figure 1

17 pages, 560 KB  
Review
Accuracy of Diagnostic Investigations in Monitoring Hepatitis B Virus Infection: Strengths, Limitations, and Emerging Biomarkers
by Laura Iulia Bozomitu, Ancuta Lupu, Vasile Valeriu Lupu, Nicoleta Gimiga, Dana Teodora Anton Paduraru, Dana Elena Mîndru, Mihaela Mihai, Carmen Anton, Emil Anton, Mihaela Mitrea, Anca Adam-Raileanu and Lorenza Forna
Int. J. Mol. Sci. 2026, 27(5), 2464; https://doi.org/10.3390/ijms27052464 - 7 Mar 2026
Viewed by 142
Abstract
In October 2020, the International Coalition to Eliminate Hepatitis B Virus (ICE-HBV) updated the biomarker framework; they underscored major advances in the understanding of viral and immunologic markers, yet highlighted persistent gaps in their clinical integration. This is particularly the case in low- [...] Read more.
In October 2020, the International Coalition to Eliminate Hepatitis B Virus (ICE-HBV) updated the biomarker framework; they underscored major advances in the understanding of viral and immunologic markers, yet highlighted persistent gaps in their clinical integration. This is particularly the case in low- and middle-income regions, where HBV remains a substantial public health problem, including in the pediatric population. To synthesize contemporary evidence, a structured literature search was performed across PubMed/MEDLINE, Scopus, and Web of Science. Classical biomarkers—including HBeAg, HBV DNA, and quantitative HBsAg—remain central for disease staging and therapeutic monitoring, while emerging markers enhance precision in risk stratification: HBcrAg, which correlates strongly with intrahepatic cccDNA activity and virological rebound after NA discontinuation; serum HBV RNA, which offers additional insight into transcriptional activity, which is particularly relevant for RNA-targeted therapies; and quantitative anti-HBc (qAnti-HBc), which reflects stronger humoral imprinting and more competent HBV-specific immune memory, and is consistently associated with fewer ALT flares and reduced virological rebound at end of treatment. Despite these advances, assay standardization, genotype-related variability, and limited pediatric data constrain broad clinical application. Integrating classical and emerging biomarkers into personalized therapeutic algorithms offers substantial potential for refining treatment decisions, predicting post-treatment outcomes, and advancing HBV elimination strategies in diverse clinical settings. Full article
Show Figures

Figure 1

14 pages, 2685 KB  
Article
Boric Acid Mitigates Alcohol-Induced Renal Podocyte Injury, Apoptosis, and Oxidative Stress in HBV Transgenic Mice
by Kubra Sevgin, Pelin Erguven, Sevda Tanrikulu-Kucuk, Sevgin Degirmencioglu, Pinar Cetinalp, Soner Aksu, Palmet Gun-Atak and Ibrahim Sogut
Antioxidants 2026, 15(3), 318; https://doi.org/10.3390/antiox15030318 - 3 Mar 2026
Viewed by 247
Abstract
Chronic alcohol consumption exacerbates kidney injury, particularly in individuals with hepatitis B virus (HBV) infection. This study investigated the protective effects of boric acid supplementation against alcohol-induced renal damage in HBV transgenic mice. HBV transgenic mice were divided into four groups: control (C), [...] Read more.
Chronic alcohol consumption exacerbates kidney injury, particularly in individuals with hepatitis B virus (HBV) infection. This study investigated the protective effects of boric acid supplementation against alcohol-induced renal damage in HBV transgenic mice. HBV transgenic mice were divided into four groups: control (C), boric acid (B), alcohol (A), and alcohol + boric acid (A + B). Renal injury was evaluated using H&E, PAS, TUNEL, and desmin staining. The expression of caspase-3, cytochrome c, and APAF-1 was analyzed by qRT-PCR. Biochemical analyses included BUN, creatinine, oxidative stress markers (ROS, MDA, TOS, OSI), total antioxidant status, and antioxidant enzyme activities (SOD, CAT, GPx). Histopathological findings showed activated parietal epithelial cells in all groups, indicating renal injury. Alcohol significantly increased tubular damage, podocyte desmin expression, apoptosis, cytochrome c and APAF-1 mRNA levels, and oxidative stress markers, while reducing antioxidant enzyme activities and BUN levels compared with controls. Boric acid supplementation significantly mitigated alcohol-induced tubular injury, apoptosis, oxidative stress, and serum creatinine levels, and improved BUN values. Boric acid treatment alone also alleviated glomerular and tubular injury and reduced tubular apoptosis compared with HBV control mice. Overall, boric acid exerts renoprotective effects in HBV-transgenic mice subjected to chronic alcohol exposure by inhibiting oxidative stress, apoptosis, and podocyte injury. Full article
(This article belongs to the Section Health Outcomes of Antioxidants and Oxidative Stress)
Show Figures

Figure 1

11 pages, 615 KB  
Review
The Male Predominance in HBV-Related Hepatocellular Carcinoma: Unraveling the Axis of Androgen Receptor, Viral Replication, and Immune Evasion via NKG2D Ligands
by Koji Takahashi, Takaaki Ikegami, Arisa Kato, Nana Yamada, Terunao Iwanaga, Takafumi Sakuma, Junichi Senoo and Hidehiro Kamezaki
Onco 2026, 6(1), 15; https://doi.org/10.3390/onco6010015 - 1 Mar 2026
Viewed by 177
Abstract
Hepatocellular carcinoma (HCC) exhibits a striking male predominance, particularly in Hepatitis B Virus (HBV) endemic regions. While lifestyle factors and estrogen protection are traditional explanations, they fail to fully account for this disparity. This review elucidates the molecular mechanisms driving this gender gap, [...] Read more.
Hepatocellular carcinoma (HCC) exhibits a striking male predominance, particularly in Hepatitis B Virus (HBV) endemic regions. While lifestyle factors and estrogen protection are traditional explanations, they fail to fully account for this disparity. This review elucidates the molecular mechanisms driving this gender gap, focusing on the interplay between the Androgen Receptor (AR), viral replication, and the suppression of NKG2D-mediated immune surveillance. We synthesized experimental and clinical findings linking AR signaling, the viral protein HBx, and the regulation of NKG2D ligands (MICA/MICB). Current evidence identifies a positive feedback loop where AR enhances HBV replication, while HBx amplifies AR activity. Crucially, this axis systematically dismantles innate immunity: AR signaling represses MICA/B transcription via miRNA networks and upregulates ADAM metalloproteases, leading to ligand shedding and the release of soluble MICA (sMICA), effectively blinding Natural Killer (NK) cells. We propose that historical failures of anti-androgen monotherapy likely stemmed from ignoring this immune modulation. Consequently, targeting the AR-NKG2D axis represents a promising strategy to sensitize tumors to immunotherapy, suggesting that future therapeutic approaches should combine AR modulation with immune checkpoint inhibitors or shedding-blockade. Full article
Show Figures

Figure 1

21 pages, 4036 KB  
Article
From Genome Diversity to Inferred Functional Constraints: An Integrated Evolutionary Analysis of Hepatitis B Virus Genotype F
by Ruy D. Chacón, Obert Marín-Sánchez, Jimmy Ango-Bedriñana and Homero Ango-Aguilar
Int. J. Mol. Sci. 2026, 27(5), 2284; https://doi.org/10.3390/ijms27052284 - 28 Feb 2026
Viewed by 215
Abstract
Hepatitis B virus (HBV) genotype F is one of the most genetically divergent and evolutionarily ancient HBV lineages and predominantly circulates in indigenous and admixed populations of the Americas. Here, we performed a comprehensive evolutionary and inferred functional characterization of the HBV genotype [...] Read more.
Hepatitis B virus (HBV) genotype F is one of the most genetically divergent and evolutionarily ancient HBV lineages and predominantly circulates in indigenous and admixed populations of the Americas. Here, we performed a comprehensive evolutionary and inferred functional characterization of the HBV genotype F via the largest curated dataset of complete genomes. Phylogenomic reconstruction, recombination screening, and phylogenetic network analyses were integrated with codon-based selective pressure inference, surface protein posttranslational modification profiling, mutational analysis of antigenic regions, and reverse transcriptase (RT) drug resistance assessment. The HBV-F subgenotype exhibited a well-resolved phylogenetic structure and limited intragenotypic recombination, while intergenotypic recombination contributed substantially to reticulate evolutionary signals. Selective pressure analyses revealed strong purifying selection in replication-associated domains of the polymerase, in contrast to episodic adaptive evolution in surface-exposed and regulatory proteins, particularly the X protein. N-glycosylation sites in large surface proteins are highly conserved. Some mutations in the major hydrophilic region (MHR) were significantly detected, whereas RT drug resistance mutations were rare and followed canonical lamivudine-associated pathways. Collectively, these findings highlight the balance between deep evolutionary conservation and localized adaptive flexibility in shaping the HBV genotype F and provide a genotype-specific framework for interpreting viral fitness, immune interactions, and antiviral resistance. Full article
(This article belongs to the Special Issue Molecular Evolution and Genetic Diversity in Viruses)
Show Figures

Figure 1

18 pages, 1899 KB  
Article
Diabetes Impairs the Virological Response in Patients with Chronic Hepatitis B: Glycemic Control as a Key Modifiable Risk Factor
by Aoyi Li, Yan Han, Guanglin Xiao, Zhiling Deng, Chaojing Wen, Ke Qiu, Taiyu He and Hong Ren
J. Clin. Med. 2026, 15(5), 1826; https://doi.org/10.3390/jcm15051826 - 27 Feb 2026
Viewed by 179
Abstract
Background/Objectives: Chronic hepatitis B (CHB) and type 2 diabetes mellitus (T2DM) frequently coexist. This study aimed to investigate the impact of T2DM and glycemic control on antiviral efficacy in CHB patients. Methods: This single-center, retrospective cohort study included treatment-naïve CHB patients [...] Read more.
Background/Objectives: Chronic hepatitis B (CHB) and type 2 diabetes mellitus (T2DM) frequently coexist. This study aimed to investigate the impact of T2DM and glycemic control on antiviral efficacy in CHB patients. Methods: This single-center, retrospective cohort study included treatment-naïve CHB patients who initiated nucleos(t)ide analogue (NA) therapy between January 2019 and January 2024. The primary endpoint was a complete virological response (CVR), defined as achieving HBV DNA levels below 20 IU/mL after 48 weeks of treatment. Results: The CHB + T2DM group (n = 81) demonstrated a significantly lower CVR rate than the CHB group (n = 106) (26.0% vs. 41.2%, p = 0.038). Multivariate analysis identified T2DM as an independent negative predictor of a CVR (OR = 0.400, 95% CI: 0.196–0.815, p = 0.012). Within the CHB + T2DM subgroup, adequate glycemic control (HbA1c < 7%) was associated with a higher CVR (38.7% vs. 16.7%, p = 0.034). Patients newly diagnosed with diabetes at enrollment showed a higher rate of HBeAg loss than those with pre-existing diabetes (57.1% vs. 10.0%, p = 0.036). Regarding antiviral regimens, entecavir-treated CHB + T2DM patients had a lower CVR than CHB controls (18.8% vs. 46.2%, p = 0.015). Furthermore, tenofovir-based regimens showed a more favorable antiviral trend than entecavir in CHB patients with T2DM. Conclusions: Comorbid T2DM was an independent risk factor for impaired antiviral efficacy in CHB patients. Optimal glycemic control may improve virological outcomes. These findings suggest that the early diagnosis and management of T2DM could enhance antiviral treatment efficacy in CHB patients. Full article
(This article belongs to the Section Infectious Diseases)
Show Figures

Figure 1

40 pages, 2276 KB  
Review
Remodeling of Metabolic and Secretory Organelles During Oncogenic and Oncomodulatory Viral Infections
by William Rodriguez and Ileana M. Cristea
Viruses 2026, 18(3), 288; https://doi.org/10.3390/v18030288 - 27 Feb 2026
Viewed by 423
Abstract
Persistent oncovirus infections account for 15–20% of the global cancer burden, driving multiple forms of human cancer. To maintain persistent infection and spread, oncoviruses drive alterations in host cell metabolism, immune signaling, and cell-to-cell communication throughout tumor microenvironments. Accumulating evidence has indicated that [...] Read more.
Persistent oncovirus infections account for 15–20% of the global cancer burden, driving multiple forms of human cancer. To maintain persistent infection and spread, oncoviruses drive alterations in host cell metabolism, immune signaling, and cell-to-cell communication throughout tumor microenvironments. Accumulating evidence has indicated that these alterations occur in conjunction with a range of organelle remodeling events that can differ between “dormant” viral latency and active lytic replication. Throughout each phase of infection, oncoviruses alter the morphology, composition, and function of organelles to promote cellular survival and proliferation, while periodically supporting viral replication. Here, we review oncovirus-driven organelle remodeling strategies across distinct infection states, including viral latency, reactivation from latency, and chronic active replication. We focus on the molecular mechanisms by which oncovirus-driven organelle remodeling promotes cellular transformation, impedes immune responses, and facilitates virion assembly and egress. We also draw parallels between remodeling strategies employed by oncogenic and oncomodulatory viruses, emphasizing broadly conserved mechanisms across cancer-associated infections. Lastly, we highlight how studies of oncovirus organelle remodeling are critical for discovering vulnerabilities in both oncogenic virus infection and viral oncogenesis, with therapeutic potential for multiple cancers. Full article
(This article belongs to the Special Issue 15-Year Anniversary of Viruses)
Show Figures

Figure 1

22 pages, 956 KB  
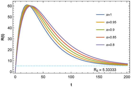
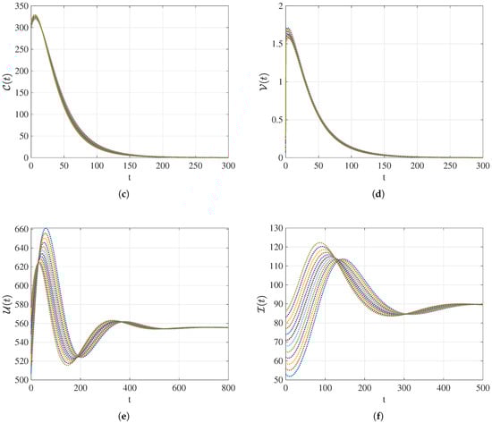
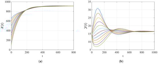
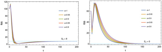
Article
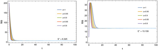
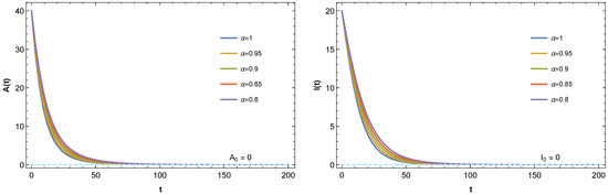
Numerical Simulation of Transmission Dynamics of the HBV Model of Fractional-Order via a Generalized Runge–Kutta Method
by Amira Essam, Adel R. Hadhoud, Taha Radwan, Abdulqawi A. M. Rageh, Ibrahim M. Hanafy and Asmaa M. Abd-Elal
Fractal Fract. 2026, 10(3), 145; https://doi.org/10.3390/fractalfract10030145 - 26 Feb 2026
Viewed by 211
Abstract
This study presents a fractional-order SEAIR model for the transmission dynamics of Hepatitis B, incorporating Caputo derivatives to account for memory effects in disease progression. The model is analyzed both theoretically and numerically using the generalized Runge–Kutta method of fourth order (GRK4M). Analytical [...] Read more.
This study presents a fractional-order SEAIR model for the transmission dynamics of Hepatitis B, incorporating Caputo derivatives to account for memory effects in disease progression. The model is analyzed both theoretically and numerically using the generalized Runge–Kutta method of fourth order (GRK4M). Analytical results demonstrate the existence and uniqueness of solutions, and provide conditions for the stability of both local and global equilibria. Numerical simulations, performed over a long time interval horizon with biologically feasible initial conditions and epidemiologically validated parameters, show convergence to their equilibrium states for varying fractional orders, highlighting the role of memory effects in delaying transitions between disease stages. Fractional-order dynamics represent compartmental stages more accurately than classical integer-order models. Sensitivity analyses indicate that transmission-related parameters critically affect infection prevalence, emphasizing the importance of early detection, treatment, and quarantine measures in controlling disease spread. Overall, the fractional SEAIR model, coupled with GRK4M, provides a robust tool for understanding Hepatitis B dynamics and designing effective intervention strategies. Full article
Show Figures

Figure 1

27 pages, 2546 KB  
Review
Extracellular Vesicles: A Comprehensive Review of Their Origins, Functions, and Therapeutic Potential
by Madison B. Schank, Juan Zhao, Ling Wang, Jonathan P. Moorman and Zhi Q. Yao
Biomedicines 2026, 14(3), 495; https://doi.org/10.3390/biomedicines14030495 - 25 Feb 2026
Viewed by 525
Abstract
Extracellular vesicles (EVs) are membrane-bound particles secreted by most cell types that play a pivotal role in intercellular communication via transporting protein, nucleic acid, lipid, and metabolite cargos. Among EVs, exosomes are a well-characterized subtype, typically ranging from 10–150 nm in diameter and [...] Read more.
Extracellular vesicles (EVs) are membrane-bound particles secreted by most cell types that play a pivotal role in intercellular communication via transporting protein, nucleic acid, lipid, and metabolite cargos. Among EVs, exosomes are a well-characterized subtype, typically ranging from 10–150 nm in diameter and originating from the endosomal pathway via the formation of multivesicular bodies that fuse with the plasma membrane. EVs/exosomes can be isolated from various biological fluids and cultured cells, with production and yield influenced by the cell type and culture conditions. Isolation methods, including ultracentrifugation or density-based ultracentrifugation, tangential flow filtration, size-exclusion chromatography, immunoaffinity and membrane-affinity capture, and recently developed commercial equipment, offer distinct advantages and limitations in terms of purity, scalability, and exosome integrity. Characterization techniques, such as nanoparticle tracking analysis (NTA), transmission electron microscopy (TEM), cryogenic electron microscopy (cryo-EM), atomic force microscopy (AFM), Western blotting, flow cytometry, and dynamic light scattering (DLS), assess exosome size, morphology, and biomarker expression. Given their biocompatibility and inherent targeting capabilities across a diverse range of diseases, EVs/exosomes hold clinical promise as diagnostic biomarkers, cell-free therapeutics, drug delivery vehicles, immune modulators, and in regenerative medicine. However, these emerging fields in exosome medicine continue to face challenges in standardizing EV sourcing, production, purification, yield, bio-targeting, drug loading, and drug delivery. While EVs/exosomes represent a rapidly advancing frontier in biomedical science, robust protocols for standardization and scalable production will be essential for their successful translation into clinical applications. This article provides a comprehensive overview of EV/exosome origins, their biological functions, the approaches for their isolation and characterization, and their therapeutic potential. Full article
Show Figures

Figure 1

20 pages, 1189 KB  
Review
Hepatitis D Virus Pathogenesis: A Sense of Complications
by Yann Haennel, Thomas F. Baumert and Joachim Lupberger
Viruses 2026, 18(3), 278; https://doi.org/10.3390/v18030278 - 24 Feb 2026
Viewed by 244
Abstract
Hepatitis D virus (HDV) is a satellite RNA virus of the hepatitis B virus (HBV) infecting an estimated 12 million people worldwide. Chronic HDV infection is causing the most severe form of chronic viral hepatitis, leading to a rapid progression of chronic inflammation [...] Read more.
Hepatitis D virus (HDV) is a satellite RNA virus of the hepatitis B virus (HBV) infecting an estimated 12 million people worldwide. Chronic HDV infection is causing the most severe form of chronic viral hepatitis, leading to a rapid progression of chronic inflammation to fibrosis, cirrhosis, liver decompensation and cancer. The detailed mechanisms responsible for HDV pathogenicity and its contribution to the development of hepatocellular carcinoma (HCC) are not clearly understood. This review aims to summarize the current knowledge of HDV-induced injuries, which gradually accumulate and increase the oncogenic pressure in the liver. Here, we provide a comprehensive yet concise overview of the following topics: (1) virus sensing and innate responses, (2) molecular basis of HDV pathogenesis, and (3) pathogenesis of chronic HDV infection in patients. We summarize the compelling evidence of the direct and indirect contributions of HDV to the development of HCC, which is driven by the rapid progression to liver cirrhosis. These results led to the classification of HDV as a group 1 carcinogenic agent in 2025 and emphasize the urgent need for improved antiviral and chemopreventive treatments. In addition, it highlights the necessity of routine HDV screening in patients with chronic hepatitis B and intensified HCC surveillance in patients with chronic hepatitis D. Full article
(This article belongs to the Special Issue Cellular Immune Response to Hepatitis Viruses)
Show Figures

Figure 1

13 pages, 377 KB  
Article
Identification of Unrecognized Hepatitis B, C, and D Infections Through the Private Laboratory-Based RE-LINK Screening Project in Romania: A Micro-Elimination Initiative
by Liliana Gheorghe, Antoanela Curici and Speranta Iacob
Livers 2026, 6(1), 13; https://doi.org/10.3390/livers6010013 - 20 Feb 2026
Viewed by 254
Abstract
Background/Objectives: Chronic hepatitis B (HBV) and C (HCV) remain major public health challenges in Romania despite vaccination and antiviral therapy. Understanding infection patterns in different healthcare settings is essential for targeted elimination strategies. Methods: We conducted the prospective screening phase of [...] Read more.
Background/Objectives: Chronic hepatitis B (HBV) and C (HCV) remain major public health challenges in Romania despite vaccination and antiviral therapy. Understanding infection patterns in different healthcare settings is essential for targeted elimination strategies. Methods: We conducted the prospective screening phase of the RE-LINK project (January–June 2025) through two nationwide private laboratory networks. Adults undergoing routine testing were screened for HBsAg and anti-HCV. HBsAg-positive samples were further analyzed for HBV DNA, HBeAg, anti-HBe, anti-HDV, and HDV RNA, while anti-HCV-positive cases were tested for HCV RNA. Risk factors were assessed using chi-square and logistic regression analyses. Results: Among 9149 individuals (66.6% women with a median age of 53 years), HBsAg prevalence was 2.9%, and anti-HCV was 1.3%, both increasing significantly with age (p < 0.001). Of all HBsAg-positive individuals, 12.5% had undetectable HBV DNA, 70.4% had low viremia (<2000 IU/mL), and 17.1% had high viral loads. Anti-HDV antibodies were detected in 2.3% of HBsAg-positive subjects, all with detectable HDV RNA (range 1250–680,000 IU/mL). Significant risk factors for HBsAg positivity were male sex, older age, urban residence, physician-indicated testing, neuropsychiatric comorbidity, family or parental hepatitis, and institutional/orphanage care, while HBV vaccination and moderate alcohol use were protective. Anti-HCV positivity correlated with older age, cardiovascular disease, elevated transaminases, transfusions, surgery, and HIV co-infection. Only 20.2% of anti-HCV-positive individuals were viremic. Conclusions: Private-laboratory screening reveals residual low-replicative HBV and declining viremic HCV, while community programs uncover HDV and advanced disease in vulnerable groups. A coordinated approach integrating private, community, and hospital-based pathways can accelerate elimination efforts and ensure that HDV is not overlooked. Full article
Show Figures

Figure 1

19 pages, 3720 KB  
Article
Alpha-1B Glycoprotein Is a Novel Hepatocyte-Derived Host Factor Associated with In Vitro Inhibition of HBV Replication and Hepatocellular Carcinoma Progression
by Juan Lyu, Takuto Nosaka, Yosuke Murata, Yu Akazawa, Tomoko Tanaka, Kazuto Takahashi, Tatsushi Naito, Masahiro Ohtani, Lihong Zhang and Yasunari Nakamoto
Cancers 2026, 18(4), 662; https://doi.org/10.3390/cancers18040662 - 18 Feb 2026
Viewed by 300
Abstract
Background: Chronic hepatitis B virus (HBV) infection is a major risk factor of hepatocellular carcinoma (HCC), and hepatocyte-derived host factors play important roles in HBV-associated tumor progression. Alpha-1B glycoprotein (A1BG) is a plasma glycoprotein reported to be dysregulated in multiple cancers. In this [...] Read more.
Background: Chronic hepatitis B virus (HBV) infection is a major risk factor of hepatocellular carcinoma (HCC), and hepatocyte-derived host factors play important roles in HBV-associated tumor progression. Alpha-1B glycoprotein (A1BG) is a plasma glycoprotein reported to be dysregulated in multiple cancers. In this study, we investigated the functional role of A1BG in HBV-associated HCC progression. Methods: Both the HepG2 and HBV-transfected HepG2 cell lines were used to examine the biological effects of A1BG. A1BG expression was modulated using siRNA and a plasmid vector. A series of functional assays were conducted to assess cell proliferation, apoptosis, stemness, migration, and invasion. RNA microarray analysis and gene set enrichment analysis (GSEA) were performed to identify A1BG-regulated pathways. Results: Functionally, A1BG overexpression suppressed cell proliferation, stemness, migration, invasion, and HBV products while promoting apoptosis in both HepG2 and HBV-transfected HepG2 cells. In contrast, opposite effects were shown in the event of A1BG knockdown. Moreover, A1BG expression was reduced in HBV-associated HCC tissues and correlated with advanced pathological stage and poor prognosis. RNA microarray analysis and GSEA revealed the activation of anti-HBV-related genes and suppression of FGFR1 signaling and the matrix metalloproteinase pathway in A1BG-overexpressing cells. Conclusions: This study provides evidence that A1BG may be a novel host factor associated with the in vitro suppression of HBV replication and HCC progression by modulating pathways related to enhanced antiviral effects, reduced proliferative capacity and stemness, and suppression of EMT. These findings suggest that A1BG is a potential therapeutic target in HBV-related HCC. Full article
Show Figures

Figure 1

16 pages, 802 KB  
Review
Towards HDV Elimination Through HBV Vaccination: Global Strategies, Challenges, and Policy Gaps
by Enkhtuul Batbold, Naranjargal Dashdorj, Fabien Zoulim and Birke Bartosch
Vaccines 2026, 14(2), 179; https://doi.org/10.3390/vaccines14020179 - 14 Feb 2026
Viewed by 535
Abstract
Persistent infection with hepatitis D virus (HDV), also known as hepatitis delta, is considered the most severe form of chronic viral hepatitis. HDV is a defective RNA virus that depends on hepatitis B virus (HBV) for propagation. Despite its global distribution, HDV stays [...] Read more.
Persistent infection with hepatitis D virus (HDV), also known as hepatitis delta, is considered the most severe form of chronic viral hepatitis. HDV is a defective RNA virus that depends on hepatitis B virus (HBV) for propagation. Despite its global distribution, HDV stays a neglected part of the viral hepatitis agenda, often overlooked in surveillance systems and public health policy. This oversight is particularly concerning given HDV’s aggressive clinical course, characterized by more rapid progression to cirrhosis, liver failure, and hepatocellular carcinoma (HCC) compared to HBV mono-infection. Mongolia has the highest incidence and mortality rates of HCC worldwide, with approximately 47% of cases estimated to be attributable to chronic HDV infection. Globally, an estimated 12–25 million people are co-infected with HBV and HDV, although the true prevalence is higher due to insufficient screening and incomplete data collection. Because HDV infection is entirely dependent on HBV, prevention of HBV infection through effective vaccination stands for an indirect yet highly effective strategy to curb HDV transmission. The World Health Organization (WHO), together with the global health community, has established ambitious targets to eliminate viral hepatitis as a public health threat by 2030. However, achieving HDV elimination remains particularly challenging due to limited diagnostic capacity, low awareness, and minimal inclusion of HDV in national hepatitis programs. This review explores the intersection of HDV and HBV, focusing on how expanded and optimized HBV vaccination coverage can serve as a cornerstone of global HDV prevention efforts. We examine epidemiological evidence, scientific rationale, policy developments, and key implementation challenges, with particular attention to high-burden settings such as Mongolia. Finally, we propose strategic recommendations to bridge policy and practice gaps in HDV elimination. Full article
(This article belongs to the Special Issue Chronic Viral Infections and Cancer: Openings for Vaccines and Cure)
Show Figures

Figure 1

14 pages, 2480 KB  
Review
Hepatitis D Virus: Enigmas and Gaps of Knowledge
by Flor H. Pujol, Rossana Celeste Jaspe, Armando Andres Roca Suarez, Enkhtuul Batbold, Fabien Zoulim, Barbara Testoni and Isabelle Chemin
Viruses 2026, 18(2), 244; https://doi.org/10.3390/v18020244 - 14 Feb 2026
Viewed by 369
Abstract
Hepatitis D virus (HDV) is a very peculiar virus that shares many characteristics with plant viroids. One of its unique characteristics is the requirement for the presence of a helper virus for its replication, and in particular enveloping its virion, a role often [...] Read more.
Hepatitis D virus (HDV) is a very peculiar virus that shares many characteristics with plant viroids. One of its unique characteristics is the requirement for the presence of a helper virus for its replication, and in particular enveloping its virion, a role often played by the hepatitis B virus (HBV). Infection with HDV is frequently associated with more severe disease, which may present with fulminant hepatitis or a more rapid progression to cirrhosis and hepatocellular carcinoma (HCC), when compared to HBV mono-infection. HDV exhibits many peculiarities and enigmas, which have led to it being considered a neglected virus. This review aims to identify the most important gaps in knowledge and peculiarities in the study of this enigmatic virus, from virology to clinical implications. Full article
(This article belongs to the Special Issue Advancing Hepatitis Elimination: HBV, HDV, and HCV)
Show Figures

Graphical abstract

14 pages, 529 KB  
Article
Burden and Clinical Impact of Hepatitis D Virus Co-Infection Among HBsAg-Positive Patients in Mauritania
by Mohamed Abdawa, Mohamed Hemeyine, Isabelle Chemin, Françoise Lunel-Fabiani and Mohamed Vall Mohamed Abdellahi
Diseases 2026, 14(2), 69; https://doi.org/10.3390/diseases14020069 - 12 Feb 2026
Viewed by 508
Abstract
Background: Hepatitis B virus (HBV) infection remains highly endemic in sub-Saharan Africa, where hepatitis delta virus (HDV) co-infection substantially worsens liver disease outcomes. Mauritania has long been suspected to be a high-burden setting for HBV-HDV co-infection, yet contemporary data describing its clinical and [...] Read more.
Background: Hepatitis B virus (HBV) infection remains highly endemic in sub-Saharan Africa, where hepatitis delta virus (HDV) co-infection substantially worsens liver disease outcomes. Mauritania has long been suspected to be a high-burden setting for HBV-HDV co-infection, yet contemporary data describing its clinical and virological impact remain limited. Methods: We conducted a hospital-based cross-sectional study at the National Institute of Hepato-Virology (INHV) in Nouakchott, including 401 HBsAg-positive patients. Demographic, clinical, biological, and virological data were collected. HDV serology and RNA testing were performed when available. Liver disease severity, including cirrhosis and hepatocellular carcinoma (HCC), was assessed using clinical, biological, and imaging criteria. Results: HDV antibodies were detected in 31.9% of HBsAg-positive patients, confirming Mauritania as a hyper-endemic area for HDV. HDV co-infection was strongly associated with advanced liver disease, with HDV antibodies present in 86.4% of cirrhotic patients and 82.4% of those with HCC. Patients with HDV infection frequently exhibited suppressed HBV DNA levels, reflecting viral interference. A substantial proportion of patients presented with decompensated cirrhosis or HCC at diagnosis, and nearly 70% were treatment-naïve. Overall, HDV co-infection emerged as the principal driver of severe liver disease in this cohort. Conclusions: HBV/HDV co-infection is highly prevalent in Mauritania and is associated with a wide clinical spectrum ranging from asymptomatic infection to decompensated cirrhosis and hepatocellular carcinoma. HDV co-infection is the principal driver of severe liver disease, often occurring despite low or undetectable HBV DNA levels. Systematic HDV screening among all HBsAg-positive individuals is urgently needed to improve risk stratification, guide therapeutic decisions, and reduce liver-related morbidity and mortality. Full article
(This article belongs to the Section Infectious Disease)
Show Figures

Figure 1

Back to TopTop