Preclinical Antiviral and Safety Profiling of the HBV RNA Destabilizer AB-161
Abstract
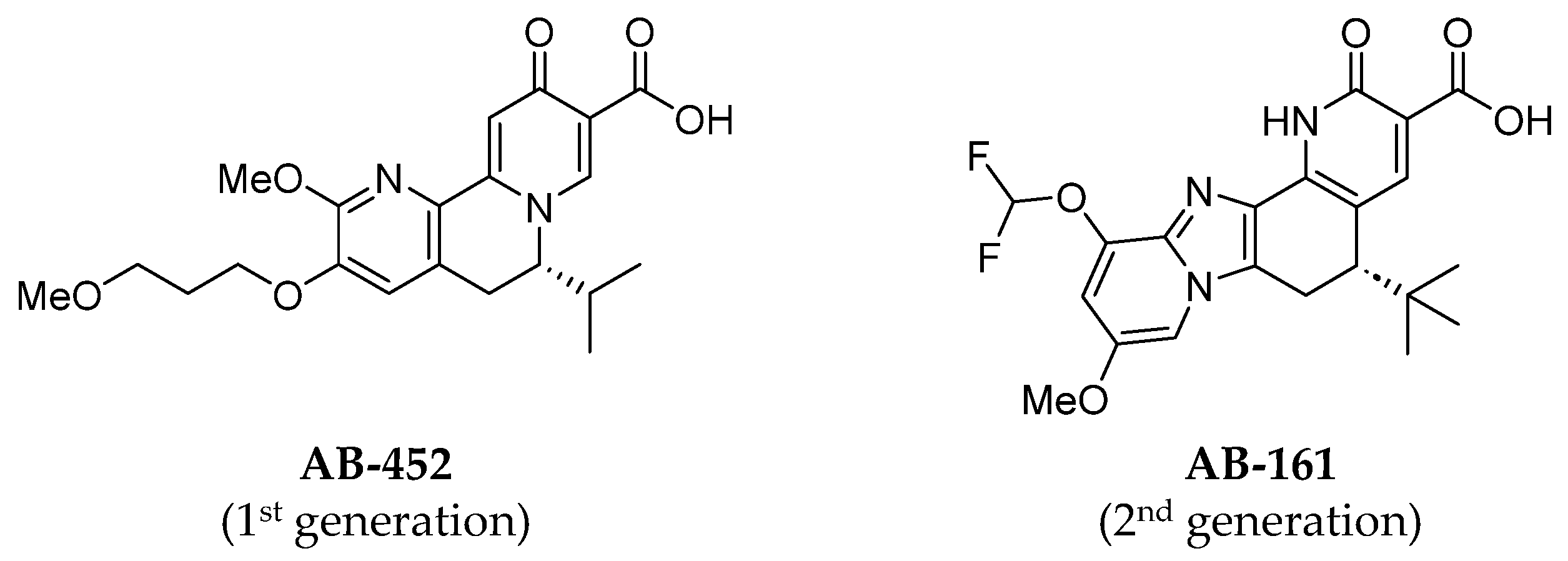
1. Introduction
2. Materials and Methods
2.1. Compounds and Cell Culture
2.2. Antiviral Studies
2.3. Infection of HepG2-hNTCP Cells and Primary Human Hepatocytes
2.4. HBV Genotype Coverage and HBV Variants Phenotyping Studies
2.5. Northern Blot Analysis of Intracellular HBV RNA
2.6. Particle Gel Analysis of Nucleocapsid and Southern Blot Analysis of Intracellular HBV DNA
2.7. Western Blot Analysis of HBV Core
2.8. PAPD5 and PAPD7 ATP Depletion Assay
2.9. In Vivo Antiviral Activity and Pharmacokinetics Analysis Using AAV-HBV Mouse Model
2.10. Plasma Protein Binding Assay
2.11. Repeat Dose Toxicity Studies
2.11.1. Animals
2.11.2. Study Design and Nerve Conduction Assessments
3. Results
3.1. AB-161 Selectively Inhibits HBsAg, HBeAg, and HBV DNA In Vitro
3.2. Nucleos/Tide Resistant Variants Remained Fully Susceptible to AB-161
3.3. Combination of AB-161 with NA or CAM Shows Additive Antiviral Effects
3.4. Inhibition of PAPD5 and PAPD7 by AB-161 Facilitates HBV RNA Destabilization
3.5. Reduction of HBsAg In Vivo Is Associated with AB-161 Concentration in Liver
3.6. 13-Week Repeat Dose Toxicity Studies in Rats and Dogs
4. Discussion
Supplementary Materials
Author Contributions
Funding
Institutional Review Board Statement
Informed Consent Statement
Data Availability Statement
Acknowledgments
Conflicts of Interest
References
- World Health Organization. Global Hepatitis Report. 2017. Available online: https://www.who.int/hepatitis/publications/global-hepatitis-report2017/en/ (accessed on 13 February 2024).
- Moini, M.; Fung, S. HBsAg Loss as a Treatment Endpoint for Chronic HBV Infection: HBV Cure. Viruses 2022, 14, 657. [Google Scholar] [CrossRef]
- Wong, G.L.H.; Gane, E.; Lok, A.S.F. How to achieve functional cure of HBV: Stopping NUCs, adding interferon or new drug development? J. Hepatol. 2022, 76, 1249–1262. [Google Scholar] [CrossRef]
- Terrault, N.A.; Bzowej, N.H.; Chang, K.M.; Hwang, J.P.; Jonas, M.M.; Murad, M.H.; American Association for the Study of Liver, D. AASLD guidelines for treatment of chronic hepatitis B. Hepatology 2016, 63, 261–283. [Google Scholar] [CrossRef]
- European Association for the Study of the Liver. EASL 2017 Clinical Practice Guidelines on the management of hepatitis B virus infection. J. Hepatol. 2017, 67, 370–398. [Google Scholar] [CrossRef]
- Mak, L.Y.; Huang, Q.; Wong, D.K.; Stamm, L.; Cheung, K.S.; Ko, K.L.; Yan, R.; Ouyang, L.; Fung, J.; Seto, W.K.; et al. Residual HBV DNA and pgRNA viraemia is associated with hepatocellular carcinoma in chronic hepatitis B patients on antiviral therapy. J. Gastroenterol. 2021, 56, 479–488. [Google Scholar] [CrossRef]
- Papatheodoridis, G.V.; Dalekos, G.N.; Idilman, R.; Sypsa, V.; Van Boemmel, F.; Buti, M.; Calleja, J.L.; Goulis, J.; Manolakopoulos, S.; Loglio, A.; et al. Similar risk of hepatocellular carcinoma during long-term entecavir or tenofovir therapy in Caucasian patients with chronic hepatitis B. J. Hepatol. 2020, 73, 1037–1045. [Google Scholar] [CrossRef] [PubMed]
- Op den Brouw, M.L.; Binda, R.S.; van Roosmalen, M.H.; Protzer, U.; Janssen, H.L.; van der Molen, R.G.; Woltman, A.M. Hepatitis B virus surface antigen impairs myeloid dendritic cell function: A possible immune escape mechanism of hepatitis B virus. Immunology 2009, 126, 280–289. [Google Scholar] [CrossRef] [PubMed]
- Shi, B.; Ren, G.; Hu, Y.; Wang, S.; Zhang, Z.; Yuan, Z. HBsAg inhibits IFN-α production in plasmacytoid dendritic cells through TNF-α and IL-10 induction in monocytes. PLoS ONE 2012, 7, e44900. [Google Scholar] [CrossRef] [PubMed]
- Yuen, M.F.; Lim, S.G.; Plesniak, R.; Tsuji, K.; Janssen, H.L.A.; Pojoga, C.; Gadano, A.; Popescu, C.P.; Stepanova, T.; Asselah, T.; et al. Efficacy and Safety of Bepirovirsen in Chronic Hepatitis B Infection. N. Engl. J. Med. 2022, 387, 1957–1968. [Google Scholar] [CrossRef] [PubMed]
- Yuen, M.F.; Locarnini, S.; Lim, T.H.; Strasser, S.I.; Sievert, W.; Cheng, W.; Thompson, A.J.; Given, B.D.; Schluep, T.; Hamilton, J.; et al. Combination treatments including the small-interfering RNA JNJ-3989 induce rapid and sometimes prolonged viral responses in patients with CHB. J. Hepatol. 2022, 77, 1287–1298. [Google Scholar] [CrossRef]
- Gane, E.; Lim, Y.S.; Kim, J.B.; Jadhav, V.; Shen, L.; Bakardjiev, A.I.; Huang, S.A.; Cathcart, A.L.; Lempp, F.A.; Janas, M.M.; et al. Evaluation of RNAi therapeutics VIR-2218 and ALN-HBV for chronic hepatitis B: Results from randomized clinical trials. J. Hepatol. 2023, 79, 924–932. [Google Scholar] [CrossRef]
- Gane, E.J.; Kim, W.; Lim, T.H.; Tangkijvanich, P.; Yoon, J.H.; Sievert, W.; Sukeepaisarnjaroen, W.; Thompson, A.J.; Pavlovic, V.; Surujbally, B.; et al. First-in-human randomized study of RNAi therapeutic RG6346 for chronic hepatitis B virus infection. J. Hepatol. 2023, 79, 1139–1149. [Google Scholar] [CrossRef] [PubMed]
- Kim, D.; Lee, Y.S.; Jung, S.J.; Yeo, J.; Seo, J.J.; Lee, Y.Y.; Lim, J.; Chang, H.; Song, J.; Yang, J.; et al. Viral hijacking of the TENT4-ZCCHC14 complex protects viral RNAs via mixed tailing. Nat. Struct. Mol. Biol. 2020, 27, 581–588. [Google Scholar] [CrossRef] [PubMed]
- Liu, F.; Lee, A.C.H.; Guo, F.; Kondratowicz, A.S.; Micolochick Steuer, H.M.; Miller, A.; Bailey, L.D.; Wang, X.; Chen, S.; Kultgen, S.G.; et al. Host Poly(A) Polymerases PAPD5 and PAPD7 Provide Two Layers of Protection That Ensure the Integrity and Stability of Hepatitis B Virus RNA. J. Virol. 2021, 95, e0057421. [Google Scholar] [CrossRef] [PubMed]
- Mueller, H.; Lopez, A.; Tropberger, P.; Wildum, S.; Schmaler, J.; Pedersen, L.; Han, X.; Wang, Y.; Ottosen, S.; Yang, S.; et al. PAPD5/7 Are Host Factors That Are Required for Hepatitis B Virus RNA Stabilization. Hepatology 2019, 69, 1398–1411. [Google Scholar] [CrossRef] [PubMed]
- Watanabe, T.; Hayashi, S.; Zhaoyu, Y.; Inada, H.; Nagaoka, K.; Tateyama, M.; Tanaka, Y. A novel, small anti-HBV compound reduces HBsAg and HBV-DNA by destabilizing HBV-RNA. J. Gastroenterol. 2024. [Google Scholar] [CrossRef] [PubMed]
- Zhou, T.; Block, T.; Liu, F.; Kondratowicz, A.S.; Sun, L.; Rawat, S.; Branson, J.; Guo, F.; Steuer, H.M.; Liang, H.; et al. HBsAg mRNA degradation induced by a dihydroquinolizinone compound depends on the HBV posttranscriptional regulatory element. Antiviral Res. 2018, 149, 191–201. [Google Scholar] [CrossRef]
- Hu, Y.; Sun, F.; Yuan, Q.; Du, J.; Hu, L.; Gu, Z.; Zhou, Q.; Du, X.; He, S.; Sun, Y.; et al. Discovery and preclinical evaluations of GST-HG131, a novel HBV antigen inhibitor for the treatment of chronic hepatitis B infection. Bioorg. Med. Chem. Lett. 2022, 75, 128977. [Google Scholar] [CrossRef]
- Mueller, H.; Wildum, S.; Luangsay, S.; Walther, J.; Lopez, A.; Tropberger, P.; Ottaviani, G.; Lu, W.; Parrott, N.J.; Zhang, J.D.; et al. A novel orally available small molecule that inhibits hepatitis B virus expression. J. Hepatol. 2018, 68, 412–420. [Google Scholar] [CrossRef]
- Menne, S.; Wildum, S.; Steiner, G.; Suresh, M.; Korolowicz, K.; Balarezo, M.; Yon, C.; Murreddu, M.; Hong, X.; Kallakury, B.V.; et al. Efficacy of an Inhibitor of Hepatitis B Virus Expression in Combination With Entecavir and Interferon-α in Woodchucks Chronically Infected With Woodchuck Hepatitis Virus. Hepatol. Commun. 2020, 4, 916–931. [Google Scholar] [CrossRef]
- Li, X.; Liu, Y.; Yao, H.; Wang, M.; Gao, L.; Lou, J.; Mao, J.; Wu, W.; Zhou, Y.; Tang, Y.; et al. Safety, Tolerability, and Pharmacokinetics of the Novel Hepatitis B Virus Expression Inhibitor GST-HG131 in Healthy Chinese Subjects: A First-in-Human Single- and Multiple-Dose Escalation Trial. Antimicrob. Agents Chemother. 2022, 66, e0009422. [Google Scholar] [CrossRef]
- Bopst, M.; Dinklo, T.; Funk, J.; Greiter-Wilke, A.; Lenz, B.; Kustermann, S.; Jiang, T.; Xie, J. Unexpected neurotoxicity in chronic toxicity studies with a HBV viral expression inhibitor. Regul. Toxicol. Pharmacol. 2023, 141, 105407. [Google Scholar] [CrossRef] [PubMed]
- Lake, A.D.; Holsapple, K.; McDonnell, T.; Arezzo, J.C.; Ramirez, R.; Gamelin, L.; Yu, M.; Glatt, D.; Dick, R.; Xie, X.; et al. Neurotoxicity of an Hepatitis B Virus (HBV) Transcript Inhibitor in 13-Week Rat and Monkey Studies. Toxicol. Sci. 2022, 186, 298–308. [Google Scholar] [CrossRef]
- Gotchev, D.; Dorsey, B.D.; Nguyen, D.; Kakarla, R.; Dugan, B.J.; Chen, S.; Gao, M.; Biailey, L.; Liu, F.; Harasym, T.O.; et al. Structure-Activity Relationships and Discovery of (S)-6-Isopropyl-2-methoxy-3-(3-methoxypropoxy)-10-oxo-5,10-dihydro-6H-pyrido [1,2-h][1,7]naphthyridine-9-carboxylic Acid (AB-452), a Novel Orally Available HBV RNA Destabilizer. J. Med. Chem. 2024, 67, 1421–1446. [Google Scholar] [CrossRef] [PubMed]
- Sells, M.A.; Chen, M.L.; Acs, G. Production of hepatitis B virus particles in Hep G2 cells transfected with cloned hepatitis B virus DNA. Proc. Natl. Acad. Sci. USA 1987, 84, 1005–1009. [Google Scholar] [CrossRef]
- Ladner, S.K.; Otto, M.J.; Barker, C.S.; Zaifert, K.; Wang, G.H.; Guo, J.T.; Seeger, C.; King, R.W. Inducible expression of human hepatitis B virus (HBV) in stably transfected hepatoblastoma cells: A novel system for screening potential inhibitors of HBV replication. Antimicrob. Agents Chemother. 1997, 41, 1715–1720. [Google Scholar] [CrossRef]
- Nakabayashi, H.; Taketa, K.; Miyano, K.; Yamane, T.; Sato, J. Growth of human hepatoma cells lines with differentiated functions in chemically defined medium. Cancer Res. 1982, 42, 3858–3863. [Google Scholar]
- MacNab, G.M.; Alexander, J.J.; Lecatsas, G.; Bey, E.M.; Urbanowicz, J.M. Hepatitis B surface antigen produced by a human hepatoma cell line. Br. J. Cancer 1976, 34, 509–515. [Google Scholar] [CrossRef] [PubMed]
- Iwamoto, M.; Watashi, K.; Tsukuda, S.; Aly, H.H.; Fukasawa, M.; Fujimoto, A.; Suzuki, R.; Aizaki, H.; Ito, T.; Koiwai, O.; et al. Evaluation and identification of hepatitis B virus entry inhibitors using HepG2 cells overexpressing a membrane transporter NTCP. Biochem. Biophys. Res. Commun. 2014, 443, 808–813. [Google Scholar] [CrossRef]
- Prichard, M.N.; Shipman, C., Jr. A three-dimensional model to analyze drug-drug interactions. Antiviral Res. 1990, 14, 181–205. [Google Scholar] [CrossRef]
- Bowcock, A.M.; Pinto, M.R.; Bey, E.; Kuyl, J.M.; Dusheiko, G.M.; Bernstein, R. The PLC/PRF/5 human hepatoma cell line. II. Chromosomal assignment of hepatitis B virus integration sites. Cancer Genet. Cytogenet. 1985, 18, 19–26. [Google Scholar] [CrossRef] [PubMed]
- Sun, L.; Zhang, F.; Guo, F.; Liu, F.; Kulsuptrakul, J.; Puschnik, A.; Gao, M.; Rijnbrand, R.; Sofia, M.; Block, T.; et al. The Dihydroquinolizinone Compound RG7834 Inhibits the Polyadenylase Function of PAPD5 and PAPD7 and Accelerates the Degradation of Matured Hepatitis B Virus Surface Protein mRNA. Antimicrob. Agents Chemother. 2020, 65, e00640-20. [Google Scholar] [CrossRef] [PubMed]
- Wang, X.Y.; Wei, Z.M.; Wu, G.Y.; Wang, J.H.; Zhang, Y.J.; Li, J.; Zhang, H.H.; Xie, X.W.; Wang, X.; Wang, Z.H.; et al. In vitro inhibition of HBV replication by a novel compound, GLS4, and its efficacy against adefovir-dipivoxil-resistant HBV mutations. Antivir. Ther. 2012, 17, 793–803. [Google Scholar] [CrossRef]
- Wu, G.; Liu, B.; Zhang, Y.; Li, J.; Arzumanyan, A.; Clayton, M.M.; Schinazi, R.F.; Wang, Z.; Goldmann, S.; Ren, Q.; et al. Preclinical characterization of GLS4, an inhibitor of hepatitis B virus core particle assembly. Antimicrob. Agents Chemother. 2013, 57, 5344–5354. [Google Scholar] [CrossRef] [PubMed]
- Dion, S.; Bourgine, M.; Godon, O.; Levillayer, F.; Michel, M.L. Adeno-associated virus-mediated gene transfer leads to persistent hepatitis B virus replication in mice expressing HLA-A2 and HLA-DR1 molecules. J. Virol. 2013, 87, 5554–5563. [Google Scholar] [CrossRef] [PubMed]
- Huang, Y.H.; Fang, C.C.; Tsuneyama, K.; Chou, H.Y.; Pan, W.Y.; Shih, Y.M.; Wu, P.Y.; Chen, Y.; Leung, P.S.; Gershwin, M.E.; et al. A murine model of hepatitis B-associated hepatocellular carcinoma generated by adeno-associated virus-mediated gene delivery. Int. J. Oncol. 2011, 39, 1511–1519. [Google Scholar] [CrossRef] [PubMed]
- Anderson, R.T.; Choi, H.S.J.; Lenz, O.; Peters, M.G.; Janssen, H.L.A.; Mishra, P.; Donaldson, E.; Westman, G.; Buchholz, S.; Miller, V.; et al. Association Between Seroclearance of Hepatitis B Surface Antigen and Long-term Clinical Outcomes of Patients with Chronic Hepatitis B Virus Infection: Systematic Review and Meta-analysis. Clin. Gastroenterol. Hepatol. 2021, 19, 463–472. [Google Scholar] [CrossRef]
- Hui, R.W.; Mak, L.Y.; Seto, W.K.; Yuen, M.F. RNA interference as a novel treatment strategy for chronic hepatitis B infection. Clin. Mol. Hepatol. 2022, 28, 408–424. [Google Scholar] [CrossRef]
- Ganchua, S.C.; Paratala, B.S.; Iott, C.L.; Gane, E.; Yuen, M.F.; Eley, T.; Sims, K.D.; Gray, K.; Antoniello, D.; Lam, A.M.; et al. Reduction of hepatitis B surface antigen mediated by RNA interference therapeutic AB-729 in chronic hepatitis B patients is associated with T cell activation and a decline in exhausted CD8 T cells. J. Hepatol. 2022, 77, S851. [Google Scholar] [CrossRef]
- Yuen, M.F.; Strasser, S.I.; Sukeepaisarnjaroen, W.; Sharma, V.; Antoniello, D.; Medvedeva, E.; Thi, E.T.; Picchio, G.; Eley, T.; Sims, K.D. Continued suppression of viral markers observed following discontinuation of nucleos (t)ide analogue therapy in chronic hepatitis B subjects with low hepatitis B surface antigen levels after 48 weeks of treatment with AB-729. J. Hepatol. 2022, 77, S878–S879. [Google Scholar] [CrossRef]
- Yuen, M.F.; Berliba, E.; Sukeepaisarnjaroen, W.; Strasser, S.I.; Tangkijvanich, P.; Holmes, J.; Leerapun, A.; Jucov, A.; Thi, E.P.; Wattamwar, T.; et al. Repeat dosing of the GalNAc-siRNA AB-729 in subjects with chronic hepatitis B results in robust and sustained HBsAg suppression. J. Hepatol. 2021, 75, S203–S204. [Google Scholar]
- Xie, J.; Funk, J.; Bopst, M.; Ottaviani, G.; Downes, N.; Hackford, S.; Villabruna, L.; Schmitt, G.; Barrow, P. An innovative investigative approach to characterize the effects observed in a combined fertility study in male and female rats. Regul. Toxicol. Pharmacol. 2018, 95, 339–347. [Google Scholar] [CrossRef] [PubMed]






| HBV System | Genotype | HBV Markers | EC50 [nM] | CC50 [μM] |
|---|---|---|---|---|
| HepG2.2.15 | D | HBsAg HBsAg (40% human serum) HBeAg HBV DNA | 2.3 ± 1.0 63 ± 29 13.7 ± 1.7 0.36 ± 0.2 | >30 |
| HBV-infected PHH | D | HBsAg HBeAg HBV RNA | 8.5 ± 4.7 11.9 ± 2.5 9.6 ± 9.1 | >10 |
| HBV-infected HepG2-hNTCP | D | HBsAg HBeAg HBV RNA | 25.3 ± 10.9 20.9 ± 5.0 30.1 ± 9.6 | >10 |
| PLC/PRF/5 | D | HBsAg | 5.9 ± 2.5 | >10 |
| HBV transfected Huh-7 | A–H | HBsAg | 2.1 to 4.5 | >50 |
| HBV Polymerase Variant | ETV HBV DNA, EC50 [μM] | GLS4 HBV DNA, EC50 [μM] | AB-161 HBsAg, EC50 [μM] |
|---|---|---|---|
| Wild-type | 0.017 | 0.075 | 0.0049 |
| rtL180M/M204V | 0.28 | 0.040 | 0.0019 |
| rtL180M/M204V/T184G/S202I | >6.3 | 0.084 | 0.0020 |
| Inhibitor A | Inhibitor A EC50 (µM) a | AB-161 EC50 (µM) a | Synergy (µM2%) b | Antagonism (µM2%) b | Conclusion b |
|---|---|---|---|---|---|
| ETV | 0.0051 ± 0.0011 | 0.0027 ± 0.0008 | 0.00 ± 0.00 | −3.99 ± 3.59 | Additive |
| TDF | 0.0136 ± 0.0044 | 0.0019 ± 0.0006 | 0.00 ± 0.00 | −0.43 ± 0.744 | Additive |
| AB-836 | 0.0054 ± 0.0007 | 0.0021 ± 0.0009 | 0.47 ± 0.82 | −9.61 ± 6.71 | Additive |
| Males | ||||
|---|---|---|---|---|
| Group Dose (mg/kg/day) No. animals per group (main study) No. animals per group (recovery) | 1 0 3 a 2 | 2 10 4 0 | 3 30 3 b 0 | 4 100 4 2 |
| End of main study: Testis (No. weighed) Absolute value c % of brain weight c % of body weight c | 3 14.77 g 19.96 0.15 | 4 −18.03 −16.13 −9.38 | 3 −34.17 −30.73 −21.93 | 4 −20.62 −16.10 −12.18 |
| End of recovery: Testis (No. weighed) Absolute value c % of brain weight c % of body weight c | (2) 15.43 g 20.18 0.16 | NA | NA | (2) −42.84 −43.49 −37.79 |
| Males | ||||
|---|---|---|---|---|
| Group Dose (mg/kg/day) No. of animals per Group (main study) No. animals per group (recovery) | 1 0 3 2 | 2 10 4 0 | 3 30 3 0 | 4 100 4 2 |
| End of main study: Testis (no. examined) Degeneration/Atrophy Minimal Mild Moderate | (3) 0 - - - | (4) 0 - - - | (3) 2 1 1 0 | (4) 4 2 1 1 |
| End of recovery: Testis (no. examined) Degeneration/Atrophy Moderate | (2) 0 - | NA | NA | (2) 2 2 |
| End of main study: Epididymis (no. examined) Cellular debris Minimal Mild Cellularity, decreased; sperm Minimal Mild Marked | (3) 0 - - 0 - - - | (4) 0 - - 0 - - - | (3) 2 0 2 2 0 2 0 | (4) 4 2 2 4 1 2 1 |
| End of recovery: Epididymis (no. examined) Cellular debris Mild Cellularity, decreased; sperm Moderate | (2) 0 - 0 - | NA | NA | (2) 2 2 2 2 |
Disclaimer/Publisher’s Note: The statements, opinions and data contained in all publications are solely those of the individual author(s) and contributor(s) and not of MDPI and/or the editor(s). MDPI and/or the editor(s) disclaim responsibility for any injury to people or property resulting from any ideas, methods, instructions or products referred to in the content. |
© 2024 by the authors. Licensee MDPI, Basel, Switzerland. This article is an open access article distributed under the terms and conditions of the Creative Commons Attribution (CC BY) license (https://creativecommons.org/licenses/by/4.0/).
Share and Cite
Lam, A.M.; Dugyala, R.R.; Sheraz, M.; Liu, F.; Thi, E.P.; Graves, I.E.; Cuconati, A.; Steuer, H.M.; Ardzinski, A.; Overholt, N.; et al. Preclinical Antiviral and Safety Profiling of the HBV RNA Destabilizer AB-161. Viruses 2024, 16, 323. https://doi.org/10.3390/v16030323
Lam AM, Dugyala RR, Sheraz M, Liu F, Thi EP, Graves IE, Cuconati A, Steuer HM, Ardzinski A, Overholt N, et al. Preclinical Antiviral and Safety Profiling of the HBV RNA Destabilizer AB-161. Viruses. 2024; 16(3):323. https://doi.org/10.3390/v16030323
Chicago/Turabian StyleLam, Angela M., Ravi R. Dugyala, Muhammed Sheraz, Fei Liu, Emily P. Thi, Ingrid E. Graves, Andrea Cuconati, Holly Micolochick Steuer, Andrzej Ardzinski, Nathan Overholt, and et al. 2024. "Preclinical Antiviral and Safety Profiling of the HBV RNA Destabilizer AB-161" Viruses 16, no. 3: 323. https://doi.org/10.3390/v16030323
APA StyleLam, A. M., Dugyala, R. R., Sheraz, M., Liu, F., Thi, E. P., Graves, I. E., Cuconati, A., Steuer, H. M., Ardzinski, A., Overholt, N., Mason, J. D., Gotchev, D., Cole, A. G., Harasym, T. O., & Sofia, M. J. (2024). Preclinical Antiviral and Safety Profiling of the HBV RNA Destabilizer AB-161. Viruses, 16(3), 323. https://doi.org/10.3390/v16030323

