Journal Description
Sustainability
Sustainability
is an international, peer-reviewed, open-access journal on environmental, cultural, economic, and social sustainability of human beings, published semimonthly online by MDPI. The Canadian Urban Transit Research & Innovation Consortium (CUTRIC), International Council for Research and Innovation in Building and Construction (CIB) and Urban Land Institute (ULI) are affiliated with Sustainability and their members receive discounts on the article processing charges.
- Open Access— free for readers, with article processing charges (APC) paid by authors or their institutions.
- High Visibility: indexed within Scopus, SCIE and SSCI (Web of Science), GEOBASE, GeoRef, Inspec, RePEc, CAPlus / SciFinder, and other databases.
- Journal Rank: JCR - Q2 (Environmental Studies) / CiteScore - Q1 (Geography, Planning and Development)
- Rapid Publication: manuscripts are peer-reviewed and a first decision is provided to authors approximately 17.9 days after submission; acceptance to publication is undertaken in 3.6 days (median values for papers published in this journal in the second half of 2025).
- Recognition of Reviewers: reviewers who provide timely, thorough peer-review reports receive vouchers entitling them to a discount on the APC of their next publication in any MDPI journal, in appreciation of the work done.
- Testimonials: See what our editors and authors say about Sustainability.
- Companion journals for Sustainability include: World, Sustainable Chemistry, Conservation, Future Transportation, Architecture, Standards, Merits, Bioresources and Bioproducts, Accounting and Auditing and Environmental Remediation.
- Journal Cluster of Environmental Science: Sustainability, Land, Clean Technologies, Environments, Nitrogen, Recycling, Urban Science, Safety, Air, Waste and Aerobiology.
Impact Factor:
3.3 (2024);
5-Year Impact Factor:
3.6 (2024)
Latest Articles
Integrated Back-Pressure Turbine Plant with Kalina Cycle as an Alternative Solution for Challenges in Sustainable Cogeneration Plants
Sustainability 2026, 18(2), 680; https://doi.org/10.3390/su18020680 (registering DOI) - 9 Jan 2026
Abstract
►
Show Figures
Currently, the mainstream source of electrical energy generation is fossil fuels. The unpredictable behavior of these fuels produces harmful byproducts, such as fuel gases, and leads to damage in the surrounding environment. New trends, with a focus on energy efficiency and environmental protection
[...] Read more.
Currently, the mainstream source of electrical energy generation is fossil fuels. The unpredictable behavior of these fuels produces harmful byproducts, such as fuel gases, and leads to damage in the surrounding environment. New trends, with a focus on energy efficiency and environmental protection in the power generation sector, will alter the character of this industry. This work presents an innovative approach to addressing the challenges facing the cogeneration plant sector by integrating back-pressure turbines with the Kalina power cycle. This combination aims to produce electricity and useful thermal energy instantaneously from a single fuel source, often encountering efficiency and operational challenges. The proposed combined system enhances the advantages of both the back-pressure turbine plant and the Kalina power cycle while enhancing overall efficiency. A thermodynamic energy analysis is conducted for all components and systems under various operating conditions. The obtained results indicate that the proposed cycle possesses thermal efficiency with a range of 36–39.5% and specific fuel consumption with a range of 0.214–0.233 kg/kWh under both design and off-design conditions. Through comprehensive thermodynamic analyses, this work provides insight into the viability and advantages of integrating the back-pressure turbine with the Kalina power cycle, proposing a promising alternative for cogeneration power plants seeking enhanced performance and sustainability.
Full article
Open AccessArticle
Reducing the Ecological Footprint—State of Practice and the Transition to the Circular Economy in Manufacturing Companies in Sweden
by
Roland Stolt and Malin Löfving
Sustainability 2026, 18(2), 679; https://doi.org/10.3390/su18020679 (registering DOI) - 9 Jan 2026
Abstract
►▼
Show Figures
This paper presents findings from an interview study conducted in seven different industrial manufacturing companies in Sweden. The purpose was to understand how industrial manufacturing companies currently work with the reduction in their environmental footprint and the transition into the circular economy. The
[...] Read more.
This paper presents findings from an interview study conducted in seven different industrial manufacturing companies in Sweden. The purpose was to understand how industrial manufacturing companies currently work with the reduction in their environmental footprint and the transition into the circular economy. The operational sustainability and circular economy actions in the companies were investigated in relation to the sustainability reporting of the companies, particularly those aligned with the Greenhouse Gas Protocol scopes 1–3. The results showed that the reductions in Scopes 1 and 2 were well underway, while circular economy actions remained at an early stage, with most initiatives still being implemented on a limited scale. The paper discusses the reasons behind this. A key finding is that both corporate reporting and the scientific literature rarely differentiate between CO2 reductions achieved through operational sustainability actions and those resulting from circular economy strategies.
Full article

Figure 1
Open AccessArticle
Water Scarcity Footprint and Economic Feasibility of Precision Irrigation in Short Rotation Coppice for Energy in Italy
by
Giulio Sperandio, Alessandro Suardi, Mauro Pagano, Vincenzo Civitarese, Carla Cedrola, Roberto Tomasone and Andrea Acampora
Sustainability 2026, 18(2), 678; https://doi.org/10.3390/su18020678 (registering DOI) - 9 Jan 2026
Abstract
Effective water resource management in agriculture is a pivotal challenge for environmental sustainability and the economic viability of crop production. The present study, conducted at the CREA research station (Monterotondo, Italy), analyzed a precision irrigation strategy based on an automated drip irrigation system
[...] Read more.
Effective water resource management in agriculture is a pivotal challenge for environmental sustainability and the economic viability of crop production. The present study, conducted at the CREA research station (Monterotondo, Italy), analyzed a precision irrigation strategy based on an automated drip irrigation system with soil moisture sensors, applied to a 15-year-old high-density poplar plantation for energy production. Five treatments were compared: a non-irrigated control (T0) and four irrigation levels based on soil moisture thresholds (T1 ≤ 20%, T2 ≤ 30%, T3 ≤ 40%, T4 ≤ 50%). The aim of this study was to assess the economic feasibility of irrigated poplar plantations, considering expected increases in biomass production and related environmental impacts. The economic evaluation used the Life Cycle Costing (LCC) method, while the environmental assessment applied Life Cycle Assessment (LCA) with the AWARE indicator to quantify the water scarcity footprint. Finally, an integrated assessment using the TOPSIS multi-criteria method was performed to identify the most sustainable treatment. Over the 15-year period, T0 (no irrigation) was the preferred option (Preferred Index Pi = 1.000), followed by T3 (Pi = 0.637) and T4 (Pi = 0.586), considering equal weighting of economic and environmental impacts. Conversely, the low irrigation treatment (T1) was the least sustainable (Pi = 0.379), followed by T2 (Pi = 0.486). While irrigation appears unviable if environmental impacts are prioritized, higher biomass value can improve the economic sustainability of treatments with greater water use (T3 and T4) when economic factors dominate.
Full article
(This article belongs to the Section Sustainable Water Management)
►▼
Show Figures

Figure 1
Open AccessSystematic Review
Environmental, Social, and Governance (ESG) Factors in International Trade: A Systematic Review and Integrative Framework
by
Georgios A. Deirmentzoglou, Eleni E. Anastasopoulou, Andreas Masouras and Panikos Symeou
Sustainability 2026, 18(2), 677; https://doi.org/10.3390/su18020677 - 9 Jan 2026
Abstract
Environmental, Social, and Governance (ESG) factors have become central to international trade, transforming how firms, industries, and governments engage in global markets. This study conducts a systematic literature review to synthesize current knowledge on the ESG–trade nexus. Using content analysis, three key thematic
[...] Read more.
Environmental, Social, and Governance (ESG) factors have become central to international trade, transforming how firms, industries, and governments engage in global markets. This study conducts a systematic literature review to synthesize current knowledge on the ESG–trade nexus. Using content analysis, three key thematic clusters were identified: (i) ESG in supply chains and logistics, (ii) ESG in export performance and international competitiveness, and (iii) ESG and trade within geopolitics, energy, and resource security. The synthesis reveals that ESG has evolved from a voluntary corporate initiative into a structural determinant of global competitiveness, resilience, and legitimacy. Building on these findings, the study proposes an integrative ESG–Trade framework, which conceptualizes ESG as a multidimensional governance ecosystem comprising (i) institutional and regulatory, (ii) technological and operational, and (iii) geopolitical and strategic dimensions. This framework explains how sustainability regulations, digital transformation, and global political economy dynamics co-evolve to shape trade flows and industrial upgrading. The study highlights the need for greater regulatory coherence and strategic ESG integration while offering a foundation for future interdisciplinary and empirical research on sustainable trade governance.
Full article
(This article belongs to the Special Issue Do Businesses Increase Their Value by Adopting Innovative Sustainability Practices?)
►▼
Show Figures

Figure 1
Open AccessArticle
PRTNet: Combustion State Recognition Model of Municipal Solid Waste Incineration Process Based on Enhanced Res-Transformer and Multi-Scale Feature Guided Aggregation
by
Jian Zhang, Junyu Ge and Jian Tang
Sustainability 2026, 18(2), 676; https://doi.org/10.3390/su18020676 - 9 Jan 2026
Abstract
Accurate identification of the combustion state in municipal solid waste incineration (MSWI) processes is crucial for achieving efficient, low-emission, and safe operation. However, existing methods often struggle with stable and reliable recognition due to insufficient feature extraction capabilities when confronted with challenges such
[...] Read more.
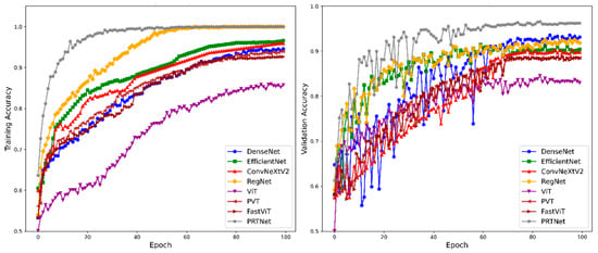
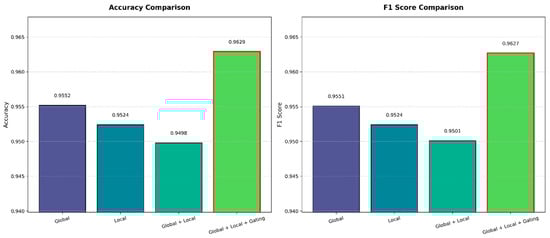
Accurate identification of the combustion state in municipal solid waste incineration (MSWI) processes is crucial for achieving efficient, low-emission, and safe operation. However, existing methods often struggle with stable and reliable recognition due to insufficient feature extraction capabilities when confronted with challenges such as complex flame morphology, blurred boundaries, and significant noise in flame images. To address this, this paper proposes a novel hybrid architecture model named PRTNet, which aims to enhance the accuracy and robustness of combustion state recognition through multi-scale feature enhancement and adaptive fusion mechanisms. First, a local-semantic enhanced residual network is constructed to establish spatial correlations between fine-grained textures and macroscopic combustion patterns. Subsequently, a feature-adaptive fusion Transformer is designed, which models long-range dependencies and high-frequency details in parallel via deformable attention and local convolutions, and achieves adaptive fusion of global and local features through a gating mechanism. Finally, a cross-scale feature guided aggregation module is proposed to fuse shallow detailed information with deep semantic features under dual-attention guidance. Experiments conducted on a flame image dataset from an MSWI plant in Beijing show that PRTNet achieves an accuracy of 96.29% in the combustion state classification task, with precision, recall, and F1-score all exceeding 96%, significantly outperforming numerous mainstream baseline models. Ablation studies further validate the effectiveness and synergistic effects of each module. The proposed method provides a reliable solution for intelligent flame state recognition in complex industrial scenarios, contributing to the advancement of intelligent and sustainable development in municipal solid waste incineration processes.
Full article
(This article belongs to the Special Issue Life Cycle and Sustainability Nexus in Solid Waste Management)
►▼
Show Figures

Figure 1
Open AccessEssay
Diverse Pathways for Digital and Intelligence Technologies to Enhance Resilience in the Agricultural Industry Chain—A Configuration Analysis Based on 99 Prefecture-Level Cities in China’s Yellow River Basin
by
Huilan Wu, Haifen Yang, Yang Li and Shuang Wang
Sustainability 2026, 18(2), 675; https://doi.org/10.3390/su18020675 - 9 Jan 2026
Abstract
From a configuration perspective, by using 99 prefecture-level cities in the Yellow River basin as a sample, this paper reveals a variety of pathways through which digital and intelligent technologies, in synergy with multiple factors, strengthen the resilience of agricultural industrial chains. The
[...] Read more.
From a configuration perspective, by using 99 prefecture-level cities in the Yellow River basin as a sample, this paper reveals a variety of pathways through which digital and intelligent technologies, in synergy with multiple factors, strengthen the resilience of agricultural industrial chains. The research findings are as follows: First, none of the antecedent conditions are essential for strengthening the resilience of the high agricultural industrial chain in the Yellow River Basin. Nevertheless, digital and intelligent technologies and digital infrastructure are central conditions in all four configurations that enhance the resilience of the agricultural industrial chain. Second, the four configurations that produce high agricultural industrial chain resilience are enabled by technology, driven by information, facilitated through multi-stakeholder collaboration, and guided by policy, and there are certain complementary and substitutive relationships among these conditions. Third, the configuration which is empowered by technology fits regions with well-developed digital infrastructure and established goose-formation agricultural entities; the configuration that is driven by information fits areas with limited fiscal support but robust digital infrastructure; the multi-stakeholder collaborative configuration fits regions with strong economic foundations, robust fiscal support, and advanced digital infrastructure; and the configuration which is guided by policy fits areas with weaker economic foundations but advanced digital infrastructure and diverse agricultural entities. The above conclusions, by revealing the diverse pathways by means of which digital technologies strengthen the resilience of the agricultural industrial chain in the Yellow River Basin, demonstrate that regional development must adopt tailored methods which are suited to local conditions. They also provide novel solutions for sustainable agricultural development.
Full article
(This article belongs to the Special Issue Advances in Sustainable Agriculture and Economic Viability: The Role of Technology)
►▼
Show Figures

Figure 1
Open AccessArticle
A Novel Hybrid Model for Groundwater Vulnerability Assessment and Its Application in a Coastal City
by
Yanwei Wang, Haokun Yu, Zongzhong Song, Jingrui Wang and Qingguo Song
Sustainability 2026, 18(2), 674; https://doi.org/10.3390/su18020674 - 9 Jan 2026
Abstract
Groundwater vulnerability assessments serve as essential tools for sustainable groundwater management, particularly in regions with intensive anthropogenic activities. However, improving the objectivity and predictive reliability of vulnerability assessment frameworks remains a critical scientific challenge in groundwater science, especially for coastal aquifer systems characterized
[...] Read more.
Groundwater vulnerability assessments serve as essential tools for sustainable groundwater management, particularly in regions with intensive anthropogenic activities. However, improving the objectivity and predictive reliability of vulnerability assessment frameworks remains a critical scientific challenge in groundwater science, especially for coastal aquifer systems characterized by strong heterogeneity and complex hydrogeological processes. The traditional DRASTIC model is a widely recognized method but suffers from subjectivity in assigning parameter ratings and weights, often leading to arbitrary and potentially inaccurate vulnerability maps. This limitation also restricts its applicability in areas with complex hydrogeological conditions. To enhance the accuracy and adaptability of the traditional DRASTIC model, a hybrid PSO-BP-DRASTIC framework was developed and applied it to a coastal city in China. Specifically, the model employs a backpropagation neural network (BP-NN) to optimize indicator weights and integrates the particle swarm optimization (PSO) algorithm to refine the initial weights and thresholds of the BP-NN. By introducing a data-driven and globally optimized weighting mechanism, the proposed framework effectively overcomes the inherent subjectivity of conventional empirical weighting schemes. Using ten-fold cross-validation and observed nitrate concentration data, the traditional DRASTIC, BP-DRASTIC, and PSO-BP-DRASTIC models were systematically validated and compared. The results demonstrate that (1) the PSO-BP-DRASTIC model achieved the highest classification accuracy on the test set, the highest stability across ten-fold cross-validation, and the strongest correlation with the nitrate concentrations; (2) the importance analysis identified the aquifer thickness and depth to the groundwater table as the most influential factors affecting groundwater vulnerability in Yantai; and (3) the spatial assessments revealed that high-vulnerability zones (7.85% of the total area) are primarily located in regions with intensive agricultural activities and high aquifer permeability. The hybrid PSO-BP-DRASTIC model effectively mitigates the subjectivity of the traditional DRASTIC method and the local optimum issues inherent in BP-NNs, significantly improving the assessment accuracy, stability, and objectivity. From a scientific perspective, this study demonstrates the feasibility of integrating swarm intelligence and neural learning into groundwater vulnerability assessment, providing a transferable and high-precision methodological paradigm for data-driven hydrogeological risk evaluation. This novel hybrid model provides a reliable scientific basis for the reasonable assessment of groundwater vulnerability. Moreover, these findings highlight the importance of integrating a hybrid optimization strategy into the traditional DRASTIC model to enhance its feasibility in coastal cities and other regions with complex hydrogeological conditions.
Full article
(This article belongs to the Section Sustainable Water Management)
►▼
Show Figures

Figure 1
Open AccessArticle
From Linear to Circular: Barriers to Sustainable Transition in the Saudi Banking Sector
by
Aroop Mukherjee and Luisa Pinto
Sustainability 2026, 18(2), 673; https://doi.org/10.3390/su18020673 - 8 Jan 2026
Abstract
This study investigates the barriers in adopting the Circular Economy (CE) in Saudi Banking under Vision 2030 and using the Resource-Based View and stakeholder theory. This study examined how customer engagement, process innovation, and dynamic capabilities limit the implementation of CE. A quantitative,
[...] Read more.
This study investigates the barriers in adopting the Circular Economy (CE) in Saudi Banking under Vision 2030 and using the Resource-Based View and stakeholder theory. This study examined how customer engagement, process innovation, and dynamic capabilities limit the implementation of CE. A quantitative, cross-sectional survey collected 418 responses from bank employees in Riyadh and was collected from January to March 2024. A 29-item Likert scale was analyzed with SmartPLS 4; measurement quality was strong, and confirmatory factor analysis confirmed construct validity. Results highlight the main barriers as customer resistance regulatory constraints and lack of adequate employee training. The construct is highly interconnected (r = 0.758), showing that improvements in customer engagement and process innovation strengthen dynamic capabilities. The study provides practical guidance for banks and policymakers on designing circular finance products, targeted training, and supportive regulations to accelerate the CE transition and achieve measurable sustainability outcomes in financial sectors, aligning with SDG 3, good health and well-being, and SDG 7, affordable and clean energy.
Full article
(This article belongs to the Special Issue Business Circular Economy and Sustainability)
Open AccessArticle
Impacts of Human Drivers’ Keep Right Rule Noncompliance on Sustainable Freeway Operations in Mixed Traffic
by
Dajeong Han and Junhyung Lee
Sustainability 2026, 18(2), 672; https://doi.org/10.3390/su18020672 - 8 Jan 2026
Abstract
This study analyzed the impact of human drivers’ Keep Right Rule noncompliance on sustainable freeway operations in mixed traffic. Using the microscopic traffic simulation tool, a total of 36 scenarios were examined based on variations in driving behavior, presence of slow vehicles in
[...] Read more.
This study analyzed the impact of human drivers’ Keep Right Rule noncompliance on sustainable freeway operations in mixed traffic. Using the microscopic traffic simulation tool, a total of 36 scenarios were examined based on variations in driving behavior, presence of slow vehicles in the passing lane, desired speed, and number of lanes. The Wiedemann-99 car-following model and autonomous driving logic were applied for simulation. Simulation results revealed that the occupation of the passing lane by a human-driven slow vehicle increased the recovery time and variability in right-side rule compared to free lane selection. Also, 20 km/h was a threshold desired speed gap that activated the bottleneck by the slow vehicle in a passing lane. Lastly, as the number of lanes increased, bottleneck formation was diminished. The findings point to a mixed traffic systemic paradox. Human drivers can alleviate bottleneck formation by flexibly performing right-side overtaking even though it is illegal, whereas autonomous vehicles cannot perform right-side overtaking, which unintentionally activates a bottleneck under strict rule compliance. These results show that in mixed traffic conditions, even minor violations of traffic rules by human drivers can lead to congestion. Therefore, to achieve sustainable and safe road traffic by harmonizing mixed traffic, institutional improvements are necessary alongside advances in autonomous driving technology.
Full article
(This article belongs to the Collection Accident Prevention and Risk Management for Safe and Sustainable Transportation)
►▼
Show Figures

Figure 1
Open AccessArticle
A Hybrid Genetic Algorithm for Sustainable Multi-Site Logistics: Integrating Production, Inventory, and Distribution Planning with Proactive CO2 Emission Forecasting
by
Nejah Jemal, Imen Raies, Amira Sellami, Zied Hajej and Kamar Diaz
Sustainability 2026, 18(2), 671; https://doi.org/10.3390/su18020671 - 8 Jan 2026
Abstract
This paper introduces a novel, integrated optimization framework for sustainable multi-site logistics planning, which simultaneously addresses production, inventory, and distribution decisions. The proposed hybrid methodology combines a Genetic Algorithm (GA) with Linear Programming (LP) to minimize total logistics costs while proactively integrating environmental
[...] Read more.
This paper introduces a novel, integrated optimization framework for sustainable multi-site logistics planning, which simultaneously addresses production, inventory, and distribution decisions. The proposed hybrid methodology combines a Genetic Algorithm (GA) with Linear Programming (LP) to minimize total logistics costs while proactively integrating environmental impact assessment. The model determines optimal production schedules across multiple facilities, manages inventory levels, and solves the Vehicle Routing Problem (VRP) for distribution. A key innovation is the incorporation of a CO2 emission forecasting module directly into the optimization loop, allowing the algorithm to anticipate and mitigate the environmental consequences of logistics decisions during the planning phase, rather than performing a post-hoc evaluation. The framework was implemented in Python 3.13.4, utilizing the PuLP library for LP components and custom-developed GA routines. Its performance was validated through a numerical case study and a series of sensitivity analyses, which investigated the effects of fluctuating demand and key cost parameters. The results demonstrate that the inclusion of emission forecasting enables the identification of solutions that achieve a superior balance between economic and environmental objectives, leading to significant reductions in both total costs and predicted CO2 emissions. This work provides practitioners with a scalable and practical decision-support tool for designing more sustainable and resilient multi-echelon supply chains.
Full article
(This article belongs to the Special Issue Green Development, Digital Ecosystem and Sustainability in Industry 4.0)
Open AccessArticle
Technological Triangle—Making Public Transport Sustainable and More Accessible
by
Petr Nachtigall, Marek Vyhnanovský, Lukáš Křižan, Jaromír Široký and Jozef Gašparík
Sustainability 2026, 18(2), 670; https://doi.org/10.3390/su18020670 - 8 Jan 2026
Abstract
The technological triangle is a non-mathematical representation of the relationship between the characteristics of transport infrastructure, modes of transport, and the operational concept in a specific region. It is only through the synergistic effect of these three vertices that the railway undertaking, infrastructure
[...] Read more.
The technological triangle is a non-mathematical representation of the relationship between the characteristics of transport infrastructure, modes of transport, and the operational concept in a specific region. It is only through the synergistic effect of these three vertices that the railway undertaking, infrastructure manager, and authority can achieve optimal resource utilisation. Concurrently, it is imperative to exert pressure on the authorities to implement conceptual, systematic, and predictable measures. The process of implementing changes to transport infrastructure is a protracted one, typically spanning several years from the initial stages of preparation through to the project’s execution. The application of the technological triangle is possible on various parts of the infrastructure. Based on previous research, the authors prepared this Article to address intermediate stations, which were identified as the key focus of this article. Therefore, the authors in this article answer the question of what typical solutions exist for intermediate station configurations in relation to the operational concept and financial costs. Twenty different configurations were selected, and each was examined from the perspectives of financial, operational, planning, automation, and user pillars. The weights of the individual pillars were then assessed from the perspective of the infrastructure manager, the carrier, and the customer. The result is a comprehensive assessment of all wayside station configurations from different perspectives. Each user of this workflow can determine the weights of the individual pillars according to their needs and financial capabilities. This also gives the article a general use. The final part of the article presents specific examples of existing structures in the Czech Republic, which were not built with the perspective of this article in mind. The authors point out that if our method were applied, not only would large platform stations be built, which is the case for many intermediate stations in the Czech Republic; instead, more efficient solutions would be developed and adapted to the specific case.
Full article
(This article belongs to the Special Issue Rethinking the Accessibility and Sustainability of Public Transportation)
►▼
Show Figures

Figure 1
Open AccessArticle
From People to Performance: Factors Driving Sustainable Family Business Success in Lebanon
by
Jean Elia, Najib Bou Zakhem, Joseph Serghani, Mireille Karam and Chadia Sawaya
Sustainability 2026, 18(2), 669; https://doi.org/10.3390/su18020669 - 8 Jan 2026
Abstract
This research examines the impact of five crucial factors underlying human resource management (HRM), namely, compensation, transformational leadership, motivation, and job satisfaction on sustainable employees’ performance in Lebanese family companies. The research is founded on Social Exchange Theory, Maslow’s Hierarchy of Needs, and
[...] Read more.
This research examines the impact of five crucial factors underlying human resource management (HRM), namely, compensation, transformational leadership, motivation, and job satisfaction on sustainable employees’ performance in Lebanese family companies. The research is founded on Social Exchange Theory, Maslow’s Hierarchy of Needs, and Transformational Leadership Theory. Based on a cross-sectional design and quantitative approach, data were collected from 511 full-time employees working for family-owned businesses in Lebanon via structured questionnaires. Structural equation modeling (SEM) using SmartPLS-4 was used to analyze the relationships among the variables. The results point out that job satisfaction, motivation, and the transformational leadership style meaningfully impact employees’ performance. Compensation had a slight yet statistically significant effect. Furthermore, the work environment was found to have both a direct influence on performance and a moderating effect on the relationships between job satisfaction, transformational leadership style, and employees’ outcomes. These outcomes provide theoretical contributions to the literature on HRM in family-owned enterprises and deliver practical insights for improving employees’ performance through targeted HR strategies in emerging economies. The present study concludes by highlighting the role of a supportive environment at work and participative leadership in enhancing performance outcomes, mostly in culturally complex and intergenerational business settings.
Full article
(This article belongs to the Special Issue Sustainable Leadership and Strategic Management in SMEs)
►▼
Show Figures

Figure 1
Open AccessArticle
An Improved NSGA-II–TOPSIS Integrated Framework for Multi-Objective Optimization of Electric Vehicle Charging Station Siting
by
Xiaojia Liu, Hailong Guo, Hongyu Chen, Yufeng Wu and Dexin Yu
Sustainability 2026, 18(2), 668; https://doi.org/10.3390/su18020668 - 8 Jan 2026
Abstract
►▼
Show Figures
The rapid growth of electric vehicle (EV) adoption poses significant challenges for the rational planning of charging infrastructure, where economic efficiency and service quality are inherently conflicting. To support scientific decision-making in charging station siting, this study proposes an integrated multi-objective optimization and
[...] Read more.
The rapid growth of electric vehicle (EV) adoption poses significant challenges for the rational planning of charging infrastructure, where economic efficiency and service quality are inherently conflicting. To support scientific decision-making in charging station siting, this study proposes an integrated multi-objective optimization and decision-support framework that combines an improved Non-dominated Sorting Genetic Algorithm II (NSGA-II) with an entropy-weighted TOPSIS method. A bi-objective siting model is developed to simultaneously minimize total operator costs and maximize user satisfaction. User satisfaction is explicitly characterized by a nonlinear charging distance perception function and a queuing-theoretic waiting time model, enabling a more realistic representation of user service experience. To enhance convergence performance and solution diversity, the NSGA-II algorithm is improved through variable-wise random chaotic initialization, opposition-based learning, and adaptive crossover and mutation operators. The resulting Pareto-optimal solutions are further evaluated using an improved entropy-weighted TOPSIS approach to objectively identify representative compromise solutions. Simulation results demonstrate that the proposed framework achieves superior performance compared with the standard NSGA-II algorithm in terms of operating cost reduction, user satisfaction improvement, and multi-objective indicators, including hypervolume, inverted generational distance, and solution diversity. The findings confirm that the proposed NSGA-II–TOPSIS framework provides an effective, robust, and interpretable decision-support tool for EV charging station planning under conflicting objectives.
Full article

Figure 1
Open AccessArticle
Streetscapes and Street Livability: Advancing Sustainable and Human-Centered Urban Environments
by
Walaa Mohamed Metwally
Sustainability 2026, 18(2), 667; https://doi.org/10.3390/su18020667 - 8 Jan 2026
Abstract
Street livability is widely recognized as a fundamental indicator of urban livability. Despite growing global agendas advocating human-centered, sustainable, and smart cities, the microscale implementation of streetscape interventions remains limited and non-integrated. This gap is particularly evident in developing cities’ contexts where policy-level
[...] Read more.
Street livability is widely recognized as a fundamental indicator of urban livability. Despite growing global agendas advocating human-centered, sustainable, and smart cities, the microscale implementation of streetscape interventions remains limited and non-integrated. This gap is particularly evident in developing cities’ contexts where policy-level frameworks fail to translate into tangible street-level transformations. Responding to this challenge, this paper investigates how streetscape components can enhance everyday street livability. The study aims to explore opportunities for improving street livability through the utilization of three core streetscape components: vegetation, street furniture, and lighting. The discourse on street livability identifies vegetation, street furniture, and lighting as the primary drivers of high-quality urban spaces. Scholarly research suggests that these micro-interventions are most effective when viewed through the combined lenses of human-centered design, environmental sustainability, and smart city technology. While the literature indicates that integrating climate-responsive greenery and renewable energy systems can enhance social interaction and safety, it also highlights significant implementation hurdles. Specifically, researchers point to policy limitations, technical feasibility in developing nations, and the socio-economic threat of green gentrification. Despite these complexities, microscale streetscape improvements remain a vital strategy for fostering inclusive and resilient cities.
Full article
(This article belongs to the Section Environmental Sustainability and Applications)
►▼
Show Figures

Figure 1
Open AccessArticle
Psychographic Typology of the Phygital Consumer Based on Emotions Towards Tools and Solutions Used in Retail and Services
by
Kajetan Klaczek-Suchecki, Barbara Kucharska, Przemysław Luberda and Mirosława Malinowska
Sustainability 2026, 18(2), 666; https://doi.org/10.3390/su18020666 - 8 Jan 2026
Abstract
The aim of this paper is to identify and psychographically characterize consumers operating in the phygital environment based on their emotional responses to tools used in commerce and services. The theoretical section involves a bibliometric analysis (Web of Science and Scopus papers from
[...] Read more.
The aim of this paper is to identify and psychographically characterize consumers operating in the phygital environment based on their emotional responses to tools used in commerce and services. The theoretical section involves a bibliometric analysis (Web of Science and Scopus papers from 2015 to 2024) using Bibliometrix and Biblioshiny in RStudio. The empirical study was conducted using the Internet survey technique in February 2025 on a nationwide random-quota sample of 2160 adult internet users. Based on cluster analysis, three types of consumers were identified: solution skeptics (48.1%), cautious explorers (20.1%), and tool enthusiasts (31.9%). The results indicate that emotions play a key role in the perception of phygital experiences. The article provides practical guidance for companies, including approaches for designing more inclusive and accessible shopping environments. A positive attitude toward these tools can foster more efficient use of services, reducing overconsumption and improving quality of life. In the context of sustainable development, these results point to the need for further research into the real impact of phygital solutions on consumer wellbeing—social, economic, and environmental.
Full article
(This article belongs to the Special Issue Sustainable Marketing and Consumption in the Digital Age)
►▼
Show Figures

Figure 1
Open AccessArticle
Occupational Risk Assessment in Irrigation and Drainage in the Lis Valley, Portugal: A Comparative Evaluation of the William T. Fine and INSHT/NTP 330 Simplified Method
by
Susana Ferreira, Tânia Filipe, Juan Manuel Sánchez, José Manuel Gonçalves, Rui Eugénio and Henrique Damásio
Sustainability 2026, 18(2), 665; https://doi.org/10.3390/su18020665 - 8 Jan 2026
Abstract
Ensuring the safe, efficient, and economically viable operation of irrigation and drainage infrastructures is essential for long-term system resilience. This field-based study presents a comparative evaluation of the semi-quantitative William T. Fine (WF) method and a simplified probability–consequence (SM) approach applied in the
[...] Read more.
Ensuring the safe, efficient, and economically viable operation of irrigation and drainage infrastructures is essential for long-term system resilience. This field-based study presents a comparative evaluation of the semi-quantitative William T. Fine (WF) method and a simplified probability–consequence (SM) approach applied in the Lis Valley Irrigation and Drainage Association (Leiria, Portugal). Monthly on-site observations of routine maintenance and conservation activities were conducted between January 2023 and December 2024, covering eight main operation types and resulting in 87 distinct occupational risk scenarios (N = 87). The mean Hazard Risk Score (HRS) was 88.9 ± 51.1, corresponding predominantly to “Substantial” risk levels according to the William T. Fine classification (HRS = 70–200). Both methods consistently identified the highest-risk activities—tractor rollover, work at height, and boat-based removal of aquatic plants. Quantitative differences emerged for medium and chronic hazards; WF produced a wider dispersion of risk scores across tasks, while the SM aggregated most hazards into a limited number of intervention classes (74% classified as Intervention Level II and 26% as Level III). These differences reflect complementary methodological limitations; WF requires greater data input and expert judgment but offers finer prioritization, whereas SM enables rapid field application but tends to group ergonomic and low-intensity hazards when consequences are not immediately observable. Based on these findings, a combined assessment framework is proposed, integrating the discriminative capacity of WF with the operational simplicity of SM. Recommended mitigation measures include targeted personal protective equipment, task rotation, focused training, and technology-assisted monitoring to reduce worker exposure. The methodology is readily replicable for Water Users’ Associations with similar operational contexts and supports evidence-based decision-making for sustainable irrigation management. From a sustainability perspective, this integrated risk assessment framework supports safer working conditions, more efficient maintenance planning, and informed policy decisions for the long-term management of irrigation and drainage infrastructures.
Full article
(This article belongs to the Special Issue Sustainable Engineering and the Emerging Technologies: Application, Policy Development and Innovation)
Open AccessArticle
Challenging School Journeys: How Does Bussed Education Contribute to Access to Quality Education?
by
Yurdagül Doğuş
Sustainability 2026, 18(2), 664; https://doi.org/10.3390/su18020664 - 8 Jan 2026
Abstract
This article discusses the policy of Bussed Education in Türkiye in the context of the fourth Sustainable Development Goal, “quality education”. The contributions made by the policy of Bussed Education, which aims to facilitate the access of students living in disadvantaged areas to
[...] Read more.
This article discusses the policy of Bussed Education in Türkiye in the context of the fourth Sustainable Development Goal, “quality education”. The contributions made by the policy of Bussed Education, which aims to facilitate the access of students living in disadvantaged areas to education under equal conditions, to quality education were examined. The sample of the study, which was carried out using a qualitative research method, consisted of 38 teachers and 39 school principals (77 participants in total) selected via purposeful sampling. The participants were working at schools in different regions of Türkiye where education by busing was being implemented. Data were collected in interviews carried out using a semi-structured interview form. The results revealed four themes in the context of which the policy of Bussed Education supported Sustainable Development Goal 4. It was concluded that the policy of Busing in Education was a policy that facilitated the access of students living in disadvantaged areas to schools and supported access to quality education in terms of equal opportunities, sustainability, inclusivity, and employment. Recommendations made for policymakers included the acknowledgment of the shortcomings of busing in education and the resolution of arising challenges by the consideration of contextual conditions.
Full article
(This article belongs to the Special Issue Education and the Sustainable Development Goals: A Global Agenda for Change)
►▼
Show Figures

Figure 1
Open AccessArticle
Assessment of Long-Term Land Cover and Vegetation Trends Using NDVI and CORINE Data: A Case Study from Slovakia
by
Stefan Kuzevic, Diana Bobikova and Zofia Kuzevicova
Sustainability 2026, 18(2), 663; https://doi.org/10.3390/su18020663 - 8 Jan 2026
Abstract
The study and understanding of spatial and temporal changes in the landscape is essential for assessing environmental trends and predicting future developments in the area. Changes in land cover and vegetation dynamics are key indicators of the ecological stability of an area. This
[...] Read more.
The study and understanding of spatial and temporal changes in the landscape is essential for assessing environmental trends and predicting future developments in the area. Changes in land cover and vegetation dynamics are key indicators of the ecological stability of an area. This study analyzes long-term changes in land cover and vegetation dynamics in Jelšava and neighboring municipalities. The selected area has long been classified as one of the areas with poor air quality in Slovakia. The analysis is based on data from the CORINE Land Cover program for the period 1990–2018 and Landsat data from 1990 to 2025. The condition and vitality of vegetation were assessed using the Normalized Difference Vegetation Index (NDVI), while temporal trends were assessed using non-parametric Mann–Kendall and Sen’s slope tests. The results show a decrease in the area of class 31—Forests between 2012 and 2018, accompanied by an increase in the area of class 324—Transitional woodland–shrub. Analysis of the NDVI confirmed a slightly positive trend in vegetation cover development, with statistically significant growth (p < 0.05) recorded on approximately 43% of the territory. The combination of remote sensing data and spatial analysis in a GIS environment has proven to be an effective approach to monitoring ecological dynamics and provides valuable insights for regional environmental management and sustainable land use planning.
Full article
(This article belongs to the Section Sustainable Forestry)
Open AccessArticle
Green Innovation Ecosystem Drives Enhancement of Energy Resilience in China: Exploratory Study Based on Dynamic Qualitative Comparative Analysis
by
Ru Fa and Yuli Liu
Sustainability 2026, 18(2), 662; https://doi.org/10.3390/su18020662 - 8 Jan 2026
Abstract
In recent years, with the growing intensity of extreme weather events, imbalances in energy supply and demand, and frequent regional conflicts, the stability of our energy systems faces increasing challenges. Against this backdrop, the green innovation ecosystem can optimize the energy system’s structure
[...] Read more.
In recent years, with the growing intensity of extreme weather events, imbalances in energy supply and demand, and frequent regional conflicts, the stability of our energy systems faces increasing challenges. Against this backdrop, the green innovation ecosystem can optimize the energy system’s structure and operational efficiency by promoting multi-actor interaction and multi-element synergy, thereby enhancing its resilience. Accordingly, this study aims to reveal how the green innovation ecosystem drives improvements in energy resilience (ER) through factor configurations and to identify the pathways leading to high-ER outcomes. To address this, this study constructs a research framework of the “core layer–environmental layer–supporting layer” for the green innovation ecosystem, and selects seven conditional variables, namely dual green innovation, multidimensional environmental regulation, green finance, and digital infrastructure. Based on official Chinese statistics, panel data from 30 provinces were compiled, and the dynamic qualitative comparative analysis (QCA) method was used to analyze how multiple factors interacted from 2016 to 2022 to achieve high ER from a spatiotemporal perspective. The results show that: (1) There is no single necessary condition for achieving high ER. (2) Dual green innovation and public participation in environmental regulation play a universal role in achieving high ER. They are combined with green finance, market-based environmental regulation, and digital infrastructure, forming three configuration pathways for achieving high ER. (3) No significant time effect is observed. (4) Pronounced spatial heterogeneity exists. The eastern region focuses on the green finance-enabled pathway, the central region has a high coverage of all three pathways, and the western region has relatively weak overall adaptability. Based on these findings, this study argues that enhancing ER depends on the coordinated allocation of multiple factors, and there is no single optimal pathway. Policymakers should adopt a configurational mindset and select appropriate combinations of elements in light of regional development conditions to enhance ER.
Full article
Open AccessArticle
An Integrated FAHP–IF-COPRAS Approach for Evaluating Airport Sustainability Performance in Türkiye
by
Fatma Şeyma Yüksel and Pırıl Tekin
Sustainability 2026, 18(2), 661; https://doi.org/10.3390/su18020661 - 8 Jan 2026
Abstract
This study proposes a multi-dimensional, fuzzy logic-based decision-making framework to assess airport sustainability performance under uncertainty, addressing a notable gap in the literature. The proposed model integrates the Fuzzy Analytic Hierarchy Process (FAHP) to determine the weights of sustainability criteria and the Intuitionistic
[...] Read more.
This study proposes a multi-dimensional, fuzzy logic-based decision-making framework to assess airport sustainability performance under uncertainty, addressing a notable gap in the literature. The proposed model integrates the Fuzzy Analytic Hierarchy Process (FAHP) to determine the weights of sustainability criteria and the Intuitionistic Fuzzy COPRAS (IF-COPRAS) method to evaluate airport alternatives. The assessment considers four main sustainability dimensions: environmental, economic, social, and technical/institutional. A case study involving five major airports in Türkiye reveals that environmental and economic indicators play a pivotal role in shaping sustainability performance. While Istanbul Airport (IST) demonstrated the highest performance across all scenarios, a comparison with Airport Carbon Accreditation (ACA) levels indicates that carbon-focused certification alone is insufficient to reflect the full spectrum of sustainability outcomes. This research presents a novel and robust evaluation framework, contributing to the limited body of fuzzy logic-based MCDM applications for airport sustainability in the Turkish context. The findings offer actionable strategic insights for policymakers and airport managers regarding investment prioritization, operational strategy reinforcement, and the alignment of airport development with long-term sustainability goals. The results are validated through rigorous sensitivity analyses, confirming the robustness of the model despite the focused expert panel.
Full article
Journal Menu
► ▼ Journal Menu-
- Sustainability Home
- Aims & Scope
- Editorial Board
- Reviewer Board
- Topical Advisory Panel
- Instructions for Authors
- Special Issues
- Topics
- Sections & Collections
- Article Processing Charge
- Indexing & Archiving
- Editor’s Choice Articles
- Most Cited & Viewed
- Journal Statistics
- Journal History
- Journal Awards
- Society Collaborations
- Conferences
- Editorial Office
Journal Browser
► ▼ Journal BrowserHighly Accessed Articles
Latest Books
E-Mail Alert
News
Topics
Topic in
Buildings, Energies, Smart Cities, Sustainability
Recent Studies on Climate-Neutral Districts and Cities
Topic Editors: Xingxing Zhang, Rosaria VolpeDeadline: 20 January 2026
Topic in
Atmosphere, Coasts, Land, Sustainability, Water
Contemporary Waterfronts, What, Why and How?
Topic Editors: Maria José Andrade Marques, Francesca Dal Cin, João Pedro CostaDeadline: 28 February 2026
Topic in
Buildings, CivilEng, Climate, Construction Materials, Energies, Sustainability, Architecture
Advances in Building Sector for Achieving Net Zero Emission by 2050
Topic Editors: Md Morshed Alam, Iqbal Hossain, Jiaolan ZhuDeadline: 20 March 2026
Topic in
Energies, Sustainability, Electricity
Advanced Technology of Smart Battery and Energy Management System of Transportation Electrification
Topic Editors: Longxing Wu, Zhiqiang Lyu, Renjing Gao, Muyao WuDeadline: 30 March 2026
Conferences
Special Issues
Special Issue in
Sustainability
Energy Transition in Agriculture and Forestry Systems: Policies, Technologies and Sustainability Challenges
Guest Editors: Valerio Di Stefano, Andrea Colantoni, Leonardo Bianchini, Stefano BigiottiDeadline: 9 January 2026
Special Issue in
Sustainability
Heterogeneous Catalytic Technology in Pollutant Degradation
Guest Editors: Janaína Oliveira Gonçalves, Mery Luiza Garcia Vieira, Anelise Christ RibeiroDeadline: 10 January 2026
Special Issue in
Sustainability
Smart Grids and Sustainable Energy Networks
Guest Editors: Michael Short, Huda Dawood, Sean WilliamsDeadline: 10 January 2026
Special Issue in
Sustainability
Climate Change and Sustainable Agricultural System
Guest Editor: Rameshwar KanwarDeadline: 10 January 2026
Topical Collections
Topical Collection in
Sustainability
Waste Utilization and Resource Recovery
Collection Editors: Chunjiang An, Xiujuan Chen
Topical Collection in
Sustainability
Sustainable Development of Rural Areas and Agriculture
Collection Editor: Piotr Prus
Topical Collection in
Sustainability
Reviews, Advances and Applications in Environmental Sustainability
Collection Editors: Jose Navarro Pedreño, António Dinis Ferreira, Peter Goethals, Eun-Sung Chung, Vincenzo Torretta
Topical Collection in
Sustainability
Sustainability on Production and Industrial Management
Collection Editor: Malgorzata Jasiulewicz-Kaczmarek





