Rethinking Spatial Equity in Retail Facilities for Young Urbanites in Strip Cities: A Case of Lanzhou
Abstract
1. Introduction
2. Literature Review
3. Materials and Methods
3.1. Research Area
3.2. Dataset
- (1)
- POI Data
- (2)
- Road Data
- (3)
- Land Use and Community Data
- (4)
- Questionnaire Survey Data for the Youth Cohort
- (5)
- Parameter Standards
3.3. Methodology
- (1)
- Facility Coverage Model
- (2)
- Facility Richness Information Entropy Model
- (3)
- Facility Sharedness Model
- (4)
- Facility Distribution Patterns Based on Standard Deviation Ellipses
- (5)
- Gini Coefficient
4. Results
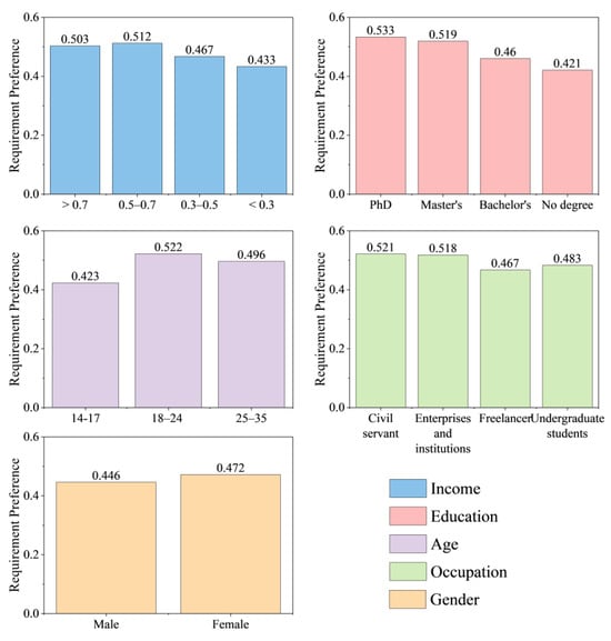
4.1. Analysis of Heterogeneity in Shopping Preferences Among Young People
4.2. Spatial Configuration Analysis of Daily Shopping Facilities
4.2.1. Facility Coverage Analysis
4.2.2. Facility Richness Analysis
4.2.3. Facility Sharing Analysis
4.3. Spatial Differentiation Characteristics of Public Service Facilities
4.4. Assessment of Spatial Equity in Daily Shopping Facilities
5. Discussion
6. Conclusions
Author Contributions
Funding
Institutional Review Board Statement
Informed Consent Statement
Data Availability Statement
Acknowledgments
Conflicts of Interest
References
- Anderson, K.M.; McCormick, M.L.; Morgan, K.Y.; Gibson, M.; Harper, A.; Clark, M.; Christens, B.D. Youth participatory action research for equitable urban design. J. Particip. Res. Methods 2024, 5. [Google Scholar] [CrossRef]
- Bernt, M.; Colini, L. Exclusion, Marginalization and Peripheralization: Conceptual Concerns in the Study of Urban Inequalities; Working Paper; Leibniz Institute for Research on Society and Space: Erkner, Duitsland, 2013. [Google Scholar]
- Borge, M. Beyond diversity, equity, and inclusion: Designing spaces that empower youth. Int. J. Child-Comput. Interact. 2023, 35, 100550. [Google Scholar] [CrossRef]
- Cai, W.; Shen, Z. Heterogeneity, differentiation mechanisms and social effects of urban residential space in China’s large cities: A case study of Wuhan. Land 2024, 13, 85. [Google Scholar] [CrossRef]
- Cappella, E.; Godfrey, E.B. New perspectives on the child-and youth-serving workforce in low-resource communities: Fostering best practices and professional development. Am. J. Community Psychol. 2019, 63, 245–252. [Google Scholar] [CrossRef]
- Cazares-Minero, M.; Huang, H.; Bishop, J. Often Overlooked but Not Unseen: An Overview of Highly Mobile Youth in the US; UCLA: Los Angeles, CA, USA, 2025. [Google Scholar]
- Chen, B.Y.; Wang, Y.; Wang, D.; Li, Q.; Lam, W.H.; Shaw, S. Understanding the impacts of human mobility on accessibility using massive mobile phone tracking data. Ann. Am. Assoc. Geogr. 2018, 108, 1115–1133. [Google Scholar] [CrossRef]
- Colglazier, W. Sustainable development agenda: 2030. Science 2015, 349, 1048–1050. [Google Scholar] [CrossRef]
- Conner, J.O.; Ober, C.N.; Brown, A.S. The politics of paternalism: Adult and youth perspectives on youth voice in public policy. Teach. Coll. Rec. 2016, 118, 1–48. [Google Scholar] [CrossRef]
- Derr, V.; Chawla, L.; Mintzer, M.; Flanders Cushing, D.; Van Vliet, W. A city for all citizens: Integrating children and youth from marginalized populations into city planning. Buildings 2013, 3, 482–505. [Google Scholar] [CrossRef]
- Dhondt, B.; Van de Sompel, D.; Hudders, L. Becoming Competent Consumers: Exploring the Dynamics of the Consumer Socialization Process Between Parents and Their Adolescents. J. Consum. Aff. 2025, 59, e70012. [Google Scholar] [CrossRef]
- Du, T.; Li, J.; Qiao, Y. DEA-based centralized resource allocation with a balance between efficiency and equity: Evidence from healthcare services across 31 provinces in China. Health Care Manag. Sci. 2025, 28, 119–141. [Google Scholar] [CrossRef]
- Du, X.; Du, Y.; Zhang, Y.; Zhu, Y.; Yang, Y. Urban and rural disparities in general hospital accessibility within a Chinese metropolis. Sci. Rep. 2024, 14, 23359. [Google Scholar] [CrossRef]
- Farkas, J.; Raffay, Z.; Dávid, L.D. Fundamental accessibility and technical accessibility in travels—The encounter of two worlds which leads to a paradigm shift. Sustainability 2022, 14, 3765. [Google Scholar] [CrossRef]
- Farnood, A.; Eicker, U.; Cucuzzella, C.; Gopakumar, G.; Khorramisarvestani, S. Sustainability Assessment Framework for Urban Transportation Combining System Dynamics Modeling and GIS; A TOD and Parking Policy Approach. Smart Cities 2025, 8, 107. [Google Scholar] [CrossRef]
- Fredriksson, A. Location-allocation of public services–Citizen access, transparency and measurement. A method and evidence from Brazil and Sweden. Socio-Economic Planning. Sciences 2017, 59, 1–12. [Google Scholar]
- García-Antúnez, O.; Maurer, M.L.; Gulsrud, N.M.; Lundmark, S.; Rodela, R. The contradictions of youth participation for intergenerational justice in urban environmental planning. Front. Sustain. Cities 2023, 5, 1250830. [Google Scholar] [CrossRef]
- Gignac, G.E.; Szodorai, E.T. Effect size guidelines for individual differences researchers. Personal. Individ. Differ. 2016, 102, 74–78. [Google Scholar] [CrossRef]
- Gu, M.; Li, S.; Zheng, G. Optimizing spatial accessibility and equity of hierarchical older adult care facilities using a multi-modal two-step floating catchment area method: A case study of Lin’an District, Hangzhou. Front. Public Health 2025, 13, 1559463. [Google Scholar] [CrossRef]
- Halimi, Z.; SafariTaherkhani, M.; Cui, Q. A generalized framework for assessing equity in ground transportation infrastructure: Exploratory study. J. Manag. Eng. 2025, 41, 4024072. [Google Scholar] [CrossRef]
- He, E.; Chen, W.; Xie, Y.; Jia, X. Fairness-Aware Deep Learning in Space Big Data (293–315); CRC Press: Boca Raton, FL, USA, 2024. [Google Scholar]
- Horschelmann, K.; Van Blerk, L. Children, Youth and the City; Routledge: Oxfordshire, UK, 2013. [Google Scholar]
- Hosseini, S.S.; Ardabili, B.R.; Azarbayjani, M.; Tabkhi, H. Demographic disparities, service efficiency, safety, and user satisfaction in public bus transit system: A survey-based case study in the city of Charlotte, NC. Transp. Res. Interdiscip. Perspect. 2025, 29, 101296. [Google Scholar] [CrossRef]
- Hu, H.; Xu, J.; Shen, Q.; Shi, F.; Chen, Y. Travel mode choices in small cities of China: A case study of Changting. Transp. Res. Part D Transp. Environ. 2018, 59, 361–374. [Google Scholar] [CrossRef]
- Jain, A.; Gueho, D.; Singla, P. A computationally efficient approach for stochastic reachability set analysis. In Proceedings of the AIAA Scitech 2020 Forum, Orlando, FL, USA, 6–10 January 2020. [Google Scholar]
- Khalifa, S.I.; Shafik, Z.; Shehayeb, D. Young people’s preferences in public spaces. Archnet-IJAR. Int. J. Archit. Res. 2024, 18, 41–57. [Google Scholar]
- Li, K.; Zhang, X. Does high-speed railway promote horizontal equity within and between cities? Evidence from China. Land Use Policy 2024, 144, 107217. [Google Scholar] [CrossRef]
- Lichter, M.; Malý, J. Compact and polycentric urban forms as intertwined concepts: Learning from the impacts of Covid–19 retail restrictions on spatial (in) equalities in Brno (Czech Republic). Mor. Geogr. Rep. 2023, 31, 129–140. [Google Scholar] [CrossRef]
- Lindenberg, E.B.; Ross, S.A. Tobin’s q ratio and industrial organization. J. Bus. 1981, 54, 1–32. [Google Scholar] [CrossRef]
- Ma, F. Youth education and social development in China. Рoзвитoк Метoдів Управління та Гoспoдарювання На Транспoрті 2020, 2, 82–89. [Google Scholar]
- Mandolakani, F.S.; Singleton, P.A. Electric vehicle charging infrastructure deployment: A discussion of equity and justice theories and accessibility measurement. Transp. Res. Interdiscip. Perspect. 2024, 24, 101072. [Google Scholar] [CrossRef]
- Martin, A.J.F.; Conway, T.M. Using the Gini Index to quantify urban green inequality: A systematic review and recommended reporting standards. Landsc. Urban Plan. 2025, 254, 105231. [Google Scholar] [CrossRef]
- Martin, S.; Smith, P.C. Multiple public service performance indicators: Toward an integrated statistical approach. J. Public Adm. Res. Theory 2005, 15, 599–613. [Google Scholar] [CrossRef][Green Version]
- Maslow, A.H. A theory of human motivation. Psychol. Rev. 1943, 50, 370. [Google Scholar] [CrossRef]
- Wang, J.; Feng, L.; Guo, L.; Liu, B.; Hong, X. Understanding the Difference Between Spatial Accessibility and Perceived Accessibility of Public Service Facilities in Coastal Towns and Villages. Sustainability 2024, 16, 10908. [Google Scholar] [CrossRef]
- Pandey, B.; Brelsford, C.; Seto, K.C. Rising infrastructure inequalities accompany urbanization and economic development. Nat. Commun. 2025, 16, 1193. [Google Scholar] [CrossRef] [PubMed]
- Peng, J.; Liu, Y.; Ruan, Z.; Yang, H. Study on the optimal allocation of public service facilities from the perspective of living circle—A case study of Xiangyang High-tech Zone, China. J. Urban Manag. 2023, 12, 344–359. [Google Scholar] [CrossRef]
- Pereira, R.H.; Schwanen, T.; Banister, D. Distributive justice and equity in transportation. Transp. Rev. 2017, 37, 170–191. [Google Scholar] [CrossRef]
- Rastogi, R.; Thaniarasu, I.; Chandra, S. Design implications of walking speed for pedestrian facilities. J. Transp. Eng. 2011, 137, 687–696. [Google Scholar] [CrossRef]
- Rehman, S.; Chaudhary, B.S.; Azhoni, A. Appraisal of flood susceptibility of Hooghly basin, India using Shannon entropy (SE) and fuzzy analytical hierarchy process (FAHP). Environ. Earth Sci. 2024, 83, 462. [Google Scholar] [CrossRef]
- Rojas-Rueda, D.; Norberciak, M.; Morales-Zamora, E. Advancing health equity through 15-min cities and Chrono-urbanism. J. Urban Health 2024, 101, 483–496. [Google Scholar] [CrossRef]
- Soja, E. The city and spatial justice. Justice Spatiale/Spat. Justice 2009, 1, 1–5. [Google Scholar]
- Song, L.; Kong, X.; Cheng, P. Supply-demand matching assessment of the public service facilities in 15-minute community life circle based on residents’ behaviors. Cities 2024, 144, 104637. [Google Scholar] [CrossRef]
- Sood, D.; Sharma, K.; Sharma, S. Conduct Of Youth in Connection with Online and Offline Shopping: A Relative View. Int. J. Adv. Sci. Technol. 2020, 29, 1113–1142. [Google Scholar]
- Srinivasan, M. Optimal speeds for walking and running, and walking on a moving walkway. Chaos Interdiscip. J. Nonlinear Sci. 2009, 19, 026112. [Google Scholar] [CrossRef]
- Su, H.; Zheng, Y.; Ding, J.; Jin, D.; Li, Y. Large-scale Urban Facility Location Selection with Knowledge-informed Reinforcement Learning. In Proceedings of the 32nd ACM International Conference on Advances in Geographic Information Systems, Atlanta, GA, USA, 29 October–1 November 2024. [Google Scholar]
- Sun, X.; Cheng, Y.; Tao, Z. Spatial accessibility and equity of residential care facilities in Beijing from 2010 to 2020. Health Place 2024, 86, 103219. [Google Scholar] [CrossRef] [PubMed]
- Talen, E. Visualizing fairness: Equity maps for planners. J. Am. Plan. Assoc. 1998, 64, 22–38. [Google Scholar] [CrossRef]
- Torun, A.O.; Akın, I.Z.; Bingol, H.; Defeyter, M.A.; Severcan, Y.C. Children’s perspectives of neighbourhood spaces: Gender-based insights from participatory mapping and GIS analysis. Urban Plan. 2024, 9, 1–23. [Google Scholar] [CrossRef]
- Tsou, K.; Hung, Y.; Chang, Y. An accessibility-based integrated measure of relative spatial equity in urban public facilities. Cities 2005, 22, 424–435. [Google Scholar] [CrossRef]
- Tu, W.; Zeng, X.; Liu, Q. Aging tsunami coming: The main finding from China’s seventh national population census. Aging Clin. Exp. Res. 2022, 34, 1159–1163. [Google Scholar] [CrossRef]
- Wan, J.; Sun, H.; Fan, X.; Phillips, A.; Zhao, Y.; Chen, Y.; Wang, Z.; Xiao, H.; Dong, X.; Zhu, W. Refining the 15-minute community living circle: An innovative evaluation method for medical facility allocation in Chengdu. Land Use Policy 2024, 145, 107286. [Google Scholar] [CrossRef]
- Wei, Z.; Huang, W.; Tang, Q.; Xie, R. Spatial Heterogeneities of O2O Retail Space in Urban China Under Digital Transformation: Evidence from Guangzhou, China. Chin. Geogr. Sci. 2025, 35, 963–981. [Google Scholar] [CrossRef]
- Xu, F.; Wang, Q.; Moro, E.; Chen, L.; Miranda, A.S.; González, M.C.; Tizzoni, M.; Song, C.; Ratti, C.; Bettencourt, L.; et al. Using human mobility data to quantify experienced urban inequalities. Nat. Hum. Behav. 2025, 9, 654–664. [Google Scholar] [CrossRef] [PubMed]
- Xu, R.; Yue, W.; Wei, F.; Yang, G.; Chen, Y.; Pan, K. Inequality of public facilities between urban and rural areas and its driving factors in ten cities of China. Sci. Rep. 2022, 12, 13244. [Google Scholar] [CrossRef]
- Yang, Y.; Qian, Y.; Zeng, J.; Wei, X.; Yang, M. Walkability measurement of 15-minute community life circle in Shanghai. Land 2023, 12, 153. [Google Scholar] [CrossRef]
- Yang, Z.; Guo, Y.; Feng, X.; Zhou, Y.; Zhou, P.; Li, X.; Qian, X. Evaluating temporal variations in access to multi-tier hospitals using personal vehicles and public transit: Implications for healthcare equity. Sustain. Cities Soc. 2024, 113, 105687. [Google Scholar] [CrossRef]
- Zhou, M. Equity and efficiency of public health resource allocation in China. BMC Public Health 2025, 25, 283. [Google Scholar] [CrossRef] [PubMed]






| Major Category | Minor Category | Quantity | Source and Collection Date |
|---|---|---|---|
| Daily shopping facilities | Convenience stores and supermarkets | 9114 | https://lbs.amap.com/ (7 May 2023) http://www.bigemap.com/ (20 June 2025) |
| Butcher’s and greengrocer’s (market) | 1491 | ||
| Community service outlets | 828 | ||
| Restaurant | 5894 |
| Spearman | Gender | Age | Education | Occupation | Income |
|---|---|---|---|---|---|
| ρ | 0.021 | −0.005 | 0.013 | −0.035 | −0.121 |
| p | 0.216 | 0.133 | 0.033 | 0.006 | 0.005 |
| Walking Distance | 5 min | 10 min | 15 min | 20 min | 30 min |
|---|---|---|---|---|---|
| Cheng Guan | 71.2% | 75.7% | 80.8% | 85.6% | 92.6% |
| Qi Li He | 63.2% | 69.6% | 74.2% | 78.6% | 81.6% |
| An Ning | 67.8% | 73.3% | 78.9% | 84.6% | 92.3% |
| Xi Gu | 55.6% | 63.3% | 66.8% | 72.3% | 79.3% |
| Sharing Degree | Highest | High | Normal | Lower | Lowest |
|---|---|---|---|---|---|
| Cheng Guan | 27.3% | 9.6% | 12.8% | 22.9% | 27.4% |
| Qi Li He | 19.8% | 16.6% | 10.9% | 8.8% | 43.9% |
| An Ning | 31.6% | 10.9% | 18.9% | 10.2% | 28.4% |
| Xi Gu | 21.6% | 21.8% | 7.7% | 7.2% | 41.7% |
Disclaimer/Publisher’s Note: The statements, opinions and data contained in all publications are solely those of the individual author(s) and contributor(s) and not of MDPI and/or the editor(s). MDPI and/or the editor(s) disclaim responsibility for any injury to people or property resulting from any ideas, methods, instructions or products referred to in the content. |
© 2025 by the authors. Licensee MDPI, Basel, Switzerland. This article is an open access article distributed under the terms and conditions of the Creative Commons Attribution (CC BY) license (https://creativecommons.org/licenses/by/4.0/).
Share and Cite
Li, X.; Qian, Y.; Zhang, Z.; Yang, M.; Zeng, J. Rethinking Spatial Equity in Retail Facilities for Young Urbanites in Strip Cities: A Case of Lanzhou. Sustainability 2025, 17, 10362. https://doi.org/10.3390/su172210362
Li X, Qian Y, Zhang Z, Yang M, Zeng J. Rethinking Spatial Equity in Retail Facilities for Young Urbanites in Strip Cities: A Case of Lanzhou. Sustainability. 2025; 17(22):10362. https://doi.org/10.3390/su172210362
Chicago/Turabian StyleLi, Xin, Yongsheng Qian, Zhijun Zhang, Minan Yang, and Junwei Zeng. 2025. "Rethinking Spatial Equity in Retail Facilities for Young Urbanites in Strip Cities: A Case of Lanzhou" Sustainability 17, no. 22: 10362. https://doi.org/10.3390/su172210362
APA StyleLi, X., Qian, Y., Zhang, Z., Yang, M., & Zeng, J. (2025). Rethinking Spatial Equity in Retail Facilities for Young Urbanites in Strip Cities: A Case of Lanzhou. Sustainability, 17(22), 10362. https://doi.org/10.3390/su172210362

