-
Crystal Structure of [1046127-79-0], 3,3′-(n-Hexane-1,6-diyl)bis(1-vinylimidazolium) Bromide -
Synthesis of 1-(Naphthalen-2-yl)-3-(3-(triethoxysilyl)propyl)urea and Determination of Its Crystal Structure -
2-(3′,5′-Bis((dodecyloxy)carbonyl)-2′,6′-dimethyl-1′,4′-dihydro-[3,4′-bipyridin]-1-ium-1-yl)-1,3-dioxo-2,3-dihydro-1H-inden-2-ide
Journal Description
Molbank
Molbank
is an international, peer-reviewed, open access journal comprised of a unique collection of one-compound-per-paper short notes on synthetic compounds and natural products published bimonthly online by MDPI.
- Open Access— free for readers, with article processing charges (APC) paid by authors or their institutions.
- High Visibility: indexed within Scopus, ESCI (Web of Science), Reaxys, CAPlus / SciFinder, and other databases.
- Rapid Publication: manuscripts are peer-reviewed and a first decision is provided to authors approximately 12.7 days after submission; acceptance to publication is undertaken in 2.7 days (median values for papers published in this journal in the second half of 2025).
- Recognition of Reviewers: reviewers who provide timely, thorough peer-review reports receive vouchers entitling them to a discount on the APC of their next publication in any MDPI journal, in appreciation of the work done.
Impact Factor:
0.4 (2024)
Latest Articles
1-Phenyl-4-p-tolyl-[1,2,3]triazole
Molbank 2026, 2026(2), M2160; https://doi.org/10.3390/M2160 - 8 Apr 2026
Abstract
1-Phenyl-4-p-tolyl-[1,2,3]triazole was obtained via a CuAAC reaction involving phenyl azide and 1-ethynyl-4-methylbenzene. The NMR spectra of the compound are discussed, and its crystal structure was studied by X-ray analysis. According to the latter analysis and a Hirshfeld surface analysis, the predominant intermolecular C-H⋅⋅⋅N
[...] Read more.
1-Phenyl-4-p-tolyl-[1,2,3]triazole was obtained via a CuAAC reaction involving phenyl azide and 1-ethynyl-4-methylbenzene. The NMR spectra of the compound are discussed, and its crystal structure was studied by X-ray analysis. According to the latter analysis and a Hirshfeld surface analysis, the predominant intermolecular C-H⋅⋅⋅N and C-H⋅⋅⋅π interactions in this molecule are responsible for crystal packing.
Full article
(This article belongs to the Section Structure Determination)
►
Show Figures
Open AccessShort Note
Synthesis of a Calix[4]semitube with a Selectively Dinitrated Face
by
Roderick Abdilla, Stefano Volpi, Alessandro Casnati, Maria A. Cardona and Ruben Gatt
Molbank 2026, 2026(2), M2159; https://doi.org/10.3390/M2159 - 7 Apr 2026
Abstract
This paper describes the synthesis and characterisation of the calix semitube 5. The calix[4]semitube consists of two calix[4]arenes connected through their lower rim from two phenol groups in distal positions. One calix[4]arene is unsubstituted on its upper rim, while the upper rim
[...] Read more.
This paper describes the synthesis and characterisation of the calix semitube 5. The calix[4]semitube consists of two calix[4]arenes connected through their lower rim from two phenol groups in distal positions. One calix[4]arene is unsubstituted on its upper rim, while the upper rim of the other calix[4]arene has two nitro groups in the 1,3- position and two tert-butyl groups in the remaining ones. The synthesis procedure yielded an amorphous structure, which did not provide a single crystal. The final compound was comprehensively characterised by infrared spectroscopy, mass spectrometry, and 1H and 13C NMR spectroscopy. The results of the 1H NMR spectroscopy confirmed that the calix[4]arene units adopted a cone conformation. This was confirmed by COSY and 1H-13C HMBC. The results obtained confirm that the compound was successfully synthesised. The IUPAC name of 5 is 2,34-di-tert-butyl-39,49-dinitro-6,7,8,9,27,28,29,30-octahydro-15H,21H,36H,42H-4,32:11,25-bis(methano [1,3]benzenomethano)-16,20:37,41-di(metheno)tetrabenzo[g,g1,p,x][1,6,18,23] tetraoxacyclotetratriacontine-43,46,54,60-tetraol.
Full article
(This article belongs to the Section Organic Synthesis and Biosynthesis)
►▼
Show Figures

Figure 1
Open AccessShort Note
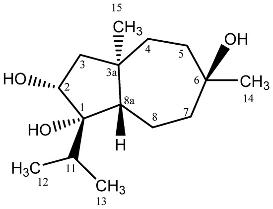
(1S,2R,3aR,6S,8aS)-1-Isopropyl-3a,6-Dimethyldecahydroazulene-1,2,6-Triol from Trichoderma virens
by
Desita Triana Aziz, Resky Nugraha, Marwah Wirda Ningsih, Zetryana Puteri Tachrim, Yuta Murai and Makoto Hashimoto
Molbank 2026, 2026(2), M2158; https://doi.org/10.3390/M2158 - 2 Apr 2026
Abstract
A novel derivative from carotene-type sesquiterpene, (1S,2R,3aR,6S,8aS)-1-isopropyl-3a,6-dimethyldecahydroazulene-1,2,6-triol (1), was successfully isolated from filamentous fungus Trichoderma virens NBRC 31959. The structure and molecular formula of 1 were determined by interpretation of 1D
[...] Read more.
A novel derivative from carotene-type sesquiterpene, (1S,2R,3aR,6S,8aS)-1-isopropyl-3a,6-dimethyldecahydroazulene-1,2,6-triol (1), was successfully isolated from filamentous fungus Trichoderma virens NBRC 31959. The structure and molecular formula of 1 were determined by interpretation of 1D and 2D NMR and HRMS data. The absolute configuration was established unambiguously by single-crystal X-ray diffraction, with the Flack parameter supporting the assignment. This study adds to the chemical diversity of sesquiterpene-type CAF603 derivatives of Trichoderma virens.
Full article
(This article belongs to the Section Natural Product Chemistry)
►▼
Show Figures

Figure 1
Open AccessShort Note
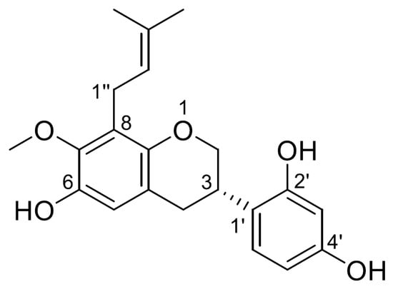
(+)-(3S)-8-(3-Methylbut-2-en-1-yl)-7-Methoxy-6,2′,4′-Trihydroxyisoflavan
by
Hye Jin Kim, Kye Jung Shin, Khin Myo Htwe and Kee Dong Yoon
Molbank 2026, 2026(2), M2157; https://doi.org/10.3390/M2157 - 2 Apr 2026
Abstract
Phytochemical investigation of Millettia racemosa Benth. led to the identification of an undescribed isoflavan, (+)-(3S)-8-(3-methylbut-2-en-1-yl)-7-methoxy-6,2′,4′-trihydroxyisoflavan, namely milletiaisoflavan (1). The structure of the isolate was elucidated by spectroscopic evidence (one- and two-dimensional nuclear magnetic resonance, ultraviolet, mass spectrometry, and circular dichroism spectra).
Full article
(This article belongs to the Section Natural Product Chemistry)
►▼
Show Figures

Figure 1
Open AccessShort Note
(E)-3-(3,4-Di-(2,3,4,6-tetra-O-acetyl-β-d-glucopyranosyloxy)phenyl) Acrylic Acid
by
Sara Ghazi and Mohamed Touaibia
Molbank 2026, 2026(2), M2156; https://doi.org/10.3390/M2156 - 1 Apr 2026
Abstract
Phenolic acids are widely known for their antioxidant and biological properties, which make them attractive scaffolds for structural modification. In this short note, we report the synthesis of a new 3,4-di-glucosylated caffeic acid analogue. The (E)-3-(3,4-di-(2,3,4,6-tetra-O-acetyl-β-d-glucopyranosyloxy)phenyl) acrylic
[...] Read more.
Phenolic acids are widely known for their antioxidant and biological properties, which make them attractive scaffolds for structural modification. In this short note, we report the synthesis of a new 3,4-di-glucosylated caffeic acid analogue. The (E)-3-(3,4-di-(2,3,4,6-tetra-O-acetyl-β-d-glucopyranosyloxy)phenyl) acrylic acid was obtained through a two-step synthesis, starting with a phase-transfer-catalyzed glycosylation of 3,4-dihydroxybenzaldehyde with 2,3,4,6-tetra-O-acetyl-α-d-glucopyranosyl bromide followed by a Dobner-modified Knoevenagel condensation. Consistent with the 2-O-acetyl neighbouring participation and the resulting Walden-type inversion at the anomeric centre, both glucopyranosyl units were assigned the β-configuration.
Full article
(This article belongs to the Section Organic Synthesis and Biosynthesis)
►▼
Show Figures

Scheme 1
Open AccessShort Note
1-(2-Aminophenyl)-3-(4-pyridyl)-3-hydroxy-1-propanone
by
Yahaira Cuenú Ibargüen, Fernando Cuenú-Cabezas and Jovanny A. Gómez Castaño
Molbank 2026, 2026(2), M2155; https://doi.org/10.3390/M2155 - 25 Mar 2026
Abstract
This work reports the isolation and structural characterization of 1-(2-aminophenyl)-3-(4-pyridyl)-3-hydroxy-1-propanone (1), a β-hydroxyketone intermediate that crystallized unexpectedly during the base-catalyzed aldol condensation of 2-aminoacetophenone with pyridine-4-carbaldehyde, a reaction intended to afford the corresponding pyridyl chalcone (2). The formation of
[...] Read more.
This work reports the isolation and structural characterization of 1-(2-aminophenyl)-3-(4-pyridyl)-3-hydroxy-1-propanone (1), a β-hydroxyketone intermediate that crystallized unexpectedly during the base-catalyzed aldol condensation of 2-aminoacetophenone with pyridine-4-carbaldehyde, a reaction intended to afford the corresponding pyridyl chalcone (2). The formation of (1) highlights the sensitivity of Claisen–Schmidt reactions to the electronic and steric features of the substrates and to the applied reaction conditions. Single-crystal X-ray diffraction unambiguously confirmed the molecular structure of (1), revealing a hydrogen-bonding network involving the amino, carbonyl, and β-hydroxyl functionalities. These interactions contribute to the solid-state stabilization of the β-hydroxyketone and hinder its dehydration to chalcone (2). The present results provide experimental insight into the mechanistic landscape of aldol condensations and emphasize the relevance of isolable intermediates as structurally defined precursors for further synthetic transformations.
Full article
(This article belongs to the Collection Molecules from Side Reactions)
►▼
Show Figures

Figure 1
Open AccessShort Note
3a-Phenylhexahydropentalene-1,6-dione
by
Yongyao Li, Hongtao Kong, Xiaoying Huang, Maxwell Ampomah-Wireko, Cedric Dzidzor Kodjo Amengor, En Zhang and Yihong Zhao
Molbank 2026, 2026(2), M2154; https://doi.org/10.3390/M2154 - 18 Mar 2026
Abstract
Bicyclo[3.3.0]skeleton is a common structural motif present in many natural products and pharmaceutical agents. Here we have synthesized a rigid 3a-arylhexahydropentalene-1,6-dione from cyclopent-2-en-1-one which is an easy and readily available starting material.
Full article
(This article belongs to the Section Organic Synthesis and Biosynthesis)
►▼
Show Figures

Figure 1
attachment
Supplementary material:
Supplementary File 1 (ZIP, 544 KB)
Supplementary File 2 (MOL, 3 KB)
Supplementary File 3 (INCHI, 1 KB)
Supplementary File 4 (MOL, 3 KB)
Supplementary File 5 (MOL, 4 KB)
Supplementary File 6 (INCHI, 1 KB)
Supplementary File 7 (MOL, 4 KB)
Supplementary File 8 (CIF, 757 KB)
Supplementary File 9 (CIF, 753 KB)
Supplementary File 1 (ZIP, 544 KB)
Supplementary File 2 (MOL, 3 KB)
Supplementary File 3 (INCHI, 1 KB)
Supplementary File 4 (MOL, 3 KB)
Supplementary File 5 (MOL, 4 KB)
Supplementary File 6 (INCHI, 1 KB)
Supplementary File 7 (MOL, 4 KB)
Supplementary File 8 (CIF, 757 KB)
Supplementary File 9 (CIF, 753 KB)
Open AccessCommunication
Naphthalene-Based Schiff Base Compounds
by
Jocelyn Pradegan, Aurélien Crochet and Katharina M. Fromm
Molbank 2026, 2026(2), M2153; https://doi.org/10.3390/M2153 - 17 Mar 2026
Abstract
►▼
Show Figures
The synthesis of a salen-type ligand functionalized with naphthalene moieties, as well as its precursor, are reported. The compounds were characterized by 1H and 13C NMR, ESI-MS spectrometry and single crystal X-ray diffraction.
Full article

Figure 1
Open AccessShort Note
N-(3,4-Dimethoxyphenethyl)-2-propylpentanamide
by
Diyana Dimitrova, Nikol Dimova, Dimitrina Velikova, Iliyan Ivanov, Dimitar Bojilov and Stanimir Manolov
Molbank 2026, 2026(2), M2152; https://doi.org/10.3390/M2152 - 13 Mar 2026
Abstract
In this Short Note type article, we report the synthesis of a new hybrid molecule, N-(3,4-dimethoxyphenethyl)-2-propylpentanamide, using a solvent-minimized mechanochemical method that provides a simple and efficient synthetic approach. The process achieved high yield. The compound was confirmed by melting-point analysis, 1
[...] Read more.
In this Short Note type article, we report the synthesis of a new hybrid molecule, N-(3,4-dimethoxyphenethyl)-2-propylpentanamide, using a solvent-minimized mechanochemical method that provides a simple and efficient synthetic approach. The process achieved high yield. The compound was confirmed by melting-point analysis, 1H and 13C NMR, IR spectroscopy, and mass spectrometry.
Full article
(This article belongs to the Section Structure Determination)
►▼
Show Figures

Figure 1
Open AccessShort Note
Synthesis, Structural Characterization, and SHG Behavior of a Lanthanum/β-d-Fructose-Based Metal–Organic Framework
by
Domenica Marabello and Paola Benzi
Molbank 2026, 2026(2), M2151; https://doi.org/10.3390/M2151 - 13 Mar 2026
Abstract
Interest in non-centrosymmetric crystalline materials exhibiting second harmonic generation (SHG) has increased due to their potential applications in optical sensing and biosensing. Saccharide-based metal complexes are particularly attractive systems, as chiral sugars can promote non-centrosymmetric crystal packing. In this work, a new lanthanum–β-
[...] Read more.
Interest in non-centrosymmetric crystalline materials exhibiting second harmonic generation (SHG) has increased due to their potential applications in optical sensing and biosensing. Saccharide-based metal complexes are particularly attractive systems, as chiral sugars can promote non-centrosymmetric crystal packing. In this work, a new lanthanum–β-d-fructose compound, [La(C6H12O6)(H2O)5]Cl3 (LaFRUCl), was synthesized using a simple and low-cost method and characterized by single-crystal X-ray diffraction. The compound crystallizes in the orthorhombic space group P212121 and consists of infinite (La3+–fructose)n chains extending along the [001] direction, forming a one-dimensional Metal–Organic Framework. The nonlinear optical response was evaluated using the Kurtz–Perry powder technique with a Nd:YAG laser (1064 nm) and compared to a sucrose reference. The measured SHG efficiency is comparable to that of previously reported alkaline earth metal–sugar analogs. While the compound’s SHG emission is significant, evaluation of its structural stability under aqueous or physiological conditions is be required before considering biological applications.
Full article
(This article belongs to the Section Structure Determination)
►▼
Show Figures

Figure 1
attachment
Supplementary material:
Supplementary File 1 (ZIP, 1064 KB)
Supplementary File 2 (MOL, 1 KB)
Supplementary File 3 (INCHI, 321 B)
Supplementary File 4 (MOL, 996 B)
Supplementary File 5 (MOL, 1 KB)
Supplementary File 6 (INCHI, 390 B)
Supplementary File 7 (MOL, 1 KB)
Supplementary File 8 (MOL, 1 KB)
Supplementary File 9 (INCHI, 435 B)
Supplementary File 10 (MOL, 1 KB)
Supplementary File 11 (MOL, 2 KB)
Supplementary File 12 (INCHI, 622 B)
Supplementary File 13 (MOL, 2 KB)
Supplementary File 14 (MOL, 1 KB)
Supplementary File 15 (INCHI, 446 B)
Supplementary File 16 (MOL, 1 KB)
Supplementary File 1 (ZIP, 1064 KB)
Supplementary File 2 (MOL, 1 KB)
Supplementary File 3 (INCHI, 321 B)
Supplementary File 4 (MOL, 996 B)
Supplementary File 5 (MOL, 1 KB)
Supplementary File 6 (INCHI, 390 B)
Supplementary File 7 (MOL, 1 KB)
Supplementary File 8 (MOL, 1 KB)
Supplementary File 9 (INCHI, 435 B)
Supplementary File 10 (MOL, 1 KB)
Supplementary File 11 (MOL, 2 KB)
Supplementary File 12 (INCHI, 622 B)
Supplementary File 13 (MOL, 2 KB)
Supplementary File 14 (MOL, 1 KB)
Supplementary File 15 (INCHI, 446 B)
Supplementary File 16 (MOL, 1 KB)
Open AccessCommunication
HAT-Initiated Fragmentation of 4-(Dimethylamino)-1-((3-methylbut-2-en-1-yl)oxy)-3-phenylbut-3-en-2-one
by
Andrej Bogataj, Luka Ciber, Nejc Petek, Franc Požgan, Jurij Svete, Bogdan Štefane and Uroš Grošelj
Molbank 2026, 2026(2), M2149; https://doi.org/10.3390/M2149 - 11 Mar 2026
Abstract
An alkene-tethered enaminone 7 was synthesized in four steps from bromoacetic acid and 3,3-dimethylallyl alcohol. The enaminone was fully characterized, including UV-Vis spectra. TBADT-catalyzed HAT of the alkene-tethered enaminone initiated a fragmentation that yielded the literature-known phenylacetone-derived enaminone.
Full article
(This article belongs to the Section Organic Synthesis and Biosynthesis)
►▼
Show Figures

Graphical abstract
Open AccessCommunication
Two-Stage Synthesis of 3-(4-Hydroxyphenyl)-1′,3′,6-trimethyl-2′H,3H,4H-spiro[furo[3,2-c]pyran-2,5′-pyrimidine]-2′,4,4′,6′(1′H,3′H)-tetraone
by
Michail N. Elinson, Varvara M. Kalashnikova, Yuliya E. Ryzhkova and Oleg A. Rakitin
Molbank 2026, 2026(2), M2148; https://doi.org/10.3390/M2148 - 11 Mar 2026
Abstract
Spirocyclic compounds are experiencing a research surge due to their unique 3D structure, offering enhanced pharmacological, industrial, and material applications. They are increasingly used in medicinal chemistry to improve drug-like properties, such as solubility and target binding, and are also being utilized for
[...] Read more.
Spirocyclic compounds are experiencing a research surge due to their unique 3D structure, offering enhanced pharmacological, industrial, and material applications. They are increasingly used in medicinal chemistry to improve drug-like properties, such as solubility and target binding, and are also being utilized for advanced material applications, including electronics and photonics. In this communication, 3-(4-hydroxyphenyl)-1′,3′,6-trimethyl-2′H,3H,4H-spiro[furo[3,2-c]pyran-2,5′-pyrimidine]-2′,4,4′,6′(1′H,3′H)-tetraone was prepared via a two-stage transformation including a tandem Knoevenagel–Michael reaction and NBS-induced cyclization. At the first stage, a previously unknown ionic scaffold, morpholin-4-ium 5-((4-hydroxy-6-methyl-2-oxo-2H-pyran-3-yl)(4-hydroxyphenyl)methyl)-1,3-dimethyl-2,6-dioxo-1,2,3,6-tetrahydropyrimidin-4-olate was also isolated. Structures of the newly synthesized compounds were established by 1H and 13C NMR, IR spectroscopy, high-resolution mass spectrometry, and elemental analysis.
Full article
(This article belongs to the Collection Heterocycle Reactions)
►▼
Show Figures

Scheme 1
Open AccessCommunication
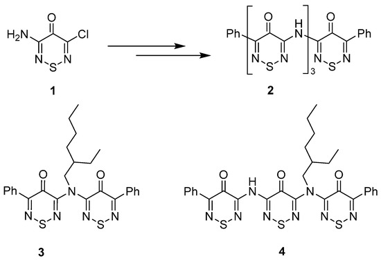
Synthesis of 3-[(2-Ethylhexyl)amino]-5-phenyl-4H-1,2,6-thiadiazin-4-one and 3-[(2-Ethylhexyl)amino]-5-[(4-oxo-5-phenyl-4H-1,2,6-thiadiazin-3-yl)amino]-4H-1,2,6-thiadiazin-4-one
by
Andreas S. Kalogirou and Panayiotis A. Koutentis
Molbank 2026, 2026(2), M2150; https://doi.org/10.3390/M2150 - 11 Mar 2026
Abstract
Suzuki–Miyaura coupling of 3-chloro-5-[(2-ethylhexyl)amino]-4H-1,2,6-thiadiazin-4-one with phenylboronic acid, at ca. 100 °C, gave 3-[(2-ethylhexyl)amino]-5-phenyl-4H-1,2,6-thiadiazin-4-one in 69% yield. Another nucleophilic substitution reaction of 3-chloro-5-[(4-oxo-5-phenyl-4H-1,2,6-thiadiazin-3-yl)amino]-4H-1,2,6-thiadiazin-4-one with 2-ethylhexan-1-amine at ca. 100 °C gave 3-[(2-ethylhexyl)amino]-5-[(4-oxo-5-phenyl-4H-1,2,6-thiadiazin-3-yl)amino]-4H-1,2,6-thiadiazin-4-one in 93% yield.
Full article
(This article belongs to the Section Organic Synthesis and Biosynthesis)
►▼
Show Figures

Figure 1
attachment
Supplementary material:
Supplementary File 1 (ZIP, 782 KB)
Supplementary File 2 (MOL, 2 KB)
Supplementary File 3 (INCHI, 630 B)
Supplementary File 4 (MOL, 2 KB)
Supplementary File 5 (MOL, 2 KB)
Supplementary File 6 (INCHI, 585 B)
Supplementary File 7 (MOL, 2 KB)
Supplementary File 8 (MOL, 2 KB)
Supplementary File 9 (INCHI, 582 B)
Supplementary File 10 (MOL, 2 KB)
Supplementary File 11 (MOL, 2 KB)
Supplementary File 12 (INCHI, 776 B)
Supplementary File 13 (MOL, 2 KB)
Supplementary File 14 (MOL, 2 KB)
Supplementary File 15 (INCHI, 582 B)
Supplementary File 16 (MOL, 2 KB)
Supplementary File 1 (ZIP, 782 KB)
Supplementary File 2 (MOL, 2 KB)
Supplementary File 3 (INCHI, 630 B)
Supplementary File 4 (MOL, 2 KB)
Supplementary File 5 (MOL, 2 KB)
Supplementary File 6 (INCHI, 585 B)
Supplementary File 7 (MOL, 2 KB)
Supplementary File 8 (MOL, 2 KB)
Supplementary File 9 (INCHI, 582 B)
Supplementary File 10 (MOL, 2 KB)
Supplementary File 11 (MOL, 2 KB)
Supplementary File 12 (INCHI, 776 B)
Supplementary File 13 (MOL, 2 KB)
Supplementary File 14 (MOL, 2 KB)
Supplementary File 15 (INCHI, 582 B)
Supplementary File 16 (MOL, 2 KB)
Open AccessCommunication
Synthesis of 6,7-Dihydro-5H-pyrrolo[3,4-b]pyridin-5-one Derivatives
by
Yong-Yao Li, Zhi-Hao Li, Xiao-Ying Huang, Maxwell Ampomah-Wireko, Cedric Dzidzor Kodjo Amengor, En Zhang and Yi-Hong Zhao
Molbank 2026, 2026(2), M2146; https://doi.org/10.3390/M2146 - 10 Mar 2026
Abstract
Owing to their distinctive physicochemical features, their structural analogues of benzene ring bioisosteres, and their strong affinity for biomacromolecules, pyridine derivatives function both as core structural scaffolds in pharmacologically active compounds and as versatile elements for optimizing key drug-like properties, such as water
[...] Read more.
Owing to their distinctive physicochemical features, their structural analogues of benzene ring bioisosteres, and their strong affinity for biomacromolecules, pyridine derivatives function both as core structural scaffolds in pharmacologically active compounds and as versatile elements for optimizing key drug-like properties, such as water solubility, membrane permeability, and metabolic stability. In this study, we synthesized five pyridine-fused heterocyclic compounds using common synthetic intermediates as precursors.
Full article
(This article belongs to the Section Organic Synthesis and Biosynthesis)
►▼
Show Figures

Figure 1
Open AccessShort Note
N-(3,6-Dimethoxy-2-nitrophenyl)acetamide
by
Lina A. Al-Dulaimi, Joseph C. Bear, Jeremy K. Cockcroft, Giuseppe Trigiante and Fawaz Aldabbagh
Molbank 2026, 2026(2), M2147; https://doi.org/10.3390/M2147 - 10 Mar 2026
Abstract
1,4-Dimethoxy-2,3-dinitrobenzene (1) reduction using sodium hydrosulfite resulted in 3,6-dimethoxybenzene-1,2-diamine (2) and 3,6-dimethoxy-2-nitroaniline (3) in 24% and 59% yields, respectively. Nitroaniline 3 was acetylated with acetyl chloride to give N-(3,6-dimethoxy-2-nitrophenyl)acetamide (4) in a 65% yield
[...] Read more.
1,4-Dimethoxy-2,3-dinitrobenzene (1) reduction using sodium hydrosulfite resulted in 3,6-dimethoxybenzene-1,2-diamine (2) and 3,6-dimethoxy-2-nitroaniline (3) in 24% and 59% yields, respectively. Nitroaniline 3 was acetylated with acetyl chloride to give N-(3,6-dimethoxy-2-nitrophenyl)acetamide (4) in a 65% yield and with acetic anhydride to give N-acetyl-N-(3,6-dimethoxy-2-nitrophenyl)acetamide (5) in 78% yield. Novel compounds 4 and 5 were characterized by FT-IR, 1H and 13C-NMR, and HRMS. The X-ray crystal structure of acetamide 4 is also presented.
Full article
(This article belongs to the Collection Heterocycle Reactions)
►▼
Show Figures

Graphical abstract
Open AccessCommunication
Synthesis, Crystal Structure, and Properties of a Dinuclear Zinc(II) Complex Featuring a Bromo-Functionalized Semicarbazone Schiff Base Ligand
by
Cuicui Wang, Jinhua Wang, Yunkai Zhang, Azura A. Rashid and Siew Kooi Ong
Molbank 2026, 2026(2), M2145; https://doi.org/10.3390/M2145 - 5 Mar 2026
Abstract
This study investigates the rational design of a dinuclear zinc(II) coordination polymer, (C36H34Br2N8O4S2Zn2), to explore how halogen substitution and ligand choice modulate structural architecture, contributing to the development of
[...] Read more.
This study investigates the rational design of a dinuclear zinc(II) coordination polymer, (C36H34Br2N8O4S2Zn2), to explore how halogen substitution and ligand choice modulate structural architecture, contributing to the development of functional coordination polymers with tailored properties. The complex was synthesized from a bromo-substituted semicarbazone Schiff base ligand (L1) and a rigid bipyridine linker (L2) under solvothermal conditions, and its structure was elucidated using single-crystal X-ray diffraction (SCXRD), complemented by characterization via powder X-ray diffraction (PXRD), thermogravimetric analysis (TGA), and infrared (IR) spectroscopy. Crystallographic analysis reveals that the complex crystallizes in the triclinic space group P-1, forming discrete dinuclear units where each Zn(II) center adopts a distorted square–pyramidal geometry; these units are extended into one-dimensional chains by bridging L2 ligands and further assembled into a three-dimensional supramolecular network through hydrogen-bonding interactions. PXRD confirms the high phase purity of the bulk material, TGA indicates notable thermal stability up to 130 °C, and IR spectroscopy validates the coordination modes and hydrogen-bonding network. This work elucidates the critical role of the bromo substituent and rigid ancillary ligands in modulating the solid-state structure of the zinc(II) complex. The revealed structure-directing principles provide a valuable reference for the rational design of functional coordination polymers.
Full article
(This article belongs to the Section Structure Determination)
►▼
Show Figures

Figure 1
Open AccessCommunication
Synthesis of Ethyl 2-Amino-6-hydroxy-4,5,6,7-tetrahydro-1-benzothiophene-3-carboxylate and Ethyl 6-(Acetyloxy)-2-amino-4,5,6,7-tetrahydro-1-benzothiophene-3-carboxylate
by
Andrii Yu. Myshastyi, Sergiy V. Vlasov, Hanna I. Severina, Georgiy G. Yakovenko and Andrii R. Khairulin
Molbank 2026, 2026(2), M2144; https://doi.org/10.3390/M2144 - 4 Mar 2026
Abstract
An effective one-step synthetic procedure for preparation of hydroxylated analogues of ethyl 2-amino-4,5,6,7-tetrahydro-1-benzothiophene-3-carboxylate as novel promising multifunctional building blocks for drug discovery based on the Gewald procedure was developed.
Full article
(This article belongs to the Section Organic Synthesis and Biosynthesis)
►▼
Show Figures

Graphical abstract
Open AccessShort Note
(4S*,10aS*,11S*)-4-Hydroxy-2,7,7-trimethyl-11-(4-methylbenzoyl)-7,8-dihydro-10H-4,10a-methano[1,4]oxazino[3,4-d][1,3,5]thiadiazepine-5,10(4H)-dione
by
Nikita A. Tretyakov and Andrey N. Maslivets
Molbank 2026, 2026(2), M2143; https://doi.org/10.3390/M2143 - 3 Mar 2026
Abstract
The reaction of 4,4-dimethyl-8-(4-methylbenzoyl)-3,4-dihydro-1H-pyrrolo[2,1-c][1,4]oxazine-1,6,7-trione with thioacetamide in a 1:1 ratio when refluxed in dichloromethane gives (4S*,10aS*,11S*)-4-hydroxy-2,7,7-trimethyl-11-(4-methylbenzoyl)-7,8-dihydro-10H-4,10a-methano[1,4]oxazino[3,4-d][1,3,5]thiadiazepine-5,10(4H)-dione with a good yield. This compound was fully characterized.
Full article
(This article belongs to the Section Structure Determination)
►▼
Show Figures

Figure 1
Open AccessShort Note
8-Phenyl-13a-(trifluoromethyl)-13aH-benzo[4,5]imidazo[1,2-a]chromeno[3,2-e]pyridine-6-carbonitrile
by
Dmitry V. Osipov, Pavel E. Krasnikov and Vitaly A. Osyanin
Molbank 2026, 2026(1), M2142; https://doi.org/10.3390/M2142 - 23 Feb 2026
Abstract
A DABCO-catalyzed one-pot synthesis of a novel pentacyclic heterocycle featuring an unprecedented benzo[4,5]imidazo[1,2-a]chromeno[3,2-e]pyridine scaffold from 2-(cyanomethyl)benzimidazole and 3-trifluoroacetyl-4-phenyl-4H-chromene has been developed. This hybrid architecture merges three privileged pharmacophores—benzimidazole, chromene, and pyridine—into a rigid, nearly planar π-extended system
[...] Read more.
A DABCO-catalyzed one-pot synthesis of a novel pentacyclic heterocycle featuring an unprecedented benzo[4,5]imidazo[1,2-a]chromeno[3,2-e]pyridine scaffold from 2-(cyanomethyl)benzimidazole and 3-trifluoroacetyl-4-phenyl-4H-chromene has been developed. This hybrid architecture merges three privileged pharmacophores—benzimidazole, chromene, and pyridine—into a rigid, nearly planar π-extended system decorated with trifluoromethyl and nitrile groups. The structure of 8-phenyl-13a-(trifluoromethyl)-13aH-benzo[4,5]imidazo[1,2-a]chromeno[3,2-e]pyridine-6-carbonitrile was unambiguously confirmed through NMR spectroscopy and X-ray diffraction analysis. A plausible mechanism involves Michael addition, hemiaminal formation, ring opening, recyclization, and oxidation.
Full article
(This article belongs to the Collection Heterocycle Reactions)
►▼
Show Figures

Figure 1
Open AccessShort Note
(E)-Methyl 3-(2-amino-4-chloro-6-morpholinopyrimidin-5-yl)acrylate
by
Jorge Trilleras, Efraín Polo-Cuadrado and Jairo Quiroga
Molbank 2026, 2026(1), M2141; https://doi.org/10.3390/M2141 - 16 Feb 2026
Abstract
The synthesis of methyl (E)-3-(2-amino-4-chloro-6-morpholinopyrimidin-5-yl)acrylate 3 was accomplished using a Schlosser-modified Wittig reaction. Complete 1H and 13C NMR signal assignments confirm the formation of E-alkene.
Full article
(This article belongs to the Collection Heterocycle Reactions)
►▼
Show Figures

Figure 1
Highly Accessed Articles
Latest Books
E-Mail Alert
News
Topics
Conferences
Special Issues
Special Issue in
Molbank
Carbonylation Chemistry in the Synthesis of High Value Added Compounds
Guest Editors: Bartolo Gabriele, Raffaella MancusoDeadline: 30 November 2026
Topical Collections
Topical Collection in
Molbank
Molecules from Catalytic Processes
Collection Editor: Nicola Della Ca’




