You are currently viewing a new version of our website. To view the old version click .
Molbank
  • Short Note
  • Open Access

16 October 2025

1,1-Bis(4-ethylphenyl)-propan-1,2-diol

,
,
and
1
Fukuoka Prefectural Kasuga Senior High School, 5-17 Kasugakoen, Kasuga-shi 816-0811, Japan
2
Department of Chemistry, Graduate School and Faculty of Science, Kyushu University, 744 Motooka, Nishi-ku, Fukuoka 819-0395, Japan
3
Department of Chemistry, Jizzakh State Pedagogical University, 4 Sharof Rashidov Street, Jizzakh 130100, Uzbekistan
4
Faculty of Chemistry, National University of Uzbekistan Named After Mirzo Ulugbek, 4 University Street, Tashkent 100174, Uzbekistan
This article belongs to the Section Organic Synthesis and Biosynthesis

Abstract

Diols represent a structurally diverse class of compounds with considerable biological and functional significance. Herein, we describe the synthesis of 1,1-bis(4-ethylphenyl)propan-1,2-diol (BEPP) via a Grignard reaction. The structure of BEPP was unambiguously elucidated by 1H and 13C nuclear magnetic resonance (NMR), heteronuclear multiple-bond correlation (HMBC), high-resolution mass spectrometry (HRMS), and infrared (IR) spectroscopy.

1. Introduction

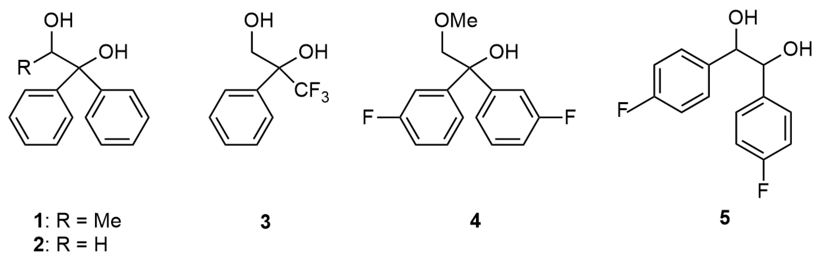
1,2-Diols are versatile organic compounds whose polar functionality, consisting of two hydroxy groups, plays a crucial role in hydrophilic interactions, including intra- and intermolecular hydrogen bonding. Consequently, 1,2-diols are employed in a wide range of industrial products, such as non-toxic antifreezes [1], moisturizers [2], surfactants [3], polyester monomers [4], preservatives [5], dye additives [6], cleaning agents [7], cosmetics [8], and food products [9]. Among these compounds, 1,1-diphenylpropan-1,2-diol (DPPD, (1); Chart 1) has been synthesized and studied for diverse applications, for example, as a stereo-inducing agent in Diels–Alder [10] and glyoxylate–ene reactions [11], and as a chiral host for the formation of inclusion complexes [12,13,14,15]. In contrast, its applications in medicinal chemistry have been limited to a single report in which ferrocene acetals exhibited moderate anticancer activity against T47D and MCF7 cell lines [16]. After remaining largely obscure for a decade, DPPD re-emerged during the COVID-19 pandemic when molecular modeling studies suggested that DPPD (1) and some of its congeners (25, Chart 1) might interact with the SARS-CoV-2 spike glycoprotein and inhibit its activity [17].
Chart 1. Structures of 1,1-diphenyl-propan-1,2-diol (1) and its congeners as potential inhibitors of SARS-CoV-2 spike glycoprotein.
The Department of Chemistry, Faculty of Science, Kyushu University annually accepts approximately four outstanding high school students for a summer program in which selected participants conduct university-level research (the “Excellent Student in Science Project”). One of the authors (I.H., a high school student) developed an interest in organic chemistry through work with K.T. and undertook the synthesis of a p-ethyl derivative of 1 as a new entry into this medicinally important class of compounds. Compound 6, the p-ethyl derivative, was selected primarily for two reasons: the limited budget available and the expectation of few potential side reactions.

2. Results and Discussion

The synthesis was performed according to a reported procedure [10], substituting phenylmagnesium bromide with 4-ethylphenylmagnesium bromide (8). In this study, the less expensive racemic (±)-ethyl lactate was also used as the substrate to investigate the physical properties of the racemic compound (Scheme 1).
Scheme 1. Synthesis of 1,1-bis(4-ethylphenyl)-1,2-propanediol.
For the preparation of the Grignard reagent, a small amount of neat bromide 7 was initially added to a suspension of magnesium to facilitate initiation. Once the spontaneous exothermic reaction commenced, a dilute solution of bromide 7 was added dropwise to afford the corresponding Grignard reagent 8. Next, (±)-ethyl lactate in THF was added to the Grignard reagent 8 at room temperature. TLC analysis indicated formation of the major product; however, after work-up, the crude material remained a syrup even after attempted trituration with cold hexane. By contrast, the analogous reaction of (−)-ethyl lactate with phenylmagnesium bromide afforded a colorless solid. Under the suspicion that the ethyl groups in 6 and/or the racemic nature of the product impeded crystallization, the crude material was purified by silica-gel column chromatography. This procedure furnished the pure diol 6 in 96% yield.
The structure of compound 6 was elucidated by comprehensive spectroscopic analysis. The IR spectrum displayed a broad absorption band at ν = 3441 cm−1, characteristic of O–H stretching vibrations and consistent with the presence of a vicinal diol moiety. Additional absorption bands were observed at ν = 3023, 2964, and 2931 cm−1, corresponding to aromatic and aliphatic C–H stretching modes, respectively (Figure S1, see Supplementary Materials). HRMS (ESI-TOF) of the compound showed an m/z value of 307.1679, in excellent agreement with the calculated value for [M + Na]+ ([C19H24NaO2]+, 307.1669; see Figure S2). These results strongly support the formation of the target diol 6; however, to obtain more definitive evidence, two-dimensional (2D) NMR spectroscopic analysis was performed.
In the 1H NMR spectrum, a doublet at δ 1.11 ppm was assigned to the terminal methyl group of the propyl chain (H1), supported by strong HMBCs with C2 and C3 (Figure S7) as well as a clear COSY correlation with the adjacent methine proton H2 (Figure S5). Two sets of methyl protons from the ethyl substituents (H9 and H9′) resonated at δ 1.19 and 1.21 ppm and exhibited HMBCs with a methylene carbon (C8) and an aromatic carbon (C7). The corresponding methylene protons of the ethyl substituents (H8 and H8′) appeared as two quartets at δ 2.59 and 2.62 ppm and showed cross-peaks with C9 and C9′ (δ 15.5 ppm), C7 and C7′ (δ 142.7 and 143.2 ppm), and C6 and C6′ (δ 127.7 and 128.2 ppm) in the HMBC spectrum. The methine proton H2 appeared as a quartet at δ 4.80 ppm, and eight aromatic protons were observed between δ 7.10 and 7.53 ppm (Figure S3).
In the 13C NMR spectrum, the terminal methyl carbons (C9 and C9′) of the ethyl substituents appeared at δ 15.5 ppm, whereas the terminal methyl carbon (C1) of the propyl chain resonated at δ 16.7 ppm, both consistent with their aliphatic environments. The carbon C2 adjacent to the hydroxy group gave a signal at δ 71.9 ppm, while C3 resonated at δ 79.9 ppm and exhibited HMBCs with H5 and H5′. These assignments were fully supported by COSY and HSQC experiments (Figures S5 and S6). Collectively, comprehensive 1D and 2D NMR spectroscopic analyses unambiguously confirmed the structure of compound 6. This study also demonstrates that a high school student can successfully carry out a highly moisture-sensitive reaction and subsequent chromatographic purification to obtain the product in high yield. A key factor in this success was the effective initiation of the Grignard reagent formation by adding a small amount of bromide prior to dilution.

3. Materials and Methods

3.1. Instrumentation

The IR spectrum was recorded on a JASCO FT/IR-4100 spectrometer. 1H and 13C NMR spectra were recorded on JEOL JNM-ECA 600 and 400 MHz spectrometers. Chemical shifts are reported in ppm relative to tetramethylsilane (TMS) with reference to the internal residual solvent signals [1H NMR: CDCl3 (δ 7.26); 13C NMR: CDCl3 (δ 47.3–48.1)]. The following abbreviations are used for signal multiplicities: s = singlet, d = doublet, t = triplet, q = quartet. The high-resolution mass spectrum (HRMS) was recorded on a Bruker microTOF II instrument.

3.2. 1,1-Bis(4-ethylphenyl)-1,2-propanediol

Magnesium turnings (1.80 g, 74.1 mmol) were placed in a 200 mL three-necked round-bottomed flask equipped with a magnetic stir bar, a Dimroth condenser, rubber septa, and a dropping funnel containing a small magnetic stir bar. A three-way stopcock and rubber septa were attached to the top of the condenser and dropping funnel, respectively, and a nitrogen-filled balloon was connected to the stopcock. The apparatus was evacuated and flushed with nitrogen. THF (5 mL) and 1-bromo-4-ethylbenzene (7, 9.00 mL, 65.3 mmol) were introduced into the dropping funnel by syringe and mixed using an external magnet. THF (5 mL) was then added to the magnesium, followed by the addition of bromide 7 (1.00 mL, 0.726 mmol) through the septum. Upon initiation of the exothermic reaction, the gently boiling mixture was diluted with THF (5 mL). The THF solution of 7 in the dropping funnel was added dropwise over 16 min to the reaction flask, and the funnel was rinsed with THF (1 mL). After complete addition, the mixture was stirred at room temperature for 2 h 45 min to afford a dark gray suspension, which was then warmed with a hair dryer to produce a gray Grignard solution (8).
Separately, a solution of (±)-ethyl lactate (2.33 mL, 20.3 mmol) in THF (9 mL) was prepared in the dropping funnel. This solution was added dropwise to the Grignard reagent over a period of 7 min, and the funnel was rinsed with THF (2 × 1 mL). The reaction mixture was stirred for an additional 30 min. After TLC indicated completion, the mixture was poured into 10% NH4Cl aq. (90.0 mL, 168 mmol) in a 300 mL Erlenmeyer flask, stirred for 7 min, and extracted with ethyl acetate (3 × 30 mL). The combined organic extracts were washed with brine (30 mL), dried over anhydrous Na2SO4, filtered, concentrated, and purified by column chromatography (hexane/ethyl acetate = 30/1 → 6/1) to afford compound 6 (5.56 g, 19.6 mmol, 96%) as a colorless syrup.
Rf = 0.32 (Hexane/EtOAc = 5/1); IR (neat), 3441, 2964, 2931, 2872, 2360, 1906, 1714, 1509, 1455, 1372, 1312, 1265, 1168 cm−1; 1H NMR (400 MHz, CDCl3) δ: 7.52 (d, J = 8.4 Hz, 2H, arom), 7.34 (d, J = 8.0 Hz, 2H, arom), 7.18 (d, J = 8.4 Hz, 2H, arom), 7.11 (d, J = 8.0 Hz, 2H, arom), 4.79 (q, J = 6.0 Hz, 1H, CH3CHOH), 2.62 (q, J = 7.6 Hz, 2H, PhCH2CH3), 2.59 (q, J = 7.6 Hz, 2H, PhCH2CH3), 1.21 (t, J = 7.6 Hz, 3H, PhCH2CH3), 1.19 (t, J = 7.6 Hz, 3H, PhCH2CH3) 1.11 (d, J = 6.0 Hz, 3H, CH3CHOH) ppm; 13C NMR (150 MHz, CDCl3) δ: 143.2, 143.1, 143.6, 143.5, 128.2, 127.7, 126.3, 125.6, 79.9, 71.9, 28.5, 16.7, 15.5 ppm; HRMS (ESI-TOF) m/z [M + Na]+ calcd for C19H24NaO2 = 307.1669, found 307.1679.

4. Conclusions

In conclusion, 1,1-bis(4-ethylphenyl)-1,2-propanediol (6) was successfully synthesized by a high school student via a moisture-sensitive Grignard reaction. The pure product 6 was obtained as a colorless viscous oil. Further studies on the properties and potential applications of this compound are currently underway in our laboratory.

Supplementary Materials

The following supporting information for the characterization of 6 can be downloaded online: Molfile of Compound 6; Figure S1: IR of compound 6; Figure S2: HRMS of compound 6; Figure S3: 1H NMR of compound 6 (400 MHz in CDCl3); Figure S4: 13C NMR of compound 6 (150 MHzin CDCl3,); Figure S5: COSY NMR of compound 6 (600 MHzin CDCl3); Figure S6: HSQC NMR of compound 6 (600 MHzin CDCl3); Figure S7: HMBC NMR of compound 6 (600 MHzin CDCl3).

Author Contributions

Conceptualization, I.H. and K.T.; methodology, K.T.; validation, M.U. and K.T.; formal analysis, I.H. and M.U.; investigation, I.H. and M.U.; resources, K.T.; data curation, M.U. and S.T.; writing—original draft preparation, I.H., M.U. and S.T.; writing—review and editing, K.T.; visualization, I.H. and M.U.; supervision, K.T.; project administration, K.T.; funding acquisition, K.T. All authors have read and agreed to the published version of the manuscript.

Funding

This work was supported by the Excellent Student in Science Project (Faculty of Science, Kyushu University, Japan).

Data Availability Statement

The original contributions presented in this study are included in the article/Supplementary Materials. Further inquiries can be directed to the corresponding author.

Acknowledgments

We are grateful to the Bioorganic Chemistry Laboratory (Department of Chemistry, Faculty of Science, Kyushu University, Japan) for providing access to HRMS and IR instruments. The authors thank Martin J. Lear (Department of Chemistry, School of Natural Sciences, University of Lincoln, UK) for his valuable comments on the English and graphics of this manuscript. M.U. acknowledges the Scholarship Program to Study in Japan from the Konosuke Matsushita Foundation (Japan). I.H. acknowledges support from the Excellent Student in Science Project (Faculty of Science, Kyushu University).

Conflicts of Interest

The authors declare no conflicts of interest.

References

  1. Bagherian, G.; Chamjangali, M.A.; Goudarzi, N.; Namazi, N. Selective Spectrophotometric Determination of Periodate Based on Its Reaction with Methylene Green and Its Application to Indirect Determination of Ethylene Glycol and Glycerol. Spectrochim. Acta A Mol. Biomol. Spectrosc. 2010, 76, 29–32. [Google Scholar] [CrossRef] [PubMed]
  2. Song, U.; Kim, J. Assessment of the Potential Risk of 1,2-Hexanediol Using Phytotoxicity and Cytotoxicity Testing. Ecotoxicol. Environ. Saf. 2020, 201, 110796. [Google Scholar] [CrossRef] [PubMed]
  3. Chowdhury, M.S.; Zhang, X.; Amini, L.; Dey, P.; Singh, A.K.; Faghani, A.; Schmueck-Henneresse, M.; Haag, R. Functional Surfactants for Molecular Fishing, Capsule Creation, and Single-Cell Gene Expression. Nano-Micro Lett. 2021, 13, 147. [Google Scholar] [CrossRef] [PubMed]
  4. Arnaud, S.P.; Wu, L.; Wong Chang, M.-A.; Comerford, J.W.; Farmer, T.J.; Schmid, M.; Chang, F.; Li, Z.; Mascal, M. New Bio-Based Monomers: Tuneable Polyester Properties Using Branched Diols from Biomass. Faraday Discuss. 2017, 202, 61–77. [Google Scholar] [CrossRef] [PubMed]
  5. Sigg, M.; Daniels, R. Investigations on Alkanediols as Alternative Preservatives in a Nonionic Hydrophilic Cream. Pharmaceutics 2020, 12, 1117. [Google Scholar] [CrossRef] [PubMed]
  6. Gómez-Gil, S.; Suárez-Pantiga, S.; Pedrosa, M.R.; Sanz, R. Molybdenum-Catalyzed Direct Synthesis of Pyrroles from Nitroarenes with Glycols as Reductants. Adv. Synth. Catal. 2025, 367, e202401170. [Google Scholar] [CrossRef]
  7. Nalawade, T.; Bhat, K.; Sogi, S.H.P. Bactericidal Activity of Propylene Glycol, Glycerine, Polyethylene Glycol 400, and Polyethylene Glycol 1000 against Selected Microorganisms. J. Int. Soc. Prev. Community Dent. 2015, 5, 114. [Google Scholar] [CrossRef] [PubMed]
  8. Johnson, W.; Bergfeld, W.F.; Belsito, D.V.; Hill, R.A.; Klaassen, C.D.; Liebler, D.; Marks, J.G.; Shank, R.C.; Slaga, T.J.; Snyder, P.W.; et al. Safety Assessment of 1,2-Glycols as Used in Cosmetics. Int. J. Toxicol. 2012, 31, 147S–168S. [Google Scholar] [CrossRef] [PubMed]
  9. EFSA Panel on Food Additives and Nutrient Sources added to Food (ANS); Younes, M.; Aggett, P.; Aguilar, F.; Crebelli, R.; Dusemund, B.; Filipič, M.; Frutos, M.J.; Galtier, P.; Gott, D.; et al. Re-evaluation of Propane-1,2-diol (E 1520) as a Food Additive. EFSA J. 2018, 16, e05235. [Google Scholar] [CrossRef] [PubMed]
  10. Rebiere, F.; Riant, O.; Kagan, H.B. Asymmetric Diels-Alder Reaction Catalysed by Some Chiral Lewis Acids. Tetrahedron Asymmetry 1990, 1, 199–214. [Google Scholar] [CrossRef]
  11. Mikami, K.; Terada, M.; Nakai, T. Catalytic Asymmetric Glyoxylate-Ene Reaction: A Practical Access to Alpha-Hydroxy Esters in High Enantiomeric Purities. J. Am. Chem. Soc. 1990, 112, 3949–3954. [Google Scholar] [CrossRef]
  12. Weber, E.; Wimmer, C.; Llamas-Saiz, A.L.; Foces-Foces, C. New Chiral Selectors Derived from Lactic Acid: Cocrystalline and Sorptive Optical Resolutions, and the Crystal Structure of an Inclusion Complex with 3-Methylcyclohexanone. J. Chem. Soc. Chem. Commun. 1992, 733–735. [Google Scholar] [CrossRef]
  13. Weber, E.; Wimmer, C. Optical Resolution by Crystalline Inclusion Formation Using New Lactic Acid Derived Hosts. Chirality 1993, 5, 315–319. [Google Scholar] [CrossRef]
  14. Llamas-Saiz, A.L.; Foces-Foces, C.; Weber, E.; Wimmer, C. Chiral Crystalline Hosts Derived from Lactic Acid. X-ray Crystal Structures of Optically Resolved and Racemic Host Compound 1,1-Diphenyl-1,2-propanediol and a 2:1 Complex between Optically Resolved Host and 3-Picoline. Supramol. Chem. 1993, 2, 215–223. [Google Scholar] [CrossRef]
  15. Reinbold, J.; Buhlmann, K.; Cammann, K.; Wierig, A.; Wimmer, C.; Weber, E. Inclusion of Organic Vapours by Crys-talline Hosts. Chemical-Sensitive Coatings for Sensor Applications. Sens. Actuators B Chem. 1994, 18, 77–81. [Google Scholar] [CrossRef]
  16. Castillo-Ramirez, J.; Echevarría, I.; Santiago, J.; Pérez-Torres, M.; Rivera-Claudio, M. Synthesis and Characterization of Ferrocene Acetals and Evaluation of Their Antineoplastic Properties by Using Breast Cancer Cell Lines In Vitro. Synthesis 2013, 45, 1853–1856. [Google Scholar] [CrossRef]
  17. Jomhori, M.; Mosaddeghi, H. Molecular Modeling of Natural and Synthesized Inhibitors against SARS-CoV-2 Spike Glycoprotein. Res. Biomed. Eng. 2022, 38, 71–86. [Google Scholar] [CrossRef]
Disclaimer/Publisher’s Note: The statements, opinions and data contained in all publications are solely those of the individual author(s) and contributor(s) and not of MDPI and/or the editor(s). MDPI and/or the editor(s) disclaim responsibility for any injury to people or property resulting from any ideas, methods, instructions or products referred to in the content.

Article Metrics

Citations

Article Access Statistics

Multiple requests from the same IP address are counted as one view.