(Z)-6-((Dimethylamino)methylene)-2-methyl-2,3-dihydroimidazo[2,1-b]thiazol-5(6H)-one
Abstract
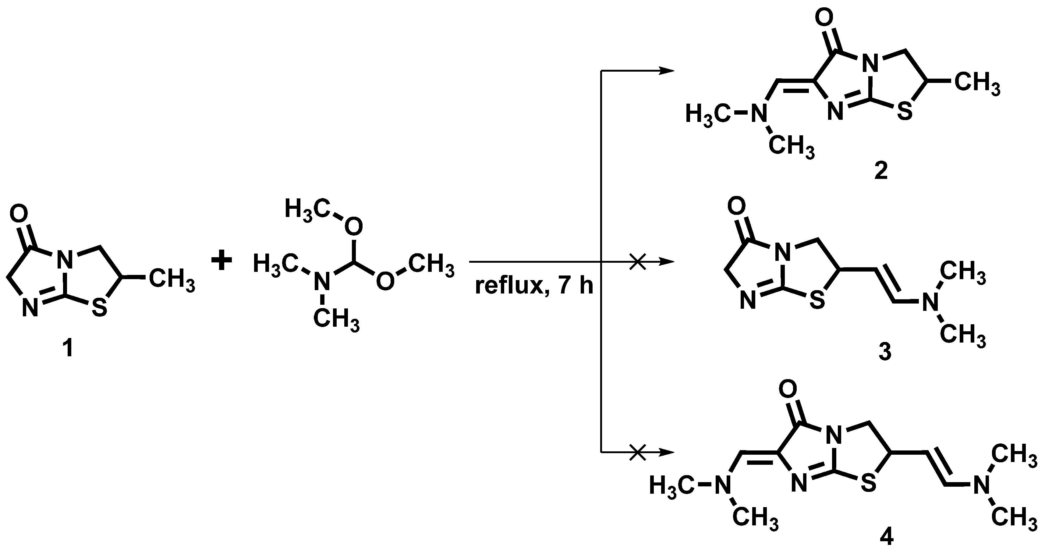
1. Introduction
2. Results and Discussion
Synthesis of the Title Compound 2
3. Materials and Methods
4. Conclusions
Supplementary Materials
Author Contributions
Funding
Data Availability Statement
Acknowledgments
Conflicts of Interest
References
- Fascio, M.L.; Errea, M.I.; D’ACcorso, N.B. Imidazothiazole and Related Heterocyclic Systems. Synthesis, Chemical and Biological Properties. Eur. J. Med. Chem. 2015, 90, 666–683. [Google Scholar] [CrossRef] [PubMed]
- Abdulla, C.M.A.; Neetha, M.; Aneeja, T.; Anilkumar, G. Synthesis and Applications of Imidazothiazoles: An Overview. ChemistrySelect 2020, 5, 10374–10386. [Google Scholar] [CrossRef]
- Kushwaha, P.; Rashi; Bhardwaj, A.; Khan, D. Synthetic Approaches Toward Imidazo-Fused Heterocycles: A Comprehensive Review. J. Heterocycl. Chem. 2024, 61, 1807–1869. [Google Scholar] [CrossRef]
- Shareef, M.A.; Khan, I.; Babu, B.N.; Kamal, A. A Comprehensive Review on the Therapeutic Versatility of Imidazo [2,1-b]thiazoles. Curr. Med. Chem. 2020, 27, 6864–6887. [Google Scholar] [CrossRef]
- Saliyeva, L.N.; Diachenko, I.V.; Vas’kEvich, R.I.; Slyvka, N.Y.; Vovk, M.V. Imidazothiazoles and their Hydrogenated Analogs: Methods of Synthesis and Biomedical Potential. Chem. Heterocycl. Compd. 2020, 56, 1394–1407. [Google Scholar] [CrossRef]
- Abdel-Maksoud, M.S.; Kim, M.-R.; El-Gamal, M.I.; El-Din, M.M.G.; Tae, J.; Choi, H.S.; Lee, K.-T.; Yoo, K.H.; Oh, C.-H. Design, Synthesis, in Vitro Antiproliferative Evaluation, and Kinase Inhibitory Effects of a New Series of Imidazo[2,1-b]thiazole Derivatives. Eur. J. Med. Chem. 2015, 95, 453–463. [Google Scholar] [CrossRef] [PubMed]
- Morigi, R.; Locatelli, A.; Leoni, A.; Rambaldi, M.; Bortolozzi, R.; Mattiuzzo, E.; Ronca, R.; Maccarinelli, F.; Hamel, E.; Bai, R.; et al. Synthesis, in Vitro and in Vivo Biological Evaluation of Substituted 3-(5-imidazo[2,1-b]thiazolylmethylene)-2-indolinones as New Potent Anticancer Agents. Eur. J. Med. Chem. 2019, 166, 514–530. [Google Scholar] [CrossRef] [PubMed]
- Sbenati, R.M.; Semreen, M.H.; Semreen, A.M.; Shehata, M.K.; Alsaghir, F.M.; El-Gamal, M.I. Evaluation of Imidazo[2,1-b]thiazole-based Anticancer Agents in One Decade (2011–2020): Current Status and Future Prospects. Bioorganic Med. Chem. 2021, 29, 115897. [Google Scholar] [CrossRef]
- Moharram, E.A.; El-Sayed, S.M.; Ghabbour, H.A.; El-Subbagh, H.I. Synthesis, Molecular Modeling Simulations and Anticancer Activity of Some New Imidazo[2,1-b]thiazole Analogues as EGFR/HER2 and DHFR Inhibitors. Bioorganic Chem. 2024, 150, 107538. [Google Scholar] [CrossRef]
- Samala, G.; Devi, P.B.; Saxena, S.; Meda, N.; Yogeeswari, P.; Sriram, D. Design, Synthesis and Biological evaluation of Imidazo[2,1-b]thiazole and Benzo[d]imidazo[2,1-b]thiazole Derivatives as Mycobacterium Tuberculosis Pantothenate Synthetase Inhibitors. Bioorganic Med. Chem. 2016, 24, 1298–1307. [Google Scholar] [CrossRef]
- Saliyeva, L.; Holota, S.; Grozav, A.; Yakovychuk, N.; Litvinchuk, M.; Slyvka, N.; Vovk, M. Synthesis and Evaluation of Antimicrobial and Anti-inflammatory Activity of 6-aryliden-2-methyl-2,3-dihydroimidazo[2,1-b][1,3]thiazoles. Biointerface Res. Appl. Chem. 2021, 12, 292–303. [Google Scholar] [CrossRef]
- Danyliuk, I.; Kovalenko, N.; Tolmachova, V.; Kovtun, O.; Saliyeva, L.; Slyvka, N.; Holota, S.; Kutrov, G.; Tsapko, M.; Vovk, M. Synthesis and Antioxidant Activity Evaluation of Some New 4-thiomethyl functionalised 1,3-thiazoles. Curr. Chem. Lett. 2023, 12, 667–676. [Google Scholar] [CrossRef]
- Slyvka, N.; Saliyeva, L.; Holota, S.; Khyluk, D.; Tkachuk, V.; Vovk, M. Sulfones of Pyridinyloxy-Substituted Imidazo[2,1-b][1,3]thiazines: Synthesis, Anti-Inflammatory Activity Evaluation In Vivo and Docking Studies. Lett. Drug Des. Discov. 2022, 20, 1867–1875. [Google Scholar] [CrossRef]
- Kamboj, P.; Imtiyaz, K.; A Rizvi, M.; Nath, V.; Kumar, V.; Husain, A.; Amir, M. Design, Synthesis, Biological Assessment and Molecular Modeling Studies of Novel imidazothiazole-thiazolidinone Hybrids as Potential Anticancer and Anti-inflammatory Agents. Sci. Rep. 2024, 14, 8547. [Google Scholar] [CrossRef]
- Bhongade, B.A.; Talath, S.; Gadad, R.A.; Gadad, A.K. Biological Activities of imidazo[2,1-b][1,3,4]thiadiazole Derivatives: A Review. J. Saudi Chem. Soc. 2016, 20, S463–S475. [Google Scholar] [CrossRef]
- Mehra, A.; Sangwan, R.; Mehra, A.; Sharma, S.; Wadhwa, P.; Mittal, A. Therapeutic Charisma of Imidazo [2,1-b] [1,3,4]-Thiadiazole Analogues: A Patent Review. Pharm. Pat. Anal. 2023, 12, 177–191. [Google Scholar] [CrossRef]
- Gümüş, M.; Koca, I. Enamines and Dimethylamino Imines as Building Blocks in Heterocyclic Synthesis: Reactions of DMF-DMA Reagent with Different Functional Groups. ChemistrySelect 2020, 5, 12377–12397. [Google Scholar] [CrossRef]
- Bracher, F. Dimethylformamide Acetals and Bredereck’s Reagent as Building Blocks in Natural Products Total Synthesis. Mini-Rev. Org. Chem. 2020, 17, 47–66. [Google Scholar] [CrossRef]
- Jakše, R.; Rečnik, S.; Svete, J.; Golobič, A.; Golič, L.; Stanovnik, B. A Simple Synthesis of Aplysinopsin Analogues by Dimethylamine Substitution in N,N-(dimethylamino)methylidene Derivatives of Five-membered Heterocycles. Tetrahedron 2001, 57, 8395–8403. [Google Scholar] [CrossRef]
- El-Borai, M.A.; Rizk, H.F.; Beltagy, D.M.; El-Deeb, I.Y. Microwave-assisted Synthesis of Some New Pyrazolopyridines and Their Antioxidant, Antitumor and Antimicrobial Activities. Eur. J. Med. Chem. 2013, 66, 415–422. [Google Scholar] [CrossRef] [PubMed]
- Kobayashi, Y.; Nakatani, T.; Tanaka, R.; Okada, M.; Torii, E.; Harayama, T.; Kimachi, T. α-Dimethylaminomethylenation-induced Houben–Hoesch-type Cyclization of Cyanoacetanilides: A Practical Synthesis of 3-formyl-4-hydroxyquinolin-2(1H)-ones. Tetrahedron 2011, 67, 3457–3463. [Google Scholar] [CrossRef]
- Stanovnik, B.; Jakse, R.; Groselj, U.; Sorsak, G.; Svete, J. Synthesis of Thioaplysinopsin Analogs Derived from 5-Dimethylaminomethylidene-2-thioxo-1,3-thiazol-4-ones. HETEROCYCLES 2007, 73, 743–750. [Google Scholar] [CrossRef]
- Fahim, A.M.; Magd, E.E.A.-E. Enhancement of Molecular Imprinted Polymer as Organic Fillers on Bagasse Cellulose Fibers with Biological Evaluation and Computational Calculations. J. Mol. Struct. 2021, 1241, 130660. [Google Scholar] [CrossRef]
- Frolov, A.I.; Ostapchuk, E.N.; Pashenko, A.E.; Chuchvera, Y.O.; Rusanov, E.B.; Volochnyuk, D.M.; Ryabukhin, S.V. Selective α-Methylation of Ketones. J. Org. Chem. 2021, 86, 7333–7346. [Google Scholar] [CrossRef]
- Ciber, L.; Požgan, F.; Brodnik, H.; Štefane, B.; Svete, J.; Grošelj, U. Synthesis and Catalytic Activity of Organocatalysts Based on Enaminone and Benzenediamine Hydrogen Bond Donors. Catalysts 2022, 12, 1132. [Google Scholar] [CrossRef]
- Myshko, A.; Mrug, G.; Kondratyuk, K.; Demydchuk, B.; Bondarenko, S.; Frasinyuk, M. An Expedient Synthesis of Functionalized Pyrazole-Based Aurone Analogs. ChemistrySelect 2023, 8, e202300257. [Google Scholar] [CrossRef]
- Stefanache, A.; Marcinschi, A.; Marin, G.-A.; Mitran, A.-M.; Lungu, I.I.; Miftode, A.M.; Crivoi, F.; Lacatusu, D.; Baican, M.; Cioanca, O.; et al. Green Chemistry Approaches in Pharmaceutical Synthesis: Sustainable Methods for Drug Development. Appliedchem 2025, 5, 13. [Google Scholar] [CrossRef]
- Saliyeva, L.M.; Slyvka, N.Y.; Mel’nyk, D.A.; Rusanov, E.B.; Vas’kevich, R.I.; Vovk, M.V. Synthesis of Spiro[imidazo[2,1-b][1,3]thiazole-6,3′-pyrrolidine] Derivatives. Chem. Heterocycl. Compd. 2018, 54, 130–137. [Google Scholar] [CrossRef]


Disclaimer/Publisher’s Note: The statements, opinions and data contained in all publications are solely those of the individual author(s) and contributor(s) and not of MDPI and/or the editor(s). MDPI and/or the editor(s) disclaim responsibility for any injury to people or property resulting from any ideas, methods, instructions or products referred to in the content. |
© 2025 by the authors. Licensee MDPI, Basel, Switzerland. This article is an open access article distributed under the terms and conditions of the Creative Commons Attribution (CC BY) license (https://creativecommons.org/licenses/by/4.0/).
Share and Cite
Saliyeva, L.; Holota, S.; Slyvka, N.; Vovk, M. (Z)-6-((Dimethylamino)methylene)-2-methyl-2,3-dihydroimidazo[2,1-b]thiazol-5(6H)-one. Molbank 2025, 2025, M2081. https://doi.org/10.3390/M2081
Saliyeva L, Holota S, Slyvka N, Vovk M. (Z)-6-((Dimethylamino)methylene)-2-methyl-2,3-dihydroimidazo[2,1-b]thiazol-5(6H)-one. Molbank. 2025; 2025(4):M2081. https://doi.org/10.3390/M2081
Chicago/Turabian StyleSaliyeva, Lesya, Serhii Holota, Nataliia Slyvka, and Mykhailo Vovk. 2025. "(Z)-6-((Dimethylamino)methylene)-2-methyl-2,3-dihydroimidazo[2,1-b]thiazol-5(6H)-one" Molbank 2025, no. 4: M2081. https://doi.org/10.3390/M2081
APA StyleSaliyeva, L., Holota, S., Slyvka, N., & Vovk, M. (2025). (Z)-6-((Dimethylamino)methylene)-2-methyl-2,3-dihydroimidazo[2,1-b]thiazol-5(6H)-one. Molbank, 2025(4), M2081. https://doi.org/10.3390/M2081

