(±)-2-(4-Isobutylphenyl)-N-(naphthalen-1-yl)propanamide
Abstract
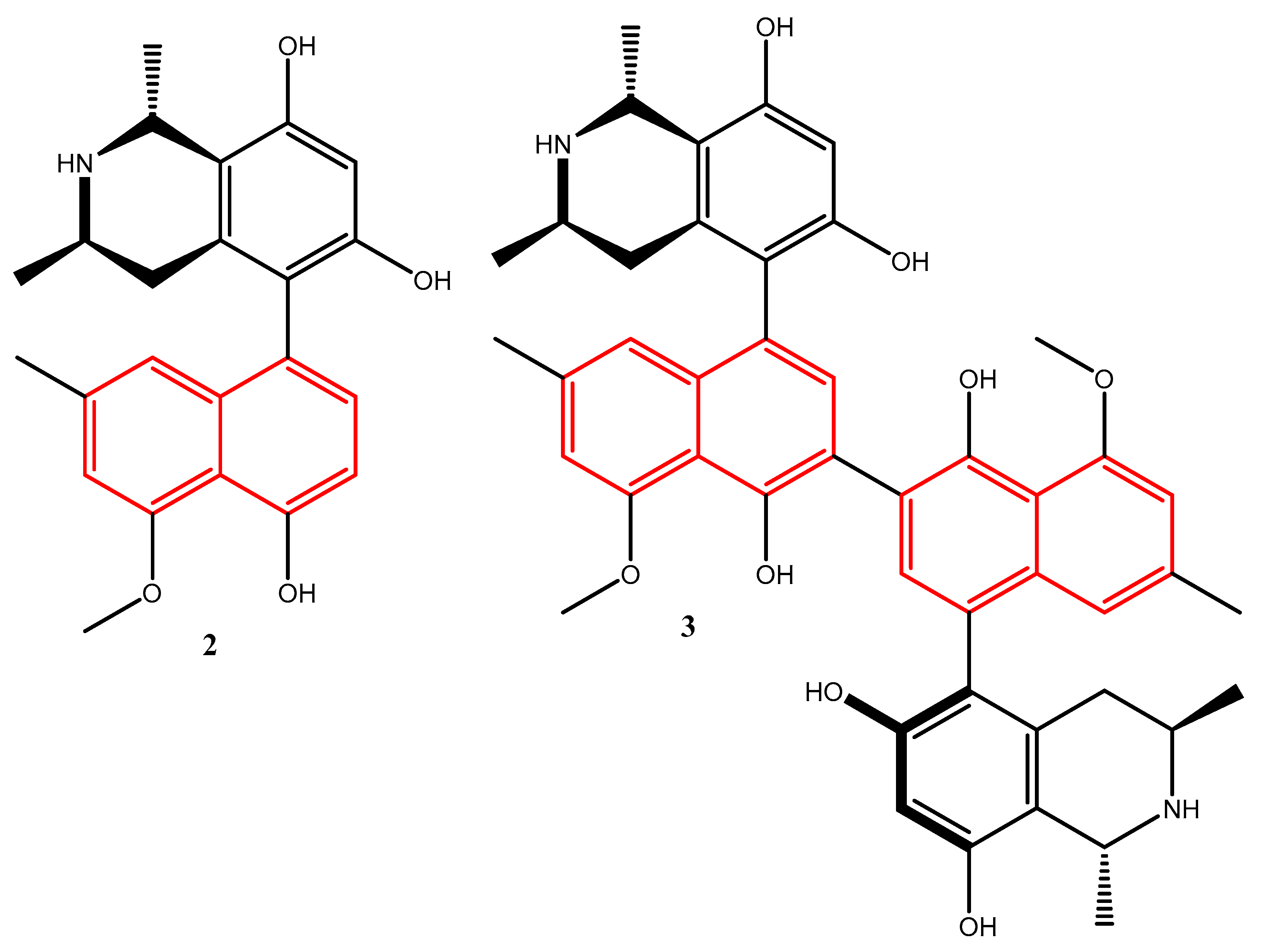
1. Introduction
2. Results
Synthesis
3. Materials and Methods
3.1. Synthesis of 2-(4-Isobutylphenyl)-N-(naphthalen-1-yl)propanamide 5
3.2. 2-(4-Isobutylphenyl)-N-(naphthalen-1-yl)propanamide 5
Supplementary Materials
Author Contributions
Funding
Data Availability Statement
Acknowledgments
Conflicts of Interest
References
- PRAC Recommends Updating Advice on Use of High-Dose Ibuprofen. Available online: https://www.ema.europa.eu/en/documents/press-release/prac-recommends-updating-advice-use-high-dose-ibuprofen_en.pdf (accessed on 17 September 2025).
- Shah, N.; Avula, S.; Karim, N.; Ul Islam, N.; Batiha, G.; Bin Muhsinah, A.; Khan, A.; Al-Harrasi, A. Bio-oriented synthesis of ibuprofen derivatives for enhancement efficacy in post-operative and chronic inflammatory pain models. RSC Adv. 2023, 13, 12518–12528. [Google Scholar] [CrossRef] [PubMed]
- Abbas, A.M.; Nasrallah, H.H.; Aboelmagd, A.; Kishk, S.M.; Boyd, W.C.; Kalil, H.; Orabi, A.S. Design, Synthesis, Anti-Inflammatory Activity, DFT Modeling and Docking Study of New Ibuprofen Derivatives. Int. J. Mol. Sci. 2024, 25, 3558. [Google Scholar] [CrossRef] [PubMed]
- Manolov, S.; Ivanov, I.; Bojilov, D. Synthesis of New 1,2,3,4-Tetrahydroquinoline Hybrid of Ibuprofen and Its Biological Evaluation. Molbank 2022, 2022, M1350. [Google Scholar] [CrossRef]
- Ding, Z.; Zhang, J.; Fang, T.; Zhou, G.; Tang, X.; Wang, Y.; Liu, X. New insights into the degradation mechanism of ibuprofen in the UV/H2O2 process: Role of natural dissolved matter in hydrogen transfer reactions. Phys. Chem. Chem. Phys. 2023, 25, 30687–30696. [Google Scholar] [CrossRef] [PubMed]
- de Kining, C.; Rousseau, A.; van Otterlo, W. Modern methods for the synthesis of substituted naphthalenes. Tetrahedron 2003, 59, 7–36. [Google Scholar] [CrossRef]
- Manfredi, K.; Hallock, Y.; Blunt, J.; Cardellina, J.; Schäffer, M.; Gulden, K.; Bringmann, G.; Lee, A.; Clardy, J.; François, G.; et al. Korupensamines A–D, Novel Antimalarial Alkaloids from Ancistrocladus korupensis. J. Org. Chem. 1994, 59, 6349–6355. [Google Scholar] [CrossRef]
- Sayed, A.; Ibrahim, A.; Tajuddeen, N.; Seibel, J.; Bodem, J.; Geiger, N.; Striffler, K.; Bringmann, G.; Abdelmohsen, U. Korupensamine A, but not its atropisomer, korupensamine B, inhibits SARS-CoV-2 in vitro by targeting its main protease (Mpro). Eur. J. Men. Chem. 2023, 251, 115226. [Google Scholar] [CrossRef] [PubMed]
- Cook, L.; de Koning, B.; Fernandes, M.; Michael, J.; van Otterlo, W. 6,8-Dimethoxy-1,3-trans-dimethylisochroman-5-yl diethyl phosphate. Acta Cryst. 2002, E58, 0440–0441. [Google Scholar] [CrossRef]
- de Koning, C.; Michael, J.; van Otterlo, W. Synthesis of an isochroman analogue of the michellamines. Tetrahedron Lett. 1999, 40, 3037–3040. [Google Scholar] [CrossRef]
- Bringmann, G.; Steinert, C.; Feineis, D.; Mudogo, V.; Betzin, J.; Scheller, C. HIV-inhibitory michellamine-type dimeric naphthylisoquinoline alkaloids from the Central African liana Ancistrocladus congolensis. Phytochemistry 2016, 128, 71–81. [Google Scholar] [CrossRef] [PubMed]
- Hehrhofer, A.; Petroni, S.; Bacher, M.; Kohout, M.; Schachamayr, D.; Malyshenko, A.; Resenau, T.; Cipolla, L.; Hettegger, H. Covalent anchoring of a cellulose per(phenyl carbamate) chiral selector onto silica gel through alkyne-azide click chemistry and its utilization in HPLC. Cellulose 2025, 32, 5247–5261. [Google Scholar] [CrossRef]




Disclaimer/Publisher’s Note: The statements, opinions and data contained in all publications are solely those of the individual author(s) and contributor(s) and not of MDPI and/or the editor(s). MDPI and/or the editor(s) disclaim responsibility for any injury to people or property resulting from any ideas, methods, instructions or products referred to in the content. |
© 2025 by the authors. Licensee MDPI, Basel, Switzerland. This article is an open access article distributed under the terms and conditions of the Creative Commons Attribution (CC BY) license (https://creativecommons.org/licenses/by/4.0/).
Share and Cite
Dimitrova, D.; Ivanov, I.; Manolov, S.; Bojilov, D. (±)-2-(4-Isobutylphenyl)-N-(naphthalen-1-yl)propanamide. Molbank 2025, 2025, M2065. https://doi.org/10.3390/M2065
Dimitrova D, Ivanov I, Manolov S, Bojilov D. (±)-2-(4-Isobutylphenyl)-N-(naphthalen-1-yl)propanamide. Molbank. 2025; 2025(4):M2065. https://doi.org/10.3390/M2065
Chicago/Turabian StyleDimitrova, Diyana, Iliyan Ivanov, Stanimir Manolov, and Dimitar Bojilov. 2025. "(±)-2-(4-Isobutylphenyl)-N-(naphthalen-1-yl)propanamide" Molbank 2025, no. 4: M2065. https://doi.org/10.3390/M2065
APA StyleDimitrova, D., Ivanov, I., Manolov, S., & Bojilov, D. (2025). (±)-2-(4-Isobutylphenyl)-N-(naphthalen-1-yl)propanamide. Molbank, 2025(4), M2065. https://doi.org/10.3390/M2065

