-
1-[4-(4-Chlorophenyl)piperazin-1-yl]-2-[(4-phenyl-4H-1,2,4-triazol-3-yl)sulfanyl]ethan-1-one -
7,7′-(1,4-Phenylene)bis(2-benzyl-3-(3,4-dihydroisoquinolin-2(1H)-yl)-6-(4-methoxybenzyl)-6,7-dihydro-5H-pyrrolo[3,4-b]pyridin-5-one) -
P,P,P′,P′-Tetraisopropyl(1,4-phenylenebis(hydroxymethylene))bis(phosphonate)
Journal Description
Molbank
Molbank
is an international, peer-reviewed, open access journal comprised of a unique collection of one-compound-per-paper short notes on synthetic compounds and natural products published bimonthly online by MDPI.
- Open Access— free for readers, with article processing charges (APC) paid by authors or their institutions.
- High Visibility: indexed within Scopus, ESCI (Web of Science), Reaxys, CAPlus / SciFinder, and other databases.
- Rapid Publication: manuscripts are peer-reviewed and a first decision is provided to authors approximately 12.7 days after submission; acceptance to publication is undertaken in 2.7 days (median values for papers published in this journal in the second half of 2025).
- Recognition of Reviewers: reviewers who provide timely, thorough peer-review reports receive vouchers entitling them to a discount on the APC of their next publication in any MDPI journal, in appreciation of the work done.
Impact Factor:
0.4 (2024)
Latest Articles
(2R,3R,5R,6S)-5-Bromo-2-{[(2R,3R,5R)-3-bromo-5-(propa-1,2-dien-1-yl)tetrahydro-furan-2-yl]methyl}-6-ethyltetrahydro-2H-pyran-3-ol
Molbank 2026, 2026(1), M2137; https://doi.org/10.3390/M2137 - 9 Feb 2026
Abstract
As a part of an SAR study aimed at testing the antitumor activity of some C15 acetogenins related to mycalin A, we report here the synthesis of the C-1 debromo-derivative of laurenciallene, a substance recently isolated from the red alga Laurencia obtusa
[...] Read more.
As a part of an SAR study aimed at testing the antitumor activity of some C15 acetogenins related to mycalin A, we report here the synthesis of the C-1 debromo-derivative of laurenciallene, a substance recently isolated from the red alga Laurencia obtusa. This new substance has been obtained by the selective, reductive debromination of the terminal bromoallene moiety of laurenciallene with Zn/AcOH. Its structure has been fully characterized by spectral methods, including 2D-NMR spectra.
Full article
(This article belongs to the Section Organic Synthesis and Biosynthesis)
►
Show Figures
Open AccessCommunication
Synthesis and Characteristics of New 3-(Dichloromethyl)-2-nitro-6,7-dihydro-1-benzofuran-4(5H)-ones
by
Ilia A. Pilipenko, Olga Yu. Ozerova, Oleg P. Demidov, Ruslan I. Baichurin, Oussama A. Mammeri and Sergey V. Makarenko
Molbank 2026, 2026(1), M2134; https://doi.org/10.3390/M2134 - 6 Feb 2026
Abstract
The previously unknown compounds—3-(dichloromethyl)-2-nitro-6,7-dihydro-1-benzofuran-4(5H)-ones—have been synthesized and structurally characterized via single-crystal X-ray diffraction, 1H, 13C–{1H}, 1H–13C HMQC and 1H–13C HMBC NMR spectroscopy, IR, and UV spectroscopy.
Full article
(This article belongs to the Section Structure Determination)
►▼
Show Figures

Graphical abstract
Open AccessShort Note
2-Iodopyridin-3-yl acetate
by
Mihaela Cristea, Sergiu Shova, Marcel Mirel Popa and Florea Dumitrascu
Molbank 2026, 2026(1), M2135; https://doi.org/10.3390/M2135 - 6 Feb 2026
Abstract
The title compound 2-iodopyridin-3-yl acetate was obtained by acetylation of the OH group of 2-iodo-3-hydroxypyridine. Knowing that the hydroxyl group, as a strong H-bond donor in halogenated hydroxypyridines, usually directs supramolecular packing and might enforce possible halogen–halogen contacts, we crystallized 2-iodo-3-acetoxypyridine with the
[...] Read more.
The title compound 2-iodopyridin-3-yl acetate was obtained by acetylation of the OH group of 2-iodo-3-hydroxypyridine. Knowing that the hydroxyl group, as a strong H-bond donor in halogenated hydroxypyridines, usually directs supramolecular packing and might enforce possible halogen–halogen contacts, we crystallized 2-iodo-3-acetoxypyridine with the aim of disrupting the most important H-bond donor and assessing the propensity of the iodine for halogen bond formation. Indeed, in the compound 2-iodopyridin-3-yl acetate, the crystal packing is characterized by infinite 3D chains bonded through I···O=C and C-H···I contacts between adjacent molecules. These chains are interconnected by weak C-H···O contacts, implying the presence of oxygen in the ester. The I···H contact with the C-H axis perpendicular to the electron belt of the iodine atom can enhance the σ-hole of the iodine and act cooperatively in crystal cohesion. No halogen–halogen contacts were present.
Full article
(This article belongs to the Section Structure Determination)
►▼
Show Figures

Graphical abstract
Open AccessShort Note
2,3,4,6-Tetra(9H-carbazol-9-yl)benzonitrile
by
Qing-Qing Wan and Zhi-Cheng Fu
Molbank 2026, 2026(1), M2136; https://doi.org/10.3390/M2136 - 6 Feb 2026
Abstract
Here, we synthesized 2,3,4,6-tetra(9H-carbazol-9-yl)benzonitrile (4CzHPN) via visible-light-driven photocatalytic monodecyanation using the versatile metal-free catalyst 4CzIPN. Characterized by NMR, IR, X-ray diffraction, and DFT calculations, it features a 3.49 eV HOMO-LUMO gap and shows blue-shifted absorption/emission, emerging as a promising advanced metal-free
[...] Read more.
Here, we synthesized 2,3,4,6-tetra(9H-carbazol-9-yl)benzonitrile (4CzHPN) via visible-light-driven photocatalytic monodecyanation using the versatile metal-free catalyst 4CzIPN. Characterized by NMR, IR, X-ray diffraction, and DFT calculations, it features a 3.49 eV HOMO-LUMO gap and shows blue-shifted absorption/emission, emerging as a promising advanced metal-free photoredox catalyst.
Full article
(This article belongs to the Section Structure Determination)
►▼
Show Figures

Figure 1
Open AccessShort Note
2-(3′,5′-Bis((dodecyloxy)carbonyl)-2′,6′-dimethyl-1′,4′-dihydro-[3,4′-bipyridin]-1-ium-1-yl)-1,3-dioxo-2,3-dihydro-1H-inden-2-ide
by
Mara Plotniece, Krista Arule, Karlis Pajuste, Aiva Plotniece and Arkadij Sobolev
Molbank 2026, 2026(1), M2133; https://doi.org/10.3390/M2133 - 4 Feb 2026
Abstract
Indane-1,3-dione and 1,4-dihydropyridine (1,4-DHP) scaffolds are of significant interest in medicinal chemistry. Herein, we report the synthesis characterization of a new lipid-like indane-1,3-dione–1,4-DHP betaine, 2-(3′,5′-bis((dodecyloxy)carbonyl)-2′,6′-dimethyl-1′,4′-dihydro-[3,4′-bipyridin]-1-ium-1-yl)-1,3-dioxo-2,3-dihydro-1H-inden-2-ide (3). Compound 3 was synthesized from 2,2-dicyanomethylideneindan-1,3-dione (1) oxide and a didodecyl-substituted
[...] Read more.
Indane-1,3-dione and 1,4-dihydropyridine (1,4-DHP) scaffolds are of significant interest in medicinal chemistry. Herein, we report the synthesis characterization of a new lipid-like indane-1,3-dione–1,4-DHP betaine, 2-(3′,5′-bis((dodecyloxy)carbonyl)-2′,6′-dimethyl-1′,4′-dihydro-[3,4′-bipyridin]-1-ium-1-yl)-1,3-dioxo-2,3-dihydro-1H-inden-2-ide (3). Compound 3 was synthesized from 2,2-dicyanomethylideneindan-1,3-dione (1) oxide and a didodecyl-substituted 1,4-DHP derivative 2 and characterized by UV–Vis spectroscopy, 1H-NMR, 13C-NMR, and HRMS. The obtained results demonstrate a promising strategy for the design of delivery agents, exploiting the lipid-like properties of the synthesized betaine.
Full article
(This article belongs to the Collection Heterocycle Reactions)
►▼
Show Figures

Scheme 1
Open AccessShort Note
N-(4-Methoxyphenethyl)-2-propylpentanamide
by
Diyana Dimitrova, Tsvetelina Marinova, Reni Bozhanova, Iliyan Ivanov, Dimitar Bojilov, Gabriel Marc and Stanimir Manolov
Molbank 2026, 2026(1), M2132; https://doi.org/10.3390/M2132 - 4 Feb 2026
Abstract
Herein, we report the mechanochemical synthesis of a novel hybrid molecule, N-(4-methoxyphenethyl)-2-propylpentanamide. This solvent-minimized synthesis aligns with the principles of Green Chemistry and exemplifies the emerging paradigm of medicinal mechanochemistry, offering an efficient, sustainable route to pharmaceutically relevant amides. The newly synthesized
[...] Read more.
Herein, we report the mechanochemical synthesis of a novel hybrid molecule, N-(4-methoxyphenethyl)-2-propylpentanamide. This solvent-minimized synthesis aligns with the principles of Green Chemistry and exemplifies the emerging paradigm of medicinal mechanochemistry, offering an efficient, sustainable route to pharmaceutically relevant amides. The newly synthesized compound was fully characterized by melting point determination, 1H and 13C NMR spectroscopy, infrared (IR) spectroscopy, and mass spectrometry.
Full article
(This article belongs to the Section Structure Determination)
►▼
Show Figures

Figure 1
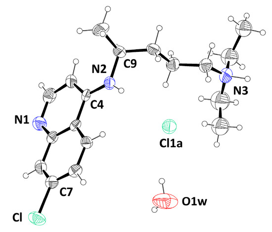
Open AccessCommunication
Molecular Structure of the Monohydrate Hydrochloride Salt of the Antimalarial Drug Chloroquine
by
Silvia Rizzato and Massimo Moret
Molbank 2026, 2026(1), M2131; https://doi.org/10.3390/M2131 - 3 Feb 2026
Abstract
We report the crystallization and single-crystal X-ray analysis of the monohydrate hydrochloride salt of chloroquine(CQ), abbreviated CQHCl·H2O, an antimalarial drug with the formula C18H26ClN3. The crystal structure reveals a well-defined supramolecular architecture stabilized by
[...] Read more.
We report the crystallization and single-crystal X-ray analysis of the monohydrate hydrochloride salt of chloroquine(CQ), abbreviated CQHCl·H2O, an antimalarial drug with the formula C18H26ClN3. The crystal structure reveals a well-defined supramolecular architecture stabilized by an extensive hydrogen-bonding network involving CQH+ cations, chloride anions, and water molecules. Notably, this study provides the first crystallographic characterization of a monoprotonated chloroquine salt. Additionally, our findings demonstrate the feasibility of isolating pseudo-polymorphic forms of a commercially available CQ salt via heterogeneous crystallization.
Full article
(This article belongs to the Section Structure Determination)
►▼
Show Figures

Graphical abstract
Open AccessShort Note
(2RS,3aRS,9aRS)-3a-Methyl-2-phenyl-3,3a,9,9a-tetrahydro-1H-benzo[f]indol-4(2H)-one Hydrobromide
by
Denis A. Tiunov, Victor A. Tafeenko and Alexander V. Kurkin
Molbank 2026, 2026(1), M2130; https://doi.org/10.3390/M2130 - 2 Feb 2026
Abstract
(2RS,3aRS,9aRS)-3a-methyl-2-phenyl-3,3a,9,9a-tetrahydro-1H-benzo[f]indol-4(2H)-one hydrobromide was first synthesized via a tandem aza-Cope rearrangement and Mannich reaction from (1RS,2SR)-2-amino-1-(prop-1-en-2-yl)-2,3-dihydro-1H-inden-1-ol, which, in turn, was obtained in four steps from commercially available 2,3-dihydro-1
[...] Read more.
(2RS,3aRS,9aRS)-3a-methyl-2-phenyl-3,3a,9,9a-tetrahydro-1H-benzo[f]indol-4(2H)-one hydrobromide was first synthesized via a tandem aza-Cope rearrangement and Mannich reaction from (1RS,2SR)-2-amino-1-(prop-1-en-2-yl)-2,3-dihydro-1H-inden-1-ol, which, in turn, was obtained in four steps from commercially available 2,3-dihydro-1H-inden-1-one. The molecular and crystal structure features of the new compounds were characterized using NMR spectroscopy (1H, 13C spectra).
Full article
(This article belongs to the Collection Heterocycle Reactions)
►▼
Show Figures

Figure 1
Open AccessCommunication
Synthesis of 1-(Naphthalen-2-yl)-3-(3-(triethoxysilyl)propyl)urea and Determination of Its Crystal Structure
by
Abderrahim Khatyr, Isabelle Jourdain, Michael Knorr, Carsten Strohmann and Tobias Schrimpf
Molbank 2026, 2026(1), M2129; https://doi.org/10.3390/M2129 - 28 Jan 2026
Abstract
►▼
Show Figures
The addition of 3-isocyanatopropyltriethoxysilane and 2-aminonaphthalene in THF affords the title compound 1-(naphthalen-2-yl)-3-(3-(triethoxysilyl)propyl)urea 1. A determination of the crystal structure of this naphthyl urea reveals the occurrence of strong intermolecular N-H···O hydrogen bonds, giving rise to a 1D supramolecular ribbon, whose interactions
[...] Read more.
The addition of 3-isocyanatopropyltriethoxysilane and 2-aminonaphthalene in THF affords the title compound 1-(naphthalen-2-yl)-3-(3-(triethoxysilyl)propyl)urea 1. A determination of the crystal structure of this naphthyl urea reveals the occurrence of strong intermolecular N-H···O hydrogen bonds, giving rise to a 1D supramolecular ribbon, whose interactions have also been assessed by a Hirshfeld surface analysis. The propensity of 1 to sense halide ions by intramolecular trapping through N-H···Hal bonding was also investigated by UV-vis spectroscopy and fluorescence measurements.
Full article

Figure 1
Open AccessShort Note
2-((6,7-Dimethoxy-4-oxo-3-(4-(trifluoromethyl)phenethyl)-3,4-dihydroquinazolin-2-yl)thio)-N-(4-ethylphenyl)butanamide
by
Young Hee Lee and Jae-Kyung Jung
Molbank 2026, 2026(1), M2128; https://doi.org/10.3390/M2128 - 26 Jan 2026
Abstract
2-({3-[2-(1-cyclohexen-1-yl)ethyl]-6,7-dimethoxy-4-oxo-3,4-dihydro-2-quinazolinyl}sulfanyl)-N-(4-ethylphenyl)butanamide (K284-6111; K284), the representative CHI3L1 inhibitor, has interesting biological activities, including anti-cancer and anti-inflammatory effects on neuroinflammation. Following our hit-to-lead program, we report the most active novel derivative, named CBJL-025, 2-((6,7-dimethoxy-4-oxo-3-(4-(trifluoromethyl)phenethyl)-3,4-dihydroquinazolin-2-yl)thio)-N-(4-ethylphenyl)butanamide. The title compound, CBJL-025, was successfully synthesized by S
[...] Read more.
2-({3-[2-(1-cyclohexen-1-yl)ethyl]-6,7-dimethoxy-4-oxo-3,4-dihydro-2-quinazolinyl}sulfanyl)-N-(4-ethylphenyl)butanamide (K284-6111; K284), the representative CHI3L1 inhibitor, has interesting biological activities, including anti-cancer and anti-inflammatory effects on neuroinflammation. Following our hit-to-lead program, we report the most active novel derivative, named CBJL-025, 2-((6,7-dimethoxy-4-oxo-3-(4-(trifluoromethyl)phenethyl)-3,4-dihydroquinazolin-2-yl)thio)-N-(4-ethylphenyl)butanamide. The title compound, CBJL-025, was successfully synthesized by S-alkylation of the p-trifluoromethyl phenethyl group possessing quinazoline and the corresponding bromide. The structure of CBJL-025 was confirmed by 1H and 13C nuclear magnetic resonance (NMR) and high-resolution mass spectrometry (HRMS).
Full article
(This article belongs to the Section Organic Synthesis and Biosynthesis)
►▼
Show Figures

Figure 1
Open AccessShort Note
Ethyl 2-(2-((6-Methyl-4-oxo-4H-chromen-3-yl)methylene)hydrazineyl)thiazole-4-carboxylate
by
Adriana Grozav, Cristina Azarov, Gabriel Marc, Adrian Pîrnău, Stanimir Manolov, Ovidiu Oniga and Ovidiu Crișan
Molbank 2026, 2026(1), M2127; https://doi.org/10.3390/M2127 - 22 Jan 2026
Abstract
This study presents the synthesis of a new compound, ethyl 2-(2-((6-methyl-4-oxo-4H-chromen-3-yl)methylene)hydrazinyl)thiazole-4-carboxylate, obtained by the Hantzsch heterocyclisation reaction. The compound was analyzed through melting point determination, 1H and 13C NMR spectroscopy, infrared, and UV spectroscopy.
Full article
(This article belongs to the Collection Heterocycle Reactions)
►▼
Show Figures

Graphical abstract
attachment
Supplementary material:
Supplementary File 1 (ZIP, 1771 KB)
Supplementary File 2 (MOL, 4 KB)
Supplementary File 3 (INCHI, 2 KB)
Supplementary File 4 (MOL, 4 KB)
Supplementary File 5 (CIF, 5 KB)
Supplementary File 6 (CIF, 5 KB)
Supplementary File 7 (CIF, 6 KB)
Supplementary File 8 (CIF, 4 KB)
Supplementary File 9 (CIF, 4 KB)
Supplementary File 10 (CIF, 5 KB)
Supplementary File 11 (CIF, 5 KB)
Supplementary File 1 (ZIP, 1771 KB)
Supplementary File 2 (MOL, 4 KB)
Supplementary File 3 (INCHI, 2 KB)
Supplementary File 4 (MOL, 4 KB)
Supplementary File 5 (CIF, 5 KB)
Supplementary File 6 (CIF, 5 KB)
Supplementary File 7 (CIF, 6 KB)
Supplementary File 8 (CIF, 4 KB)
Supplementary File 9 (CIF, 4 KB)
Supplementary File 10 (CIF, 5 KB)
Supplementary File 11 (CIF, 5 KB)
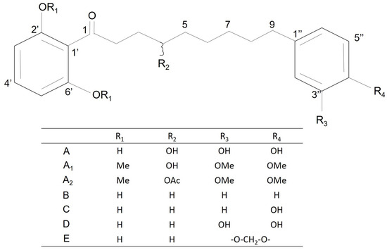
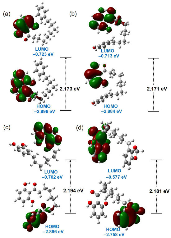
Open AccessCommunication
Structural and Electronic Insights into Arylalkanones from Myristica ceylanica
by
Navaratnarajah Kuganathan and Tharmarajah Manoranjan
Molbank 2026, 2026(1), M2126; https://doi.org/10.3390/M2126 - 20 Jan 2026
Abstract
►▼
Show Figures
A phytochemical investigation of Myristica ceylanica resulted in the identification of seven arylalkanone-derived phenolic compounds, comprising one new naturally occurring arylalkanone (A), two derivatives (A1 and A2) prepared by chemical synthesis, and four known malabaricones (B–E). Density functional theory (DFT)
[...] Read more.
A phytochemical investigation of Myristica ceylanica resulted in the identification of seven arylalkanone-derived phenolic compounds, comprising one new naturally occurring arylalkanone (A), two derivatives (A1 and A2) prepared by chemical synthesis, and four known malabaricones (B–E). Density functional theory (DFT) calculations were conducted to evaluate the geometries, electronic properties, and charge distributions of the newly identified arylalkanone and its derivatives and to compare them with those of malabaricones B–E. The arylalkanones exhibited geometrical features comparable to those of the malabaricones, whereas frontier molecular orbital analysis revealed similar HOMO–LUMO energy gaps for the malabaricones but a progressive widening of the gap among the arylalkanone derivatives, indicating enhanced electronic stabilisation. Mulliken population analysis identified oxygen atoms as the principal electron-rich sites in both series, with arylalkanones displaying greater charge polarisation and increased sensitivity to structural substitution.
Full article

Figure 1
Open AccessCommunication
Synthesis of 5′-Chlorospiro(benzo[d][1,3]dioxole-2,4′-[1,2,6]thiadiazin)-3′-amine and 10-Chloro-1,4-dioxa-8-thia-7,9-diazaspiro[4.5]deca-6,9-dien-6-amine
by
Andreas S. Kalogirou and Panayiotis A. Koutentis
Molbank 2026, 2026(1), M2125; https://doi.org/10.3390/M2125 - 16 Jan 2026
Abstract
Reactions of 3′,5′-dichlorospiro(benzo[d][1,3]dioxole-2,4′-[1,2,6]thiadiazine) or 6,10-dichloro-1,4-dioxa-8-thia-7,9-diazaspiro[4.5]deca-6,9-diene with ammonia in MeCN, at ca. 20 °C, gave 5′-chlorospiro(benzo[d][1,3]dioxole-2,4′-[1,2,6]thiadiazin)-3′-amine and 10-chloro-1,4-dioxa-8-thia-7,9-diazaspiro[4.5]deca-6,9-dien-6-amine, respectively, in near quantitative yields.
Full article
(This article belongs to the Section Organic Synthesis and Biosynthesis)
►▼
Show Figures

Figure 1
Open AccessShort Note
Methyl 2-(Chloromethoxy-1-carbonyl)-7-oxabicyclo[2.2.1]heptane-3-carboxylate
by
Hannah K. Lawley, Bailey N. Baxter, Caleb N. Lopansri, Mary Helene Marmande, Kathryn N. Mayeaux, Lucy A. Orr and David C. Forbes
Molbank 2026, 2026(1), M2124; https://doi.org/10.3390/M2124 - 13 Jan 2026
Abstract
►▼
Show Figures
Overexpression of protein phosphatase 5 (PP5) is implicated in tumor cell growth, establishing PP5 as a compelling target for small-molecule anticancer therapy. Building on prior success in achieving selectivity within the PP2A domain through scaffold functionalization that maximizes active-site interactions, we propose a
[...] Read more.
Overexpression of protein phosphatase 5 (PP5) is implicated in tumor cell growth, establishing PP5 as a compelling target for small-molecule anticancer therapy. Building on prior success in achieving selectivity within the PP2A domain through scaffold functionalization that maximizes active-site interactions, we propose a parallel strategy for PP5 inhibition. Norcantharidin, the demethylated cousin of cantharidin, is a potent yet unselective phosphatase inhibitor, making its bicyclic framework an attractive platform for systematic derivatization. The approach reported herein exploits anhydride reactivity to generate a carboxylic acid derivative that is transformed into a chloromethyl ester. Chloromethyl ester functionality serves as a strategically activated intermediate enabling downstream functional-group diversification under mild, neutral conditions while preserving scaffold integrity. This modular synthetic strategy establishes a foundation for the development of PP5-selective norcantharidin derivatives with improved tumor selectivity, potency, and synthetic feasibility.
Full article

Scheme 1
Open AccessShort Note
N-(2-(1H-Indol-3-yl)ethyl)-2-propylpentanamide
by
Diyana Dimitrova, Iliyan Ivanov, Simona Ilieva, Ivelina Cherneva, Dimitar Bojilov and Stanimir Manolov
Molbank 2026, 2026(1), M2123; https://doi.org/10.3390/M2123 - 9 Jan 2026
Abstract
Herein we describe the synthesis of N-(2-(1H-indol-3-yl)ethyl)-2-propylpentanamide. The compound was comprehensively characterized using melting-point analysis, 1H and 13C NMR spectroscopy, infrared spectroscopy, and mass spectrometry. The collective analytical results confirm the successful synthesis and structural integrity of the target molecule.
Full article
(This article belongs to the Section Structure Determination)
►▼
Show Figures

Figure 1
Open AccessShort Note
6-((2-Oxoindolin-3-ylidene)hydrazineylidene)indolo[2,1-b]quinazolin-12(6H)-one
by
Elizaveta I. Samorodova, Anastasia R. Kovrizhina and Andrei I. Khlebnikov
Molbank 2026, 2026(1), M2121; https://doi.org/10.3390/M2121 - 6 Jan 2026
Abstract
A novel unsymmetrical azine, 6-((2-oxoindolin-3-ylidene)hydrazineylidene)indolo[2,1-b]quinazolin-12(6H)-one, was synthesized through a condensation reaction between tryptanthrin-6-hydrazone and isatin in chloroform under reflux conditions. Structural characterization revealed the compound exists as a mixture of geometric isomers with one predominant form. Density functional theory
[...] Read more.
A novel unsymmetrical azine, 6-((2-oxoindolin-3-ylidene)hydrazineylidene)indolo[2,1-b]quinazolin-12(6H)-one, was synthesized through a condensation reaction between tryptanthrin-6-hydrazone and isatin in chloroform under reflux conditions. Structural characterization revealed the compound exists as a mixture of geometric isomers with one predominant form. Density functional theory (DFT) calculations identified the E,E configuration as the most stable isomer. The isomerization barriers for both C=N bonds were calculated at approximately 18.5 kcal/mol via nitrogen inversion. Given the established biological activities of tryptanthrin and isatin derivatives, this hybrid azine represents a promising lead compound for developing bifunctional drug candidates.
Full article
(This article belongs to the Collection Heterocycle Reactions)
►▼
Show Figures

Figure 1
attachment
Supplementary material:
Supplementary File 1 (ZIP, 797 KB)
Supplementary File 2 (MOL, 3 KB)
Supplementary File 3 (INCHI, 811 B)
Supplementary File 4 (MOL, 3 KB)
Supplementary File 5 (MOL, 3 KB)
Supplementary File 6 (INCHI, 811 B)
Supplementary File 7 (MOL, 3 KB)
Supplementary File 8 (MOL, 5 KB)
Supplementary File 9 (INCHI, 2 KB)
Supplementary File 10 (MOL, 5 KB)
Supplementary File 11 (MOL, 5 KB)
Supplementary File 12 (INCHI, 2 KB)
Supplementary File 13 (MOL, 5 KB)
Supplementary File 1 (ZIP, 797 KB)
Supplementary File 2 (MOL, 3 KB)
Supplementary File 3 (INCHI, 811 B)
Supplementary File 4 (MOL, 3 KB)
Supplementary File 5 (MOL, 3 KB)
Supplementary File 6 (INCHI, 811 B)
Supplementary File 7 (MOL, 3 KB)
Supplementary File 8 (MOL, 5 KB)
Supplementary File 9 (INCHI, 2 KB)
Supplementary File 10 (MOL, 5 KB)
Supplementary File 11 (MOL, 5 KB)
Supplementary File 12 (INCHI, 2 KB)
Supplementary File 13 (MOL, 5 KB)
Open AccessCommunication
Synthesis and Investigation of a Symmetrical Bis(methoxycarbonyl)-Substituted Rubrene Derivative
by
Roman A. Irgashev, Alexander S. Steparuk, Gennady L. Rusinov, Ildar R. Sayarov, Alexey E. Aleksandrov and Alexey R. Tameev
Molbank 2026, 2026(1), M2122; https://doi.org/10.3390/M2122 - 6 Jan 2026
Abstract
►▼
Show Figures
A symmetrical rubrene derivative, 5,6-bis(4-(methoxycarbonyl)phenyl)-11,12-diphenyltetracene, was synthesized via the thermal dimerization of 1,1-diphenyl-3-[4-(methoxycarbonyl)phenyl]-3-chloroallene. The reaction proceeded with the low selectivity typical of the classical “rubrenic synthesis” under these conditions, affording the target tetracene and the bis(alkylidene)cyclobutene by-product in nearly equal yields of 25%
[...] Read more.
A symmetrical rubrene derivative, 5,6-bis(4-(methoxycarbonyl)phenyl)-11,12-diphenyltetracene, was synthesized via the thermal dimerization of 1,1-diphenyl-3-[4-(methoxycarbonyl)phenyl]-3-chloroallene. The reaction proceeded with the low selectivity typical of the classical “rubrenic synthesis” under these conditions, affording the target tetracene and the bis(alkylidene)cyclobutene by-product in nearly equal yields of 25% each. The optical characteristics of this rubrene derivative were investigated, revealing bright orange fluorescence in a CHCl3 solution (λem = 565 nm, ΦF = 0.81, τ = 11.41 ns), which is strongly quenched in the solid state (ΦF = 0.01) due to aggregation.
Full article

Figure 1
Open AccessShort Note
(Benzo[h]quinoline-κ2C,N)-[2,2′-bis(diphenylphosphino)-1,1′-binaphthalene-κ2P,P′]-platinum(II) Hexafluorophosphate
by
Haoni Wang, Meiting Zhang, Jianwei Wu, Junqi Zhang, Xianglong Meng and Yuliang Yang
Molbank 2026, 2026(1), M2120; https://doi.org/10.3390/M2120 - 5 Jan 2026
Abstract
A cyclometalated platinum(II) complex [Pt(bzq)(BINAP)]PF6 bearing a 2,2′-bis(diphenylphosphino)-1,1′-binaphthalene (BINAP) auxiliary ligand and a cyclometalated benzo[h]quinoline (bzq) ligand have been prepared. Structural characterization was achieved through X-ray crystallography, 1H, 13C and 31P NMR spectroscopy, ESI−MS, and elemental analysis.
Full article
(This article belongs to the Section Structure Determination)
►▼
Show Figures

Figure 1
Open AccessShort Note
(RS)-6,6,7′,7′-Tetramethyl-2-sulfanylidene-5,6,6′,7′-tetrahydro-2H,2′H,4H,4′H,5′H-spiro[thiopyran-3,3′-thiopyrano [2,3-b]thiopyran]-4,5′-dione
by
Werner Seebacher, Antoine Dupé, Eva-Maria Pferschy-Wenzig, Robert Saf, Theresa Hermann and Robert Weis
Molbank 2026, 2026(1), M2117; https://doi.org/10.3390/M2117 - 4 Jan 2026
Abstract
The reaction of aliphatic aldehydes with the tautomers 6,6-dimethyl-4-hydroxy-2H-thiopyrane-2-thione and 6,6-dimethyl-2-mercapto-4H-thiopyrane-4-one is reported to yield spiro compounds. However, the spiro compound of the reaction with formaldehyde is postulated, but has not been isolated to date. Due to a change
[...] Read more.
The reaction of aliphatic aldehydes with the tautomers 6,6-dimethyl-4-hydroxy-2H-thiopyrane-2-thione and 6,6-dimethyl-2-mercapto-4H-thiopyrane-4-one is reported to yield spiro compounds. However, the spiro compound of the reaction with formaldehyde is postulated, but has not been isolated to date. Due to a change in reaction conditions, we managed to isolate (RS)-6,6,7′,7′-Tetramethyl-2-sulfanylidene-5,6,6′,7′-tetrahydro-2H,2′H,4H,4′H,5′H-spiro[thiopyran-3,3′-thiopyrano [2,3-b]thiopyran]-4,5′-dione for the first time. The structure was proven with the help of a single X-ray crystal analysis. Furthermore, the new compound was fully characterized using one- and two- dimensional NMR techniques such as 1H, 13C, DEPT, COSY, HSQC and HMBC spectra, as well as IR and HRMS measurements.
Full article
(This article belongs to the Section Organic Synthesis and Biosynthesis)
►▼
Show Figures

Graphical abstract
Open AccessShort Note
4-(4-Chlorophenyl)-6-phenyl-2-(prop-2-yn-1-yloxy)nicotinonitrile
by
Diana Becerra, Diana Hurtado-Rodríguez and Juan-Carlos Castillo
Molbank 2026, 2026(1), M2119; https://doi.org/10.3390/M2119 - 4 Jan 2026
Abstract
We report an efficient and transition-metal-free protocol for the propargylation of 4-(4-chlorophenyl)-2-oxo-6-phenyl-1,2-dihydropyridine-3-carbonitrile using propargyl bromide in the presence of cesium carbonate in dimethylsulfoxide under mild conditions. This synthetic transformation proceeds with marked chemoselectivity, furnishing the O-propargylated pyridine and the N-propargylated 2-pyridone
[...] Read more.
We report an efficient and transition-metal-free protocol for the propargylation of 4-(4-chlorophenyl)-2-oxo-6-phenyl-1,2-dihydropyridine-3-carbonitrile using propargyl bromide in the presence of cesium carbonate in dimethylsulfoxide under mild conditions. This synthetic transformation proceeds with marked chemoselectivity, furnishing the O-propargylated pyridine and the N-propargylated 2-pyridone in 75% and 8% yields, respectively. Both products were fully characterized by IR and NMR spectroscopy, as well as high-resolution mass spectrometry, confirming their molecular structures.
Full article
(This article belongs to the Collection Heterocycle Reactions)
►▼
Show Figures

Figure 1
Highly Accessed Articles
Latest Books
E-Mail Alert
News
27 January 2026
Meet Us at the 5th Molecules Medicinal Chemistry Symposium, 14–17 May 2026, Beijing, China
Meet Us at the 5th Molecules Medicinal Chemistry Symposium, 14–17 May 2026, Beijing, China
3 December 2025
Meet Us at the 5th Molecules Medicinal Chemistry Symposium, 14–17 May 2026, Beijing, China
Meet Us at the 5th Molecules Medicinal Chemistry Symposium, 14–17 May 2026, Beijing, China
Topics
Conferences
Special Issues
Special Issue in
Molbank
Carbonylation Chemistry in the Synthesis of High Value Added Compounds
Guest Editors: Bartolo Gabriele, Raffaella MancusoDeadline: 20 April 2026
Topical Collections
Topical Collection in
Molbank
Molecules from Catalytic Processes
Collection Editor: Nicola Della Ca’

