Journal Description
Earth
Earth
is an international, peer-reviewed, open access journal on earth science published bimonthly online by MDPI.
- Open Access— free for readers, with article processing charges (APC) paid by authors or their institutions.
- High Visibility: indexed within ESCI (Web of Science), Scopus, GeoRef, AGRIS, and other databases.
- Rapid Publication: manuscripts are peer-reviewed and a first decision is provided to authors approximately 19.4 days after submission; acceptance to publication is undertaken in 4.3 days (median values for papers published in this journal in the first half of 2025).
- Journal Rank: JCR - Q2 (Geosciences, Multidisciplinary) / CiteScore - Q1 (Earth and Planetary Sciences (miscellaneous))
- Recognition of Reviewers: APC discount vouchers, optional signed peer review, and reviewer names published annually in the journal.
- Journal Cluster of Geospatial and Earth Sciences: Remote Sensing, Geosciences, Quaternary, Earth, Geographies, Geomatics and Fossil Studies.
Impact Factor:
3.4 (2024);
5-Year Impact Factor:
3.0 (2024)
Latest Articles
Bibliographic Review on Transnational Cooperation in Environmental Issues in European Countries (2010–2025)
Earth 2026, 7(1), 2; https://doi.org/10.3390/earth7010002 - 20 Dec 2025
Abstract
►
Show Figures
Europe is dealing with environmental problems that require cooperation beyond national and regional borders. Air pollution, water pollution, biodiversity loss, and waste management are the major issues that are not only complex but also cross borders. Therefore, it is necessary to provide collaborative
[...] Read more.
Europe is dealing with environmental problems that require cooperation beyond national and regional borders. Air pollution, water pollution, biodiversity loss, and waste management are the major issues that are not only complex but also cross borders. Therefore, it is necessary to provide collaborative responses that go beyond the capacity of individual countries. This inquiry centers on the question of what the best way is to set up and govern the transnational cooperation in Europe to confront these major environmental challenges. A systematic bibliographic review of the research conducted between 2010 and 2025 forms the basis of this work. The research combines semantic analysis and Latent Dirichlet Allocation (LDA) modeling to study 80 selected publications to find the tenets of the themes discussed. The identified topics are urban climate change adaptation and mitigation, climate policy and management, adaptation and vulnerability frameworks, land use and biodiversity impacts, and future climate projections and assessment. The findings show that there are strong synergies between biodiversity and climate adaptation, resilience, and environmental governance, as well as the great influence of climate change on the water management sector. The study has unveiled the significance of institutional policy frameworks in bringing about environmental cooperation across borders. In addition, it depicts the relationship between local urban projects and supra-regional policy strategies, in which the two can merge and function efficiently as long as they are working towards the common goal of environmental sustainability. This study is meant to shed more light on the area of environmental governance research, discovering areas that need more exploration, and providing some signposts on how to improve environmental involvement in Europe.
Full article
Open AccessArticle
Quantifying Torrential Watershed Behavior over Time: A Synergistic Approach Using Classical and Modern Techniques
by
Ana M. Petrović, Laure Guerit, Valentina Nikolova, Ivan Novković, Dobromir Filipov and Jiří Jakubínský
Earth 2026, 7(1), 1; https://doi.org/10.3390/earth7010001 - 19 Dec 2025
Abstract
►▼
Show Figures
This study investigates temporal and spatial variation in torrential flood hazards and sediment dynamics in two ungauged watersheds in southeastern Serbia from 1991 to 2023. By integrating classical hydrological models with modern geospatial and photogrammetric techniques, watershed responses to environmental and anthropogenic changes
[...] Read more.
This study investigates temporal and spatial variation in torrential flood hazards and sediment dynamics in two ungauged watersheds in southeastern Serbia from 1991 to 2023. By integrating classical hydrological models with modern geospatial and photogrammetric techniques, watershed responses to environmental and anthropogenic changes are quantified. Torrential flood potential was estimated and peak discharges were calculated using both the rational and SCS-Unit hydrograph methods, while sediment transport was assessed through Gavrilović’s erosion potential model and a modified Poljakov model. A key innovation is the use of UAV-based and close-range photogrammetry for 3D grain-size analysis, marking the first such application in Serbia. The mean torrential flood potential decreased by 4.4% in the Petrova Watershed and 4.2% in the Rasnička Watershed. Specific peak discharges for a 100-year return period declined from 1.62 to 1.07 m3·s−1·km−2 in Petrova and from 1.60 to 1.34 m3·s−1·km−2 in Rasnička. Sediment transport during a 1% probability flood was reduced from 4.97 to 2.53 m3·s−1 in Petrova and from 13.87 to 9.48 m3·s−1 in Rasnička. Grain-size analyses revealed immobile coarse bedload in the Petrova and active sediment transport in the Rasnička River, where D50 and D90 decreased between 2023 and 2024. The findings highlight the effectiveness of a synergistic methodological approach for analyzing complex watershed processes in data-scarce regions. The study provides a replicable model for flood hazard assessment and erosion control planning in similar mountainous environments undergoing socio-environmental transitions.
Full article

Figure 1
Open AccessArticle
Assessment of Cropland Protection Urgency and Simulation of Resilient Spatial Regulation in the Chengdu–Chongqing Economic Circle
by
Daiwei Ye, Dongjie Guan, Qiongyao Chang, Xusen Zhu, Lilei Zhou and Zihua Qian
Earth 2025, 6(4), 160; https://doi.org/10.3390/earth6040160 - 18 Dec 2025
Abstract
The growing pressure on global cropland resources has become increasingly evident. Reconciling the urgency of cropland protection with long-term food demand is crucial for achieving resilient and sustainable cropland management. Here, we develop a comprehensive agricultural dataset and a five-dimensional evaluation framework encompassing
[...] Read more.
The growing pressure on global cropland resources has become increasingly evident. Reconciling the urgency of cropland protection with long-term food demand is crucial for achieving resilient and sustainable cropland management. Here, we develop a comprehensive agricultural dataset and a five-dimensional evaluation framework encompassing quantity, quality, structure, ecology, and sustainability. Through synergy–trade-off analysis and structural equation modeling, we elucidate the interrelationships among these dimensions and their external drivers. By projecting future cropland retention under the Shared Socioeconomic Pathways (SSPs) and integrating multi-dimensional urgency, we propose a spatially explicit framework for resilient cropland management. The results show that (1) cropland protection urgency in the Chengdu–Chongqing Economic Circle exhibits a clear spatial gradient—low in the core areas and high along the periphery, where high-urgency zones are typically characterized by fragmentation, lower quality, and weaker ecological functions. (2) Eleven biophysical and socioeconomic factors collectively explain 23–50% of the variance in cropland protection urgency, with terrain conditions and urbanization levels exerting the strongest influence on cropland quantity, structure, and sustainability. (3) Under the SSPs, the maximum cropland retention reaches 6.944 million ha, with a future fallow ratio not exceeding 6.05%, and 45.05% of cropland designated as reserve resources. (4) Cropland within core protection zones demonstrates multi-dimensional advantages but accounts for less than 5%, highlighting the need for targeted conservation strategies. By integrating cropland protection urgency with long-term food security constraints, this study proposes a multi-level, multizonal resilience management strategy that offers practical guidance for cropland-stressed regions undergoing rapid urbanization worldwide.
Full article
(This article belongs to the Topic Global Farmland Protection, Food Security and Land Use Planning)
►▼
Show Figures

Figure 1
Open AccessArticle
Morphology and Sedimentology of La Maruca/Pinquel Cobble Embayed Beach: Evolution from 1984 to 2024 (Santander, NW Spain)
by
Jaime Bonachea and Germán Flor
Earth 2025, 6(4), 159; https://doi.org/10.3390/earth6040159 - 15 Dec 2025
Abstract
►▼
Show Figures
This study investigates the morphodynamic evolution of an embayed cobble beach located on a mesotidal cliff coast in northern Spain. La Maruca/Pinquel beach was selected for its distinctive geomorphological setting, perched on a well-sorted cobble substrate and bordered by a slightly elevated (less
[...] Read more.
This study investigates the morphodynamic evolution of an embayed cobble beach located on a mesotidal cliff coast in northern Spain. La Maruca/Pinquel beach was selected for its distinctive geomorphological setting, perched on a well-sorted cobble substrate and bordered by a slightly elevated (less than 1 m) wave-cut platform. Firstly, the availability of orthophotos and the achievement of field surveys enabled a detailed topographic mapping of morphological features. Sedimentological analyses based on grain size and clast shape revealed characteristics indicative of prolonged low-energy wave conditions. A permanent sharply crested ridge and ephemeral staggered tidal berms define the morphology of the beach. Additional depositional features such as washovers, tabular structures, and lobes are also well developed. Sediment accumulation is most pronounced in the western sector, where overwash lobes migrate landward. A W-to-E gradient in cobble size and the presence of boulders in the lower foreshore can be observed. Secondly, a morphosedimentary model was developed based on the obtained data to interpret the beach’s dynamic behavior under current and projected coastal forcing. Finally, by analyzing orthophotographs spanning a 40-year period (1984–2024), the long-term geomorphological evolution of the beach was documented. The results reveal significant morphological transformations, notably a shoreline retreat of approximately 12 m and a reduction in the cobble-covered surface area, among other findings. Future analyses of sediment transport processes and lithological responses to erosion will be able to offer a deeper understanding of the complex behavior and resilience of pebble beach systems in response to changing environmental conditions.
Full article

Figure 1
Open AccessArticle
Assessment of Coastal Vulnerability to Hydro-Geo-Morphological Factors and Anthropogenic Pressures: A Case Study of the Romanian Black Sea Coast Using a Tailored Coastal Vulnerability Index
by
Alina-Daiana Spinu, Maria-Emanuela Mihailov, Dragos Marin, Alexandru-Cristian Cindescu and Robert-Daniel Nenita
Earth 2025, 6(4), 158; https://doi.org/10.3390/earth6040158 - 12 Dec 2025
Abstract
►▼
Show Figures
Coastal erosion poses a significant risk to the Romanian Black Sea coast, a region characterized by the interaction of natural geomorphological processes and anthropogenic pressures. The research focuses on developing a tool to quantify the cumulative impact of hydro-geo-morphological factors and to assess
[...] Read more.
Coastal erosion poses a significant risk to the Romanian Black Sea coast, a region characterized by the interaction of natural geomorphological processes and anthropogenic pressures. The research focuses on developing a tool to quantify the cumulative impact of hydro-geo-morphological factors and to assess the vulnerability of the coastal zone to these influences. The approach involves adapting the Coastal Vulnerability Index (CVI)—previously applied in various methodologies—to the specific characteristics of this semi-enclosed basin, which included the exclusion of the tidal range variable due to the Black Sea’s negligible tidal amplitude. The selection of key variables, including coastal geology and geomorphology, shoreline change rates, coastal slope, sea level, and wave regime, was conducted with consideration for the specific characteristics of the Romanian coastal zone. By classifying these variables on a semi-quantitative scale and integrating them into a CVI, the study identifies and maps areas of high vulnerability. The analysis, based on a 1 × 1 km grid resolution, identified sectors of very high vulnerability in the northern Danube Delta unit, particularly along the coastlines of South Sulina–Câşla Vădanei, Sahalin, and Periboina-Edighiol-Vadu. These findings are validated through a comparison with long-term, multidecadal shoreline evolution data, confirming the model’s predictive accuracy. While the 1 × 1 km grid is effective for a macro-scale assessment, the study highlights the need for a finer resolution (e.g., 100 × 100 m) for detailed analysis in the southern region, due to localized geodynamic conditions and the significant influence of coastal infrastructure.
Full article

Figure 1
Open AccessArticle
Integrated Multi-Source Data Fusion Framework Incorporating Surface Deformation, Seismicity, and Hydrological Indicators for Geohazard Risk Mapping in Oil and Gas Fields
by
Mohammed Al Sulaimani, Rifaat Abdalla, Mohammed El-Diasty, Amani Al Abri, Mohamed A. K. EL-Ghali and Ahmed Tabook
Earth 2025, 6(4), 157; https://doi.org/10.3390/earth6040157 - 12 Dec 2025
Abstract
Oil and gas fields in subsidence-prone regions face multiple hazards that threaten the resilience of their infrastructure. This study presents an integrated risk mapping framework for the Yibal field in the Sultanate of Oman, utilizing remote sensing and geophysical data. Multi-temporal PS-InSAR analysis
[...] Read more.
Oil and gas fields in subsidence-prone regions face multiple hazards that threaten the resilience of their infrastructure. This study presents an integrated risk mapping framework for the Yibal field in the Sultanate of Oman, utilizing remote sensing and geophysical data. Multi-temporal PS-InSAR analysis from 2010 to 2023 revealed cumulative surface deformation and tilt anomalies. Micro-seismic and fault proximity data assessed subsurface stress, while a flood risk map-based surface deformation-adjusted elevation captured hydrological susceptibility. All datasets were standardized into five risk zones (ranging from very low to very high) and combined through a weighted overlay analysis, with an emphasis on surface deformation and micro seismic factors. The resulting risk map highlights a central corridor of high vulnerability where subsidence, seismic activity, and drainage pathways converge, overlapping critical infrastructure. The results demonstrate that integrating geomechanical and hydrological factors yields a more accurate assessment of infrastructure risk than single-hazard approaches. This framework is adaptable to other petroleum fields, enhancing infrastructure protection (e.g., pipelines, flowlines, wells, and other oil and gas facilities), and supporting sustainable field management.
Full article
(This article belongs to the Section AI and Big Data in Earth Science)
►▼
Show Figures

Figure 1
Open AccessArticle
Rain- and Seismic-Triggered Mass Movements in Coastal Ecuador—A Case Study of the “El Florón” Landslide in Portoviejo
by
Melany Melgar, Nayeska Ramírez-Cevallos, Kervin Chunga and Theofilos Toulkeridis
Earth 2025, 6(4), 156; https://doi.org/10.3390/earth6040156 - 11 Dec 2025
Abstract
►▼
Show Figures
On 23 April 2023, a rotational landslide occurred at El Florón III (Portoviejo, Ecuador), triggered by intense rainfall that increased saturation and water pressure in the pores of the colluvial materials. Therefore, the current research predominantly aimed to (i) characterize the geological, geophysical,
[...] Read more.
On 23 April 2023, a rotational landslide occurred at El Florón III (Portoviejo, Ecuador), triggered by intense rainfall that increased saturation and water pressure in the pores of the colluvial materials. Therefore, the current research predominantly aimed to (i) characterize the geological, geophysical, and geotechnical conditions that controlled the instability, (ii) identify and validate the fault surface, and (iii) evaluate a stabilization alternative in accordance with the Ecuadorian Construction Standard (NEC-15). Additionally, a probabilistic analysis was conducted based on the post-landslide geotechnical characteristics of the material, obtained from direct shear tests, which served as the basis for the back-analysis that determined the parameters governing the soil’s behavior during the event. Based on the parameters obtained for the landslide analysis and the determination of safety factors in accordance with the guidelines of the Ecuadorian Construction Standard, a ground reinforcement configuration was proposed through the implementation of micropiles combined with terracing. This approach allowed for establishing a methodology applicable to landslide scenarios in equivalent environments, considering the specific geotechnical and climatic conditions of the area.
Full article

Figure 1
Open AccessArticle
Assessment of the Economic Impact of the Saiga Population on Pasture Ecosystems and Agriculture
by
Gulshat Aiesheva, Aigul Kazambayeva, Saltanat Yessengaliyeva and Kanbibi Nursapina
Earth 2025, 6(4), 155; https://doi.org/10.3390/earth6040155 - 9 Dec 2025
Abstract
This article discusses the issue of pasture degradation in the West Kazakhstan region, which has been caused by a significant rise in the population of saigas (Saiga tatarica). This study aims to quantify agricultural losses and establish the relationship between saiga
[...] Read more.
This article discusses the issue of pasture degradation in the West Kazakhstan region, which has been caused by a significant rise in the population of saigas (Saiga tatarica). This study aims to quantify agricultural losses and establish the relationship between saiga numbers and ecosystem changes. The research methodology incorporates field observations, agroecological observations, and mathematical analysis. Correlation and regression analyses were performed. The application of correlation and regression models confirmed a statistically significant relationship between the growth of the saiga population and the decline in hay yield: increasing animal numbers lead to a reduction in pasture productivity. The greatest losses were recorded in the Bokeiordinsky district, where grazing pressure exceeded 62.5%. It was concluded that urgent measures are needed to regulate the saiga population, restore degraded land, and introduce rotational grazing. Mechanisms for the adaptive management of wild populations that take into account the interests of the agricultural sector were proposed. The findings obtained can provide a solid foundation for informed decision-making in agricultural and environmental policy within the region.
Full article
(This article belongs to the Topic Ecological Protection and Modern Agricultural Development)
►▼
Show Figures

Figure 1
Open AccessArticle
Impacts of Snowmelt Recharge on Groundwater Table Fluctuations in a Cold Region Unconfined Aquifer
by
Hesham H. Mahmoud, Fred A. Antwi and Taufique H. Mahmood
Earth 2025, 6(4), 154; https://doi.org/10.3390/earth6040154 - 8 Dec 2025
Abstract
►▼
Show Figures
Snowmelt recharge critically affects water table fluctuations in cold-region unconfined aquifers, where it serves as a primary source of groundwater. This study investigates the temporal and spatial variations in water table responses to snowmelt events in the Oakes Aquifer, North Dakota. Climatic data,
[...] Read more.
Snowmelt recharge critically affects water table fluctuations in cold-region unconfined aquifers, where it serves as a primary source of groundwater. This study investigates the temporal and spatial variations in water table responses to snowmelt events in the Oakes Aquifer, North Dakota. Climatic data, including winter snowfall and temperature, were collected from the North Dakota Agricultural Weather Network (NDAWN), as well as the National Weather Service (NWS) and National Oceanic and Atmospheric Administration (NOAA) stations. Observation well data (1991–2023) were analyzed, and Inverse Distance Weighting (IDW) interpolation in ArcGIS Pro 3.6 was used to generate continuous spatial maps of groundwater level rises during spring. Results indicate that snowmelt significantly drives water table fluctuations, with higher snowfall associated with larger rises. Spatial variability in responses reflects differences in soil permeability, and land cover, with high-permeability soils showing more pronounced increases. Temperature strongly influenced the magnitude of snowmelt-induced groundwater rise, with warmer winters generally associated with greater recharge, while colder periods limited infiltration, likely due to frozen soil effects. These findings underscore the role of snowmelt as a key recharge source in cold-region unconfined aquifers, with variations controlled by local hydrogeological and climatic conditions. Understanding these dynamics is critical for groundwater management, particularly under changing climate scenarios. Future studies should focus on long-term monitoring, climate modeling, and cross-regional comparisons to improve predictions of snowmelt-driven recharge.
Full article

Figure 1
Open AccessArticle
Sustainable Development and Evaluation of Natural Heritage in Protected Areas: The Case of Golija Nature Park, Serbia
by
Dragan Petrović, Ljiljana Mihajlović, Danijela Vukoičić, Miroljub Milinčić and Dušan Ristić
Earth 2025, 6(4), 153; https://doi.org/10.3390/earth6040153 - 8 Dec 2025
Abstract
This study applies a quantitative model to assess natural resources and degradation risks in mountain ecosystems, focusing on ecotourism’s role in balancing economic growth and environmental preservation in Golija Nature Park. Results show moderate tourism potential and low degradation risk, affirming ecotourism’s feasibility
[...] Read more.
This study applies a quantitative model to assess natural resources and degradation risks in mountain ecosystems, focusing on ecotourism’s role in balancing economic growth and environmental preservation in Golija Nature Park. Results show moderate tourism potential and low degradation risk, affirming ecotourism’s feasibility under sustainable management. The integration of natural assets, cultural heritage, and rural communities highlights ecotourism’s capacity to strengthen local economies, support demographic revitalization, and enhance biodiversity conservation in mountainous regions. The proposed approach offers a practical model for sustainable planning and management of natural areas in a broader international context.
Full article
(This article belongs to the Special Issue Sustainable Landscapes: Integrating Physical Geography, Ecotourism, and Nature Conservation)
►▼
Show Figures

Figure 1
Open AccessArticle
Spatial and Temporal Changes in Suspended Sediment Load and Their Contributing Factors in the Upper Reaches of the Yangtze River
by
Suiji Wang
Earth 2025, 6(4), 152; https://doi.org/10.3390/earth6040152 - 4 Dec 2025
Abstract
►▼
Show Figures
In recent decades, the suspended sediment load (SSL) of many rivers around the world has shown a significant decreasing trend, which is particularly prominent in large river basins such as the Yangtze River and the Yellow River. One of the key challenges currently
[...] Read more.
In recent decades, the suspended sediment load (SSL) of many rivers around the world has shown a significant decreasing trend, which is particularly prominent in large river basins such as the Yangtze River and the Yellow River. One of the key challenges currently faced is how to quantitatively determine the relative influence of the dominant factors on the basis of systematically assessing the changing trend of SSL. This study takes the upper reaches of the Yangtze River as the research object. Based on the observation data from representative hydrological stations during 1966–2024, it systematically analyzes the interannual variation trend of SSL in different sections of the study river reach, identifies several mutation points, and divides the SSL change process into a baseline period, change period I, and change period II. Using the SCRCQ (slope change ratio of cumulative quantity) method, the study finds that the contribution ratio of human activities to the reduction of SSL in different sections of the study river reach ranges from 87.5% to 111.9%, the contribution ratio of precipitation change ranges from −14.3% to 12.4%, and the contribution ratio of evapotranspiration change ranges from −0.1% to 0.6%. For the entire upper Yangtze River basin, the contribution ratios of human activities to the reduction of SSL during change period I and change period II are 87.5% and 95.1%, respectively, while those of climate change are 12.4% and 4.9%, respectively. Human activities play an absolutely dominant role in the reduction of SSL in the upper Yangtze River. The results of this study can provide guidance for the scientific management of river reaches with concentrated large-scale reservoirs in the upper Yangtze River and also offer references for the formulation of management measures for similar rivers worldwide.
Full article

Figure 1
Open AccessArticle
Assessing Earthquake-Induced Sediment Accumulation and Its Influence on Flooding in the Kota Belud Catchment of Malaysia Using a Combined D-InSAR and DEM-Based Analysis
by
Navakanesh M. Batmanathan, Joy Jacqueline Pereira, Afroz Ahmad Shah, Lim Choun Sian and Nurfashareena Muhamad
Earth 2025, 6(4), 151; https://doi.org/10.3390/earth6040151 - 30 Nov 2025
Abstract
►▼
Show Figures
A combined Differential InSAR (D-InSAR) and Digital Elevation Model (DEM)-based analysis revealed that earthquake-triggered landslides significantly altered river morphology and intensified flooding in the Kota Belud catchment, Sabah, Malaysia. This 1386 km2 catchment, home to about 120,000 people, has experienced a marked
[...] Read more.
A combined Differential InSAR (D-InSAR) and Digital Elevation Model (DEM)-based analysis revealed that earthquake-triggered landslides significantly altered river morphology and intensified flooding in the Kota Belud catchment, Sabah, Malaysia. This 1386 km2 catchment, home to about 120,000 people, has experienced a marked rise in flood events following the 4 June 2015 and 8 March 2018 earthquakes. Multi-temporal Sentinel-1 Synthetic Aperture Radar (SAR) data and a 30 m Shuttle Radar Topography Mission (SRTM) DEM, complemented by river network information from HydroBASINS, were integrated to map sediment redistribution and model flood extent. Upstream zones exhibited extensive coseismic landslides and pronounced geomorphic disruption. Interferometric analysis showed that coherence was well preserved over stable terrain but rapidly degraded in vegetated and steep areas. Sediment aggradation, interpreted qualitatively from patterns of coherence loss and increased backscatter intensity, highlights slope failure initiation zones and depositional build-up along channels. Conversely, downstream, similar sedimentary adjustments were detected immediately upstream of areas with repeated flood incidents. Between 2015 and 2018, flood occurrences increased over fivefold, and after 2018, they increased by more than thirteenfold relative to pre-2015 conditions. DEM-based inundation simulations demonstrated that channel shallowing substantially reduced conveyance capacity and expanded flood extent. Collectively, these results confirm that earthquake-induced landslides have contributed to reshaping the geomorphology and amplified flooding in the area.
Full article

Figure 1
Open AccessArticle
Assessment of Stone Wall Soil Conservation Techniques for Mitigating Rainfall-Induced Erosion in Sloping Areas of an Arid Region
by
Mamoun A. Gharaibeh, Hafsa Al-Zubi, Nabil Eltaif and Nikolaos Monokrousos
Earth 2025, 6(4), 150; https://doi.org/10.3390/earth6040150 - 28 Nov 2025
Abstract
►▼
Show Figures
Water erosion is a major driver of soil degradation in arid and semi-arid regions, where the lack of vegetative cover and intense rainfall accelerate erosion processes. Field experiments were conducted to evaluate the effectiveness of stone walls (SW) as a soil conservation practice
[...] Read more.
Water erosion is a major driver of soil degradation in arid and semi-arid regions, where the lack of vegetative cover and intense rainfall accelerate erosion processes. Field experiments were conducted to evaluate the effectiveness of stone walls (SW) as a soil conservation practice in reducing soil erosion using the universal soil loss equation. Furthermore, the support practice factor (P) was estimated via integrating computational measurements of changes in A horizon thickness with slope profiles. Six sites with varying slope gradients (8%, 10%, 15%, and 25%) implementing SW were compared to neighboring sites lacking this practice in the northeastern parts of Jordan. SW reduced average annual soil loss by 83%, lowering the average annual erosion rate from 58 t.ha−1.yr−1 (severe risk) to 10 t.ha−1.yr−1 (slight risk). The implementation of SW stabilized the thickness of the A horizon and organic matter contents across different slope gradients. In contrast, the absence of SW led to greater soil displacement and accumulation of organic matter at the lower slopes, indicating higher erosion risks. The average estimated P factor was 0.35. These findings underscore the effectiveness of conservation practices in controlling soil erosion, enhancing soil quality, and promoting sustainable land use in arid and semi-arid environments. Wider adoption of such measures can significantly contribute to combating soil degradation and improving agricultural productivity in similar regions worldwide.
Full article

Figure 1
Open AccessArticle
Assessment of Geohydraulic Parameters in Coastal Aquifers Using Electrical Resistivity Tomography: A Case Study from the Chaouia Region, Western Morocco
by
Saliha Najib, Ahmed Fadili, Othmane Boualla, Khalid Mehdi, Mohammed Bouzerda, Abdelhadi Makan, Bendahhou Zourarah and Said Ilmen
Earth 2025, 6(4), 149; https://doi.org/10.3390/earth6040149 - 27 Nov 2025
Abstract
►▼
Show Figures
This study investigated the geohydraulic properties of the Chaouia coastal aquifer in western Morocco through two-dimensional Electrical Resistivity Tomography (ERT). Five resistivity profiles were carried out and inverted to define subsurface lithology and estimate hydraulic conductivity (K), effective porosity (Φeff), and
[...] Read more.
This study investigated the geohydraulic properties of the Chaouia coastal aquifer in western Morocco through two-dimensional Electrical Resistivity Tomography (ERT). Five resistivity profiles were carried out and inverted to define subsurface lithology and estimate hydraulic conductivity (K), effective porosity (Φeff), and transmissivity (T) using the empirical relationships.The obtained results showed that K ranged from 1.2 m/day to more than 217.4 m/day, Φeff varied between 20.3% and 47.8%, and T varied between 0.4 and 159.3 m2/day. These findings highlight considerable lithological variability, with low to intermediate values in Plio-Quaternary deposits and higher values in fractured Cretaceous marly limestones. Comparison with available pumping test data and numerical modeling validated the consistency of the ERT-derived estimates with independent hydrogeological evidence. The present study demonstrates that, in areas where pumping tests are limited or impractical, ERT provides an effective, non-invasive, and cost-efficient tool for aquifer characterization. These findings offer valuable insights for groundwater assessment and support the development of sustainable management strategies to mitigate overexploitation and seawater intrusion in vulnerable coastal aquifers and propose sustainable strategies for conserving these water resources.
Full article

Figure 1
Open AccessArticle
Water-Body Detection from SAR Images Using Connectivity Refinement Network
by
Zile Gao, Jinkai Sun, Puyan Xu, Lin Wu, Yabo Huang, Ning Li, Zhuang Zhu and Qianchao Pu
Earth 2025, 6(4), 148; https://doi.org/10.3390/earth6040148 - 27 Nov 2025
Abstract
►▼
Show Figures
Synthetic aperture radar (SAR) is an active microwave imaging system equipped with penetration capability, enabling all-time and all-weather Earth observation, and demonstrates significant advantages in large-scale surface water-body detection. Although SAR images can provide relatively clear water-body details, they are susceptible to interference
[...] Read more.
Synthetic aperture radar (SAR) is an active microwave imaging system equipped with penetration capability, enabling all-time and all-weather Earth observation, and demonstrates significant advantages in large-scale surface water-body detection. Although SAR images can provide relatively clear water-body details, they are susceptible to interference from external factors such as complex terrain and background noise, resulting in fragmented detection outcomes and poor connectivity. Therefore, a Connectivity Refinement Network (ConRNet) is proposed in this study to address the issue of fragmented water-body regions in water-body detection results, combining HISEA-1 and Chaohu-1 SAR data. ConRNet is equipped with attention mechanisms and a connectivity prediction module, combined with dual supervision from segmentation and connectivity labels. Unlike conventional attention modules that only emphasize pixel-wise saliency, the proposed Dual Self-Attention Module (DSAM) jointly captures spatial and channel dependencies. Meanwhile, the Connectivity Prediction Module (CPM) reformulates water-body connectivity as a regression problem to directly optimize structural coherence without relying on post-processing. Leveraging dual supervision from segmentation and connectivity labels, ConRNet achieves simultaneous improvements in topological consistency and pixel-level accuracy. The performance of the proposed ConRNet is evaluated by con-ducting comparative experiments with five deep learning models: FCN, U-Net, DeepLabv3+, HRNet, and MAGNet. The experimental results demonstrate that the ConRNet achieves the highest accuracy in water-body detection, with an intersection over union (IoU) of 88.59% and an F1-score of 93.87%.
Full article

Figure 1
Open AccessArticle
Machine Learning for Predicting Coliform Concentrations at Montevideo Beaches: Identifying Key Environmental Drivers for Coastal Water Quality Management
by
Pablo Armand-Ugon, Leonardo Goliatt, Alberto Castro and Angela Gorgoglione
Earth 2025, 6(4), 147; https://doi.org/10.3390/earth6040147 - 19 Nov 2025
Abstract
Monitoring microbial water quality at recreational beaches is essential to safeguard public health, with fecal coliforms serving as key indicators of contamination. This study applies machine learning (ML) techniques to predict fecal coliform concentrations at Montevideo’s urban beaches, aiming to support proactive and
[...] Read more.
Monitoring microbial water quality at recreational beaches is essential to safeguard public health, with fecal coliforms serving as key indicators of contamination. This study applies machine learning (ML) techniques to predict fecal coliform concentrations at Montevideo’s urban beaches, aiming to support proactive and data-driven coastal water quality management. Using an extensive monitoring dataset, we developed and calibrated five ML models to predict continuous fecal coliform levels, improving upon traditional threshold-based methods. Among these, Random Forest (RF) and Histogram-based Gradient Boosting (HGB) models showed very good predictive performance, with RF yielding the most consistent estimates of microbial contamination and HGB showing comparable accuracy but higher predictive uncertainty. The models were optimized using cross-validation and Optuna, with mean squared error as the loss function. Feature importance analysis using SHAP values revealed that Enterococcus concentrations were the most influential predictor, followed by water temperature and salinity. Seasonal patterns in coliform levels were also identified, likely linked to fluctuations in water temperature. These findings provide actionable insights into the dynamics of microbial contamination and highlight the potential of ML models for early warning systems, adaptive monitoring, and improved risk communication. This integrative approach not only enhances predictive performance but also advances our understanding of the environmental processes influencing water quality in urban coastal systems.
Full article
(This article belongs to the Section AI and Big Data in Earth Science)
►▼
Show Figures

Figure 1
Open AccessArticle
Case Study on Improvement Measures for Increasing Accuracy of AI-Based River Water-Level Prediction Model
by
Sooyoung Kim, Seungho Lee and Kwang Seok Yoon
Earth 2025, 6(4), 146; https://doi.org/10.3390/earth6040146 - 11 Nov 2025
Abstract
Global warming is recognized as a climate crisis that extends beyond a mere increase in the Earth’s temperature, triggering rapid and widespread climatic changes worldwide. In particular, the frequency and intensity of extreme rainfall events have increased in Korea and the Association of
[...] Read more.
Global warming is recognized as a climate crisis that extends beyond a mere increase in the Earth’s temperature, triggering rapid and widespread climatic changes worldwide. In particular, the frequency and intensity of extreme rainfall events have increased in Korea and the Association of Southeast Asian Nations (ASEAN) region, leading to a significant increase in flood damage. The growing number of large-scale hydrological disasters underscores the urgent need for accurate and rapid flood-forecasting systems that can support disaster preparedness and mitigation. Compared with conventional physics-based forecasting systems, artificial intelligence (AI) models can provide faster predictions using limited observational data. In this study, a river water-level prediction model was constructed using real-time observation data and a long short-term memory (LSTM) algorithm, which is a recurrent neural network-based deep learning approach suitable for hydrological time-series forecasting. A repeated k-fold cross-validation technique was applied to enhance model generalization and prevent overfitting. In addition, water-level differencing was employed to convert nonstationary water-level data into stationary time-series inputs, thereby improving the prediction stability. Water-level observation stations in the Philippines, Indonesia, and the Republic of Korea were selected as study sites, and the model performance was evaluated at each location. The differenced LSTM model achieved a root mean square error of 0.13 m, coefficient of determination (R2) of 0.866, Nash–Sutcliffe efficiency (NSE) of 0.844, and Kling–Gupta efficiency of 0.893, thus outperforming the non-differenced baseline by approximately 17%. The repeated k-fold validation approach was particularly effective when the training data period was short or the number of input variables was limited. These results confirm that ensuring temporal stationarity and applying repeated cross-validation can significantly enhance the predictive accuracy of real-time flood forecasting. The proposed framework exhibits strong potential for implementation in regional early warning systems across data-limited flood-prone areas in the ASEAN region. Ongoing studies that apply and verify this approach in diverse hydrological contexts are expected to further improve and expand AI-based flood prediction models.
Full article
(This article belongs to the Topic Machine Learning and Big Data Analytics for Natural Disaster Reduction and Resilience)
►▼
Show Figures

Figure 1
Open AccessArticle
Geochemical Fingerprints: Tracing the Origin and Evolution of the Teleghma Geothermal System, Northeastern Algeria
by
Nour El Imane Benchabane, Foued Bouaicha and Ayoub Barkat
Earth 2025, 6(4), 145; https://doi.org/10.3390/earth6040145 - 11 Nov 2025
Abstract
►▼
Show Figures
Boreholes in the Teleghma region of northeastern Algeria discharge thermal water with temperatures between 40 and 49 °C and total dissolved solids (TDS) ranging from 570 to 940 mg/L. The stable isotope compositions range from –7.8‰ to –6.2‰ for δ18O and
[...] Read more.
Boreholes in the Teleghma region of northeastern Algeria discharge thermal water with temperatures between 40 and 49 °C and total dissolved solids (TDS) ranging from 570 to 940 mg/L. The stable isotope compositions range from –7.8‰ to –6.2‰ for δ18O and –52.6‰ to –43.3‰ for δ2H, indicating a meteoric origin. Based on these isotopic signatures, the water is classified as immature and undersaturated with respect to the equilibrium line on the Giggenbach Na–K–Mg ternary diagram. The water exhibits a sodium–chloride (Na–Cl) facies, closely associated with Triassic formations rich in evaporitic deposits. This association was confirmed by the IIGR method, which illustrates the chemical evolution of the hydrothermal fluid as it ascends from the karstic carbonate reservoir through conduits and traverses clay formations. Consequently, computed saturation indices and applied inverse modeling significantly contributed to understanding the interactions between the hydrothermal water and the traversed rock. At the local scale, halite dissolution is the primary mineral phase driving chemical changes. Regionally, however, the processes are dominated by gypsum dissolution and cation exchange reactions between calcium and sodium ions. These findings offer valuable insights into the geochemical processes that shape the Teleghma geothermal system, with implications for resource management and potential applications.
Full article

Figure 1
Open AccessArticle
Analysis and Characterization of the Behavior of Air Pollutants and Their Relationship with Climate Variability in the Main Industrial Zones of Hidalgo State, México
by
Fernando Salas-Martínez, Aldo Márquez-Grajales, José Belisario Leyva-Morales, César Camacho-López, Claudia Romo-Gómez, Otilio Arturo Acevedo-Sandoval and César Abelardo González-Ramírez
Earth 2025, 6(4), 144; https://doi.org/10.3390/earth6040144 - 6 Nov 2025
Abstract
►▼
Show Figures
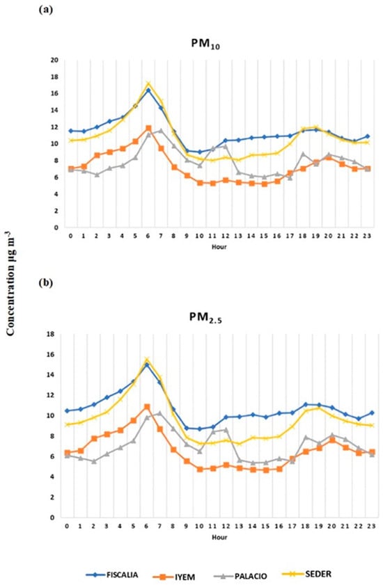
The concentration of air pollutants could be affected by climate change in industrial park zones in Hidalgo state, Mexico (IPHSs). The goals of this work were: (a) to describe the aerosols’ behavior (PM10 and PM2.5) and air pollutants (SO2
[...] Read more.
The concentration of air pollutants could be affected by climate change in industrial park zones in Hidalgo state, Mexico (IPHSs). The goals of this work were: (a) to describe the aerosols’ behavior (PM10 and PM2.5) and air pollutants (SO2, NO2, O3, and CO) in the IPHSs and (b) determine the climate variable behavior regarding the presence in IPHSs. The methodology consisted of structuring the time series of climate variables and air pollutants in six analysis regions. Afterwards, an annual average calculation, a count of days exceeding the allowed limits set by the official Mexican norms, an analysis of annual behavior by season, the Sen slope calculation, and correlation among variables were performed. Results demonstrated that Zone 2 is the most polluted, exceeding the allowed limits in the annual average (PM10 > 36 μg/m3, PM2.5 > 10 μg/m3, and NO2 > 0.021 ppm) and having more than 1000, 96, and 11 days where the daily limit was exceeded in PM10, PM2.5, and SO2, respectively. The minimum concentrations of the pollutants were observed during the summer–autumn seasons, coinciding with the highest precipitation. Regarding the correlations, the pollutants are negatively and statistically significantly correlated with precipitation (ranging from −0.81 to −0.43); meanwhile, the maximum temperature (ranging from +0.41 to +0.51) and evaporation (ranging from +0.39 to +0.54) are positively and statistically significantly correlated. In conclusion, the results could suggest that the presence of pollutants in the atmosphere may be influenced by the behavior of nearby regional climatic conditions in the IPHSs.
Full article

Figure 1
Open AccessArticle
The First National-Scale High-Resolution Land Use Land Cover Map of Bangladesh Using Multi-Temporal Optical and SAR Imagery
by
Md Manik Sarker, Dibakar Chakraborty, Van Thinh Truong, Yuki Mizuno, Sota Hirayama, Takeo Tadono, Mst Irin Parvin, Shun Ito, Md Abdul Aziz Bhuiyan, Naoyoshi Hirade, Sushmita Chakma and Kenlo Nishida Nasahara
Earth 2025, 6(4), 143; https://doi.org/10.3390/earth6040143 - 6 Nov 2025
Abstract
►▼
Show Figures
Bangladesh is highly susceptible to land use land cover (LULC) changes due to its geographical location and dense population. These changes have significant effects on food security, urban development, and natural resource management. Policy planning and resource management largely depend on accurate and
[...] Read more.
Bangladesh is highly susceptible to land use land cover (LULC) changes due to its geographical location and dense population. These changes have significant effects on food security, urban development, and natural resource management. Policy planning and resource management largely depend on accurate and detailed LULC maps. However, Bangladesh does not have its own national scale detailed high-resolution LULC maps. This study aims to develop high-resolution land use land cover (HRLULC) maps for Bangladesh for the years 2020 and 2023 using a deep learning method based on convolutional neural network (CNN), and to analyze LULC changes between these years. We used an advanced LULC classification algorithm, namely SACLASS2, that was developed by JAXA to work on multi-temporal satellite data from different sensors. Our HRLULC maps with 14 categories achieved an overall accuracy of 94.55 ± 0.41% with Kappa coefficient 0.93 for 2020 and 94.32 ± 0.42% with Kappa coefficient 0.93 for 2023, which is higher than the commonly accepted standard of around 87 overall accuracy for 14 category LULC map. Between 2020 and 2023, the most notable LULC increase were observed in single cropland (17 ± 4%), aquaculture (20 ± 5%), and brickfield (56 ± 25%). Conversely, decrease occurred for salt pans (47 ± 16%), bare land (24 ± 3%), and built-up (13 ± 3%). These findings offer valuable insights into the spatio-temporal patterns of LULC in Bangladesh, which can support policymakers in making informed decisions and developing effective conservation strategies aimed at promoting sustainable land management and urban planning.
Full article

Figure 1
Journal Menu
► ▼ Journal Menu-
- Earth Home
- Aims & Scope
- Editorial Board
- Reviewer Board
- Topical Advisory Panel
- Instructions for Authors
- Special Issues
- Topics
- Sections
- Article Processing Charge
- Indexing & Archiving
- Editor’s Choice Articles
- Most Cited & Viewed
- Journal Statistics
- Journal History
- Journal Awards
- Conferences
- Editorial Office
Journal Browser
► ▼ Journal BrowserHighly Accessed Articles
Latest Books
E-Mail Alert
News
Topics
Topic in
Atmosphere, Earth, IJERPH, Air
The Effect of Air Pollution on Human Health
Topic Editors: Elisabete Carolino, Liliana Aranha CaetanoDeadline: 31 December 2025
Topic in
Agriculture, Remote Sensing, Sustainability, Water, Hydrology, Limnological Review, Earth
Water Management in the Age of Climate Change
Topic Editors: Yun Yang, Chong Chen, Hao SunDeadline: 31 January 2026
Topic in
Earth, GeoHazards, IJGI, Land, Remote Sensing, Smart Cities, Infrastructures, Automation
Machine Learning and Big Data Analytics for Natural Disaster Reduction and Resilience
Topic Editors: Isam Shahrour, Marwan Alheib, Anna Brdulak, Fadi Comair, Carlo Giglio, Xiongyao Xie, Yasin Fahjan, Salah ZidiDeadline: 31 March 2026
Topic in
Atmosphere, Buildings, Climate, Environments, Sustainability, Earth
Climate, Health and Cities: Building Aspects for a Resilient Future
Topic Editors: Ferdinando Salata, Virgilio Ciancio, Simona MannucciDeadline: 25 May 2026
Conferences
Special Issues
Special Issue in
Earth
Sustainable Landscapes: Integrating Physical Geography, Ecotourism, and Nature Conservation
Guest Editors: Sanja Obradović Strålman, Nikola Milentijević, Ioannis CharalampopoulosDeadline: 1 February 2026
Special Issue in
Earth
Special Issue Series: Young Investigators in Earth Science
Guest Editor: Charles JonesDeadline: 31 July 2026
Special Issue in
Earth
Integrated Coastal Resilience and Risk Management Under Climate Change
Guest Editors: Komali Kantamaneni, Upaka RathnayakeDeadline: 31 August 2026
Special Issue in
Earth
Feature Papers for AI and Big Data in Earth Science
Guest Editor: Hossein BonakdariDeadline: 31 October 2026




