Identification of Non-Turbulent Motions for Enhanced Estimation of Land–Atmosphere Transport Through the Anisotropy of Turbulence
Abstract
1. Introduction
2. Data
2.1. Observational Site
2.2. Data Processing
3. Methods
3.1. Hilbert–Huang Transform (HHT)
3.2. Anisotropy and Turbulent Motion
- (1)
- By calculating the anisotropy of each IMF. Note the kth IMF of the wind speed component as
- (2)
- By superimposing the IMFs of the signal from high frequencies to low frequencies (namely from small to large scale), the superimposed signal from 1st to kth IMF is given by
4. Results
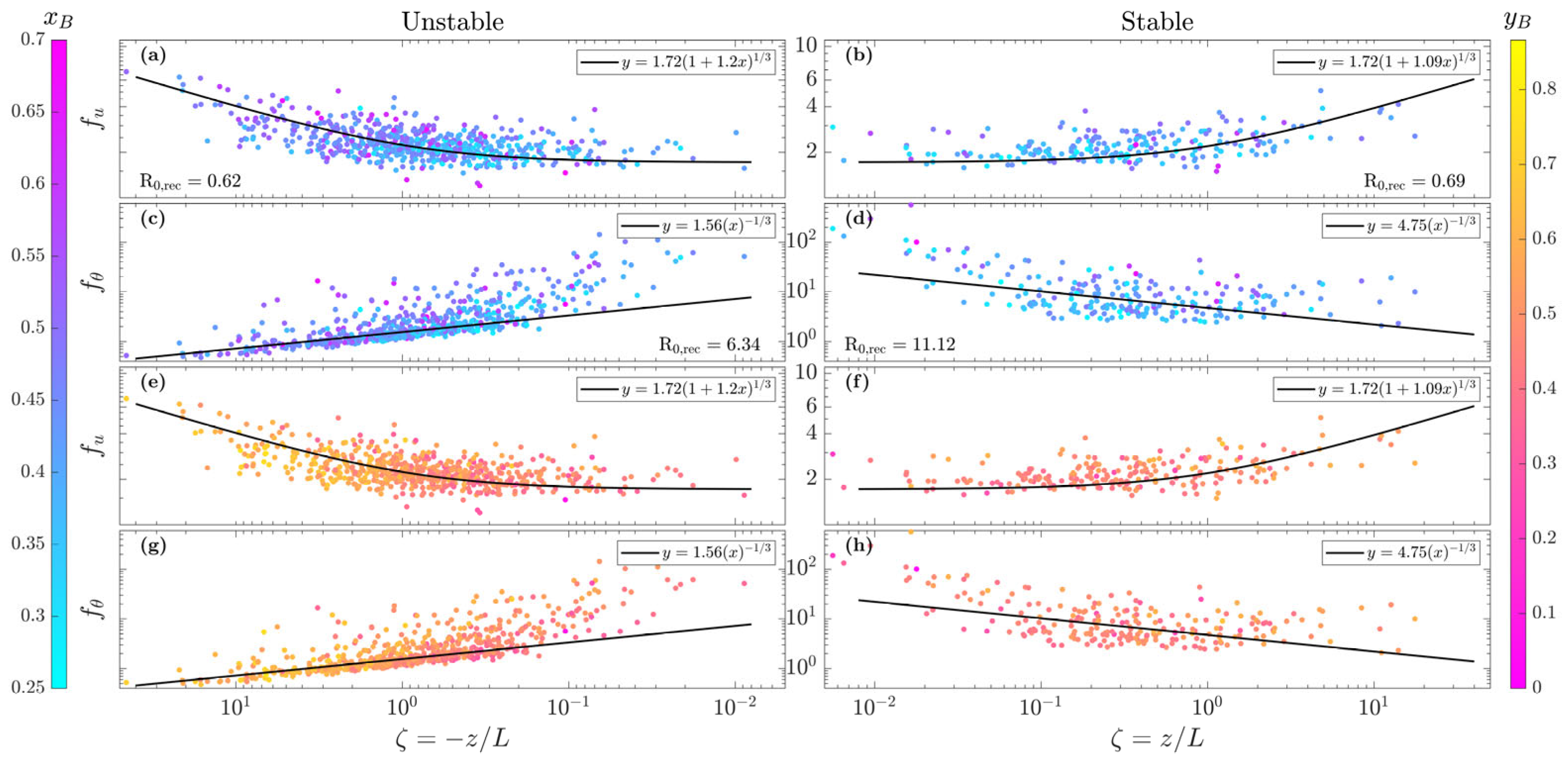
4.1. Scale-Dependent Properties of Anisotropy
- (1)
- From small scale to large scale, the initially remains constant around 0.4 to 0.5. When the average frequency of motions decreases below , the starts to increase rapidly, reaching up to 0.8 to 0.9.
- (2)
- From small scale to large scale, the initially increases slightly from 0.6 to 0.7 before the average frequency decreases to , and for larger scales (lower frequencies), continues to decrease until it approaches 0.
- (3)
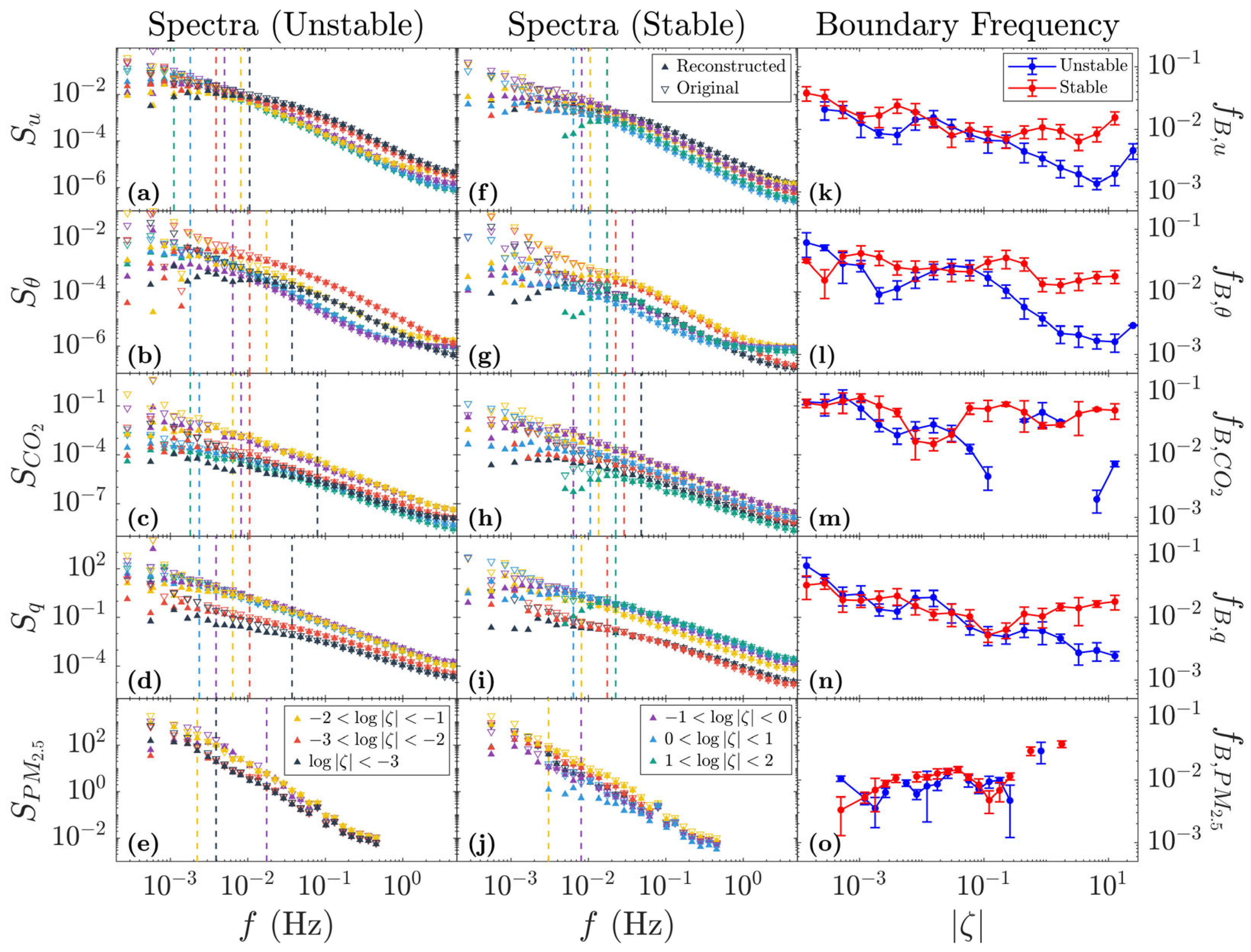
- With the increase in the absolute values of stability parameters, the bending of the trajectory is weakened. The location where the bending occurs is roughly limited in the trapezoidal gray area in Figure 3a,e, which holds the boundary at , , , and .
4.2. Distinguishing Non-Turbulent Motions
- (1)
- Collect the points violating the monotonicity of within the trapezoidal area.
- (2)
- Collect the points violating the monotonicity of within the trapezoidal area.
- (3)
- Determine whether the collected points are statistical outliers: if they are, the points are kept for the next step; otherwise, they are discarded.
- (4)
- Locate the index of IMFs for these outliers and the average frequencies.
4.3. Similarity Relationships and Anisotropy
5. Conclusions
Author Contributions
Funding
Data Availability Statement
Conflicts of Interest
Abbreviations
| ABL | Atmospheric Boundary-Layer |
| HHT | Hilbert–Huang Transform |
| EMD | Empirical Mode Decomposition |
| TKE | Turbulence Kinetic Energy |
| MOST | Monin–Obukhov Similarity Theory |
| BAM | Barycentric Map |
Appendix A
- (1)
- Conducting EMD on multiple variables:
- A.
- Local Extrema Detection: identify all local maxima and minima in the signal.
- B.
- Envelope Construction: the upper envelope is defined as the cubic spline interpolation of local maxima, and the lower envelope as the interpolation of local minima (Figure A1, black solid lines in IMF8 panel).
- C.
- Local Mean Calculation: compute the running mean of upper/lower envelopes (Figure A1, dashed line in IMF8 panel).
- D.
- Sifting Iteration: subtract the local mean from the signal, and repeat Steps A–C on the residual until two criteria are met:
- (a)
- The number of extrema and zero-crossings differ by ≤1 (avoiding over-decomposition).
- (b)
- The mean of upper/lower envelopes approaches zero (ensuring symmetry).

- (2)
- Performing the Hilbert transform on each IMF:
- (3)
- Calculating the Hilbert marginal spectrum:
References
- Caughey, S.J.; Wyngaard, J.C.; Kaimal, J.C. Turbulence in the Evolving Stable Boundary Layer. J. Atmos. Sci. 1979, 36, 1041–1052. [Google Scholar]
- Stull, R.B. An Introduction to Boundary Layer Meteorology; Kluwer Academic Publishers: Dordrecht, The Netherlands, 1988; Volume 13. [Google Scholar]
- Garratt, J.R. Review: The atmospheric boundary layer. Earth-Sci. Rev. 1994, 37, 89–134. [Google Scholar] [CrossRef]
- Robinson, S.K. Coherent Motions in the Turbulent Boundary Layer. Annu. Rev. Fluid Mech. 1991, 23, 601–639. [Google Scholar] [CrossRef]
- Marusic, I.; McKeon, B.J.; Monkewitz, P.A.; Nagib, H.M.; Smits, A.J.; Sreenivasan, K.R. Wall-bounded turbulent flows at high Reynolds numbers: Recent advances and key issues. Phys. Fluids 2010, 22, 065103. [Google Scholar] [CrossRef]
- Baldocchi, D.D.; Hincks, B.B.; Meyers, T.P. Measuring Biosphere-Atmosphere Exchanges of Biologically Related Gases with Micrometeorological Methods. Ecology 1988, 69, 1331–1340. [Google Scholar] [CrossRef]
- Aubinet, M.; Vesala, T.; Papale, D. Eddy Covariance: A Practical Guide to Measurement and Data Analysis; Springer: Dordrecht, The Netherlands, 2012. [Google Scholar]
- Burba, G. Eddy Covariance Method for Scientific, Industrial, Agricultural and Regulatory Applications: A Field Book on Measuring Ecosystem Gas Exchange and Areal Emission Rates; LI-COR Biosciences: Lincoln, NE, USA, 2013. [Google Scholar]
- Moore, C.J. Frequency response corrections for eddy correlation systems. Bound.-Layer Meteorol. 1986, 37, 17–35. [Google Scholar] [CrossRef]
- Vickers, D.; Mahrt, L. Quality Control and Flux Sampling Problems for Tower and Aircraft Data. J. Atmos. Ocean. Technol. 1997, 14, 512–526. [Google Scholar] [CrossRef]
- Aubinet, M. Eddy covariance CO2 flux measurements in nocturnal conditions: An analysis of the problem. Ecol. Appl. 2008, 18, 1368–1378. [Google Scholar] [CrossRef]
- Bou-Zeid, E.; Anderson, W.; Katul, G.G.; Mahrt, L. The Persistent Challenge of Surface Heterogeneity in Boundary-Layer Meteorology: A Review. Bound. Layer Meteorol. 2020, 177, 227–245. [Google Scholar] [CrossRef]
- Vickers, D.; Mahrt, L. A Solution for Flux Contamination by Mesoscale Motions With Very Weak Turbulence. Bound. Layer Meteorol. 2006, 118, 431–447. [Google Scholar] [CrossRef]
- Mahrt, L. The influence of nonstationarity on the turbulent flux–gradient relationship for stable stratification. Bound. Layer Meteorol. 2007, 125, 245–264. [Google Scholar] [CrossRef]
- Mahrt, L. Stably Stratified Atmospheric Boundary Layers. Annu. Rev. Fluid Mech. 2014, 46, 23–45. [Google Scholar] [CrossRef]
- Mahrt, L. Microfronts in the nocturnal boundary layer. Q. J. R. Meteorol. Soc. 2019, 145, 546–562. [Google Scholar] [CrossRef]
- Pfister, L.; Lapo, K.; Mahrt, L.; Thomas, C.K. Thermal Submeso Motions in the Nocturnal Stable Boundary Layer. Part 2: Generating Mechanisms and Implications. Bound. Layer Meteorol. 2021, 180, 203–224. [Google Scholar] [CrossRef]
- Mahrt, L.; Bou-Zeid, E. Non-stationary Boundary Layers. Bound. Layer Meteorol. 2020, 177, 189–204. [Google Scholar] [CrossRef]
- Lan, C.; Wang, B.; Zheng, D.; Wang, Y.; Zhang, Z.; Fang, R. Decreased dissimilarity of turbulent transport attributed to large eddies. Q. J. R. Meteorol. Soc. 2022, 148, 1262–1279. [Google Scholar] [CrossRef]
- Ren, Y.; Zhang, H.; Wei, W.; Wu, B.; Cai, X.; Song, Y. Effects of turbulence structure and urbanization on the heavy haze pollution process. Atmos. Chem. Phys. 2019, 19, 1041–1057. [Google Scholar] [CrossRef]
- Zhang, L.; Zhang, H.; Cai, X.; Song, Y.; Zhang, X. Characteristics of Turbulence Intermittency, Fine Structure, and Flux Correction in the Taklimakan Desert. J. Atmos. Sci. 2024, 81, 459–475. [Google Scholar] [CrossRef]
- Mahrt, L. Computing turbulent fluxes near the surface: Needed improvements. Agric. For. Meteorol. 2010, 150, 501–509. [Google Scholar] [CrossRef]
- Serafin, S.; Adler, B.; Cuxart, J.; De Wekker, S.F.J.; Gohm, A.; Grisogono, B.; Kalthoff, N.; Kirshbaum, D.J.; Rotach, M.W.; Schmidli, J.; et al. Exchange Processes in the Atmospheric Boundary Layer Over Mountainous Terrain. Atmosphere 2018, 9, 102. [Google Scholar] [CrossRef]
- Sun, J.; Nappo, C.J.; Mahrt, L.; Belušić, D.; Grisogono, B.; Stauffer, D.R.; Pulido, M.; Staquet, C.; Jiang, Q.; Pouquet, A.; et al. Review of wave-turbulence interactions in the stable atmospheric boundary layer. Rev. Geophys. 2015, 53, 956–993. [Google Scholar] [CrossRef]
- Siebesma, A.P.; Soares, P.M.M.; Teixeira, J. A Combined Eddy-Diffusivity Mass-Flux Approach for the Convective Boundary Layer. J. Atmos. Sci. 2007, 64, 1230–1248. [Google Scholar] [CrossRef]
- Duan, Y.; Chen, Q.; Li, D.; Zhong, Q. Contributions of very large-scale motions to turbulence statistics in open channel flows. J. Fluid Mech. 2020, 892, A3. [Google Scholar] [CrossRef]
- Fan, J.; Hao, J.; Wen, C.-Y. Role of very large-scale motions in shock wave/turbulent boundary layer interactions. Phys. Fluids 2024, 36. [Google Scholar] [CrossRef]
- Vickers, D.; Mahrt, L. The Cospectral Gap and Turbulent Flux Calculations. J. Atmos. Ocean. Technol. 2003, 20, 660–672. [Google Scholar] [CrossRef]
- Muschinski, A.; Frehlich, R.G.; Balsley, B.B. Small-scale and large-scale intermittency in the nocturnal boundary layer and the residual layer. J. Fluid Mech. 2004, 515, 319–351. [Google Scholar] [CrossRef]
- Huang, N.E.; Wu, Z. A review on Hilbert-Huang transform: Method and its applications to geophysical studies. Rev. Geophys. 2008, 46. [Google Scholar] [CrossRef]
- Huang, Y.X.; Schmitt, F.G.; Hermand, J.P.; Gagne, Y.; Lu, Z.M.; Liu, Y.L. Arbitrary-order Hilbert spectral analysis for time series possessing scaling statistics: Comparison study with detrended fluctuation analysis and wavelet leaders. Phys. Rev. E 2011, 84, 016208. [Google Scholar] [CrossRef]
- Wei, W.; Schmitt, F.G.; Huang, Y.X.; Zhang, H.S. The Analyses of Turbulence Characteristics in the Atmospheric Surface Layer Using Arbitrary-Order Hilbert Spectra. Bound. Layer Meteorol. 2016, 159, 391–406. [Google Scholar] [CrossRef]
- Howell, J.F.; Mahrt, L. Multiresolution Flux Decomposition. Bound. Layer Meteorol. 1997, 83, 117–137. [Google Scholar] [CrossRef]
- Mahrt, L. Characteristics of Submeso Winds in the Stable Boundary Layer. Bound. Layer Meteorol. 2009, 130, 1–14. [Google Scholar] [CrossRef]
- Nilsson, E.O.; Sahlée, E.; Rutgersson, A. Turbulent momentum flux characterization using extended multiresolution analysis. Q. J. R. Meteorol. Soc. 2014, 140, 1715–1728. [Google Scholar] [CrossRef]
- Falocchi, M.; Giovannini, L.; de Franceschi, M.; Zardi, D. A method to determine the characteristic time-scales of quasi-isotropic surface-layer turbulence over complex terrain: A case-study in the Adige Valley (Italian Alps). Q. J. R. Meteorol. Soc. 2019, 145, 495–512. [Google Scholar] [CrossRef]
- Urbancic, G.H.; Suomi, I.; Vihma, T. A general theory for the characterization of submeso-scale motions and turbulence in the atmospheric surface layer. Q. J. R. Meteorol. Soc. 2021, 147, 660–678. [Google Scholar] [CrossRef]
- Li, Y.; Wu, Y.; Tang, J.; Zhu, P.; Gao, Z.; Yang, Y. Quantitative Evaluation of Wavelet Analysis Method for Turbulent Flux Calculation of Non-Stationary Series. Geophys. Res. Lett. 2023, 50, e2022GL101591. [Google Scholar] [CrossRef]
- Liu, Z.; Zhang, H.; Wei, W.; Cai, X.; Song, Y.; Zhang, X. Non-turbulent motion identified from properties of transport and its influence on the calculation of turbulent flux. Q. J. R. Meteorol. Soc. 2024, 150, 2223–2241. [Google Scholar] [CrossRef]
- Deb Burman, P.K.; Prabha, T.V.; Morrison, R.; Karipot, A. A Case Study of Turbulence in the Nocturnal Boundary Layer During the Indian Summer Monsoon. Bound. Layer Meteorol. 2018, 169, 115–138. [Google Scholar] [CrossRef]
- Cava, D.; Mortarini, L.; Anfossi, D.; Giostra, U. Interaction of Submeso Motions in the Antarctic Stable Boundary Layer. Bound. Layer Meteorol. 2019, 171, 151–173. [Google Scholar] [CrossRef]
- Moncrieff, J.B.; Malhi, Y.; Leuning, R. The propagation of errors in long-term measurements of land-atmosphere fluxes of carbon and water. Glob. Change Biol. 1996, 2, 231–240. [Google Scholar] [CrossRef]
- Finnigan, J. The storage term in eddy flux calculations. Agric. For. Meteorol. 2006, 136, 108–113. [Google Scholar] [CrossRef]
- Honkanen, M.; Tuovinen, J.P.; Laurila, T.; Mäkelä, T.; Hatakka, J.; Kielosto, S.; Laakso, L. Measuring turbulent CO2 fluxes with a closed-path gas analyzer in a marine environment. Atmos. Meas. Tech. 2018, 11, 5335–5350. [Google Scholar] [CrossRef]
- Ren, Y.; Zhang, H.; Wei, W.; Cai, X.; Song, Y. Determining the fluctuation of PM2.5 mass concentration and its applicability to Monin–Obukhov similarity. Sci. Total Environ. 2020, 710, 136398. [Google Scholar] [CrossRef]
- Rinne, J.; Ammann, C.; Pattey, E.; Paw U, K.T.; Desjardins, R.L. Alternative Turbulent Trace Gas Flux Measurement Methods; Springer: Berlin/Heidelberg, Germany, 2021; pp. 1505–1530. [Google Scholar]
- Qu, W.J.; Wang, J.; Zhang, X.Y.; Wang, D.; Sheng, L.F. Influence of relative humidity on aerosol composition: Impacts on light extinction and visibility impairment at two sites in coastal area of China. Atmos. Res. 2015, 153, 500–511. [Google Scholar] [CrossRef]
- Ren, Y.; Zhang, H.; Zhang, X.; Li, Q.; Cai, X.; Song, Y.; Kang, L.; Zhu, T. Temporal and spatial characteristics of turbulent transfer and diffusion coefficient of PM2.5. Sci. Total Environ. 2021, 782, 146804. [Google Scholar] [CrossRef] [PubMed]
- Carbone, F.; Alberti, T.; Faranda, D.; Telloni, D.; Consolini, G.; Sorriso-Valvo, L. Local dimensionality and inverse persistence analysis of atmospheric turbulence in the stable boundary layer. Phys. Rev. E 2022, 106, 064211. [Google Scholar] [CrossRef] [PubMed]
- Liu, Z.; Zhang, H.; Fu, Z.; Cai, X.; Song, Y. Analysis of Fractal Properties of Atmospheric Turbulence and the Practical Applications. Fractal Fract. 2024, 8, 483. [Google Scholar] [CrossRef]
- Banerjee, S.; Krahl, R.; Durst, F.; Zenger, C. Presentation of anisotropy properties of turbulence, invariants versus eigenvalue approaches. J. Turbul. 2007, 8, N32. [Google Scholar] [CrossRef]
- Stiperski, I.; Calaf, M. Dependence of near-surface similarity scaling on the anisotropy of atmospheric turbulence. Q. J. R. Meteorol. Soc. 2018, 144, 641–657. [Google Scholar] [CrossRef]
- Stiperski, I.; Calaf, M.; Rotach, M.W. Scaling, Anisotropy, and Complexity in Near-Surface Atmospheric Turbulence. J. Geophys. Res. Atmos. 2019, 124, 1428–1448. [Google Scholar] [CrossRef]
- Dey, S.; Paul, P.; Ali, S.Z.; Padhi, E. Reynolds stress anisotropy in flow over two-dimensional rigid dunes. Proc. R. Soc. A Math. Phys. Eng. Sci. 2020, 476, 20200638. [Google Scholar] [CrossRef]
- Stiperski, I.; Katul, G.G.; Calaf, M. Universal Return to Isotropy of Inhomogeneous Atmospheric Boundary Layer Turbulence. Phys. Rev. Lett. 2021, 126, 194501. [Google Scholar] [CrossRef]
- Dabbagh, F.; Schneiderbauer, S. Anisotropy characterization of turbulent fluidization. Phys. Rev. Fluids 2022, 7, 094301. [Google Scholar] [CrossRef]
- Gucci, F.; Giovannini, L.; Stiperski, I.; Zardi, D.; Vercauteren, N. Sources of anisotropy in the Reynolds stress tensor in the stable boundary layer. Q. J. R. Meteorol. Soc. 2023, 149, 277–299. [Google Scholar] [CrossRef]
- Stiperski, I.; Calaf, M. Generalizing Monin-Obukhov Similarity Theory (1954) for Complex Atmospheric Turbulence. Phys. Rev. Lett. 2023, 130, 124001. [Google Scholar] [CrossRef]
- Mosso, S.; Calaf, M.; Stiperski, I. Flux-gradient relations and their dependence on turbulence anisotropy. Q. J. R. Meteorol. Soc. 2024, 150, 3346–3367. [Google Scholar] [CrossRef]
- Ye, X.; Wu, B.; Zhang, H. The turbulent structure and transport in fog layers observed over the Tianjin area. Atmos. Res. 2015, 153, 217–234. [Google Scholar] [CrossRef]
- Wei, W.; Zhang, H.; Wu, B.; Huang, Y.; Cai, X.; Song, Y.; Li, J. Intermittent turbulence contributes to vertical dispersion of PM2.5 in the North China Plain: Cases from Tianjin. Atmos. Chem. Phys. 2018, 18, 12953–12967. [Google Scholar] [CrossRef]
- Li, X.; Zhang, H. Size distribution of dust aerosols observed over the Horqin Sandy Land in Inner Mongolia, China. Aeolian Res. 2015, 17, 231–239. [Google Scholar] [CrossRef]
- Wei, Z.; Zhang, H.; Ren, Y.; Li, Q.; Cai, X.; Song, Y.; Kang, L. Study on the characteristics of the pressure fluctuations and their contribution to turbulence kinetic energy. Atmos. Res. 2021, 258, 105634. [Google Scholar] [CrossRef]
- Wilczak, J.M.; Oncley, S.P.; Stage, S.A. Sonic Anemometer Tilt Correction Algorithms. Bound. Layer Meteorol. 2001, 99, 127–150. [Google Scholar] [CrossRef]
- Huang, N.E.; Shen, Z.; Long, S.R.; Wu, M.C.; Shih, H.H.; Zheng, Q.; Yen, N.-C.; Tung, C.C.; Liu, H.H. The empirical mode decomposition and the Hilbert spectrum for nonlinear and non-stationary time series analysis. Proc. R. Soc. London. Ser. A Math. Phys. Eng. Sci. 1998, 454, 903–995. [Google Scholar] [CrossRef]
- Rehman, N.; Mandic, D.P. Multivariate empirical mode decomposition. Proc. R. Soc. A Math. Phys. Eng. Sci. 2010, 466, 1291–1302. [Google Scholar] [CrossRef]
- Rilling, G.; Flandrin, P.; Goncalves, P.; Lilly, J.M. Bivariate Empirical Mode Decomposition. IEEE Signal Process. Lett. 2007, 14, 936–939. [Google Scholar] [CrossRef]
- Klipp, C. Near-Surface Turbulent Temperature Variances and Anisotropy at Multiple Scales of Motion; SPIE: Bellingham, WA, USA, 2012; Volume 8380. [Google Scholar]
- Grachev, A.A.; Andreas, E.L.; Fairall, C.W.; Guest, P.S.; Persson, P.O.G. The Critical Richardson Number and Limits of Applicability of Local Similarity Theory in the Stable Boundary Layer. Bound. Layer Meteorol. 2013, 147, 51–82. [Google Scholar] [CrossRef]
- Vercauteren, N.; Boyko, V.; Faranda, D.; Stiperski, I. Scale interactions and anisotropy in stable boundary layers. Q. J. R. Meteorol. Soc. 2019, 145, 1799–1813. [Google Scholar] [CrossRef]
- Klipp, C. Near-Surface Anisotropic Turbulence; SPIE: Bellingham, WA, USA, 2010; Volume 7685. [Google Scholar]
- Sarkar, S.; Speziale, C.G. A simple nonlinear model for the return to isotropy in turbulence. Phys. Fluids A Fluid Dyn. 1990, 2, 84–93. [Google Scholar] [CrossRef]
- Choi, K.-S.; Lumley, J.L. The return to isotropy of homogeneous turbulence. J. Fluid Mech. 2001, 436, 59–84. [Google Scholar] [CrossRef]
- Pope, S.B. Turbulent Flows; Cambridge University Press: Cambridge, UK, 2000. [Google Scholar]
- Ren, Y.; Zhang, H.; Zhang, L.; Liang, J. Quantitative description and characteristics of submeso motion and turbulence intermittency. Q. J. R. Meteorol. Soc. 2023, 149, 1726–1744. [Google Scholar] [CrossRef]
- Mazzola, M.; Viola, A.P.; Choi, T.; Tampieri, F. Characterization of Turbulence in the Neutral and Stable Surface Layer at Jang Bogo Station, Antarctica. Atmosphere 2021, 12, 1095. [Google Scholar] [CrossRef]







| Station | Variables Observed | Underlying Surface | Anthropogenic Activity | Stratification Condition |
|---|---|---|---|---|
| Tianjin | Urban land (Medium Homogeneity) | High | Balanced | |
| Naiman | Sandy land (High Homogeneity) | Low | Mainly Unstable | |
| Dezhou | Farmland (High Homogeneity) | Medium | Mainly Stable |
Disclaimer/Publisher’s Note: The statements, opinions and data contained in all publications are solely those of the individual author(s) and contributor(s) and not of MDPI and/or the editor(s). MDPI and/or the editor(s) disclaim responsibility for any injury to people or property resulting from any ideas, methods, instructions or products referred to in the content. |
© 2025 by the authors. Licensee MDPI, Basel, Switzerland. This article is an open access article distributed under the terms and conditions of the Creative Commons Attribution (CC BY) license (https://creativecommons.org/licenses/by/4.0/).
Share and Cite
Liu, Z.; Zhang, H.; Cai, X.; Song, Y. Identification of Non-Turbulent Motions for Enhanced Estimation of Land–Atmosphere Transport Through the Anisotropy of Turbulence. Earth 2025, 6, 94. https://doi.org/10.3390/earth6030094
Liu Z, Zhang H, Cai X, Song Y. Identification of Non-Turbulent Motions for Enhanced Estimation of Land–Atmosphere Transport Through the Anisotropy of Turbulence. Earth. 2025; 6(3):94. https://doi.org/10.3390/earth6030094
Chicago/Turabian StyleLiu, Zihan, Hongsheng Zhang, Xuhui Cai, and Yu Song. 2025. "Identification of Non-Turbulent Motions for Enhanced Estimation of Land–Atmosphere Transport Through the Anisotropy of Turbulence" Earth 6, no. 3: 94. https://doi.org/10.3390/earth6030094
APA StyleLiu, Z., Zhang, H., Cai, X., & Song, Y. (2025). Identification of Non-Turbulent Motions for Enhanced Estimation of Land–Atmosphere Transport Through the Anisotropy of Turbulence. Earth, 6(3), 94. https://doi.org/10.3390/earth6030094

