Evaluating the Performance of MODIS and MERRA-2 AOD Retrievals Using AERONET Observations in the Dust Belt Region
Abstract
1. Introduction
2. Study Area
3. Data
3.1. MERRA Data
3.2. MODIS Data
3.3. AERONET Data
4. Methodology
5. Results and Discussion
5.1. Validation
5.2. Spatial Analysis
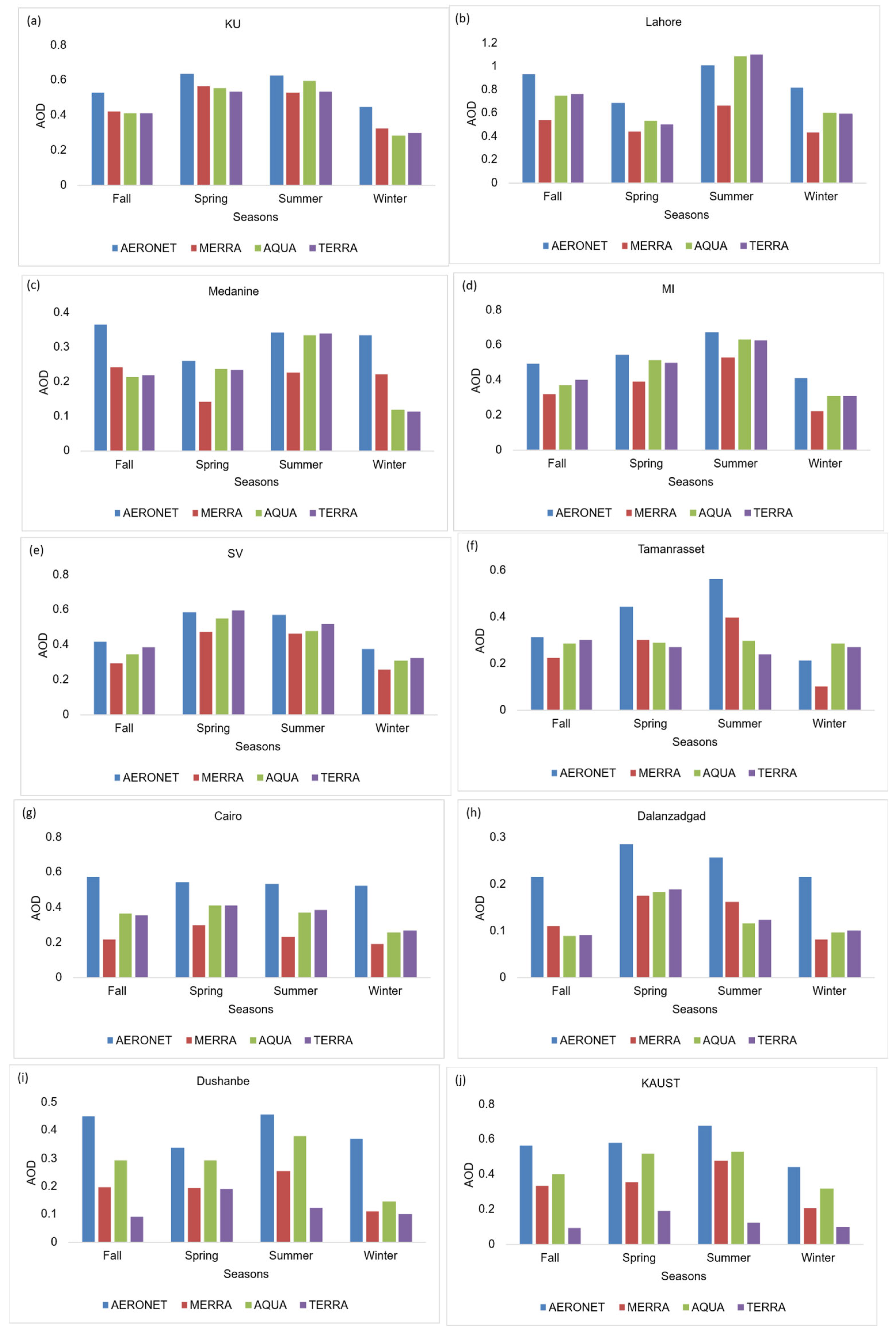
5.3. Annual and Seasonal Trend Analysis of AOD
6. Conclusions
Supplementary Materials
Author Contributions
Funding
Data Availability Statement
Acknowledgments
Conflicts of Interest
References
- Goudie, A.; Middleton, N. Desert Dust in the Global System; Springer: Berlin/Heidelberg, Germany, 2006; ISBN 103-540-32354-6. [Google Scholar]
- Kaskaoutis, D.G.; Prasad, A.K.; Kosmopoulos, P.G.; Sinha, P.R.; Kharol, S.K.; Gupta, P.; El-Askary, H.M.; Kafatos, M. Synergistic use of remote sensing and modeling for tracing dust storms in the mediterranean. Adv. Meteorol. 2012, 2012, 861026. [Google Scholar] [CrossRef]
- Finlayson-Pitts, B.; Pitts, J. Chemistry of the Upper and Lower Atmosphere; Elsevier: Amsterdam, The Netherlands, 2000. [Google Scholar] [CrossRef]
- Shao, Y.; Klose, M.; Wyrwoll, K.-H. Recent global dust trend and connections to climate forcing. J. Geophys. Res. Atmos. 2013, 118, 11107–11118. [Google Scholar] [CrossRef]
- IPCC. Climate Change 2007: Synthesis Report. Contribution of Working Groups I, II and III to the Fourth Assessment Report of the Intergovernmental Panel on Climate Change; Pachauri, R.K., Reisinger, A., Eds.; IPCC: Geneva, Switzerland, 2007; p. 104. [Google Scholar]
- IPCC. IPCC Special Report on Climate Change, Desertification, Land Degradation, Sustainable Land Management, Food Security, and Greenhouse Gas Fluxes in Terrestrial Ecosystems. 2019. Available online: https://www.ipcc.ch/srccl/ (accessed on 3 February 2021).
- Wild, M. Global dimming and brightening: A review. J. Geophys. Res. Atmos. 2009, 114, 1–16. [Google Scholar] [CrossRef]
- Wang, S.; Fang, L.; Gu, X.; Yu, T.; Gao, J. Comparison of aerosol optical properties from Beijing and Kanpur. Atmos. Environ. 2011, 45, 7406–7414. [Google Scholar] [CrossRef]
- Prospero, J.M.; Ginoux, P.; Torres, O.; Nicholson, S.E.; Gill, T.E. Environmental characterization of global sources of atmospheric soil dust identified with the Nimbus 7 Total Ozone Mapping Spectrometer (TOMS) absorbing aerosol product. Rev. Geophys. 2002, 40, 2-1–2-31. [Google Scholar] [CrossRef]
- Qu, J.J.; Hao, X.; Kafatos, M.; Wang, L. Asian dust storm monitoring combining terra and aqua MODIS SRB measurements. IEEE Geosci. Remote Sens. Lett. 2006, 3, 484–486. [Google Scholar] [CrossRef]
- Xu, D.; Qu, J.J.; Niu, S.; Hao, X. Sand and dust storm detection over desert regions in china with MODIS measurements. Int. J. Remote Sens. 2011, 32, 9365–9373. [Google Scholar] [CrossRef]
- Jin, Q.; Wang, C. The greening of Northwest Indian subcontinent and reduction of dust abundance resulting from Indian summer monsoon revival. Sci. Rep. 2018, 8, 4573. [Google Scholar] [CrossRef]
- Labban, A.H.; Butt, M.J. Analysis of sand and dust storm events over Saudi Arabia in relation with meteorological parameters and ENSO. Arab. J. Geosci. 2021, 14, 22. [Google Scholar] [CrossRef]
- Butt, M.J.; Assiri, M.E.; Ali, M.A. Assessment of AOD variability over Saudi Arabia using MODIS Deep Blue products. Environ. Pollut. 2017, 231, 143–153. [Google Scholar] [CrossRef]
- Buchard, V.; da Silva, A.; Randles, C.; Colarco, P.; Ferrare, R.; Hair, J.; Hostetler, C.; Tackett, J.; Winker, D. Evaluation of the surface PM2.5 in Version 1 of the NASA MERRA Aerosol Re- analysis over the United States. Atmos. Environ. 2016, 125, 100–111. [Google Scholar] [CrossRef]
- Li, Z.; Zhao, X.; Kahn, R.; Mishchenko, M.; Remer, L.; Lee, K.H.; Wang, M.; Laszlo, I.; Nakajima, T.; Maring, H. Uncertainties in satellite remote sensing of aerosols and impact on monitoring its long-term trend: A review and perspective. Ann. Geophys. 2009, 27, 2755–2770. [Google Scholar] [CrossRef]
- Butt, M.J.; Mashat, A.S. MODIS satellite data evaluation for sand and dust storm monitoring in Saudi Arabia. Int. J. Remote Sens. 2018, 39, 8627–8645. [Google Scholar] [CrossRef]
- Lee, S.; Park, S.; Lee, M.I.; Kim, G.; Im, J.; Song, C.K. Air Quality Forecasts Improved by Combining Data Assimilation and Machine Learning With Satellite AOD. Geophys. Res. Lett. 2022, 49, e2021GL096066. [Google Scholar] [CrossRef]
- Palacios-Penã, L.; Jiménez-Guerrero, P.; Baró, R.; Balzarini, A.; Bianconi, R.; Curci, G.; Christian Landi, T.; Pirovano, G.; Prank, M.; Riccio, A.; et al. Aerosol optical properties over Europe: An evaluation of the AQMEII Phase 3 simulations against satellite observations. Atmos. Chem. Phys. 2019, 19, 2965–2990. [Google Scholar] [CrossRef]
- Mangla, R.; Indu, J.; Chakra, S.S. Inter-comparison of multi-satellites and Aeronet AOD over Indian Region. Atmos. Res. 2020, 240, 104950. [Google Scholar] [CrossRef]
- Alam, K.; Iqbal, M.J.; Blaschke, T.; Qureshi, S.; Khan, G. Monitoring spatio-temporal variations in aerosols and aerosol–cloud interactions over Pakistan using MODIS data. Adv. Sp. Res. 2010, 46, 1162–1176. [Google Scholar] [CrossRef]
- Ichoku, C.; Kaufman, Y.J.; Remer, L.A.; Levy, R. Global aerosol remote sensing from MODIS. Adv. Sp. Res. 2004, 34, 820–827. [Google Scholar] [CrossRef]
- Balakrishnaiah, G.; Raghavendra kumar, K.; Suresh Kumar Reddy, B.; Rama Gopal, K.; Reddy, R.R.; Reddy, L.S.S.; Swamulu, C.; Nazeer Ahammed, Y.; Narasimhulu, K.; KrishnaMoorthy, K.; et al. Spatio-temporal variations in aerosol optical and cloud parameters over Southern India retrieved from MODIS satellite data. Atmos. Environ. 2012, 47, 435–445. [Google Scholar] [CrossRef]
- Holben, B.N.; Eck, T.F.; Slutsker, I.; Tanré, D.; Buis, J.P.; Setzer, A.; Vermote, E.; Reagan, J.A.; Kaufman, Y.J.; Nakajima, T.; et al. AERONET—A federated instrument network and data archive for aerosol characterization. Remote Sens. Environ. 1998, 66, 1–16. [Google Scholar] [CrossRef]
- Smirnov, A.; Holben, B.N.; Eck, T.F.; Dubovik, O.; Slutsker, I. Cloud-Screening and Quality Control Algorithms for the AERONET Database. Remote Sens. Environ. 2000, 73, 337–349. [Google Scholar] [CrossRef]
- Shi, Y.; Zhang, J.; Reid, J.S.; Hyer, E.J.; Eck, T.F.; Holben, B.N.; Kahn, R.A. A critical examination of spatial biases between MODIS and MISR aerosol products—Application for potential AERONET deployment. Atmos. Meas. Tech. 2011, 4, 2823–2836. [Google Scholar] [CrossRef]
- Kim, D.; Chin, M.; Yu, H.; Eck, T.F.; Sinyuk, A.; Smirnov, A.; Holben, B.N. Dust optical properties over North Africa and Arabian Peninsula derived from the AERONET dataset. Atmos. Chem. Phys. 2011, 11, 10733–10741. [Google Scholar] [CrossRef]
- Arola, A.; Schuster, G.; Myhre, G.; Kazadzis, S.; Dey, S.; Tripathi, S.N. Inferring absorbing organic carbon content from AERONET data. Atmos. Chem. Phys. 2011, 11, 215–225. [Google Scholar] [CrossRef]
- Benedetti, A.; Morcrette, J.J.; Boucher, O.; Dethof, A.; Engelen, R.J.; Fisher, M.; Flentje, H.; Huneeus, N.; Jones, L.; Kaiser, J.W.; et al. Aerosol analysis and forecast in the European Centre for Medium-Range Weather Forecasts Integrated Forecast System: 2. Data assimilation. J. Geophys. Res. Atmos. 2009, 114, 13205. [Google Scholar] [CrossRef]
- Chen, D.; Liu, Z.; Schwartz, C.S.; Cetola, J.D.; Gu, Y.; Xue, L. The impact of aerosol optical depth assimilation on aerosol forecasts and radiative effects during a wild fire event over the United States. Geosci. Model Dev. 2014, 7, 2709–2715. [Google Scholar] [CrossRef]
- Li, Z.; Zang, Z.; Li, Q.B.; Chao, Y.; Chen, D.; Ye, Z.; Liu, Y.; Liou, K.N. A three-dimensional variational data assimilation system for multiple aerosol species with WRF/Chem and an application to PM2.5 prediction. Atmos. Chem. Phys. 2013, 13, 4265–4278. [Google Scholar] [CrossRef]
- Sekiyama, T.T.; Tanaka, T.Y.; Shimizu, A.; Miyoshi, T. Data assimilation of CALIPSO aerosol observations. Atmos. Chem. Phys. 2010, 10, 39–49. [Google Scholar] [CrossRef]
- Zhang, J.; Reid, J.S.; Westphal, D.L.; Baker, N.L.; Hyer, E.J. A system for operational aerosol optical depth data assimilation over global oceans. J. Geophys. Res. Atmos. 2008, 113, 10208. [Google Scholar] [CrossRef]
- Rubin, J.I.; Reid, J.S.; Hansen, J.A.; Anderson, J.L.; Collins, N.; Hoar, T.J.; Hogan, T.; Lynch, P.; McLay, J.; Reynolds, C.A.; et al. Development of the Ensemble Navy Aerosol Analysis Prediction System (ENAAPS) and its application of the Data Assimilation Research Testbed (DART) in support of aerosol forecasting. Atmos. Chem. Phys. 2016, 16, 3927–3951. [Google Scholar] [CrossRef]
- Schwarz, J.P.; Samset, B.H.; Perring, A.E.; Spackman, J.R.; Gao, R.S.; Stier, P.; Schulz, M.; Moore, F.L.; Ray, E.A.; Fahey, D.W. Global-scale seasonally resolved black carbon vertical profiles over the Pacific. Geophys. Res. Lett. 2013, 40, 5542–5547. [Google Scholar] [CrossRef]
- Randles, C.A.; da Silva, A.M.; Buchard, V.; Colarco, P.R.; Darmenov, A.; Govindaraju, R.; Smirnov, A.; Holben, B.; Ferrare, R.; Hair, J.; et al. The MERRA-2 Aerosol Reanalysis, 1980—Onward, Part I: System Description and Data Assimilation Evaluation. J. Clim. 2017, 30, 6823–6850. [Google Scholar] [CrossRef] [PubMed]
- Shi, H.; Xiao, Z.; Zhan, X.; Ma, H.; Tian, X. Evaluation of MODIS and two reanalysis aerosol optical depth products over AERONET sites. Atmos. Res. 2019, 220, 75–80. [Google Scholar] [CrossRef]
- Zhang, Y.; Bocquet, M.; Mallet, V.; Seigneur, C.; Baklanov, A. Real-time air quality forecasting, part I: History, techniques, and current status. Atmos. Environ. 2012, 60, 632–655. [Google Scholar] [CrossRef]
- Giordano, L.; Brunner, D.; Flemming, J.; Hogrefe, C.; Im, U.; Bianconi, R.; Badia, A.; Balzarini, A.; Baró, R.; Chemel, C.; et al. Assessment of the MACC reanalysis and its influence as chemical boundary conditions for regional air quality modeling in AQMEII-2. Atmos. Environ. 2015, 115, 371–388. [Google Scholar] [CrossRef]
- Reale, O.; Lau, K.M.; Da Silva, A.; Matsui, T. Impact of assimilated and interactive aerosol on tropical cyclogenesis. Geophys. Res. Lett. 2014, 41, 3282–3288. [Google Scholar] [CrossRef]
- Bellouin, N.; Quaas, J.; Morcrette, J.J.; Boucher, O. Estimates of aerosol radiative forcing from the MACC re-analysis. Atmos. Chem. Phys. 2013, 13, 2045–2062. [Google Scholar] [CrossRef]
- Kessner, A.L.; Wang, J.; Levy, R.C.; Colarco, P.R. Remote sensing of surface visibility from space: A look at the United States East Coast. Atmos. Environ. 2013, 81, 136–147. [Google Scholar] [CrossRef]
- Inness, A.; Baier, F.; Benedetti, A.; Bouarar, I.; Chabrillat, S.; Clark, H.; Clerbaux, C.; Coheur, P.; Engelen, R.J.; Errera, Q.; et al. The MACC reanalysis: An 8 yr data set of atmospheric composition. Atmos. Chem. Phys. 2013, 13, 4073–4109. [Google Scholar] [CrossRef]
- Samman, A.E.; Butt, M.J. Aerosol Types and Their Climatology over the Dust Belt Region. Atmosphere 2023, 14, 1610. [Google Scholar] [CrossRef]
- Gelaro, R.; McCarty, W.; Suárez, M.J.; Todling, R.; Molod, A.; Takacs, L.; Randles, C.A.; Darmenov, A.; Bosilovich, M.G.; Reichle, R.; et al. The Modern-Era Retrospective Analysis for Research and Applications, Version 2 (MERRA-2). J. Clim. 2017, 30, 5419–5454. [Google Scholar] [CrossRef]
- Molod, A.; Takacs, L.; Suarez, M.; Bacmeister, J. Development of the GEOS-5 atmospheric general circulation model: Evolution from MERRA to MERRA2. Geosci. Model Dev. 2015, 8, 1339–1356. [Google Scholar] [CrossRef]
- Hsu, N.C.; Tsay, S.C.; King, M.D.; Herman, J.R. Deep Blue retrievals of Asian aerosol properties during ACE-Asia. IEEE Trans. Geosci. Remote Sens. 2006, 44, 3180–3195. [Google Scholar] [CrossRef]
- Alghamdi, E.M.; Assiri, M.E.; Butt, M.J. Application of global dust detection index (GDDI) for sand and dust storm monitoring over Kingdom of Saudi Arabia. Nat. Hazards 2024, 120, 13385–13405. [Google Scholar] [CrossRef]
- Cachorro, V.E.; Vergaz, R.; De Frutos, A.M.; Vilaplana, J.M.; Henriques, D.; Laulainen, N.; Toledano, C. Study of desert dust events over the southwestern Iberian Peninsula in year 2000: Two case studies. Ann. Geophys. 2006, 24, 1493–1510. [Google Scholar] [CrossRef]
- Wei, Y.; Li, Z.; Zhang, Y.; Chen, C.; Dubovik, O.; Zhang, Y.; Xu, H.; Li, K.; Chen, J.; Wang, H.; et al. Validation of POLDER GRASP aerosol optical retrieval over China using SONET observations. J. Quant. Spectrosc. Radiat. Transf. 2020, 246, 106931. [Google Scholar] [CrossRef]
- Sabbah, I. Impact of aerosol on air temperature in Kuwait. Atmos. Res. 2010, 97, 303–314. [Google Scholar] [CrossRef]
- Rupakheti, D.; Rupakheti, M.; Rai, M.; Yu, X.; Yin, X.; Kang, S.; Orozaliev, M.D.; Sinyakov, V.P.; Abdullaev, S.F.; Sulaymon, I.D.; et al. Characterization of columnar aerosol over a background site in Central Asia. Environ. Pollut. 2023, 316, 120501. [Google Scholar] [CrossRef]
- Khan, R.; Kumar, K.R.; Zhao, T. The climatology of aerosol optical thickness and radiative effects in Southeast Asia from 18-years of ground-based observations. Environ. Pollut. 2019, 254, 113025. [Google Scholar] [CrossRef]
- Abdulfattah, I.S.; Rajab, J.M.; Chaabane, M.; Lafta, M.H.; Lim, H.S. Air Surface Temperature Variability and Trends from Satellite Homogenized Time Series Data Over Tunis 2003–2021. IOP Conf. Ser. Earth Environ. Sci. 2023, 1223, 012017. [Google Scholar] [CrossRef]
- Farahat, A. Comparative analysis of MODIS, MISR, and AERONET climatology over the Middle East and North Africa. Ann. Geophys. 2019, 37, 49–64. [Google Scholar] [CrossRef]
- Choi, Y.; Chen, S.H.; Huang, C.C.; Earl, K.; Chen, C.Y.; Schwartz, C.S.; Matsui, T. Evaluating the Impact of Assimilating Aerosol Optical Depth Observations on Dust Forecasts over North Africa and the East Atlantic Using Different Data Assimilation Methods. J. Adv. Model. Earth Syst. 2020, 12, e2019MS001890. [Google Scholar] [CrossRef]
- Anoruo, C.M.; Bukhari, S.N.H.; Nwofor, O.K. Modeling and spatial characterization of aerosols at Middle East AERONET stations. Theor. Appl. Climatol. 2023, 152, 617–625. [Google Scholar] [CrossRef]
- Albugami, S.; Palmer, S.; Meersmans, J.; Waine, T. Evaluating MODIS dust-detection indices over the Arabian Peninsula. Remote Sens. 2018, 10, 1993. [Google Scholar] [CrossRef]
- Cuesta, J.; Edouart, D.; Mimouni, M.; Flamant, P.H.; Loth, C.; Gibert, F.; Marnas, F.; Bouklila, A.; Kharef, M.; Ouchène, B.; et al. Multiplatform observations of the seasonal evolution of the Saharan atmospheric boundary layer in Tamanrasset, Algeria, in the framework of the African Monsoon Multidisciplinary Analysis field campaign conducted in 2006. J. Geophys. Res. Atmos. 2008, 113, D00C07. [Google Scholar] [CrossRef]
- Guirado, C.; Cuevas, E.; Cachorro, V.E.; Toledano, C.; Alonso-Pérez, S.; Bustos, J.J.; Basart, S.; Romero, P.M.; Camino, C.; Mimouni, M.; et al. Aerosol characterization at the Saharan AERONET site Tamanrasset. Atmos. Chem. Phys. 2014, 14, 11753–11773. [Google Scholar] [CrossRef]
- Abdelaty, H.; Weiss, D.; Mangelkramer, D. Climate Policy in Developing Countries: Analysis of Climate Mitigation and Adaptation Measures in Egypt. Sustainability 2023, 15, 9121. [Google Scholar] [CrossRef]
- Kenawy, E.; Wahab, A.; Oraby, M.M.; Karani, G.; Krakauer, N.Y.; Darkwa, J.; Thomas, D.; Dawoud, W.; El Kenawy, A.M.; Wahab, M.M.A.; et al. Temporal Variability of Particulate Matter and Black Carbon Concentrations over Greater Cairo and Its Atmospheric Drivers. Climate 2023, 11, 133. [Google Scholar] [CrossRef]
- Huang, G.; Zhou, Y.; Guo, Z.; Liu, X.; Chen, Y.; Liu, Q.; Ta, Z.; Wang, P.; He, Q.; Gao, J.; et al. The influence of dust aerosols on solar radiation and near-surface temperature during a severe duststorm transport episode. Front. Environ. Sci. 2023, 11, 1126302. [Google Scholar] [CrossRef]









| Station Name (Country) | Longitude, Latitude (Elevation in Meter) | Total Number of Co-Registered Measurements of AERONET | ||
|---|---|---|---|---|
| MERRA-2 | Aqua | Terra | ||
| Tamanrasset (Algeria) | 5.53, 22.79 (1377.0) | 3878 | 3301 | 3472 |
| Medenine (Tunisia) | 10.64, 33.5 (33.5) | 698 | 654 | 652 |
| Cairo (Egypt) | 31.29, 30.08 (70.0) | 2997 | 2555 | 2676 |
| KAUST (Saudi Arabia) | 39.10, 22.30 (11.2) | 1536 | 1309 | 1338 |
| Solar Village (Saudi Arabia) | 46.39, 24.90 (764.0) | 3920 | 2648 | 3343 |
| Kuwait University (Kuwait) | 47.97, 29.32 (42.0) | 1112 | 1043 | 1067 |
| Masdar Institute (UAE) | 54.61, 24.44 (4.0) | 1927 | 1651 | 1760 |
| Dushanbe (Tajikistan) | 68.85, 38.55 (821.0) | 2099 | 1786 | 1800 |
| Lahore (Pakistan) | 74.26, 31.48 (209.0) | 2697 | 2401 | 2391 |
| Dalanzadgad (Mongolia) | 104.41, 43.57 (1470.0) | 4759 | 2832 | 3434 |
| MERRA-2 | ||||||||
|---|---|---|---|---|---|---|---|---|
| AERONET Station | R2 | R | IOA | RMSE | MAE | RMB | SDA | SDM |
| KU | 0.63 | 0.79 | 0.84 | 0.18 | 0.14 | −0.09 | 0.26 | 0.21 |
| Lahore | 0.49 | 0.70 | 0.60 | 0.44 | 0.35 | −0.34 | 0.40 | 0.26 |
| Medanine | 0.75 | 0.87 | 0.79 | 0.14 | 0.13 | −0.12 | 0.15 | 0.15 |
| MI | 0.77 | 0.88 | 0.78 | 0.19 | 0.17 | −0.16 | 0.20 | 0.19 |
| SV | 0.78 | 0.88 | 0.87 | 0.16 | 0.12 | −0.11 | 0.23 | 0.20 |
| Tamanrasset | 0.61 | 0.78 | 0.78 | 0.21 | 0.14 | −0.13 | 0.26 | 0.18 |
| Cairo | 0.24 | 0.49 | 0.28 | 0.35 | 0.31 | −0.31 | 0.18 | 0.13 |
| Dalanzadgad | 0.52 | 0.72 | 0.59 | 0.13 | 0.12 | −0.11 | 0.09 | 0.09 |
| Dushanbe | 0.39 | 0.62 | 0.42 | 0.27 | 0.22 | −0.22 | 0.20 | 0.10 |
| KAUST | 0.72 | 0.85 | 0.71 | 0.26 | 0.22 | −0.22 | 0.25 | 0.19 |
| MODIS Aqua | ||||||||
| KU | 0.54 | 0.73 | 0.82 | 0.22 | 0.17 | −0.09 | 0.26 | 0.28 |
| Lahore | 0.61 | 0.78 | 0.86 | 0.29 | 0.22 | −0.11 | 0.38 | 0.43 |
| Medanine | 0.69 | 0.83 | 0.80 | 0.14 | 0.12 | −0.10 | 0.15 | 0.16 |
| MI | 0.68 | 0.82 | 0.86 | 0.16 | 0.13 | −0.08 | 0.20 | 0.25 |
| SV | 0.67 | 0.82 | 0.86 | 0.17 | 0.14 | −0.09 | 0.25 | 0.23 |
| Tamanrasset | 0.67 | 0.82 | 0.87 | 0.17 | 0.12 | −0.08 | 0.26 | 0.23 |
| Cairo | 0.39 | 0.62 | 0.59 | 0.24 | 0.20 | −0.18 | 0.17 | 0.18 |
| Dalanzadgad | 0.28 | 0.53 | 0.47 | 0.16 | 0.14 | −0.12 | 0.09 | 0.13 |
| Dushanbe | 0.62 | 0.79 | 0.81 | 0.16 | 0.13 | −0.11 | 0.19 | 0.19 |
| KAUST | 0.64 | 0.80 | 0.83 | 0.20 | 0.15 | −0.12 | 0.26 | 0.23 |
| MODIS Terra | ||||||||
| KU | 0.55 | 0.74 | 0.81 | 0.22 | 0.18 | −0.11 | 0.26 | 0.29 |
| Lahore | 0.61 | 0.78 | 0.86 | 0.29 | 0.22 | −0.11 | 0.38 | 0.44 |
| Medanine | 0.58 | 0.76 | 0.77 | 0.15 | 0.13 | −0.10 | 0.15 | 0.18 |
| MI | 0.59 | 0.77 | 0.82 | 0.19 | 0.15 | −0.08 | 0.20 | 0.27 |
| SV | 0.52 | 0.72 | 0.83 | 0.19 | 0.15 | −0.04 | 0.24 | 0.25 |
| Tamanrasset | 0.67 | 0.82 | 0.84 | 0.19 | 0.14 | −0.11 | 0.26 | 0.22 |
| Cairo | 0.31 | 0.56 | 0.55 | 0.25 | 0.20 | −0.18 | 0.18 | 0.20 |
| Dalanzadgad | 0.30 | 0.55 | 0.51 | 0.16 | 0.14 | −0.12 | 0.09 | 0.13 |
| Dushanbe | 0.68 | 0.83 | 0.85 | 0.15 | 0.12 | −0.09 | 0.19 | 0.19 |
| KAUST | 0.55 | 0.74 | 0.76 | 0.23 | 0.18 | −0.15 | 0.24 | 0.23 |
Disclaimer/Publisher’s Note: The statements, opinions and data contained in all publications are solely those of the individual author(s) and contributor(s) and not of MDPI and/or the editor(s). MDPI and/or the editor(s) disclaim responsibility for any injury to people or property resulting from any ideas, methods, instructions or products referred to in the content. |
© 2025 by the authors. Licensee MDPI, Basel, Switzerland. This article is an open access article distributed under the terms and conditions of the Creative Commons Attribution (CC BY) license (https://creativecommons.org/licenses/by/4.0/).
Share and Cite
Samman, A.E.; Butt, M.J. Evaluating the Performance of MODIS and MERRA-2 AOD Retrievals Using AERONET Observations in the Dust Belt Region. Earth 2025, 6, 115. https://doi.org/10.3390/earth6040115
Samman AE, Butt MJ. Evaluating the Performance of MODIS and MERRA-2 AOD Retrievals Using AERONET Observations in the Dust Belt Region. Earth. 2025; 6(4):115. https://doi.org/10.3390/earth6040115
Chicago/Turabian StyleSamman, Ahmad E., and Mohsin Jamil Butt. 2025. "Evaluating the Performance of MODIS and MERRA-2 AOD Retrievals Using AERONET Observations in the Dust Belt Region" Earth 6, no. 4: 115. https://doi.org/10.3390/earth6040115
APA StyleSamman, A. E., & Butt, M. J. (2025). Evaluating the Performance of MODIS and MERRA-2 AOD Retrievals Using AERONET Observations in the Dust Belt Region. Earth, 6(4), 115. https://doi.org/10.3390/earth6040115

