Next Issue
Volume 15, November
Previous Issue
Volume 15, September
 
 
Due to scheduled maintenance work on our servers, there may be short service disruptions on this website between 11:00 and 12:00 CEST on March 28th.

Metabolites, Volume 15, Issue 10 (October 2025) – 46 articles

Cover Story (view full-size image): The origin of disorders and diseases is a concern that has persisted throughout history. Wild sought to challenge this knowledge gap by coining a term that encompassed the inter-relationship between genetics and the environment and their impact on humans: the exposome. Environmental chemicals are hypothesized to contribute to the development of neurodevelopmental disorders; however, only a fraction of the thousands of chemicals in common commercial use have validated assays. Mapping these environmental chemicals is difficult through exposomic analysis because of a lack of compound annotation sources. The aim of this paper is to further close this bottleneck by creating an LC-MS database centered around potentially highly neuroactive compounds and their metabolites and enabling their detection in future neurodevelopmental studies. View this paper
  • Issues are regarded as officially published after their release is announced to the table of contents alert mailing list.
  • You may sign up for e-mail alerts to receive table of contents of newly released issues.
  • PDF is the official format for papers published in both, html and pdf forms. To view the papers in pdf format, click on the "PDF Full-text" link, and use the free Adobe Reader to open them.
Order results
Result details
Section
Select all
Export citation of selected articles as:
34 pages, 17846 KB  
Article
Untargeted Metabolomics of Dairy Cows as Influenced by the Combinations of Essential Oil Blends and Fumaric Acid as Natural Feed Additives Using RUSITEC
by Joel O. Alabi, Deborah O. Okedoyin, Michael Wuaku, Chika C. Anotaenwere, Oludotun O. Adelusi, Kelechi A. Ike, DeAndrea Gray, Olatunde A. Oderinwale, James M. Enikuomehin, Kingsley A. Ekwemalor, Yewande O. Fasina, Hamid D. Ismail, Ahmed E. Kholif and Uchenna Y. Anele
Metabolites 2025, 15(10), 681; https://doi.org/10.3390/metabo15100681 - 21 Oct 2025
Cited by 1 | Viewed by 1120
Abstract
Background and Objectives: The potential of essential oils (EOs) and fumaric acid (FA) to modulate ruminal fermentation and mitigate greenhouse gas emissions in dairy cows has attracted significant attention. However, little is known about the specific metabolites produced as a result of their [...] Read more.
Background and Objectives: The potential of essential oils (EOs) and fumaric acid (FA) to modulate ruminal fermentation and mitigate greenhouse gas emissions in dairy cows has attracted significant attention. However, little is known about the specific metabolites produced as a result of their interaction. This study investigated the combined effects of essential oil blends (EOBs) and FA on rumen metabolites using a rumen simulation technique (RUSITEC) system. Materials and Methods: Three rumen-cannulated, non-lactating Holstein Friesian cows served as inoculum donors. The total mixed ration (TMR; CON) comprised corn silage (60%), alfalfa hay (20%), and concentrate (20%). Three distinct EOBs were formulated: EOB1 [Garlic, Lemongrass, Cumin, Lavender, and Nutmeg; at 4:2:2:1:1, respectively], EOB2 [Anise, Clove, Oregano, Cedarwood, and Ginger; at 4:2:2:1:1, respectively], and EOB3 [Clove, Anise, Peppermint, and Oregano; at 4:3:2:1, respectively]. Four treatments evaluated were control (CON), EFA1 (EOB1 + FA), EFA2 (EOB2 + FA), and EFA3 (EOB3 + FA). EOBs and FA were included at 10 µL/g feed and 3% of TMR, respectively. Rumen effluents were collected over 5 days for metabolome analysis using liquid chromatography-mass spectrometry (LC–MS). Results: A total of 661 metabolites were detected and identified. Volcano plot analysis revealed 13 differentially abundant metabolites for EFA1, 41 for EFA2, and 19 for EFA3 compared to CON group. PLS-DA analysis showed clear separation of treatments, indicating modifications in the rumen fluid metabolome. Conclusions: The treatments led to the enrichment of pathways involved in amino acid, nucleotide, cofactor, and energy metabolism. These additives have the potential to optimize nutrient utilization and overall animal health. Therefore, in vivo studies should be conducted to validate their efficacy. Full article
(This article belongs to the Special Issue Metabolic Responses to Ruminant Nutrition and Production Practices)
Show Figures

Figure 1

16 pages, 1094 KB  
Article
A Pilot Study: Comparative Effects of Green Tea Extract and Duloxetine on Oxaliplatin-Induced Allodynia in a Murine Model
by Michael Daniel, Stacie Totsch, Peng Li, Chisom O. Odii, Heather Shelton, Robert E. Sorge and Ellen Mary Lavoie Smith
Metabolites 2025, 15(10), 680; https://doi.org/10.3390/metabo15100680 - 21 Oct 2025
Viewed by 971
Abstract
Background/Objectives: The purpose of this preclinical pilot study was to explore the potential of green tea extract (GTE) to mitigate and/or prevent oxaliplatin-induced allodynia and axonal damage in rats, when compared to duloxetine (DLX), an ASCO-recommended treatment for established neuropathic pain. Methods: Using [...] Read more.
Background/Objectives: The purpose of this preclinical pilot study was to explore the potential of green tea extract (GTE) to mitigate and/or prevent oxaliplatin-induced allodynia and axonal damage in rats, when compared to duloxetine (DLX), an ASCO-recommended treatment for established neuropathic pain. Methods: Using a randomized, placebo-controlled experimental design, Sprague Dawley rats (N = 41) received 4 intraperitoneal oxaliplatin (2 mg/kg) injections every other day over 7 days. One week prior to the first oxaliplatin dose, animals began 1 of 4 interventions (saline; GTE 100 mg/kg; DLX 3 mg/kg; GTE 100 mg/kg + DLX 3 mg/kg). A naïve group (n = 6) that received no neurotoxic oxaliplatin or intervention was added to serve as a baseline measure for sNfL. Interventions were administered daily for 4 weeks. Mechanical sensitivity (allodynia) was measured 3 times per week using von Frey testing to determine paw withdrawal thresholds. Von Frey testing began one day prior to the start of interventions to establish baselines and continued through Day 35. Groups were compared to their respective baselines to calculate changes in paw withdrawal thresholds. To measure axonal damage, alterations in serum levels of neurofilament light (sNfL) protein were measured at Day 35 using ELISA. Group differences were identified using two-way analysis of variance (ANOVA). Pearson correlation coefficient was used for correlation analysis between paw withdrawal thresholds and sNfL levels at Day 35. Partial eta-squared and Hedges’ g were used to measure effect sizes. Statistical significance was assigned at P ≤ 0.05 with a 95% confidence interval. Results: Overall, the saline group showed significant reductions in mean paw withdrawal thresholds across experimental timepoints, denoting more severe allodynia caused by oxaliplatin. Conversely, intervention groups exhibited mean paw withdrawal thresholds that were significantly greater than the saline group, indicating less allodynia. The average level of sNfL was also significantly higher in the saline group (113.58 ± 43.84 pg/mL) compared to GTE100 (72.75 ± 26.85), DLX3 (59.93 ± 20.57), and DLX3 + GTE100 (77.04 ± 24.35) intervention groups, suggesting less oxaliplatin-induced axonal damage in these groups. The naïve group exhibited the lowest levels of sNfL (45.69 ± 14.64) when compared to the oxaliplatin-receiving groups (saline and intervention). There were large effect sizes between the saline group, naïve (g = 1.88), GTE100 (g = 1.123), DLX3 (g = 1.157), and DLX3 + GTE100 (g = 1.030) groups. There was also a moderate negative correlation [r(30) = −0.38, p = 0.04] between sNfL levels and paw withdrawal thresholds. Conclusions: The preliminary findings from this pilot study suggest that GTE may be an effective, nutraceutical intervention for mitigating OIPN-associated neuropathic pain, warranting further investigation as an intervention to mitigate chemotherapy-associated neurotoxicities like OIPN. Full article
Show Figures

Graphical abstract

13 pages, 849 KB  
Article
In Vitro Metabolism of a Benzofuran-Substituted Nitazene: Ethyleneoxynitazene
by Omayema Taoussi, Duygu Yeşim Ovat, Francesco Tavoletta, Anastasio Tini, Giulia Bambagiotti, Jeremy Carlier, Volker Auwärter, Francesco Paolo Busardò and Diletta Berardinelli
Metabolites 2025, 15(10), 679; https://doi.org/10.3390/metabo15100679 - 21 Oct 2025
Viewed by 826
Abstract
Background/Objectives: New synthetic opioids (NSOs) like nitazenes pose significant public health risks due to their high potency and increasing prevalence. Ethyleneoxynitazene, a benzofuran-containing nitazene, recently emerged on the illicit market and was identified in seizures in Europe. Although no intoxications have been [...] Read more.
Background/Objectives: New synthetic opioids (NSOs) like nitazenes pose significant public health risks due to their high potency and increasing prevalence. Ethyleneoxynitazene, a benzofuran-containing nitazene, recently emerged on the illicit market and was identified in seizures in Europe. Although no intoxications have been reported to date, its µ-opioid receptor activity raises concern. This study investigated the metabolism of ethyleneoxynitazene to better understand its pharmacological profile, toxicity, and detectability in clinical and forensic contexts. Methods: Ethyleneoxynitazene was incubated with cryopreserved human hepatocytes pooled from 10 donors. Metabolites were detected by liquid chromatography coupled with high-resolution tandem mass spectrometry (LC-HRMS/MS) and identified using Compound Discoverer (Thermo Scientific; Waltham, MA, USA); detection and identification were assisted by in silico metabolite predictions with BioTransformer. Results: Sixteen metabolites were identified, with major biotransformations including N-deethylation at the N,N-diethylethanamine chain, hydroxylation at the dihydrofuran ring, and dihydrofuran ring opening via oxidative cleavage, leading to the formation of the corresponding ethanoic acid. Conclusions: This study provides the first characterization of the metabolism of a nitazene without an alkoxyphenyl moiety; the absence of this particular group reflects significant differences in the pharmacokinetic and pharmacodynamic profile compared to other nitazenes. We propose N-deethyl-3′-ethanoic acid-4′-hydroxy ethyleneoxynitazene, N-deethyl-hydroxy ethyleneoxynitazene, 3′-ethanoic acid-4′-hydroxy ethyleneoxynitazene, hydroxy ethyleneoxynitazene, and N-deethyl ethyleneoxynitazene as metabolite biomarkers of ethyleneoxynitazene consumption in clinical and forensic toxicology. Given the potential activity of some metabolites and interindividual variability in metabolic pathways, further studies are warranted to refine these findings through the analysis of biological samples from multiple ethyleneoxynitazene-positive cases. Full article
Show Figures

Graphical abstract

19 pages, 3470 KB  
Article
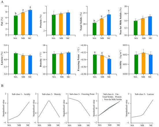
Research on the Changing Characteristics of Milk Composition and Serum Metabolites Across Various Lactation Periods in Xinggao Sheep
by Jingda Yuan, Zhenbo Wu, Biao Wang, Shaoyin Fu, Rigele Te, Lai Da, Liwei Wang, Qing Qin and Xiaolong He
Metabolites 2025, 15(10), 678; https://doi.org/10.3390/metabo15100678 - 20 Oct 2025
Cited by 1 | Viewed by 1032
Abstract
Background: The variation in sheep milk composition is closely related to the sheep’s metabolic status. This study aimed to analyze the milk composition and serum metabolic characteristics of Xinggao sheep during different lactation periods and to evaluate the association between milk quality traits [...] Read more.
Background: The variation in sheep milk composition is closely related to the sheep’s metabolic status. This study aimed to analyze the milk composition and serum metabolic characteristics of Xinggao sheep during different lactation periods and to evaluate the association between milk quality traits and body metabolism. Methods: Eighteen intensively reared ewes were divided into three groups: an early lactation group (MA), a mid-lactation group (MB), and a late lactation group (MC). Milk components were detected by infrared spectroscopy, and the ewes’ serum metabolomic characteristics were detected by liquid chromatography–mass spectrometry (LC-MS). K-means correlation analysis revealed that the milk fat percentage was positively correlated with L-aspartic acid and negatively correlated with citrulline levels. Random forest analysis for metabolite importance ranking showed that methionine sulfoxide and methionine exhibited high mean decrease accuracy and mean decrease Gini index values. Results: The milk composition results showed that, compared with MA, the milk fat content and total solids in MB and MC were significantly higher, while the freezing point in the MC was significantly lower. Metabolomic studies showed that 207, 210, and 238 differential metabolites were identified in the comparisons of MA vs. MB MA vs. MC, and MB vs. MC, respectively, and these metabolites were mainly enriched in the pyrimidine metabolism, arachidonic acid metabolism, and arginine biosynthesis pathways. Evaluation of metabolite importance using random forest models revealed that 27 metabolites, including 2-Arachidonyl glycerol ether, methionine, and methionine sulfoxide, showed a high mean decrease accuracy and mean decrease Gini index. Correlation analysis revealed that milk fat percentage and total solids were positively correlated with 11 metabolites, including citrulline, phenylalanine, and octadecylamine, and negatively correlated with isoproterenol, cortisol, and kynurenic acid. The freezing point was positively correlated with cortisol, isoproterenol, and kynurenic acid and negatively correlated with aldosterone, dehydroepiandrosterone, and betaine. Conclusions: This study showed that there were significant differences in the milk composition and metabolites of Xinggao sheep during different lactation periods, highlighting the impact of lactation stage on milk composition and production performance. We recommend developing targeted nutritional strategies based on the specific metabolic profiles of different lactation periods to optimize the feeding management and nutritional regulation of Xinggao sheep. Full article
(This article belongs to the Section Animal Metabolism)
Show Figures

Figure 1

14 pages, 1982 KB  
Article
Differential Effects of Probiotic Strains on Chronic Stress-Exacerbated Colonic Motility in Rats: A Comparative Evaluation
by Yun-Seong Lee, Soyu Lee and Sooah Kim
Metabolites 2025, 15(10), 677; https://doi.org/10.3390/metabo15100677 - 19 Oct 2025
Viewed by 808
Abstract
Background/Objectives: Psychological stress is a main factor in the pathophysiology of irritable bowel syndrome (IBS) and contributes to changes in gastrointestinal motility and inflammatory responses. We investigated the effects of three probiotic strains, Lactobacillus brevis N1, L. brevis N2, and Bacillus amyloliquefaciens S1, [...] Read more.
Background/Objectives: Psychological stress is a main factor in the pathophysiology of irritable bowel syndrome (IBS) and contributes to changes in gastrointestinal motility and inflammatory responses. We investigated the effects of three probiotic strains, Lactobacillus brevis N1, L. brevis N2, and Bacillus amyloliquefaciens S1, isolated from Korean fermented foods, on stress-induced colonic hypermotility and inflammatory signaling in a rat model. Methods: Thirty female Wistar rats were divided into five groups: Control (sham), Stress (water avoidance stress, WAS), Treatment A (WAS + L. brevis N1), Treatment B (WAS + L. brevis N2), and Treatment C (WAS + B. amyloliquefaciens S1) (n = 6 per group). Rats were exposed to WAS for 1 h daily for nine consecutive days. Furthermore, before stress exposure, probiotics were administered by oral gavage. The fecal pellet output (FPO), body weight, and food intake were recorded daily. Colon tissues were harvested for protein extraction, and inflammatory signaling was evaluated by Western blotting for NF-κB and IκBα, with β-actin as loading control. Immunoreactive bands were visualized by enhanced chemiluminescence (ECL) and quantified using ImageJ software version 1.54k. Results: The WAS group showed significantly higher FPO than the sham group (p < 0.01). FPO was significantly decreased in rats treated with L. brevis N2 compared to that in the WAS-only group (p < 0.05). Additionally, immunohistochemical analysis revealed that NF-κB expression was suppressed in all the probiotic groups. Conclusions: Therefore, probiotics are suggested to have elevated anti-inflammatory effects through the downregulation of the NF-κB signaling pathway by restoring IκBα expression and can be utilized as potential therapeutics for stress-induced gastrointestinal dysfunction. Full article
Show Figures

Figure 1

16 pages, 442 KB  
Article
Serum Metabolomics of Senior Dogs Fed a Fresh, Human-Grade Food or an Extruded Kibble Diet
by Ryan Yamka, Rae Sires, Joe Wakshlag and Heather J. Huson
Metabolites 2025, 15(10), 676; https://doi.org/10.3390/metabo15100676 - 17 Oct 2025
Cited by 4 | Viewed by 11118
Abstract
Background/Objectives: Despite the growing popularity of fresh food for dogs, there is an extremely small amount of literature evaluating the potential health benefits of fresh food and reduced processing compared to traditionally processed shelf stable cans, extruded kibble, or other food formats. [...] Read more.
Background/Objectives: Despite the growing popularity of fresh food for dogs, there is an extremely small amount of literature evaluating the potential health benefits of fresh food and reduced processing compared to traditionally processed shelf stable cans, extruded kibble, or other food formats. Additionally, aging dogs have been previously documented to have altered metabolism and nutritional needs compared to a healthy adult dog population, but these differences are not well defined. The objective of the study was to compare the effects of feeding a fresh, human-grade food versus a standard extruded kibble diet in a year-long longitudinal study on serum metabolomic profiles in senior dogs. Methods: Twenty-two healthy mixed-breed geriatric Alaskan sled dogs were age- and sex matched into two feeding groups. All dogs were fed the extruded diet (control) for a 4-month washout period prior to being transitioned into their respective treatment group. Group 1 continued to be fed the control diet, while Group 2 was transitioned to a fresh, human-grade food (treatment). Body weight and body condition were assessed monthly, and calorie intake was adjusted to maintain body weight. Individual serum samples were collected at day 0 and months 1, 3, 6, and 12. Metabolomic profiling of serum samples was performed by Metabolon, Inc. (Durham, NC, USA). Data was analyzed using two-way analysis of variance with repeated measures to determine treatment differences. Results: Dogs fed the treatment food had an increase in branched-chain amino acid metabolism, creatine, carnosine, anserine, fatty acid metabolism, long-chain n-3 fatty acids, lipolysis, and ketogenesis. The treatment group had decreased advanced glycation end products, fatty acid synthesis, and creatinine. Conclusions: This study is the first long-term feeding study evaluating serum metabolomics in dogs that demonstrates the dramatic and sustained impact that diet can have on canine metabolism. Full article
(This article belongs to the Section Animal Metabolism)
Show Figures

Figure 1

16 pages, 7346 KB  
Article
Multi-Omics Insights into Altered Flavonoid Metabolism Underlying Skin Color Variation in a Bud Mutant of Vitis vinifera Zaoheibao
by Liping Huang, Xi Dai, Linan Zhang, Yue Zhu, Min Wang, Zhili Xun, Qifeng Zhao and Jiancheng Zhang
Metabolites 2025, 15(10), 675; https://doi.org/10.3390/metabo15100675 - 16 Oct 2025
Viewed by 740
Abstract
Background: Fruit skin color is a key determinant of grape quality and market value, primarily governed by anthocyanin biosynthesis. Methods: In this study, we explored the molecular basis of skin color variation in the grape cultivar Zaoheibao and its bud mutant, which displays [...] Read more.
Background: Fruit skin color is a key determinant of grape quality and market value, primarily governed by anthocyanin biosynthesis. Methods: In this study, we explored the molecular basis of skin color variation in the grape cultivar Zaoheibao and its bud mutant, which displays a striking shift from purple-black to yellow-green. Integrated metabolomic and transcriptomic analyses revealed extensive reprogramming of the flavonoid pathway in the mutant. Results: Metabolite profiling identified 233 differentially accumulated metabolites (DAMs), with a drastic reduction in anthocyanins, particularly cyanidin- and peonidin-derivatives, together with altered levels of flavonols and flavonoid glycosides. Transcriptome analysis detected 4036 differentially expressed genes (DEGs), with key anthocyanin biosynthetic genes (DFR, ANS, UFGT, GST) and MYB significantly downregulated. Multi-omics integration confirmed consistent enrichment of flavonoid-related pathways, while correlation network analysis highlighted strong associations between MYB regulators, structural genes, and anthocyanin-type metabolites. Conclusions: Collectively, these findings demonstrate that suppression of a MYB-centered regulatory module underlies the loss of pigmentation in the bud mutant, providing new insights into the molecular regulation of grape skin coloration and a theoretical basis for grape breeding and quality improvement. Full article
(This article belongs to the Special Issue Plant Metabolome and Metabolomics)
Show Figures

Figure 1

32 pages, 5714 KB  
Article
Diagnostic Fragmentations of Animal and Fungal Sterols/Stanols Obtained by APCI–Tandem Mass Spectrometry: A Route Towards Unknown Free Sterol Identification
by Valeria Cinquepalmi, Ilario Losito, Andrea Castellaneta, Cosima Damiana Calvano and Tommaso R. I. Cataldi
Metabolites 2025, 15(10), 674; https://doi.org/10.3390/metabo15100674 - 16 Oct 2025
Cited by 1 | Viewed by 855
Abstract
Background/Objectives: Animal and fungal sterols and stanols exhibit remarkable structural diversity, driven by variations in the number and position of C=C bonds within the steroidal tetracyclic core and side chain, along with diverse branching patterns of the latter. Similarly to phytosterols, these [...] Read more.
Background/Objectives: Animal and fungal sterols and stanols exhibit remarkable structural diversity, driven by variations in the number and position of C=C bonds within the steroidal tetracyclic core and side chain, along with diverse branching patterns of the latter. Similarly to phytosterols, these metabolites produce highly complex tandem mass spectra, whose interpretation has so far been limited. To address this gap, the fragmentation behavior of selected animal/fungal sterols and stanols was studied in this paper. Methods: Higher-Collisional-energy Dissociation–High-resolution tandem mass spectrometry (HCD-HRMS/MS) of protonated/dehydrated species generated via atmospheric pressure chemical ionization (APCI) was performed on structurally diverse compounds, including lathosterol, desmosterol, zymosterol, lanosterol, ergosterol, chalinasterol, and the stanols coprostanol and cholestanol. Results: Structurally diagnostic product ions originating from the side chains were unveiled, shedding light on the intramolecular migration of positive charge from the initial ionization site at C3 to alternative stable sites across the molecular structure, which is a typical mechanism also noted in cholesterol and phytosterols. In addition, characteristic fragmentation patterns related to the steroidal backbone were found and discussed for Δ7, Δ5,7 and Δ8-sterols, and a novel elucidation of the fragmentation behavior of 4,4-dimethyl-Δ8-sterols, based on lanosterol as a model compound, was achieved. The relative intensities of diagnostic product ions allowed a correlation with specific structural motifs, and “cholesterol-like” and “stigmasterol-like” fragmentations pathways were recognized. These findings were integrated with prior data on cholesterol and plant sterol fragmentation acquired under identical analytical conditions. Moreover, as a proof of its relevance for novel sterol identification, MS/MS-related information was successfully applied to the identification of a positional isomer (Δ7) of zymosterol in baker’s yeast extract, along with typical fungal major sterols. Conclusions: The comprehensive archive of sterol/stanol fragmentations obtained by APCI-HCD-MS/MS might prove very useful for the future characterization of novel sterol/stanol species in complex matrices. Full article
Show Figures

Graphical abstract

13 pages, 2342 KB  
Article
Longitudinal Plasma Lipidomics Reveals Distinct Signatures Following Surgery in Patients with Glioblastoma
by John Paul Aboubechara, Yin Liu, Oliver Fiehn, Lina A. Dahabiyeh, Ruben Fragoso, Han Sung Lee, Jonathan W. Riess, Rawad Hodeify, Orin Bloch and Orwa Aboud
Metabolites 2025, 15(10), 673; https://doi.org/10.3390/metabo15100673 - 15 Oct 2025
Cited by 1 | Viewed by 1039
Abstract
Background: Glioblastoma is an aggressive brain tumor that invariably recurs despite treatment, partly due to metabolic adaptations, including altered lipid metabolism. This study investigates plasma lipidomic profiles in patients with glioblastoma to explore their potential as a liquid biopsy for disease monitoring. Methods: [...] Read more.
Background: Glioblastoma is an aggressive brain tumor that invariably recurs despite treatment, partly due to metabolic adaptations, including altered lipid metabolism. This study investigates plasma lipidomic profiles in patients with glioblastoma to explore their potential as a liquid biopsy for disease monitoring. Methods: Plasma samples were collected from 36 patients with histopathologically confirmed IDH wild-type glioblastoma at four treatment stages: pre-surgery (n = 36), post-surgery (n = 32), pre-radiation (n = 28), and post-radiation (n = 17). Untargeted lipidomics analysis was performed using liquid chromatography-high resolution mass spectrometry (LC-HR-MS/MS). Results: Plasma lipidomic signatures differed significantly across treatment stages. Specifically, the lipidomic profile prior to surgery was statistically distinct from those at subsequent stages, demonstrating an increased compound abundance of numerous lipids that are decreased at subsequent stages, including linoleic acid (fold-change 2.58, p = 4.21 × 10−11), behenic acid (fold-change 2.09, p = 9.3 × 10−10), and linolenic acid (fold-change 4.44, p = 5.83 × 10−6). Random forest modeling could predict pre-surgical samples with 85.7% accuracy. Conclusions: Plasma lipidomics shows promise as a potential liquid biopsy approach for monitoring glioblastoma treatment but future studies will need to examine these findings in larger and well-controlled cohorts. Full article
Show Figures

Figure 1

1 pages, 126 KB  
Correction
Correction: Seledtsov et al. Inflammation Control and Immunotherapeutic Strategies in Comprehensive Cancer Treatment. Metabolites 2023, 13, 123
by Victor Ivanovich Seledtsov, Adas Darinskas, Alexei Von Delwig and Galina Victorovna Seledtsova
Metabolites 2025, 15(10), 672; https://doi.org/10.3390/metabo15100672 - 15 Oct 2025
Viewed by 432
Abstract
Removal Affiliation [...] Full article
(This article belongs to the Special Issue Metabolism of Immune System in Inflammatory and Infectious Diseases)
12 pages, 1136 KB  
Review
Serum Uric Acid in the PAMELA Study: Main Findings and Association with the Atherogenic Index of Plasma
by Alessandro Maloberti, Rita Facchetti, Cesare Cuspidi and Guido Grassi
Metabolites 2025, 15(10), 671; https://doi.org/10.3390/metabo15100671 - 14 Oct 2025
Cited by 1 | Viewed by 887
Abstract
Serum uric acid (SUA) overproduction, leading to hyperuricemia, represents a metabolic dysfunction of frequent detection in a number of diseases characterized by an elevated cardiovascular risk, such as metabolic syndrome, essential hypertension, dyslipidemia, obesity, and diabetes mellitus. Similar findings have been also reported [...] Read more.
Serum uric acid (SUA) overproduction, leading to hyperuricemia, represents a metabolic dysfunction of frequent detection in a number of diseases characterized by an elevated cardiovascular risk, such as metabolic syndrome, essential hypertension, dyslipidemia, obesity, and diabetes mellitus. Similar findings have been also reported for the Atherogenic Index of Plasma (AIP), i.e., a biomarker derived from the logarithmic transformation of the ratio between plasma triglycerides and high-density plasma lipoprotein cholesterol. Both SUA and AIP have been found to be sensitive predictors of fatal and non-fatal cardiovascular events and all-cause mortality, their association representing a highly sensitive marker potentiating the predictive value of each single factor. Although a number of studies have investigated the relationships between SUA and AIP, the association between these two metabolic variables still remains in several indistinct aspects. The present paper, after briefly summarizing the main features of the Pressioni Arteriose Monitorate E Loro Associazioni (PAMELA) study, will review the main study results related to SUA as cardiovascular risk factors. It will also report the original data collected in the PAMELA study on (1) the association between SUA and AIP and (2) the relationships between AIP and normal and elevated blood pressure, metabolic profile, and target organ damage associated with hypertension. Full article
(This article belongs to the Special Issue Exploring Uric Acid and Beyond)
Show Figures

Graphical abstract

19 pages, 1106 KB  
Article
Effects of n-3 Long-Chain Polyunsaturated Fatty Acid and Vitamin D Supplementation on Transcriptional Profiles of Human Lung Organoids
by Mina Ali, Martin Steen Mortensen, Ole Bæk, Nicklas Brustad, Tingting Wang, Liang Chen, Min Kim, Casper-Emil Tingskov Pedersen, Trevor D. Lawley, Athanasios Pasias, Jakub Sedzinski, Jakob Stokholm, Klaus Bønnelykke and Bo Chawes
Metabolites 2025, 15(10), 670; https://doi.org/10.3390/metabo15100670 - 14 Oct 2025
Viewed by 1076
Abstract
Background/Objectives: Randomized clinical trials (RCTs) suggest that n-3 long-chain polyunsaturated fatty acids (n-3 LCPUFA) and high-dose vitamin D supplementation during pregnancy may protect against childhood asthma. However, the underlying mechanisms remain unclear. Methods: To explore the transcriptional effects of various concentrations of n-3 [...] Read more.
Background/Objectives: Randomized clinical trials (RCTs) suggest that n-3 long-chain polyunsaturated fatty acids (n-3 LCPUFA) and high-dose vitamin D supplementation during pregnancy may protect against childhood asthma. However, the underlying mechanisms remain unclear. Methods: To explore the transcriptional effects of various concentrations of n-3 LCPUFA and vitamin D supplementation on in utero lung development, we cultured human lung organoids derived from BILX and SEHP human-induced pluripotent stem cell lines at the Sanger Institute (Cambridge, UK). The organoids were treated with either no supplementation, or low (0.01 µL/mL) or high (0.1 µL/mL) concentrations of n-3 LCPUFA, as well as no supplementation, or low (5 pM) or high (50 pM) concentrations of vitamin D. Organoids were matured for 50 days, with foregut spheroids embedded in Matrigel and later re-embedded individually to ensure robust growth. We then assessed the impact of these supplementations using RNA sequencing. Results: RNA sequencing of four replicates per condition (36 total samples) revealed that n-3 LCPUFA supplementation had a more substantial impact on gene regulation than vitamin D (differentially expressed genes, n = 907 vs. n = 23). CPT1A and ANGPTL4 genes were highly expressed in media cultured with a high concentration of n-3 LCPUFA, while CYP24A1 was among the highly expressed genes in media cultured with a high concentration of vitamin D. Enrichment analysis showed activation of PPAR pathways, suggesting that n-3 LCPUFA supplementation may protect against asthma by regulating lipid metabolism and inflammation. Conclusions: We identified several genes and pathways that may provide insights into the biological effects of n-3 LCPUFA and vitamin D supplementation on asthma pathophysiology. Full article
Show Figures

Graphical abstract

19 pages, 7561 KB  
Article
Association of Intracellular Microstructural and Neuropsychological Changes in HIV: A Pilot Validation of Trace Diffusion-Weighted Magnetic Resonance Spectroscopic Imaging Using Radial Trajectories
by Ajin Joy, Andres Saucedo, Matthew J. Wright, Pranathi Vallabhu, Neha Gupta, James Sayre, Aichi Chien, Uzay Emir, Paul M. Macey, Eric S. Daar and M. Albert Thomas
Metabolites 2025, 15(10), 669; https://doi.org/10.3390/metabo15100669 - 13 Oct 2025
Viewed by 997
Abstract
Background: Despite effective antiretroviral therapy, HIV-associated neurocognitive disorders (HANDs) remain prevalent, highlighting the need for sensitive biomarkers of early brain alterations. Trace-weighted diffusion spectroscopic imaging offers a non-invasive means to assess microstructural changes in brain metabolites in a single shot by measuring apparent [...] Read more.
Background: Despite effective antiretroviral therapy, HIV-associated neurocognitive disorders (HANDs) remain prevalent, highlighting the need for sensitive biomarkers of early brain alterations. Trace-weighted diffusion spectroscopic imaging offers a non-invasive means to assess microstructural changes in brain metabolites in a single shot by measuring apparent diffusion coefficients (ADCs) of total N-acetylaspartate (tNAA), total creatine (tCr), total choline (tCho), and water. Methods: In this study, we used trace-weighted single-shot diffusion-weighted radial echo-planar spectroscopic imaging (DW-RESPI) to investigate metabolite diffusion and relative concentrations in the brains of people living with HIV (PLWH). Using a 3T MRI scanner, we studied 16 PLWH and 15 healthy controls (HCs), and we collected two sets of data with low and high b-values from which metabolite ADCs were computed. Metabolite ratios were derived from the low b-value spectra. A brief neuropsychological assessment evaluated attention, executive function, and memory in a subset of subjects. Cognitive and affective performance was quantified using domain-specific deficit scores, as well as depression and anxiety assessments, offering a comprehensive evaluation of neurobehavioral function. In the male subgroup (N = 15) of PLWH, we calculated the correlations between ADC values and neuropsychological domain scores. Results: tNAA, tCr, tCho, and water ADC values were significantly elevated in multiple gray and white matter regions in PLWH compared to HC, with the most pronounced differences observed in the superior precuneus, anterior cingulate cortex, and corona radiata. Notably, regional ADC values and metabolite ratios showed significant correlations with neuropsychological domain scores. Conclusions: These findings indicate the potential of metabolite and water diffusion metrics as biomarkers for HIV-associated microstructural brain alterations and cognitive impairment. However, the small sample size and preliminary nature of this data warrant further investigation to validate these findings. Full article
Show Figures

Figure 1

19 pages, 4812 KB  
Article
Uncoupling Protein 1 Promotes Nile Tilapia Resistance to Acute Cold Stress by Regulating Liver Metabolism
by Meiqing Li, Jirong Jia, Chenguang Liu, Ran Cai, Yang Yu, Xiaozheng Yu, Wei Feng, Caiyun Sun and Wensheng Li
Metabolites 2025, 15(10), 668; https://doi.org/10.3390/metabo15100668 - 13 Oct 2025
Viewed by 992
Abstract
Background: Low temperature stress is a major environmental challenge affecting the growth, metabolism, and survival of many aquaculture species, including Nile tilapia (Oreochromis niloticus). Understanding the molecular mechanisms underlying cold tolerance is therefore essential for improving fish resilience and aquaculture [...] Read more.
Background: Low temperature stress is a major environmental challenge affecting the growth, metabolism, and survival of many aquaculture species, including Nile tilapia (Oreochromis niloticus). Understanding the molecular mechanisms underlying cold tolerance is therefore essential for improving fish resilience and aquaculture sustainability. Methods: In the present study, an acute cold stress model of Nile tilapia (Oreochromis niloticus) was established and it was found that uncoupling protein 1 (UCP1) was involved in the acute cold stress process of tilapia. Results: The upregulation of UCP1 in the liver under cold stimulation was regulated by stress hormones such as cortisol and adrenaline. UCP1 has a short half-life and is degraded by proteasomes. In tilapia primary hepatocytes, the addition of adrenergic receptor agonists resulted in mitochondrial membrane potential decreasing, while UCP1 siRNA transfection inhibited mitochondrial membrane potential. Biochemical characteristics indicate that UCP1 is a channel protein that mediates proton leakage. In addition, feeding and intraperitoneal injection of mitochondrial uncoupling agent BAM15 can alleviate the low-temperature stress of tilapia. Conclusions: UCP1 helps maintain the metabolic homeostasis of tilapia under acute cold stimulation and provides new insights into the mechanisms of cold resistance as well as potential treatment strategies in fish. Full article
(This article belongs to the Special Issue Nutrition, Metabolism and Physiology in Aquatic Animals)
Show Figures

Figure 1

11 pages, 1607 KB  
Article
Differential Metabolic Analysis of Rhizomes in Shancigu Based on Widely Targeted Metabolomics
by Zhu-Yi Gao, Yi-Bo Yang, Li-Cheng Liu, Xue Li, Yan-Bo Huang and Qiang Zhou
Metabolites 2025, 15(10), 667; https://doi.org/10.3390/metabo15100667 - 13 Oct 2025
Viewed by 691
Abstract
Background: Shancigu is a traditional Chinese medicine which is effective at clearing heat, detoxifying, dissipating masses, and resolving nodules. It consists of the dried pseudobulbs of orchids such as Cremastra appendiculata, or Pleione yunnanensis. To deeply understand the differences in the [...] Read more.
Background: Shancigu is a traditional Chinese medicine which is effective at clearing heat, detoxifying, dissipating masses, and resolving nodules. It consists of the dried pseudobulbs of orchids such as Cremastra appendiculata, or Pleione yunnanensis. To deeply understand the differences in the compositional and pharmacological active compounds in Shancigu, this study employed widely targeted metabolomics to analyze differential metabolites between two Shancigu species, C. appendiculata and P. yunnanensis. Methods: In this study, ultra-performance liquid chromatography–tandem mass spectrometry (UPLC-MS/MS) was used to qualitatively, quantitatively, and differentially analyze the metabolites of C. appendiculata and P. yunnanensis. Results: Metabolite profiling identified 2890 compounds across 13 classes. Within these, 687 metabolites showed significant differential abundance (23.76% total), including 331 upregulated and 356 downregulated compounds. Pathway enrichment analysis revealed these differential metabolites primarily concentrated in stilbenoid biosynthesis (types I and II) and flavonoid aglycone biosynthesis. The most highly expressed metabolites in the Cremastra group were L-tyrosine, dopamine and 3,4-dihydroxybenzaldehyde-xylose-glucoside, while in the Pleione group, the most abundant metabolites were 3,5-dihydroxy-2’-methoxy-4-methylbibenzyl, Shancigusin F and aloifol I. C. appendiculata preferentially accumulates flavonoids and phenolic acids whereas P. yunnanensis favors terpenoid and nucleotide derivative production. Conclusions: This study identifies key differential metabolites in C. appendiculata and P. yunnanensis, providing basic data for the overall evaluation and breeding of Shancigu, laying a foundation for further quality control and precise medication of Shancigu. Full article
(This article belongs to the Section Plant Metabolism)
Show Figures

Figure 1

20 pages, 2431 KB  
Review
Advancing Clinical and Pathophysiological Insights into Pancreatitis Using Lipidomics and Metabolomics
by Faizan Ahmed, Xueheng Zhao, Kenneth D. R. Setchell and Maisam Abu-El-Haija
Metabolites 2025, 15(10), 666; https://doi.org/10.3390/metabo15100666 - 12 Oct 2025
Viewed by 1873
Abstract
Acute pancreatitis (AP) and chronic pancreatitis (CP) are distinct inflammatory conditions with significant clinical burden, including associated complications and mortality. These pancreatic conditions share overlapping pathophysiologic features. Although AP can be followed by recurrent episodes (recurrent acute pancreatitis, RAP), most CP does not [...] Read more.
Acute pancreatitis (AP) and chronic pancreatitis (CP) are distinct inflammatory conditions with significant clinical burden, including associated complications and mortality. These pancreatic conditions share overlapping pathophysiologic features. Although AP can be followed by recurrent episodes (recurrent acute pancreatitis, RAP), most CP does not follow a simple linear progression from AP; rather, CP reflects sustained processes causing injury to the pancreas (e.g., toxic-metabolic, genetic, obstructive), leading to fibrosis and organ dysfunction. Lipidomics and metabolomics can provide insights into the pathophysiology of the disease. Although researchers have extensively explored lipids and metabolites to better understand disease mechanisms, comprehensive detailed insights into the pathways and intricate roles these molecules play in pancreatitis remain unidentified. This gap can be partially attributed to limited availability of human samples from disease subgroups in pancreatitis, and current technological constraints in analytical methods, particularly regarding complete lipid and metabolite detection, identification, and quantification. In this review, we summarize lipidomic and metabolomic workflows in the context of understanding pancreatitis pathophysiology, including their design and analytical strategies. We also highlight clinical studies on pancreatitis, utilizing lipidomics and metabolomics as a tool to identify altered or dysregulated lipids or metabolites, and their association with the disease state and its progression. Full article
(This article belongs to the Special Issue Lipidomic Signatures in Pediatric Metabolic Disorders)
Show Figures

Figure 1

14 pages, 1613 KB  
Article
In Vivo Anti-Inflammatory Activity of Four Edible Cactaceae Flowers from Mexico
by Christian Alfredo Pensamiento-Niño, Alma Delia Hernández-Fuentes, Javier Añorve-Morga, Arturo Duarte-Sierra, Esther Ramírez-Moreno, Carolina Guadalupe Sosa-Gutiérrez and Deyanira Ojeda-Ramírez
Metabolites 2025, 15(10), 665; https://doi.org/10.3390/metabo15100665 - 11 Oct 2025
Viewed by 1092
Abstract
Background/Objectives: The therapeutic properties of edible flowers are widely used to improve human health. The phenolic compounds present in edible flowers, such as phenols and flavonoids, among others, play an important role as effective antioxidant compounds against diseases related to oxidative stress. These [...] Read more.
Background/Objectives: The therapeutic properties of edible flowers are widely used to improve human health. The phenolic compounds present in edible flowers, such as phenols and flavonoids, among others, play an important role as effective antioxidant compounds against diseases related to oxidative stress. These compounds exhibit biological activities such as anti-ulcerogenic, antimicrobial, neuroprotective, anti-cancer, and anti-inflammatory properties. The objective of this study was to evaluate the in vivo anti-inflammatory activity of hydroethanolic extracts of four Mexican cacti flowers. Methods: A hydroethanolic extract was obtained via maceration for each cactus flower and evaluated using a model of edema induced in mouse ears by 12-O-tetradecanoylphorbol-13-acetate (TPA) as a guide for the anti-inflammatory activity. Compounds in cacti flower extracts were quantified by HPLC. Results: All of the hydroalcoholic flower extracts showed an anti-inflammatory effect. The greatest effect of inhibition of auricular edema (61.2 ± 4.23%) was observed in the group of mice treated with the Cardon extract at a dose of 3 mg/ear. This effect can be attributed to the main compounds detected by HPLC in the extract such as p-coumaric acid, catechin, kaempferol, and quercetin. These compounds are involved in the inhibition of pro-inflammatory mediators and enzymes such as cyclooxygenases and lipoxygenases. Conclusions: This preliminary evidence supports further preclinical evaluation of the Cardon flower. Full article
(This article belongs to the Special Issue Food Intake and Bioactive Metabolism in Humans)
Show Figures

Graphical abstract

16 pages, 965 KB  
Review
Cardiometabolic Therapies Shape Non-Coding RNA Landscapes in Cardiovascular Fibrosis
by Erica Floris, Francesco Nutile, Claudia Cozzolino, Virginia Pontecorvi, Antonella Bordin, Elena De Falco, Vittorio Picchio, Isotta Chimenti and Francesca Pagano
Metabolites 2025, 15(10), 664; https://doi.org/10.3390/metabo15100664 - 11 Oct 2025
Cited by 2 | Viewed by 1626
Abstract
Background: Cardiometabolic syndromes, including diabetes, obesity, and metabolic syndrome, significantly contribute to cardiovascular fibrosis, a major driver of heart failure. Non-coding RNAs (ncRNAs)—notably microRNAs (miRNAs), long non-coding RNAs (lncRNAs), and circular RNAs (circRNAs)—have emerged as critical epigenetic regulators of fibrotic remodeling. Recent [...] Read more.
Background: Cardiometabolic syndromes, including diabetes, obesity, and metabolic syndrome, significantly contribute to cardiovascular fibrosis, a major driver of heart failure. Non-coding RNAs (ncRNAs)—notably microRNAs (miRNAs), long non-coding RNAs (lncRNAs), and circular RNAs (circRNAs)—have emerged as critical epigenetic regulators of fibrotic remodeling. Recent studies indicate that widely used metabolic modulators can influence ncRNA expression, potentially impacting on cardiovascular fibrosis. This review synthesizes evidence on the interplay between metabolic therapies and ncRNA regulation, with emphasis on therapeutic and biomarker potential of miRNAs. Methods: A literature search was manually curated and conducted on PubMed for studies published mainly in the last decade and evaluating the effects of metformin, sodium-glucose cotransporter-2 (SGLT2) inhibitors, peroxisome proliferator-activated receptor gamma (PPARγ) agonists, glucagon-like peptide 1 (GLP-1) receptor agonists, and fatty acid oxidation inhibitors on ncRNA expression in the context of cardiovascular fibrosis. Data from in vitro, in vivo, and clinical studies were extracted and categorized by drug class, ncRNA target, and functional outcomes. Results: Several metabolic modulators specifically downregulate pro-fibrotic (miR-21, miR-92, H19, and metastasis associated lung adenocarcinoma transcript 1 (MALAT1)) and upregulate anti-fibrotic ncRNAs (miR-29, miR-133a, miR-711, miR-133a, miR-30a and miR-200 family). This results in global attenuation of the transforming growth factor- beta (TGF-β) signaling, which limits extracellular matrix (ECM) accumulation thus improving myocardial compliance. Across drug classes, changes in ncRNA profiles paralleled improvements in fibrosis-related endpoints. Conclusions: Metabolic modulators exert anti-fibrotic effects partly through ncRNA regulation, offering novel therapeutic strategies and potential biomarkers for cardiovascular fibrosis in cardiometabolic disease. Targeting metabolic–ncRNA crosstalk may enable more precise and synergistic interventions for preventing or reversing pathological remodeling. Full article
(This article belongs to the Special Issue Metabolic Modulators in Cardiovascular Disease Management)
Show Figures

Figure 1

13 pages, 2506 KB  
Article
Untargeted Metabolomics Reveals Distinct Serum Metabolic Profiles in Avian Influenza Occupational Exposure Populations
by Shuoqin Mao, Lei Wang, Jing Su, Caihua Long, Muti Mahe, Zhenguo Gao and Jia Liu
Metabolites 2025, 15(10), 663; https://doi.org/10.3390/metabo15100663 - 11 Oct 2025
Cited by 1 | Viewed by 925
Abstract
Background and Objectives: Avian influenza poses a continuous public health threat, particularly to individuals with occupational exposure to poultry such as farm workers, live animal market employees, and processing plant staff. This study aimed to investigate the systemic metabolic effects of such exposure [...] Read more.
Background and Objectives: Avian influenza poses a continuous public health threat, particularly to individuals with occupational exposure to poultry such as farm workers, live animal market employees, and processing plant staff. This study aimed to investigate the systemic metabolic effects of such exposure and to identify potential biomarkers for early detection and health risk assessment. Materials and Methods: An untargeted liquid chromatography–mass spectrometry (LC-MS)-based metabolomics approach was applied to analyze serum samples from occupationally exposed individuals and healthy controls. Multivariate statistical analysis, pathway enrichment, and topology analysis were performed to identify significantly altered metabolites and metabolic pathways. The least absolute shrinkage and selection operator (LASSO) algorithm was employed to select key metabolites. Results: Multivariate statistical analysis revealed a clear separation between the exposure group and control, suggesting distinct metabolic profiles between the two populations. Pathway analysis indicated significant alterations in alanine, aspartate, and glutamate metabolism, as well as tryptophan metabolism, which are closely linked to immune regulation, energy metabolism, and host–pathogen interactions. LASSO feature selection and subsequent manual verification identified 17 key metabolites with strong discriminative power. Furthermore, lipidomic profiling revealed a pronounced increase in lysophosphatidylcholine (LPC) levels and a concurrent decrease in phosphatidylcholine (PC) species in exposed individuals. Conclusions: This study reveals metabolic disruptions associated with occupational avian influenza exposure and identifies potential serum biomarkers related to immune and lipid metabolism. These findings provide novel insights into host responses to avian influenza exposure and may support early detection and health risk assessment in high-risk occupational populations. Full article
(This article belongs to the Section Advances in Metabolomics)
Show Figures

Figure 1

15 pages, 2863 KB  
Article
Resistant Potato Starch Supplementation Increases the Serum Levels of Choline and Sphingomyelins Without Affecting Trimethylamine Oxide Levels
by Jason R. Bush, Jun Han and David R. Goodlett
Metabolites 2025, 15(10), 662; https://doi.org/10.3390/metabo15100662 - 11 Oct 2025
Cited by 1 | Viewed by 1924
Abstract
Background/Objectives: The prebiotic effect of resistant potato starch (RPS) has been demonstrated, but the role of this nutrient in choline metabolism and the production of microbially modified choline-derived toxins is unknown. Methods: We performed post hoc analysis comparing changes in choline and related [...] Read more.
Background/Objectives: The prebiotic effect of resistant potato starch (RPS) has been demonstrated, but the role of this nutrient in choline metabolism and the production of microbially modified choline-derived toxins is unknown. Methods: We performed post hoc analysis comparing changes in choline and related metabolites in serum from baseline to the week 4 time point in a human clinical trial evaluating daily consumption of 3.5 g RPS versus a placebo. Results: Choline levels increased in the RPS consuming group, while levels of trimethylamine decreased and levels of the cardiovascular toxin trimethylamine oxide were unaffected by RPS consumption. Increases in choline were positively correlated with increases in Akkermansia in the gut. Oxidation of choline to betaine was unaffected by RPS, as was acetylcholine metabolism. Levels of various saturated even acyl chain and hydroxylated acyl chain sphingomyelins were increased in RPS consuming participants, and levels of phospholipid degradation products phosphocholine and glycerophosphocholine were decreased. Conclusions: These data suggest that RPS enhances choline absorption without increasing TMAO and stimulates the incorporation of choline into sphingomyelins containing saturated even acyl chains and hydroxylated acyl chains. Future studies assessing the physiological consequences, such as cognitive or neurological benefits, of enhanced choline absorption and sphingomyelin levels in people consuming RPS are warranted. Full article
Show Figures

Graphical abstract

13 pages, 427 KB  
Article
Resistant Potato Starch Supplementation Increases Serum Antioxidant Levels in a Randomized Trial
by Jason R. Bush, Jun Han and David R. Goodlett
Metabolites 2025, 15(10), 661; https://doi.org/10.3390/metabo15100661 - 10 Oct 2025
Cited by 1 | Viewed by 2242
Abstract
Background/Objectives: The prebiotic effect of resistant potato starch (RPS) has been demonstrated, but the antioxidant properties associated with this ingredient have not been explored. Methods: We performed post hoc analysis of serum metabolomic data from a clinical trial evaluating 3.5 g [...] Read more.
Background/Objectives: The prebiotic effect of resistant potato starch (RPS) has been demonstrated, but the antioxidant properties associated with this ingredient have not been explored. Methods: We performed post hoc analysis of serum metabolomic data from a clinical trial evaluating 3.5 g RPS per day consumption (n = 24) versus a placebo (n = 24) for 4 weeks in a randomized clinical trial (NCT05242913). Results: Levels of the exogenous antioxidants all-trans retinol and α-tocopherol increased in the RPS-consuming group. Among endogenous antioxidants, the concentration of coenzyme Q10 (CoQ10) increased in both treatment groups, while uric acid was unaffected. Hippuric acid, a marker of polyphenol metabolism, was unaffected by treatment, as was the abundance of the tryptophan metabolites kynurenine and 3-hydroxyanthranillic acid. However, levels of 3-hydroxykynurenine were decreased in both treatment groups. Levels of the advanced glycation end products NƐ-(1-carboxymethyl)-L-lysine and NƐ-(1-carboxyethyl)-L-lysine, markers of chronically elevated oxidative stress, were unaffected by treatment. Notably, increases in serum all-trans retinol were correlated with increases in Akkermansia. Conclusions: RPS enhances the absorption of antioxidants all-trans retinol and α-tocopherol from the diet and also influences CoQ10 levels and tryptophan metabolism. Future studies assessing the physiological consequences of enhanced antioxidant absorption in people consuming RPS over a longer duration are warranted. Full article
Show Figures

Graphical abstract

15 pages, 2576 KB  
Article
The Hidden Players of the Fecal Metabolome: Metabolic Dysregulation Beyond SCFAs Under a High-Fat Diet
by María Martín-Grau, Pilar Casanova, José Manuel Morales, Vannina González Marrachelli and Daniel Monleón
Metabolites 2025, 15(10), 660; https://doi.org/10.3390/metabo15100660 - 7 Oct 2025
Viewed by 841
Abstract
Background/Objectives: The interplay between host metabolism and gut microbiota is central to the pathophysiology of metabolic diseases, including metabolic dysfunction-associated steatotic liver disease (MASLD). In this study, we investigated the underexplored fecal host–microbiota co-metabolism profile of male and female Wistar rats after 21 [...] Read more.
Background/Objectives: The interplay between host metabolism and gut microbiota is central to the pathophysiology of metabolic diseases, including metabolic dysfunction-associated steatotic liver disease (MASLD). In this study, we investigated the underexplored fecal host–microbiota co-metabolism profile of male and female Wistar rats after 21 weeks of high-fat diet (HFD), a model previously validated for early MASLD. Methods: Using 1H-NMR spectroscopy, we detected and quantified metabolites in fecal samples associated with hepatic metabolism beyond short-chain fatty acids (SCFAs), such as energy-related metabolites, amino acid turnover, branched-chain amino acid (BCAA) catabolism, and microbial fermentation. Results: Distinct metabolic signatures were identified according to diet and sex, and statistical analysis was performed. Notably, alterations were observed in bile acids (BAs) such as cholate and glycocholate, suggesting disruptions in enterohepatic circulation. The presence of fucose, a sugar linked to liver pathology, was also elevated. Energy-related metabolites indicated a shift from lactate production to increased acetoacetate and malonate levels, implying redirection of pyruvate metabolism and inhibition of the TCA cycle. BCAA derivatives such as 3-methyl-2-oxovalerate and 3-aminoisobutyrate were altered, supporting earlier findings on disrupted amino acid metabolism under HFD conditions. Furthermore, microbial metabolites including methanol and ethanol showed group-specific differences, suggesting shifts in microbial activity. Conclusions: These findings complement previous longitudinal data and provide a functional interpretation of newly identified metabolites. These metabolites, previously unreported, are now functionally contextualized and linked to hepatic and microbial dysregulation, offering novel biological insights into early MASLD mechanisms. Full article
(This article belongs to the Special Issue Metabolic Programming of Hepatic Organ Function—2nd Edition)
Show Figures

Graphical abstract

17 pages, 2303 KB  
Article
A Pilot Multi-Omics Approach Unveils Strong Immune Activation in the First Ten Days of Life in Extremely Preterm Infants
by Laura Burgess, Eva Caamaño Gutiérrez, Brian F. Flanagan, Duncan Alexander Sylvestre, Carolyn M. Slupsky, Mark A. Turner and Colin Morgan
Metabolites 2025, 15(10), 659; https://doi.org/10.3390/metabo15100659 - 7 Oct 2025
Viewed by 943
Abstract
Background: Very preterm infants (VPIs) are born with an undeveloped immune system and are more susceptible to infection. Acquired immune responses must develop in a complex nutritional and metabolic environment as these babies transition from parenteral to enteral nutrition. We explored the feasibility [...] Read more.
Background: Very preterm infants (VPIs) are born with an undeveloped immune system and are more susceptible to infection. Acquired immune responses must develop in a complex nutritional and metabolic environment as these babies transition from parenteral to enteral nutrition. We explored the feasibility of a multi-omics approach to investigate the changes in metabolic and molecular profiles between day 3 and day 10 of life. Methods: Blood and plasma samples were collected at day 3 and day 10 of life from eight infants born <29 weeks’ gestation and used to perform microarray transcriptomics and 1H NMR metabolomics. All data were analysed using univariate statistics and mapped to biological pathways and molecular functions using an assortment of databases. Results: We found 1185 genes differentially expressed. The expression patterns found mapped to different immune function, maturation, and development pathways as well as providing mechanistic insights into metabolic changes, notably the downregulation of the metallothionein pathways. We found five metabolites that presented significant differential abundance. These linked to sugar and fat metabolic pathways, known to be altered in the preterm infants. Conclusions: We show that a multi-omics approach is feasible in VPIs and can identify simultaneous changes in the complex metabolic processes and immune adaptation that occur in the first ten days of life. Full article
(This article belongs to the Special Issue Nutritional Intervention and Metabolic Health)
Show Figures

Figure 1

17 pages, 1484 KB  
Article
Insights from Metabolomics Profiling of MSUD in Pediatrics Toward Disease Progression
by Abeer Z. Alotaibi, Reem H. AlMalki, Rajaa Sebaa, Maha Al Mogren, Mohammad Alanazi, Khalid M. Sumaily, Ahmad Alodaib, Ahmed H. Mujamammi, Minnie Jacob, Essa M. Sabi, Ahmad Alfares and Anas M. Abdel Rahman
Metabolites 2025, 15(10), 658; https://doi.org/10.3390/metabo15100658 - 4 Oct 2025
Viewed by 1397
Abstract
Background: Maple syrup urine disease (MSUD) is a genetic disorder caused by mutations in the branched-chain α-ketoacid dehydrogenase (BCKDH) complex, leading to toxic buildup of branched-chain amino acids (BCAAs) and their ketoacid derivatives. While newborn screening (NBS) and molecular testing are standard diagnostic [...] Read more.
Background: Maple syrup urine disease (MSUD) is a genetic disorder caused by mutations in the branched-chain α-ketoacid dehydrogenase (BCKDH) complex, leading to toxic buildup of branched-chain amino acids (BCAAs) and their ketoacid derivatives. While newborn screening (NBS) and molecular testing are standard diagnostic tools, they face challenges such as delayed results and false positives. Untargeted metabolomics has emerged as a complementary approach, offering comprehensive metabolic profiling and potential for novel biomarker discovery. We previously applied untargeted metabolomics to neonates with MSUD, identifying distinct metabolic signatures. Objective: This follow-up study investigates metabolic changes and biomarkers in pediatric MSUD patients and explores shared dysregulated metabolites between neonatal and pediatric MSUD. Methods: Dried blood spot (DBS) samples from pediatric MSUD patients (n = 14) and matched healthy controls (n = 14) were analyzed using LC/MS-based untargeted metabolomics. Results: In pediatric MSUD, 3716 metabolites were upregulated and 4038 downregulated relative to controls. Among 1080 dysregulated endogenous metabolites, notable biomarkers included uric acid, hypoxanthine, and bilirubin diglucuronide. Affected pathways included sphingolipid, glycerophospholipid, purine, pyrimidine, nicotinate, and nicotinamide metabolism, and steroid hormone biosynthesis. Seventy-two metabolites overlapped with neonatal MSUD cases, some exhibiting inverse trends between age groups. Conclusion: Untargeted metabolomics reveals that the metabolic profiling of MCUD pediatric patients different from that of their controls. Also, there are valuable age-specific and shared metabolic alterations in MSUD, enhancing the understanding of disease progression in MSUD patients. This supports its utility in improving diagnostic precision and developing personalized treatment strategies across developmental stages. Full article
Show Figures

Figure 1

16 pages, 568 KB  
Article
Effect of Creatinine on Various Clinical Outcomes in Patients with Severe Traumatic Brain Injury (TBI)
by Sarah Dawson-Moroz, Schneider Rancy, George Agriantonis, Kate Twelker, Navin D. Bhatia, Zahra Shafaee, Jennifer Whittington and Bharti Sharma
Metabolites 2025, 15(10), 657; https://doi.org/10.3390/metabo15100657 - 4 Oct 2025
Viewed by 1487
Abstract
Background: Traumatic brain injury (TBI) is a major public health concern. Creatinine (Cr) has been well studied as a marker of renal function, specifically the development of acute kidney injury (AKI) in TBI patients. We aimed to evaluate the effect of Cr on [...] Read more.
Background: Traumatic brain injury (TBI) is a major public health concern. Creatinine (Cr) has been well studied as a marker of renal function, specifically the development of acute kidney injury (AKI) in TBI patients. We aimed to evaluate the effect of Cr on various clinical outcomes in patients with severe TBI. Methods: We investigated the relationship between Cr levels at various time points and a range of clinical variables, using parametric and non-parametric statistical testing. Results: 1000 patients were included in our study. We found a significant association between sex and Cr level at intensive care unit (ICU) admission and ICU discharge. Cr was positively correlated with ISS at hospital admission, ICU admission, ICU discharge, and at death. Conversely, Cr was negatively correlated with GCS at hospital admission, ICU admission, ICU discharge, and at death. Larger decreases in Cr from Hospital to ICU admission were significantly correlated with increased vent days. Larger decreases in Cr from ICU admission to ICU discharge were significantly correlated with increased hospital length of stay (LOS), ICU LOS, and vent days, likely reflecting the degree of initial hypercreatinemia. For all patients, there were significant positive correlations between Cr at admission and ICU LOS, Cr at ICU admission and ICU LOS, and Cr at ICU admission and vent days. Conclusions: Our findings support existing literature that demonstrates a positive relationship between Cr levels, ICU LOS, and vent days amongst patients with severe TBI. These data suggest renal injury is predictive of TBI outcomes. Future research should investigate the role of renal therapeutic interventions in TBI recovery. Full article
(This article belongs to the Special Issue Proteomics and Metabolomics in Human Health and Disease)
Show Figures

Figure 1

24 pages, 6712 KB  
Article
Biomarkers Characterizing the Onset of Dietary-Induced Hepatocellular Injury and Visceral Obesity in a Rat Experimental Model: Possible Anti-Inflammatory Effects of Steviol Glycosides
by Krastina Trifonova, Penka Yonkova and Petko Dzhelebov
Metabolites 2025, 15(10), 656; https://doi.org/10.3390/metabo15100656 - 4 Oct 2025
Viewed by 1091
Abstract
Background: The aim of the present study is to compare the potential of a high-fat diet, a high-carbohydrate diet, and a high-fat, high-carbohydrate diet to induce liver injury and visceral obesity within a period of five weeks, identify the pattern and degree of [...] Read more.
Background: The aim of the present study is to compare the potential of a high-fat diet, a high-carbohydrate diet, and a high-fat, high-carbohydrate diet to induce liver injury and visceral obesity within a period of five weeks, identify the pattern and degree of hepatic changes at the tissue level, identify the earliest metabolic markers of specific liver changes induced by each type of diet, and to test the possible beneficial effects of steviol glycosides in a rat experimental model. Methods: Wistar rats (n = 56) were divided into seven groups as follows: group BD (before diet), group SD (standard diet), group HFD (high-fat diet), group HCHD (high-carbohydrate diet), group HFHCHD (high-fat high-carbohydrate diet), group SDS (standard diet supplemented with Stevia extract), and group HFDS (high-fat diet supplemented with Stevia extract). Results: Total cholesterol concentrations (2.02 ± 0.22 mmol/L) increased in the HFD group (2.56 ± 0.82 mmol/L) and in the HFDS group (2.89 ± 0.48 mmol/L). The VLDL values before diets were 0.27 ± 0.11 mmol/L and increased most significantly in the HFHCHD group—1.14 ± 0.62 mmol/L. The baseline ALT values (88.4 ± 10.6 U/L) increased in the HFD group (128.13 ± 19.5 U/L) and the HFDS group (127.00 ± 17.74 U/L). Similar increases were registered in the AST/ALT ratio and ALP. Total bilirubin (7.10 ± 1.39 μmol/L) increased in HFD group (27.86 ± 17.01 μmol/L). Serum NO had the lowest values in groups fed diets supplemented with steviol glycosides. All high-calorie diets induced hepatocellular injury. The mass of the perirenal fat depot and cross-sectional area of adipocytes were highest in HFD, HFHCHD, and HFDS groups. Conclusion: High-calorie diets have the potential to induce visceral obesity and hepatocellular injury within a very short period of time, which produces characteristic histological changes and specific biochemical profile. Steviol glycosides may alleviate some aspects of the inflammatory response, but findings about lipid profile parameters and liver enzymes are controversial. Full article
(This article belongs to the Special Issue Metabolic Changes in Diet-Mediated Inflammatory Diseases)
Show Figures

Figure 1

18 pages, 2228 KB  
Article
Linking Elastin in Skeletal Muscle Extracellular Matrix to Metabolic and Aerobic Function in Type 2 Diabetes: A Secondary Analysis of a Lower Leg Training Intervention
by Nicholas A. Hulett, Leslie A. Knaub, Irene E. Schauer, Judith G. Regensteiner, Rebecca L. Scalzo and Jane E. B. Reusch
Metabolites 2025, 15(10), 655; https://doi.org/10.3390/metabo15100655 - 2 Oct 2025
Viewed by 961
Abstract
Background: Type 2 diabetes (T2D) is associated with reduced cardiorespiratory fitness (CRF), a critical predictor of cardiovascular disease and all-cause mortality. CRF relies upon the coordinated action of multiple systems including the skeletal muscle where the mitochondria metabolize oxygen and substrates to sustain [...] Read more.
Background: Type 2 diabetes (T2D) is associated with reduced cardiorespiratory fitness (CRF), a critical predictor of cardiovascular disease and all-cause mortality. CRF relies upon the coordinated action of multiple systems including the skeletal muscle where the mitochondria metabolize oxygen and substrates to sustain ATP production. Yet, previous studies have shown that impairments in muscle bioenergetics in T2D are not solely due to mitochondrial deficits. This finding indicates that factors outside the mitochondria, particularly within the local tissue microenvironment, may contribute to reduced CRF. One such factor is the extracellular matrix (ECM), which plays structural and regulatory roles in metabolic processes. Despite its potential regulatory role, the contribution of ECM remodeling to metabolic impairment in T2D remains poorly understood. We hypothesize that pathological remodeling of the skeletal muscle ECM in overweight individuals with and without T2D impairs bioenergetics and insulin sensitivity, and that exercise may help to ameliorate these effects. Methods: Participants with T2D (n = 21) and overweight controls (n = 24) completed a 10-day single-leg exercise training (SLET) intervention. Muscle samples obtained before and after the intervention were analyzed for ECM components, including collagen, elastin, hyaluronic acid, dystrophin, and proteoglycans, using second harmonic generation imaging and immunohistochemistry. Results: Positive correlations were observed with elastin content and both glucose infusion rate (p = 0.0010) and CRF (0.0363). The collagen area was elevated in participants with T2D at baseline (p = 0.0443) and showed a trend toward reduction following a 10-day SLET (p = 0.0867). Collagen mass remained unchanged, suggesting differences in density. Dystrophin levels were increased with SLET (p = 0.0256). Conclusions: These findings identify that structural proteins contribute to aerobic capacity and identify elastin as an ECM component linked to insulin sensitivity and CRF. Full article
(This article belongs to the Special Issue Effects of Nutrition and Exercise on Cardiometabolic Health)
Show Figures

Figure 1

15 pages, 2342 KB  
Systematic Review
The Impact of Intermittent Fasting on Metabolic and Hormonal Profile in Patients with Polycystic Ovary Syndrome: A Systematic Review and Meta-Analysis
by Iman Aolymat, Suhad Abumweis, Hafez Al-Momani, Diala Walid Abu-Hassan, Majd M. Albarakat, Ahmad Alzoubi, Mohammed Abu saleh, Ayah Khleaf Oleimat, Shaimaa Nasr Amin, Walaa Bayoumie El Gazzar, Ahmed Salem, Amin N. Olaimat, Heba A. Ali and Abd Al-Rahman Al-Shudiefat
Metabolites 2025, 15(10), 654; https://doi.org/10.3390/metabo15100654 - 2 Oct 2025
Viewed by 4664
Abstract
Background: Polycystic ovarian syndrome (PCOS) is one of the most prevalent reproductive, endocrine, and metabolic disorders inflicting women of childbearing age. Dietary interventions have gained interest as non-pharmacological approach to control obesity and metabolic disturbances. However, the effects of intermittent fasting (IF) on [...] Read more.
Background: Polycystic ovarian syndrome (PCOS) is one of the most prevalent reproductive, endocrine, and metabolic disorders inflicting women of childbearing age. Dietary interventions have gained interest as non-pharmacological approach to control obesity and metabolic disturbances. However, the effects of intermittent fasting (IF) on metabolic and hormonal profiles of PCOS patients is debatable. Objectives: We performed this systematic review and meta-analysis to explore IF’s effect on PCOS women’s metabolic and hormonal profile (PROSPERO: CRD42024511520). Eligible studies included IF interventions in women with PCOS, with metabolic and hormonal profiles being reported. Methods: A systematic literature search using three databases, including PubMed, SCOPUS, and Web of Science, was conducted. The systematic review was performed following PRISMA guidelines. Results: A total of four studies were included (N = 4). IF is not associated with significant change in BMI (MD = −0.200, 95% CI [−0.807, 0.407], p = 0.518). The analysis revealed that IF had no statistically significant impact on FBG (MD = −0.569, 95% CI [−9.955, 8.818], p = 0.906), HOMA-IR (MD = −0.862, 95% CI [−1.737, 0.014], p = 0.054), and FINS (MD = −2.749, 95% CI [−6.441, 0.943], p = 0.145). No significant change in TG (MD = −3.120, 95% CI [−9.624, 3.385], p = 0.347), total cholesterol (MD = −0.918, 95% CI [−2.960, 1.124], p = 0.378), and LDL levels (MD = −0.433, 95% CI [−1.224, 0.359], p = 0.284) between IF and pre-fasting or non-intervention diet groups. However, the explanation is limited by the small number of studies, duration of fasting regimes, and/or variations in fasting strategies. Sex hormone data were collected but were insufficient for a pooled analysis. Conclusions: Overall, our study suggests that IF is not an effective intervention to enhance BMI, glycaemic control, and lipid metabolism in PCOS patients. Nevertheless, the current conclusion is inconclusive and preliminary, as additional well-designed studies are required to support this conclusion. Full article
Show Figures

Figure 1

28 pages, 2613 KB  
Review
Personalized Nutrition in Pediatric Chronic Diseases
by Marlene Escobedo-Monge, Robert H. Lustig, Sergey Suchkov, Sofia Blokh, Natalya Andronova, Olga Goryacheva, Marina Borisovna Moyseyak, Timur Vlasov, Arturo Solís Herrera, Veronika Polyakova, Elena Antonova and Aleksandr Tuykavin
Metabolites 2025, 15(10), 653; https://doi.org/10.3390/metabo15100653 - 30 Sep 2025
Viewed by 2513
Abstract
This narrative review examines the application of personalized nutrition (PN) through multi-OMICS and trans-OMICS in pediatric populations, particularly in relation to chronic conditions such as obesity, type 2 diabetes, and celiac disease. We synthesize evidence to identify biomarkers and gene–environment interactions and translate [...] Read more.
This narrative review examines the application of personalized nutrition (PN) through multi-OMICS and trans-OMICS in pediatric populations, particularly in relation to chronic conditions such as obesity, type 2 diabetes, and celiac disease. We synthesize evidence to identify biomarkers and gene–environment interactions and translate molecular insights into individualized dietary guidance. Even though PN represents a promising strategy for optimizing child health, significant challenges remain in translating molecular findings into practical, cost-effective, and equitable interventions. We advocate integrating this knowledge into clinical practice and developing policies and standardized methodologies that ensure accessibility for all pediatric populations. Full article
(This article belongs to the Section Endocrinology and Clinical Metabolic Research)
Show Figures

Graphical abstract

16 pages, 1526 KB  
Article
Metabolic Characteristics of PGPR-Induced Growth Promotion in Alfalfa (Medicago sativa L.)
by Rina Dao, Ying Zhang, Qiang Li and Shengyan Lei
Metabolites 2025, 15(10), 652; https://doi.org/10.3390/metabo15100652 - 30 Sep 2025
Cited by 1 | Viewed by 761
Abstract
Background/Objectives: Plant growth-promoting rhizobacteria (PGPR) have demonstrated potential for enhancing plant growth; existing research inadequately characterizes the metabolic underpinnings of PGPR-induced plant phenotypes. Methods: A deeper investigation into the impact of PGPR on plant metabolic pathways is crucial for a comprehensive [...] Read more.
Background/Objectives: Plant growth-promoting rhizobacteria (PGPR) have demonstrated potential for enhancing plant growth; existing research inadequately characterizes the metabolic underpinnings of PGPR-induced plant phenotypes. Methods: A deeper investigation into the impact of PGPR on plant metabolic pathways is crucial for a comprehensive understanding of their growth-promoting mechanisms and for the development of more effective biofertilizers and plant protection strategies. Results: To clarify the core metabolic pathways targeted by PGPR strains, we selected alfalfa as the research object, employed two Pseudomonas combinations, and utilized a broad-targeted metabolomics approach to investigate the metabolic characteristics of alfalfa roots. Through the analysis of primary and secondary metabolites, a total of 2694 metabolites were identified, among which lipids were the main nutrients during the growth of alfalfa. The L-citrulline and L-arginine contents were significantly upregulated, thereby affecting nitrogen metabolism and ultimately promoting plant growth. In addition, different branches of the isoflavonoid biosynthesis pathway showed differential regulation, indicating their close relationship with plant growth promotion. Conclusions: This study provides a new perspective for a deeper understanding of the molecular mechanisms by which PGPR promotes plant growth and lays a theoretical foundation for the future development of PGPR-based agricultural biological agents. Full article
(This article belongs to the Section Plant Metabolism)
Show Figures

Figure 1

Previous Issue
Next Issue
Back to TopTop