Previous Issue
Volume 15, November
 
 

Brain Sci., Volume 15, Issue 12 (December 2025) – 90 articles

  • Issues are regarded as officially published after their release is announced to the table of contents alert mailing list.
  • You may sign up for e-mail alerts to receive table of contents of newly released issues.
  • PDF is the official format for papers published in both, html and pdf forms. To view the papers in pdf format, click on the "PDF Full-text" link, and use the free Adobe Reader to open them.
Order results
Result details
Section
Select all
Export citation of selected articles as:
22 pages, 882 KB  
Review
Exercise as a Promising Adjunct Treatment for Methamphetamine Addiction: Advances in Understanding Neuroplasticity and Clinical Applications
by Yongting Li, Xiaolong Chen, Tingting Wang, Wanlin Zou, Yong Tang and Zhigang Li
Brain Sci. 2025, 15(12), 1339; https://doi.org/10.3390/brainsci15121339 (registering DOI) - 16 Dec 2025
Abstract
Background: Methamphetamine (Meth) addiction, with its high relapse rates, poses a significant global challenge. Conventional therapies remain inadequate, highlighting the need for effective adjunctive treatments. Objective: This review synthesises evidence to propose a novel ‘Exercise Modality–Neural Target–Rehabilitation Stage’ integration model, elucidating how aerobic, [...] Read more.
Background: Methamphetamine (Meth) addiction, with its high relapse rates, poses a significant global challenge. Conventional therapies remain inadequate, highlighting the need for effective adjunctive treatments. Objective: This review synthesises evidence to propose a novel ‘Exercise Modality–Neural Target–Rehabilitation Stage’ integration model, elucidating how aerobic, resistance, and mind–body exercises differentially target specific neural pathways to ameliorate cognitive deficits, emotional dysregulation, and craving in Meth use disorder. Methods: A narrative synthesis of 84 studies (up to March 2025) from PubMed, Web of Science, and CNKI was conducted, focusing on the neurobiological basis and clinical application of exercise interventions. Results: The analysis identifies a key overarching neurobiological pattern: different exercise modalities work complementarily to reverse Meth-induced imbalance in glutamate/gamma-aminobutyric acid (Glu/GABA) neurotransmitter homeostasis. Aerobic exercise upregulates prefrontal–striatal BDNF to enhance cognitive control, while resistance training modulates the amygdala–striatal dopamine system to improve emotional stability. Additionally, mind–body exercises help balance the autonomic nervous system, which in turn helps manage cravings. Building on this, we construct a standardised ‘screening–assessment–prescription’ framework to guide personalised interventions across the various stages of withdrawal. Conclusions: The primary contribution of this review is the integrative model that positions exercise as a precise, evidence-based rehabilitation strategy. The proposed framework provides a practical blueprint for clinical translation, with future research focusing on developing personalised intelligent rehabilitation systems by integrating multimodal exercise with advanced technologies. Full article
(This article belongs to the Topic New Advances in Addiction Behavior)
16 pages, 1596 KB  
Article
Mental Imagery in Fencing: Improving Point Control and Lunge Distance Through Visualization
by Troy Tianxing Song, Adam Liu and Kun Liu
Brain Sci. 2025, 15(12), 1338; https://doi.org/10.3390/brainsci15121338 (registering DOI) - 16 Dec 2025
Abstract
Background: Visualization (motor imagery) is used in sports to enhance performance. Fencing relies on point control and lunge distance, yet little is known about how visualization affects these skills across experience levels. Objective: To examine the effects of brief visualization on [...] Read more.
Background: Visualization (motor imagery) is used in sports to enhance performance. Fencing relies on point control and lunge distance, yet little is known about how visualization affects these skills across experience levels. Objective: To examine the effects of brief visualization on point control and lunge distance in fencers of different experience levels. Methods: Nineteen fencers (age 10–56) completed pre- and post-tests of point control (10 hits) and lunge distance (maximum reach). Between tests, the experimental group performed a 1 min guided visualization, while the control group (n = 20) repeated the tests without visualization. Results: Visualization significantly improved point control (+1.3 hits, 25.5%; p = 0.002). Lunge distance increased (+15.6 cm, 11.1%; p = 0.001). Less experienced fencers improved more in point control (39.0% vs. 14.8%), while experienced fencers improved more in lunge distance (12.8% vs. 7.2%). Control participants showed no meaningful gains, and between-group comparisons confirmed significant advantages for visualization in both skills (p < 0.01). Conclusion: Even a short visualization exercise improved fencing performance, with novices benefiting most in accuracy and experienced fencers in explosive reach. Visualization offers a low-cost, adaptable supplement to fencing training. Full article
(This article belongs to the Section Neuropsychology)
11 pages, 724 KB  
Article
Sexually Dimorphic Association of Catechol-O-Methyltransferase (COMT) Functional Polymorphism with Dimensional Personality Pathology: A Preliminary Study
by John T. Rucker, Bishal Lamichhane, William B. Haren, Benjamin L. Weinstein and Alok Madan
Brain Sci. 2025, 15(12), 1337; https://doi.org/10.3390/brainsci15121337 - 16 Dec 2025
Abstract
Objective: Genetic and environmental factors influence the expression of personality pathology and subsequent treatment efforts. This study associates genetics with a contemporary nosology of personality pathology represented in the Alternative Model for Personality Disorders (AMPD). We hypothesized traits from Criterion B of the [...] Read more.
Objective: Genetic and environmental factors influence the expression of personality pathology and subsequent treatment efforts. This study associates genetics with a contemporary nosology of personality pathology represented in the Alternative Model for Personality Disorders (AMPD). We hypothesized traits from Criterion B of the AMPD would differ between genotypes of the catechol-O-methyltransferase (COMT) polymorphism (rs4680/Val158Met variation), given this genetic marker’s role in the metabolism of dopamine and norepinephrine, especially in the prefrontal cortex. Methods: The Personality Inventory for DSM-V (PID-5) was used to quantify personality traits, and the Genomind platform was used to identify the genotypes of the Val158Met COMT polymorphism in 84 psychiatric outpatients. Results: One of the five Criterion B personality domains and three of the twenty-five traits were significantly different among genotypes. Met/Met carriers had significantly higher pathological scores on the broad domain of negative affect and specific traits of perceptual dysregulation and separation insecurity, while the Val/Val carriers had significantly higher scores on the restricted affectivity trait. The COMT Val158Met polymorphism’s association with personality pathology was sexually dimorphic, with the two domains and nine traits significantly different across genotypes in males, but no differences were found in females. A substantial improvement in the regression of domains/traits score when gene–sex interactions were included further confirmed the dimorphism, e.g., the R-squared (adjusted) for the psychoticism improved from 0.03 (p = 0.15) to 0.19 (p < 0.001). Conclusions: Findings offer preliminary support for a link, potentially dimorphic across sexes, between the COMT Val158Met polymorphism and personality pathology as represented by the AMPD. Full article
Show Figures

Figure 1

12 pages, 653 KB  
Article
Impact of Cranioplasty Timing and Status on Long-Term Survival and Functional Outcomes After Decompressive Craniectomy for Severe Traumatic Brain Injury
by EJun Kim, Se Hyun Choi, Jee Hye Wee, Yi Hwa Choi, Hyuntaek Rim, In Bok Chang, Joon Ho Song, Yong-Kil Hong and Ji Hee Kim
Brain Sci. 2025, 15(12), 1336; https://doi.org/10.3390/brainsci15121336 - 16 Dec 2025
Abstract
Background: Decompressive craniectomy (DC) is a life-saving procedure for severe traumatic brain injury (TBI); however, its long-term outcomes remain controversial. Cranioplasty traditionally performed to restore cranial integrity, has been increasingly recognized for its potential role in neurological recovery. This study aimed to investigate [...] Read more.
Background: Decompressive craniectomy (DC) is a life-saving procedure for severe traumatic brain injury (TBI); however, its long-term outcomes remain controversial. Cranioplasty traditionally performed to restore cranial integrity, has been increasingly recognized for its potential role in neurological recovery. This study aimed to investigate the impact of cranioplasty timing and status on long-term mortality and functional outcomes after DC for severe TBI. Methods: We retrospectively reviewed 151 patients who underwent DC between 2014 and 2018. Patients were categorized into three groups according to cranioplasty timing: early (<3 months), late (≥3 months), and no cranioplasty. Clinical and radiologic data, including the Rotterdam CT scores, were analyzed. The primary endpoints were 5-year mortality and 12-month functional outcome assessed by the Glasgow Outcome Scale (GOS). Univariate and multivariate logistic regression analyses identified independent predictors and receiver operating characteristic (ROC) curves with are under the curve (AUC) values evaluated model performance. Results: Of 151 eligible patients (mean age = 53.9 ± 17.4 years; 82.1% male), overall 5-year mortality was 76.8% (116/151). Mortality differed substantially by cranioplasty group: 64.5% in early cranioplasty, 70.8% in late cranioplasty, and 82.3% in patients who did not undergo cranioplasty. Unfavorable 12-month functional outcomes occurred in 45.2%, 79.2%, and 91.7% of these groups, respectively. In multivariate analysis, no cranioplasty independently predicted both higher 5-year mortality (OR = 2.78, 95% CI = 1.06–7.25, p = 0.038) and unfavorable functional outcome (OR = 3.09, 95% CI = 1.18–8.09, p = 0.022). Older age was also associated with increased mortality (p = 0.019). ROC analysis showed moderate discriminative performance for 5-year mortality (AUC = 0.71) and good discrimination for unfavorable functional outcome (AUC = 0.80). Conclusions: Absence of cranioplasty was associated with higher long-term mortality and poorer functional recovery following DC for severe TBI. Early cranioplasty may enhance cerebral restoration and rehabilitation potential, improving both survival and neurological outcomes. Full article
(This article belongs to the Special Issue New Advances in Surgical Treatment of Brain Injury)
Show Figures

Figure 1

16 pages, 4209 KB  
Article
The Effect of Forgetting Strategies on Memory Performance: Behavioral and Electroencephalography Evidence
by Chenyu Pan and Fuhong Li
Brain Sci. 2025, 15(12), 1335; https://doi.org/10.3390/brainsci15121335 - 15 Dec 2025
Abstract
Background/Objectives: This study aimed to examine the effect of different forgetting strategies on intentional forgetting, specifically comparing the passive decay strategy (‘forgetting by keeping the mind blank’) and the active rehearsal strategy (‘forgetting by rehearsing other words’). Methods: An item-method directed forgetting paradigm [...] Read more.
Background/Objectives: This study aimed to examine the effect of different forgetting strategies on intentional forgetting, specifically comparing the passive decay strategy (‘forgetting by keeping the mind blank’) and the active rehearsal strategy (‘forgetting by rehearsing other words’). Methods: An item-method directed forgetting paradigm was used in a between-subjects design while the electroencephalogram (EEG) was recorded. Results: Behavioral results showed that both strategies produced a robust directed forgetting (DF) effect, but participants in the active rehearsal group recognized more to-be-remembered (TBR) words. Event-related potential (ERP) results indicated that both groups exhibited a DF effect in the cue-induced P2–P3 complex. Compared to the passive decay group, the active rehearsal group did not show a DF effect in the cue-induced later positive component (LPC); instead, a significant DF effect appeared in the P600 during the test phase. Time–frequency results showed that the passive decay group exhibited a significant DF effect in the 9–25 Hz frequency band during the late stage of cue processing, while the active rehearsal group showed a reversed DF effect in the 8–16 Hz frequency band during the mid-stage of cue processing. Conclusions: These findings indicate that forgetting strategies do not affect the recognition performance of to-be-forgotten (TBF) words. The active rehearsal strategy led participants to shift attention from TBF to TBR words, resulting in better TBR recognition performance in this group. Full article
(This article belongs to the Section Behavioral Neuroscience)
16 pages, 4015 KB  
Article
Noninvasive Seizure Onset Zone Localization Using Janashia–Lagvilava Algorithm-Based Spectral Factorization in Granger Causality
by Sofia Kasradze, Giorgi Lomidze, Lasha Ephremidze, Tamar Gagoshidze, Giorgi Japaridze, Maia Alkhidze, Tamar Jishkariani and Mukesh Dhamala
Brain Sci. 2025, 15(12), 1334; https://doi.org/10.3390/brainsci15121334 - 15 Dec 2025
Abstract
Background/Objectives: Precise identification of seizure onset zones (SOZs) and their propagation pathways is essential for effective epilepsy surgery and other interventional therapies and is typically achieved through invasive electrophysiological recordings such as intracranial electroencephalography (EEG). Previous research has demonstrated that analyzing information flow [...] Read more.
Background/Objectives: Precise identification of seizure onset zones (SOZs) and their propagation pathways is essential for effective epilepsy surgery and other interventional therapies and is typically achieved through invasive electrophysiological recordings such as intracranial electroencephalography (EEG). Previous research has demonstrated that analyzing information flow patterns, particularly in high-frequency oscillations (>80 Hz) using parametric and Wilson algorithm (WL)-based nonparametric Granger causality (GC), is valuable for SOZ identification. In this study, we analyzed scalp EEG recordings from epilepsy patients using an alternative nonparametric GC approach based on spectral density matrix factorization via the Janashia–Lagvilava algorithm (JLA). The aim of this study is to evaluate the effectiveness of JLA-based matrix factorization in nonparametric GC for noninvasively identifying seizure onset zones from ictal EEG recordings in patients with drug-resistant epilepsy. Methods: Two regions of interest (ROIs) in pairs were isolated across different time epochs in six patients referred for presurgical evaluation. To apply the nonparametric Granger causality (GC) estimation approach to the EEG recordings from these regions, the cross-power spectral density matrix was first computed using the multitaper method and subsequently factorized using the JLA. This factorization yielded the transfer function and noise covariance matrix required for GC estimation. GC values were then obtained at different prediction time steps (measured in milliseconds). These estimates were used to confirm the visually suspected seizure onset regions and their propagation pathways. Results: JLA-based spectral factorization applied within the Granger causality framework successfully identified SOZs and their propagation patterns from scalp EEG recordings, demonstrating alignment with positive surgical outcomes (Engel Class I) in all six cases. Conclusions: JLA-based spectral factorization in nonparametric Granger causality shows strong potential not only for accurate SOZ localization to support diagnosis and treatment, but also for broader applications in uncovering information flow patterns in neuroimaging and computational neuroscience. Full article
Show Figures

Figure 1

18 pages, 1903 KB  
Systematic Review
Post-Varicella Arteriopathy as a Cause of Pediatric Arterial Ischemic Stroke: A Systematic Review and Case Report
by Martina Testaì, Silvia Marino, Giovanna Russo and Milena La Spina
Brain Sci. 2025, 15(12), 1333; https://doi.org/10.3390/brainsci15121333 - 15 Dec 2025
Abstract
Background/Objectives: Post-varicella arteriopathy (PVA) is a significant cause of pediatric arterial ischemic stroke (AIS) that typically involves previously healthy children within 12 months of primary varicella infection, mostly with a monophasic course. Diagnosis is based on clinical and imaging findings, and cerebrospinal fluid [...] Read more.
Background/Objectives: Post-varicella arteriopathy (PVA) is a significant cause of pediatric arterial ischemic stroke (AIS) that typically involves previously healthy children within 12 months of primary varicella infection, mostly with a monophasic course. Diagnosis is based on clinical and imaging findings, and cerebrospinal fluid analysis may confirm it; treatment is empirical and heterogeneous. We describe a typical case of PVA and present a systematic review of its clinical, radiological, therapeutic, and outcome features. Methods: Following PRISMA 2020 and AMSTAR-2 guidelines, data on demographics, clinical presentation, imaging, laboratory confirmation, treatment, and outcomes were extracted across databases (PubMed, Embase, Scopus). Results: Forty-seven studies, encompassing 312 pediatric patients, were included. Mean age was 4 years with a median latency of 3.82 months from varicella to neurologic symptoms. Common presentation included hemiparesis, language impairment, and seizures. Imaging findings showed unilateral focal involvement of anterior circulation arteries, basal ganglia infarctions, and, rarely, bilateral or posterior circulation involvement. CSF VZV-DNA PCR and anti-VZV IgG were positive in 39% and 48% of tested patients. Treatment included intravenous acyclovir (34%), corticosteroids (20%), and low-dose aspirin (77%); two patients underwent acute reperfusion therapy (rt-PA or thrombectomy). Outcomes tended to be moderately favorable: 43% achieved full recovery, 45% had residual deficit, and 11% experienced recurrence. Prothrombotic state was reported, and it may influence disease severity. Conclusions: PVA is a rare distinct cause of pediatric stroke, with a generally favorable prognosis quoad vitam. Standardized guidelines and prospective studies are needed to establish evidence-based management. Clinicians should maintain a high suspicion for its diagnosis. Full article
(This article belongs to the Special Issue Advances in Pediatric Neurological Disease Research)
Show Figures

Figure 1

35 pages, 457 KB  
Review
Electroencephalographic Biomarkers in Tinnitus: A Narrative Review of Current Approaches and Clinical Perspectives
by Hyeonsu Oh, Dongwoo Lee, Jae-Kwon Song, Seunghyeon Baek and In-Ki Jin
Brain Sci. 2025, 15(12), 1332; https://doi.org/10.3390/brainsci15121332 - 14 Dec 2025
Viewed by 43
Abstract
Background/Objectives: Tinnitus causes significant cognitive and emotional distress; however, its clinical assessment mostly relies on subjective measures without evaluation of objective indices. In this narrative review, we examined the potential of electroencephalography (EEG)-based neurophysiological markers as objective biomarkers in tinnitus assessment. Methods [...] Read more.
Background/Objectives: Tinnitus causes significant cognitive and emotional distress; however, its clinical assessment mostly relies on subjective measures without evaluation of objective indices. In this narrative review, we examined the potential of electroencephalography (EEG)-based neurophysiological markers as objective biomarkers in tinnitus assessment. Methods: The Web of Science, PubMed, EMBASE, and MEDLINE databases were searched to identify research articles on EEG-based analysis of individuals with tinnitus. Studies in which treatment and control groups were compared across four analytical domains (spectral power analysis, functional connectivity, microstate analysis, and entropy measures) were included. Qualitative synthesis was conducted to elucidate neurophysiological mechanisms, methodological characteristics, and clinical implications. Results: Analysis of 18 studies (n = 1188 participants) revealed that tinnitus is characterized by distributed neural dysfunction that extends beyond the auditory system. Spectral power analyses revealed sex-dependent, frequency-specific abnormalities across distributed brain regions. Connectivity analyses demonstrated elevated long-range coupling in high-frequency bands concurrent with diminished low-frequency synchronization. Microstate analyses revealed alterations in spatial configuration and transition probabilities. Entropy quantification indicated elevated complexity, particularly in the frontal and auditory cortices. Conclusions: EEG-derived neurophysiological markers demonstrate associations with tinnitus in group analyses and show potential for elucidating pathophysiological mechanisms. However, significant limitations, including low spatial resolution, small sample sizes, methodological heterogeneity, and lack of validation for individual-level diagnosis or treatment prediction, highlight the need for cautious interpretation. Standardized analytical protocols, larger validation studies, multimodal neuroimaging integration, and demonstration of clinical utility in prospective trials are required before EEG markers can be established as biomarkers for tinnitus diagnosis and management. Full article
24 pages, 1594 KB  
Systematic Review
Exploring the Bidirectional Relationship Between Numerical Cognition and Motor Performance: A Systematic Review
by Eliane Rached, Jihan Allaw, Joy Khayat, Hassan Karaki, Ahmad Diab, Antonio Pinti and Ahmad Rifai Sarraj
Brain Sci. 2025, 15(12), 1331; https://doi.org/10.3390/brainsci15121331 - 14 Dec 2025
Viewed by 69
Abstract
Background: Numerical cognition and motor performance rely on overlapping brain systems, yet the extent of their reciprocal interaction remains unclear. This systematic review explores how number processing influences motor execution and how motor activity shapes numerical cognition, emphasizing the neural mechanisms underlying these [...] Read more.
Background: Numerical cognition and motor performance rely on overlapping brain systems, yet the extent of their reciprocal interaction remains unclear. This systematic review explores how number processing influences motor execution and how motor activity shapes numerical cognition, emphasizing the neural mechanisms underlying these associations. Methods: A comprehensive search of Scopus, PubMed, MEDLINE, SPORTDiscus, PsycINFO, and SpringerLink, as well as journal citations and conference proceedings (up to August 2025), identified experimental studies examining the interplay between numerical cognition and motor performance in healthy adults. Both randomized and non-randomized designs were included. Two reviewers independently screened, extracted data, and assessed study quality following PRISMA and Cochrane Risk of Bias guidelines. Results: Twelve studies met the inclusion criteria. Most showed that numerical stimuli facilitated motor responses, with congruent number–movement pairings yielding faster reactions and more efficient kinematics. Mental calculation often enhanced motor output (e.g., force, jump height), though interferences emerged under high cognitive load. Conversely, motor actions consistently biased numerical judgments, aligning with spatial–numerical associations. Conclusions: Evidence suggests a predominant pattern of facilitation, likely reflecting shared networks between cognitive and motor resources. These findings advance theoretical understanding and highlight promising translational applications in education, sport, and neurorehabilitation. Full article
Show Figures

Figure 1

34 pages, 1404 KB  
Review
The Neural Contributions to Reactive Balance Control: A Scoping Review of EEG, fNIRS, MRI, and PET Studies
by Andrew S. Monaghan, Taylor Takla, Edward Ofori, Daniel S. Peterson, Wendy Wu, Nora E. Fritz and Jason K. Longhurst
Brain Sci. 2025, 15(12), 1330; https://doi.org/10.3390/brainsci15121330 - 13 Dec 2025
Viewed by 118
Abstract
Background/Objectives: Rapid postural reactions are critical for preventing falls, yet the neural systems supporting these responses are not fully understood, particularly with respect to aging and neurological disorders. Understanding how the brain detects, interprets, and responds to balance disturbances is essential for [...] Read more.
Background/Objectives: Rapid postural reactions are critical for preventing falls, yet the neural systems supporting these responses are not fully understood, particularly with respect to aging and neurological disorders. Understanding how the brain detects, interprets, and responds to balance disturbances is essential for developing new interventions. This scoping review aimed to synthesize evidence from neuroimaging studies to identify the cortical and subcortical mechanisms underlying reactive balance and to characterize how these mechanisms are altered by aging and pathology. Methods: A structured search of EMBASE, PubMed, and CINAHL (7 November 2024) identified studies examining neural activity during experimentally induced balance perturbations. Sixty-one studies met inclusion criteria (EEG n = 45; MRI n = 9; fNIRS n = 8; PET n = 1) and were analyzed for patterns of regional activation and age- or disease-related differences. Results: Evidence converges on a distributed network supporting reactive balance. Sensorimotor, premotor, supplementary motor, and prefrontal cortices show consistent involvement, while cerebellar, brainstem, and basal ganglia structures contribute to rapid, automatic responses. Aging and neurological conditions commonly heighten cortical activation, suggesting reduced automaticity and increased reliance on compensatory control. Conclusions: Reactive balance emerges from coordinated activity across cortico-subcortical systems that are altered by aging and pathology. Further research incorporating multimodal imaging approaches and more ecologically realistic perturbation paradigms is needed to clarify mechanistic pathways and inform precision-based fall-prevention strategies. Full article
Show Figures

Figure 1

17 pages, 1991 KB  
Article
Lesion-Symptom Mapping of Acute Speech Deficits After Left vs. Right Hemisphere Stroke: A Retrospective Analysis of NIHSS Best Language Scores and Clinical Neuroimaging
by Nilofar Sherzad, Roger Newman-Norlund, John Absher, Leonardo Bonilha, Christopher Rorden, Julius Fridriksson and Sigfus Kristinsson
Brain Sci. 2025, 15(12), 1329; https://doi.org/10.3390/brainsci15121329 - 13 Dec 2025
Viewed by 164
Abstract
Background: Recent research suggests that damage to right hemisphere regions homotopic to the left hemisphere language network affects language abilities to a greater extent than previously thought. However, few studies have investigated acute disruption of language after lesion to the right hemisphere. [...] Read more.
Background: Recent research suggests that damage to right hemisphere regions homotopic to the left hemisphere language network affects language abilities to a greater extent than previously thought. However, few studies have investigated acute disruption of language after lesion to the right hemisphere. Here, we examined lesion correlates of acute speech deficits following left and right hemisphere ischemic stroke to clarify the neural architecture underlying early language dysfunction. Methods: We retrospectively analyzed 410 patients (225 left, 185 right hemisphere lesions) from the Stroke Outcome Optimization Project dataset. Presence and severity of speech deficits was measured using the National Institute of Health Stroke Scale Best Language subscore within 48 h of onset. Manual lesion masks were derived from clinical MRI scans and normalized to MNI space. Lesion-symptom mapping was conducted using voxelwise and region-of-interest analyses with permutation correction (5000 iterations; p < 0.05), controlling for total lesion volume. Results: Speech deficits were observed in 53.7% of the cohort (58.2% left, 48.1% right hemisphere lesions). In the full sample, the presence of speech deficits was associated with bilateral subcortical and perisylvian damage, including the external and internal capsules, insula, putamen, and superior fronto-occipital fasciculus. Severity of speech deficits localized predominantly to left hemisphere structures, with peak associations in the external capsule (Z = 6.39), posterior insula (Z = 5.64), and inferior fronto-occipital fasciculus (Z = 5.43). In the right hemisphere cohort, the presence and severity of speech deficits were linked to homologous regions, including the posterior insula (Z = 3.70) and external capsule (Z = 3.63), although with smaller effect sizes relative to the left hemisphere cohort. Right hemisphere lesions resulted in milder deficits despite larger lesion volumes compared with left hemisphere lesions. Conclusions: Acute speech impairment following right hemisphere stroke is associated with damage to a homotopic network encompassing perisylvian cortical and subcortical regions analogous to the dominant left hemisphere language network. These findings demonstrate that damage to the right hemisphere consistently results in acute speech deficits, challenging the traditional left-centric view of post-stroke speech impairment. These results have important implications for models of bilateral language representation and the neuroplastic mechanisms supporting language recovery. Full article
(This article belongs to the Special Issue Diagnosis and Treatment of Post-Stroke and Progressive Aphasias)
Show Figures

Figure 1

18 pages, 690 KB  
Article
Effects of Continuous Theta Burst Stimulation to the Dorsolateral Prefrontal Cortex on Attention to Emotional Stimuli: A Randomized Controlled Trial
by Katerina Konikkou, Aimé Isdahl-Troye, Maria Sikki and Kostas Fanti
Brain Sci. 2025, 15(12), 1328; https://doi.org/10.3390/brainsci15121328 - 13 Dec 2025
Viewed by 206
Abstract
Background/Objectives: The use of theta-burst stimulation (TBS) over the dorsolateral prefrontal cortex (DLPFC) to modulate cognitive function is gaining increasing interest, since it is more time-efficient than standard repetitive transcranial magnetic stimulation. However, the impact of TBS protocols on specific cognitive processes, [...] Read more.
Background/Objectives: The use of theta-burst stimulation (TBS) over the dorsolateral prefrontal cortex (DLPFC) to modulate cognitive function is gaining increasing interest, since it is more time-efficient than standard repetitive transcranial magnetic stimulation. However, the impact of TBS protocols on specific cognitive processes, such as emotional attention, remains understudied. This study aimed to examine the differential effect of continuous TBS (cTBS) over the left and right DLPFC on the facilitation of attention towards emotional (i.e., pleasant and distressing) versus neutral stimuli. Methods: In this randomized controlled trial, ninety-one healthy young adults were randomly allocated to receive either real or sham stimulation over the right or left DLPFC (i.e., left/right real cTBS and left/right sham cTBS), and then completed a computerized dot-probe task that included distressing, pleasant, and neutral images. Results: Participants who received real cTBS showed slower response times to probes replacing neutral images compared to emotional images, whereas no differences were found between stimuli in the sham conditions. No hemisphere-dependent effects were observed for distressing or pleasant images, suggesting that cTBS modulated attentional performance in a comparable manner when administered over the left or right DLPFC. Conclusions: These findings contribute to the literature on emotional attention, underscoring the role of DLPFC in attentional control, which is a valuable cognitive target for advancing the design and implementation of cTBS protocols. Full article
(This article belongs to the Section Cognitive, Social and Affective Neuroscience)
Show Figures

Figure 1

14 pages, 639 KB  
Article
Recognising Emotions from the Voice: A tDCS and fNIRS Double-Blind Study on the Role of the Cerebellum in Emotional Prosody
by Sharon Mara Luciano, Laura Sagliano, Alessia Salzillo, Luigi Trojano and Francesco Panico
Brain Sci. 2025, 15(12), 1327; https://doi.org/10.3390/brainsci15121327 - 13 Dec 2025
Viewed by 191
Abstract
Background: Emotional prosody refers to the variations in pitch, pause, melody, rhythm, and stress of pronunciation conveying emotional meaning during speech. Although several studies demonstrated that the cerebellum is involved in the network subserving recognition of emotional facial expressions, there is only [...] Read more.
Background: Emotional prosody refers to the variations in pitch, pause, melody, rhythm, and stress of pronunciation conveying emotional meaning during speech. Although several studies demonstrated that the cerebellum is involved in the network subserving recognition of emotional facial expressions, there is only preliminary evidence suggesting its possible contribution to recognising emotional prosody by modulating the activity of cerebello-prefrontal circuits. The present study aims to further explore the role of the left and right cerebellum in the recognition of emotional prosody in a sample of healthy individuals who were required to identify emotions (happiness, anger, sadness, surprise, disgust, and neutral) from vocal stimuli selected from a validated database (EMOVO corpus). Methods: Anodal transcranial Direct Current Stimulation (tDCS) was used in offline mode to modulate cerebellar activity before the emotional prosody recognition task, and functional near-infrared spectroscopy (fNIRS) was used to monitor stimulation-related changes in oxy- and deoxy- haemoglobin (O2HB and HHB) in prefrontal areas (PFC). Results: Right cerebellar stimulation reduced reaction times in the recognition of all emotions (except neutral and disgust) as compared to both the sham and left cerebellar stimulation, while accuracy was not affected by the stimulation. Haemodynamic data revealed that right cerebellar stimulation reduced O2HB and increased HHB in the PFC bilaterally relative to the other stimulation conditions. Conclusions: These findings are consistent with the involvement of the right cerebellum in modulating emotional processing and in regulating cerebello-prefrontal circuits. Full article
Show Figures

Figure 1

19 pages, 3276 KB  
Article
Brain Activation Features in Response to the Expectation of Receiving Rewards Through Aggression
by Jia-Ming Wei, Xiaoyun Zhao and Ling-Xiang Xia
Brain Sci. 2025, 15(12), 1326; https://doi.org/10.3390/brainsci15121326 - 12 Dec 2025
Viewed by 200
Abstract
Background: Reward expectation is an important motivation for aggression. However, despite substantial progress in behavioral studies related to reward expectation in aggression, the neural basis underlying this process remains unclear. Methods: To investigate the brain correlates of aggressive reward expectation, we [...] Read more.
Background: Reward expectation is an important motivation for aggression. However, despite substantial progress in behavioral studies related to reward expectation in aggression, the neural basis underlying this process remains unclear. Methods: To investigate the brain correlates of aggressive reward expectation, we developed the Harm–Gain Task (HGT). In this task, participants were informed that they could gain money by causing harm to another person and were instructed to evaluate their satisfaction with the anticipated monetary reward. Additionally, we designed a questionnaire to measure participants’ moral disengagement concerning aggressive decision-making in the HGT. Thirty-four healthy Chinese university students completed the HGT while in the scanner, and their functional images were acquired using a 3.0-T Siemens Tim Trio scanner. Data from two participants were excluded from the analysis due to excessive head motion. Finally, data from 32 participants (15 males, Mage = 19.97 years, SDage = 2.07 years) were included in the analyses. Results: Findings show that during the reward expectation phase of the HGT, (1) relative to the baseline condition, the orbitofrontal cortex (OFC), anterior cingulate cortex (ACC), and middle cingulate cortex (MCC) were significantly activated. Conversely, activation in the bilateral dorsolateral prefrontal cortex (DLPFC), bilateral inferior parietal lobule (IPL), and bilateral lateral temporal cortex (LTC) was attenuated. (2) As the monetary amount raised, activation in the OFC and ACC significantly increased, while activation in the DLPFC, IPL, and LTC significantly decreased. (3) As the monetary amount raised, the heightened activation in the OFC and ACC was significantly correlated with participants’ aggressive behavior and moral disengagement scores. Conclusions: The results provide preliminary evidence regarding neural correlates in aggressive reward expectation, promoting further exploration of the cognitive neural mechanisms underlying aggression. Full article
Show Figures

Figure 1

24 pages, 2074 KB  
Review
Brain Age Acceleration on MRI Due to Poor Sleep: Associations, Mechanisms, and Clinical Implications
by Eman A. Toraih, Mohammad H. Hussein, Abdulrahman Omar A. Alali, Asseel Farhan K. Alanazi, Nasser Rakan Almjlad, Turki Helal D. Alanazi, Rawaf Awadh T. Alanazi and Manal S. Fawzy
Brain Sci. 2025, 15(12), 1325; https://doi.org/10.3390/brainsci15121325 - 12 Dec 2025
Viewed by 204
Abstract
Sleep disturbances, affecting nearly half of middle-aged adults, have emerged as modifiable determinants of brain health and dementia risk. Recent advances in machine learning applied to MRI enable the estimation of “brain age,” a biomarker that quantifies deviation from normative neural aging. This [...] Read more.
Sleep disturbances, affecting nearly half of middle-aged adults, have emerged as modifiable determinants of brain health and dementia risk. Recent advances in machine learning applied to MRI enable the estimation of “brain age,” a biomarker that quantifies deviation from normative neural aging. This review synthesizes and critically evaluates converging evidence that poor sleep accelerates biological brain aging, identifies mechanistic pathways, and delineates translational barriers to clinical application. Across large-scale cohorts comprising more than 25,000 participants, suboptimal sleep independently predicts 1–3 years of MRI-derived brain age acceleration, even after adjusting for vascular and metabolic confounders. Objective sleep fragmentation and altered sleep-stage architecture exhibit sleep-specific neuroanatomical signatures, independent of amyloid and tau pathology, while inflammatory, vascular, and glymphatic mechanisms mediate a small fraction of the effect. Experimental sleep deprivation studies demonstrate reversibility of accelerated brain aging, highlighting opportunities for early intervention. Translation to clinical practice is constrained by methodological heterogeneity, reliance on self-reported sleep metrics, limited population diversity, and the absence of randomized intervention trials demonstrating causal reversibility. Addressing these gaps through standardized MRI-based biomarkers, longitudinal mechanistic studies, and interventional trials could establish sleep optimization as a viable neuroprotective strategy for dementia prevention. Full article
(This article belongs to the Section Sleep and Circadian Neuroscience)
Show Figures

Figure 1

14 pages, 1167 KB  
Article
Core Body Temperature Negatively Correlates with Whole-Brain Gray Matter Volume: A Pilot Study in the Context of Global Warming
by Keisuke Kokubun, Kiyotaka Nemoto, Yoshimitsu Yamamoto, Ayumu Mitera and Yoshinori Yamakawa
Brain Sci. 2025, 15(12), 1324; https://doi.org/10.3390/brainsci15121324 - 12 Dec 2025
Viewed by 162
Abstract
Global warming has been associated with various adverse effects on human physiology, yet its potential impact on brain structure remains largely unexplored. The present pilot study investigated the relationship between core body temperature and whole-brain gray matter volume (GMV) in healthy adults. Twenty-seven [...] Read more.
Global warming has been associated with various adverse effects on human physiology, yet its potential impact on brain structure remains largely unexplored. The present pilot study investigated the relationship between core body temperature and whole-brain gray matter volume (GMV) in healthy adults. Twenty-seven participants (19 males, 8 females; mean age = 38.6 ± 10.3 years) underwent MRI scanning and core temperature assessment. Correlation and partial correlation analyses were performed to examine the association between core body temperature and GMV, controlling for demographic and physiological covariates summarized by the first principal component. Core body temperature showed a significant negative correlation with whole-brain GMV (r = −0.496, p = 0.009; 95% CI = −0.737 to −0.143) and a trend-level significant partial correlation after covariate adjustment (r = −0.373, p = 0.060; 95% CI = −0.660 to 0.008). These trends remained after correction for multiple comparisons using the Benjamini–Hochberg false discovery rate. Exploratory analyses across 116 AAL regions identified the left Fusiform gyrus as showing a significant negative correlation with core body temperature (r = −0.643, p < 0.001). Given the modest sample size, these findings should be interpreted cautiously as preliminary, hypothesis-generating evidence. They suggest that even subtle variations in body temperature within the normal physiological range may relate to differences in global brain structure. Possible mechanisms include heat-induced inflammation, oxidative stress, and increased metabolic load on neural tissue. Understanding how individual differences in body temperature relate to brain morphology may provide insights into the neural health consequences of rising environmental temperatures. Full article
(This article belongs to the Special Issue Climate-Related Neurological Problems and Diseases)
Show Figures

Figure 1

14 pages, 257 KB  
Review
Innovations in Meta-Analytic and Computational Methods in the Neuroscientific Investigation of Psychiatric and Neurological Disorders
by Chris H. Miller, Thomas J. Farrer, Jonathan D. Moore, Matthew J. Wright, Caitlin Baten, Ellen Woo, J. Paul Hamilton, Matthew D. Sacchet, Lance D. Erickson, Shawn D. Gale and Dawson W. Hedges
Brain Sci. 2025, 15(12), 1323; https://doi.org/10.3390/brainsci15121323 - 12 Dec 2025
Viewed by 209
Abstract
Recent advancements in neuroimaging and genetics have generated a rapid proliferation of primary studies in these fields, leading to the development and application of meta-analytic methods, which have contributed substantially to our understanding of psychiatric and neurological disorders. The current narrative review discusses [...] Read more.
Recent advancements in neuroimaging and genetics have generated a rapid proliferation of primary studies in these fields, leading to the development and application of meta-analytic methods, which have contributed substantially to our understanding of psychiatric and neurological disorders. The current narrative review discusses four such innovations and applications in meta-analytic techniques and how they have advanced our understanding of clinical conditions: (1) multilevel kernel density analysis (MKDA) of functional magnetic resonance imaging (fMRI) studies, (2) meta-analyses of positron emission tomography (PET) imaging of neuroinflammation, (3) Enhancing Neuroimaging Genetics through Meta-Analysis (ENIGMA) Consortium neuroimaging protocols, and (4) meta-genome-wide association studies (Meta-GWASs) and polygenic risk scores (PRSs). These meta-analytic methods have contributed substantially to our understanding of psychiatric and neurological disorders by refining robust neural models, identifying transdiagnostic and disease-specific biomarkers of inflammation, uncovering numerous genetic risk variants with improved prediction models, and underscoring the polygenic and pleiotropic architecture of these conditions. Future research should continue to develop techniques for harmonizing multimodal data analysis, pursue both biomarker- and mechanism-driven approaches to discovery, and leverage biological discoveries to advance development of precision treatments and diagnostic frameworks. Full article
(This article belongs to the Section Neural Engineering, Neuroergonomics and Neurorobotics)
17 pages, 698 KB  
Article
The Relation of Alpha Asymmetry to Physical Activity Duration and Intensity
by Bryan Montero-Herrera, Megan M. O’Brokta, Praveen A. Pasupathi and Eric S. Drollette
Brain Sci. 2025, 15(12), 1322; https://doi.org/10.3390/brainsci15121322 - 11 Dec 2025
Viewed by 198
Abstract
Background/Objectives: Regular physical activity (PA) benefits mood and cognition, yet the neural markers associated with free-living PA remain unclear. Alpha asymmetry (AA), a neural marker of affective and motivational states, may help predict individuals’ preferred activity intensity and duration. To examine the relationship [...] Read more.
Background/Objectives: Regular physical activity (PA) benefits mood and cognition, yet the neural markers associated with free-living PA remain unclear. Alpha asymmetry (AA), a neural marker of affective and motivational states, may help predict individuals’ preferred activity intensity and duration. To examine the relationship between resting-state AA in frontal and parietal regions, positive affect, and accelerometer-derived PA metrics were measured. Methods: Fifty-nine participants (age = 21.8 years) wore wrist accelerometers for 7 days, completed resting-state electroencephalography (EEG; alpha power 8–13 Hz), and completed the Positive and Negative Affect Schedule (PANAS). PA metrics included sedentary time (ST), light PA (LPA), moderate-to-vigorous PA (MVPA), average acceleration (AvAcc), intensity gradient (IG), and the most active X minutes (M2–M120). Multiple regression models tested AA to PA associations while accounting for sex and positive affect. Results: Although frontal AA was included as a key neural candidate, the observed associations emerged only at parietal sites. Greater right parietal AA power was associated with the most active M60, M30, M15, M10, and M5. For IG, greater AA power was observed in the left parietal region. No significant associations emerged for LPA, MVPA, AvAcc, M120, or M2. Across models, higher positive affect consistently predicted greater PA engagement. Conclusions: While resting frontal AA is theoretically relevant to motivational processes, the findings indicate that parietal AA more strongly differentiates individuals’ tendencies toward specific PA intensities and durations. Positive affect is associated with PA engagement. These findings identify parietal AA as a promising neural correlate for tailoring PA strategies aimed at sustaining active lifestyles. Full article
(This article belongs to the Section Behavioral Neuroscience)
Show Figures

Figure 1

31 pages, 836 KB  
Review
Core Circadian Protein BMAL1: Implication for Nervous System Functioning and Its Diseases
by Kristina V. Smirnova, Liudmila P. Smirnova and Tamara G. Amstislavskaya
Brain Sci. 2025, 15(12), 1321; https://doi.org/10.3390/brainsci15121321 - 11 Dec 2025
Viewed by 246
Abstract
The brain and muscle ARNT-like 1 protein, also known as BMAL1 or ARNTL1, is one of the key transcriptional regulators of circadian rhythms that controls the diurnal dynamics of a wide range of behavioral, hormonal, and biochemical factors in most living creatures around [...] Read more.
The brain and muscle ARNT-like 1 protein, also known as BMAL1 or ARNTL1, is one of the key transcriptional regulators of circadian rhythms that controls the diurnal dynamics of a wide range of behavioral, hormonal, and biochemical factors in most living creatures around the Earth. This protein also regulates many physiological processes, and its disruption leads to pathological conditions in organisms, including nervous system disorders. The high evolutionary conservativity of BMAL1 allows for the construction of in vitro and in vivo models using experimental animals and the investigation of BMAL1-dependent molecular mechanisms of these diseases. In this review, we have collected data from human and animal studies concerning the roles of BMAL1 in processes such as neuroinflammation, trauma and neurodegeneration, neurodevelopment and myelinization, mood disorders, addictions, cognitive functions, and neurosignaling. Additionally, we provide information about the biochemical regulation of BMAL1 and pharmacological approaches to change its activity. Here, we conclude that BMAL1 functions in the nervous system go far beyond circadian rhythm regulation in most cell types, including neurons, glial cells, and microglial cells. Under pathological conditions, lack or overexpression of this protein can exert both protective and destructive effects. Thus, proper therapeutic modulation of BMAL1 activity is a promising approach for improving nervous system disorders. Full article
Show Figures

Figure 1

9 pages, 370 KB  
Article
Predictors of Futile Inter-Hospital Transfer for Endovascular Thrombectomy in Anterior Circulation Acute Ischemic Stroke Due to Large Vessel Occlusion
by Tushar B. Patil, Aviraj Satish Deshmukh, Zacharie Gagné, Christine Hawkes, Aris H. Katsanos, Naif Faisal Alharbi, Mohammed Mesfer Alwadai, Rhonda McNicolle-White, Mukul Sharma and Brian van Adel
Brain Sci. 2025, 15(12), 1320; https://doi.org/10.3390/brainsci15121320 - 11 Dec 2025
Viewed by 131
Abstract
Background: Endovascular therapy (EVT) is a standard treatment for acute ischemic stroke (AIS) with large vessel occlusion (LVO), but inter-hospital transfers from primary stroke centers (PSCs) to comprehensive stroke centers (CSCs) can result in delayed treatment and worse outcomes. Up to 30–40% of [...] Read more.
Background: Endovascular therapy (EVT) is a standard treatment for acute ischemic stroke (AIS) with large vessel occlusion (LVO), but inter-hospital transfers from primary stroke centers (PSCs) to comprehensive stroke centers (CSCs) can result in delayed treatment and worse outcomes. Up to 30–40% of patients transferred may not receive EVT. This study investigates the causes of futile transfers to a CSC in Canada, aiming to identify its predictors. Methods: We conducted a retrospective analysis of consecutive patients transferred for EVT between 1 April 2017 and 31 December 2020, from PSCs and community hospitals (CH) to a CSC in an urban area of Canada. Data on demographics, clinical characteristics, and treatment outcomes were collected. Descriptive and comparative analyses were performed to identify factors contributing to non-receipt of EVT. Results: Of the transferred 326 patients, 241 (73.9%) underwent EVT, and 85 (26%) did not. The main reasons for not performing EVT were recanalization of the target vessel (44.7%), infarct growth (29.4%), clinical improvement or low NIHSS (17.6%), and hemorrhagic transformation (8.2%). Predictors of futility were lower NIHSS at presentation, intravenous thrombolysis (IVT) at the PSC, and greater ASPECTS decay during transport. Conclusions: Our study concluded that 26% of inter-hospital transfers for EVT were futile, primarily due to infarct growth, recanalization of the target vessel, and low NIHSS. These findings suggest that closer monitoring of clinical status, consideration of direct transfers to CSCs, and enhanced triage strategies may help reduce futile transfers and improve patient outcomes. Full article
Show Figures

Figure 1

16 pages, 868 KB  
Article
Serum Cortisol and Interleukin-6 as Key Biomarkers for a Diagnostic Algorithm of Combat-Related PTSD
by Yana Zorkina, Alexander Berdalin, Olga Abramova, Aleksandr Reznik, Valeriya Ushakova, Vladimir Mukhin, Daria Riabinina, Alina Khamidova, Olga Pavlova, Konstantin Pavlov, Elizaveta Golubeva, Angelina Zeltser, Georgy Kostyuk and Anna Morozova
Brain Sci. 2025, 15(12), 1319; https://doi.org/10.3390/brainsci15121319 - 10 Dec 2025
Viewed by 172
Abstract
Background: Post-traumatic stress disorder (PTSD) is a severe psychiatric condition prevalent among combat veterans. Its diagnosis is challenging due to the heterogeneity of clinical presentations and the complex interplay of pathogenic factors. Objective: This study aimed to develop and validate a diagnostic algorithm [...] Read more.
Background: Post-traumatic stress disorder (PTSD) is a severe psychiatric condition prevalent among combat veterans. Its diagnosis is challenging due to the heterogeneity of clinical presentations and the complex interplay of pathogenic factors. Objective: This study aimed to develop and validate a diagnostic algorithm for combat-related PTSD by integrating clinical data with a panel of biological markers associated with blood–brain barrier disruption (anti-GFAP and anti-NSE antibodies), HPA axis dysfunction (cortisol), and neuroinflammation (IL-6, IL-8). Methods: A total of 721 male participants were enrolled: 434 veterans with PTSD (F43.1), 147 combat veterans without PTSD, and 140 non-combat military controls. All participants underwent clinical and psychometric assessment (Likert scale, HADS). Serum levels of biomarkers were measured using ELISA. Statistical analysis included non-parametric tests, correlation analysis, and binary logistic regression with Wald’s method to build a predictive model. Results: The binary logistic regression model identified cortisol and IL-6 as the most significant predictors of PTSD. The final algorithm, based on a cortisol level below 199.8 nmol/L and an IL-6 level above 0.002438 pg/mL, correctly classified 78% of patients (AUC = 0.724, 95% CI [0.669, 0.779]). Furthermore, levels of IL-4, IL-8, and cortisol positively correlated with the severity of combat stress factors, independent of physical injuries. Conclusions: We developed a novel diagnostic algorithm for combat-related PTSD based on cortisol and IL-6 levels, demonstrating high accuracy. The correlation between neuroinflammatory markers and the severity of combat exposure suggests their role as primary indicators of stress response, highlighting their utility for early risk identification and targeted interventions. Full article
(This article belongs to the Section Environmental Neuroscience)
Show Figures

Figure 1

20 pages, 764 KB  
Hypothesis
Multisensory Rhythmic Entrainment as a Mechanistic Framework for Modulating Prefrontal Network Stability in Focal Epilepsy
by Ekaterina Andreevna Narodova
Brain Sci. 2025, 15(12), 1318; https://doi.org/10.3390/brainsci15121318 - 10 Dec 2025
Viewed by 207
Abstract
Epilepsy is increasingly conceptualized as a disorder of large-scale network instability, involving impairments in interhemispheric connectivity, prefrontal inhibitory control, and slow-frequency temporal processing. Rhythmic sensory stimulation—auditory, vibrotactile, or multisensory—can entrain neuronal oscillations and modulate attentional and sensorimotor networks, yet its mechanistic relevance to [...] Read more.
Epilepsy is increasingly conceptualized as a disorder of large-scale network instability, involving impairments in interhemispheric connectivity, prefrontal inhibitory control, and slow-frequency temporal processing. Rhythmic sensory stimulation—auditory, vibrotactile, or multisensory—can entrain neuronal oscillations and modulate attentional and sensorimotor networks, yet its mechanistic relevance to epileptic network physiology remains insufficiently explored. This conceptual and mechanistic article integrates empirical findings from entrainment research, prefrontal timing theories, multisensory integration, and network-based models of seizure dynamics and uses them to formulate a hypothesis-driven framework for multisensory exogenous rhythmic stimulation (ERS) in focal epilepsy. Rather than presenting a tested intervention, we propose a set of speculative mechanistic pathways through which low-frequency rhythmic cues might serve as an external temporal reference, engage fronto-parietal control systems, facilitate multisensory-driven sensorimotor coupling, and potentially modulate interhemispheric frontal coherence. These putative mechanisms are illustrated by exploratory neurophysiological observations, including a small pilot study reporting frontal coherence changes during mobile ERS exposure, but they have not yet been validated in controlled experimental settings. The framework does not imply therapeutic benefit; instead, it identifies theoretical pathways through which rhythmic sensory cues may transiently interact with epileptic networks. The proposed model is intended as a conceptual foundation for future neurophysiological validation, computational simulations, and early feasibility research in the emerging field of digital neuromodulation, rather than as evidence of clinical efficacy. This Hypothesis article formulates explicitly testable predictions regarding how multisensory ERS may transiently modulate candidate physiological markers of prefrontal network stability in focal epilepsy. Full article
(This article belongs to the Section Systems Neuroscience)
Show Figures

Figure 1

25 pages, 3536 KB  
Review
Advancements and Applications of EEG in Gustatory Perception
by Lingfeng Yang, Chengpeng Zhang, Wei Wu, Jing Xie and Zhaoyang Ding
Brain Sci. 2025, 15(12), 1317; https://doi.org/10.3390/brainsci15121317 - 10 Dec 2025
Viewed by 319
Abstract
Electroencephalography (EEG) is a powerful tool for investigating gustatory perception, offering high temporal resolution and non-invasive brain activity recording. This review highlights the ability of EEG to reveal the complex interactions between sensory input, emotional responses, and cognitive evaluation in the process of [...] Read more.
Electroencephalography (EEG) is a powerful tool for investigating gustatory perception, offering high temporal resolution and non-invasive brain activity recording. This review highlights the ability of EEG to reveal the complex interactions between sensory input, emotional responses, and cognitive evaluation in the process of taste perception. This review examines the physiological basis of taste, focusing on key brain regions and how environmental and psychological factors influence taste perception. It also discusses the methods and applications of EEG technology, including its principles, signal features, and measurement methods. Notably, EEG markers like event-related potentials (ERPs), frequency band power analysis, and brain network connectivity are essential for understanding the neural dynamics of taste processing. This review concludes with potential future research directions, including the integration of EEG with other neuroimaging techniques, cross-cultural studies on gustatory perception, and the use of EEG biomarkers in early neurological disease diagnosis. Full article
(This article belongs to the Section Neurotechnology and Neuroimaging)
Show Figures

Figure 1

15 pages, 562 KB  
Article
A Longitudinal Observational Study to Monitor the Outpatient–Caregiver Dyad in a Rehabilitation Hospital: Sociodemographic Characteristics and the Impact of Cognitive and Functional Impairment
by Daniela Mancini, Valeria Torlaschi, Marina Maffoni, Roberto Maestri, Pierluigi Chimento, Michelangelo Buonocore, Antonia Pierobon and Cira Fundarò
Brain Sci. 2025, 15(12), 1316; https://doi.org/10.3390/brainsci15121316 - 10 Dec 2025
Viewed by 175
Abstract
Background and objectives: This study examines how sociodemographic, clinical, and psychological factors within the patient–caregiver dyad affect caregiver burden and health-related quality of life (HRQoL) in cognitive impairment. By comparing baseline data with a 1-year follow-up, the research aims to identify key predictors [...] Read more.
Background and objectives: This study examines how sociodemographic, clinical, and psychological factors within the patient–caregiver dyad affect caregiver burden and health-related quality of life (HRQoL) in cognitive impairment. By comparing baseline data with a 1-year follow-up, the research aims to identify key predictors of caregiver burden and well-being. Methods: A longitudinal observational study was conducted in an Italian rehabilitation hospital, recruiting 132 outpatients and their caregivers at baseline, categorized as (a) Mild Cognitive Impairment (MCI, n = 33); (b) dementia (DEM, n = 58); (c) healthy subjects (No-CI, n = 41). One year after baseline assessment (T0), patients were contacted and invited for an in-person follow-up re-evaluation (T1). Most attrition was related to the COVID-19 pandemic. Statistical analyses included non-parametric tests for group comparisons and stepwise multiple linear regression to identify predictors of burden, adjusting for confounders (e.g., age, gender, education, employment, co-residence). Results: A total of 51 subjects (age: 80.0 ± 6.1) and 34 caregivers (age: 58.8 ± 15.9) were evaluated. Patients were balanced by gender (53% males); most were retired (96%), married (62.7%), and cared for by sons (47%) or wife–husband (47%). Caregivers (females: 85%) were married (68.3%) and active workers (46.4%). Over one year, 17 No-CI subjects developed MCI or DEM; 15 MCI patients progressed to DEM. Caregiver HRQoL negatively correlated with distress and burden in MCI and DEM groups. Patient cognitive status, functional abilities, neuropsychiatric symptoms, and gender predicted caregiver burden, emphasizing the interplay between clinical and demographic factors. Conclusions: It is essential to monitor psychosocial factors in both the patient and the caregiver to develop effective prevention and support strategies. Full article
(This article belongs to the Special Issue Dementia and Cognitive Decline in Aging)
Show Figures

Figure 1

15 pages, 1150 KB  
Article
Minimally Invasive Supraorbital vs. Traditional Pterional Approaches in Unruptured Aneurysm Surgery: Evaluating Risks and Results
by Anna Brunner, Marlene Rainer, Uschi Pongratz, Klaus Leber, Máté Fehér, Alexander Micko and Stefan Wolfsberger
Brain Sci. 2025, 15(12), 1315; https://doi.org/10.3390/brainsci15121315 - 9 Dec 2025
Viewed by 191
Abstract
Background/Objectives: Intracranial aneurysms affect 3–5% of the population and are associated with high morbidity and mortality, particularly after rupture. Treatment options for unruptured aneurysms include microsurgical clipping, with the pterional and supraorbital approaches commonly employed. This study compares these two approaches regarding complications [...] Read more.
Background/Objectives: Intracranial aneurysms affect 3–5% of the population and are associated with high morbidity and mortality, particularly after rupture. Treatment options for unruptured aneurysms include microsurgical clipping, with the pterional and supraorbital approaches commonly employed. This study compares these two approaches regarding complications and outcomes. Methods: A retrospective analysis was conducted on 241 patients treated between 2004 and 2023 at the University Hospital of Graz. Patients underwent microsurgical clipping via the pterional (n = 170) or supraorbital (n = 71) approach, chosen according to aneurysm characteristics and surgeon preference. Data on demographics, aneurysm location and size, intraoperative complications, postoperative outcomes, and follow-up were evaluated. Results: The pterional approach was predominantly used for middle cerebral artery (MCA) aneurysms (79.2%), while the supraorbital approach was more frequently applied for internal carotid artery (ICA) and anterior communicating artery (ACOM) aneurysms. Aneurysms treated via the pterional approach were significantly larger (mean width 6.88 mm vs. 5.04 mm; p < 0.01). Severe intraoperative complications, including aneurysm rupture, were significantly more common in the supraorbital group (26.8% vs. 8.8%; p < 0.001). Postoperative hypo-/anosmia occurred more often after the supraorbital approach (8.5% vs. 1.8%; p = 0.013), while temporalis muscle atrophy (11.9% vs. 1.8%; p = 0.029) and chewing difficulties (19.5% vs. 1.8%; p = 0.002) were more frequent after the pterional approach. The supraorbital group had a shorter hospital stay (7.96 vs. 8.76 days; p = 0.001). No significant differences were found in 30-day mortality (p = 0.521). At one-year, functional outcomes assessed by the modified Rankin Scale showed no significant difference (p = 0.899). Complete aneurysm occlusion and recurrence rates were also comparable between groups. Conclusions: Both approaches provide effective treatment for unruptured aneurysms with favorable long-term outcomes. The pterional approach is associated with increased muscle-related complications, whereas the supraorbital approach carries higher risks of intraoperative complications and olfactory dysfunction. Tailoring the surgical approach based on patient and aneurysm characteristics remains essential. Full article
Show Figures

Figure 1

3 pages, 144 KB  
Editorial
New Approaches in the Exploration of Parkinson’s Disease
by Tommaso Ercoli, Francesco Loy, Carla Masala and Paolo Solla
Brain Sci. 2025, 15(12), 1314; https://doi.org/10.3390/brainsci15121314 - 9 Dec 2025
Viewed by 201
Abstract
Parkinson’s disease (PD) is the second most common neurodegenerative disorder, and it is considered one of the major challenges in contemporary neuroscience [...] Full article
(This article belongs to the Special Issue New Approaches in the Exploration of Parkinson’s Disease)
14 pages, 2644 KB  
Article
A Mathematical Model for the Variation of Cerebral Electrical Conductivity and the Amount of β-Amyloid Protein Values Due to Alzheimer’s Disease
by Emmanouil Perakis and Panagiotis Vlamos
Brain Sci. 2025, 15(12), 1313; https://doi.org/10.3390/brainsci15121313 - 9 Dec 2025
Viewed by 112
Abstract
Background/Objectives: This study presents a time-dependent mathematical model that describes how progressive amyloid-β (Aβ) accumulation drives the gradual decline of cerebral electrical conductivity during Alzheimer’s disease (AD). Methods: The formulation captures the coupled evolution of molecular burden and electrophysiological function through a pair [...] Read more.
Background/Objectives: This study presents a time-dependent mathematical model that describes how progressive amyloid-β (Aβ) accumulation drives the gradual decline of cerebral electrical conductivity during Alzheimer’s disease (AD). Methods: The formulation captures the coupled evolution of molecular burden and electrophysiological function through a pair of interconnected dynamical processes, enabling a mechanistic link between early biochemical alterations and large-scale neural degradation. Results: Simulations reveal a characteristic pattern in which Aβ levels rise steadily toward a pathological plateau, while conductivity follows a delayed but persistent downward trajectory that stabilizes at an impaired state consistent with advanced neurodegeneration. The model reproduces key phenomena reported in experimental and clinical studies, including the slow, irreversible reduction in cortical conductivity and the strong inverse relationship between amyloid burden and electrophysiological integrity. Conclusions: Although intentionally minimal, the framework offers a tractable basis for interpreting disease progression and can be extended to incorporate additional pathological pathways such as tau aggregation, inflammatory responses, or spatial heterogeneity. By providing a compact yet biologically meaningful representation of the interplay between molecular pathology and electrical dysfunction, the model supports the development of computational biomarkers and contributes to a more integrated understanding of AD progression. Full article
Show Figures

Figure 1

15 pages, 1326 KB  
Article
Visual Neural Dynamics of Adolescents with Myopia During Face Inversion: An ERP and Oscillatory Study
by Peng Chen, Denise Koh, Yusha Gu, Hongwei Wang and Weiping Du
Brain Sci. 2025, 15(12), 1312; https://doi.org/10.3390/brainsci15121312 - 9 Dec 2025
Viewed by 223
Abstract
Background: This study aimed to investigate how myopia affects early event-related potential (ERP) components and neural oscillatory activity during a face inversion task in adolescents, in order to clarify the potential mechanisms by which degraded visual input influences facial structural encoding and neural [...] Read more.
Background: This study aimed to investigate how myopia affects early event-related potential (ERP) components and neural oscillatory activity during a face inversion task in adolescents, in order to clarify the potential mechanisms by which degraded visual input influences facial structural encoding and neural dynamic regulation. Methods: Forty-eight adolescents aged 13–17 years participated, including 24 with myopia and 24 with normal vision. EEG signals were recorded while participants performed a classic upright–inverted face recognition task. A mixed-design ANOVA was applied to compare group differences in the amplitude and latency of the P1 and N1 components. Time–frequency analyses were conducted to assess task-related oscillatory power in the θ (4–7 Hz) and α (8–13 Hz) bands. Results: No significant group differences were found in P1 amplitude or latency, whereas the N1 latency was significantly longer in the myopia group (p = 0.049). Time–frequency analysis revealed significantly greater θ synchronization (p = 0.034) and greater α desynchronization (p = 0.018) within the early post-stimulus window corresponding to the P1 latency range in the myopia group, with a similar but nonsignificant trend observed within the window corresponding to the N1 range. The main effect of task confirmed a typical face inversion effect (FIE), characterized by smaller N1 amplitudes and longer latencies for inverted than upright faces (p < 0.05). Conclusions: Myopia in adolescents is associated with delayed neural processing during facial structural encoding and enhanced θ–α oscillatory activity within early post-stimulus periods, which may reflect altered early neural engagement in response to degraded visual input. These findings indicate that the effects of myopia extend beyond optical defocus to involve perceptual–cognitive integration, providing novel evidence for the neurodevelopmental characteristics and regulatory mechanisms of adolescent myopia. Full article
(This article belongs to the Section Developmental Neuroscience)
Show Figures

Figure 1

16 pages, 1216 KB  
Article
Effect of Neck Muscle Vibration Prior to Motor Learning on Short-Latency SEP Peak Amplitudes and Motor Performance
by Alexandre Kalogerakis, Paul Yielder, Hailey Tabbert and Bernadette Murphy
Brain Sci. 2025, 15(12), 1311; https://doi.org/10.3390/brainsci15121311 - 5 Dec 2025
Viewed by 303
Abstract
Background/Objectives: Neck muscle vibration alters neural processing, sensorimotor integration, and proprioception in healthy adults. Significant differential changes in the N18 and N24 somatosensory evoked potential (SEP) peak amplitudes, coupled with altered motor learning, occurred when completion of a force-matching task took place [...] Read more.
Background/Objectives: Neck muscle vibration alters neural processing, sensorimotor integration, and proprioception in healthy adults. Significant differential changes in the N18 and N24 somatosensory evoked potential (SEP) peak amplitudes, coupled with altered motor learning, occurred when completion of a force-matching task took place following neck muscle vibration. It is currently unknown if neck muscle vibration also impacts acquisition of skills from visuomotor tracking tasks, a gap this research addresses. Methods: A total of 25 right-handed, healthy participants were divided into vibration (age: 21.7 ± 1.89, n = 13; 8 females) (V) and no-vibration (NV) control (age: 21.2 ± 3.03, n = 12; 6 females) groups. The vibration was device applied over the right sternocleidomastoid and left cervical extensor muscles. The participants underwent right-median-nerve stimulation at 2.47 Hz and 4.98 Hz to elicit SEPs. A total of 1000 sweeps were recorded and averaged using an ANT Neuro Waveguard 64-lead EEG cap (ANT Neuro, the Netherlands, Manufactured by Eemagine, Berlin, Germany)pre- and post-completion of a novel visuomotor tracing task (MTT). Post-acquisition, the NV group had a 10 min rest, and the V group received 10 min of vibration at 60 Hz before motor task completion, followed immediately by post-acquisition and retention 24 h after. Results: N18 peak: The V group exhibited a proportional amplitude increase of 19%, while the NV group exhibited a 36% decrease. There was a trend toward decreased retention in the V group. P25 showed a significant effect of time, with increases of 11% for V and 9% for NV. Conclusions: V resulted in N18 SEP changes post-MTT-skill-acquisition. Both groups appeared to learn, with the V trending towards less retention. Full article
(This article belongs to the Special Issue Somatosensory Evoked Potentials: Beyond Somesthesis)
Show Figures

Figure 1

18 pages, 4714 KB  
Article
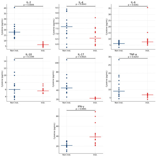
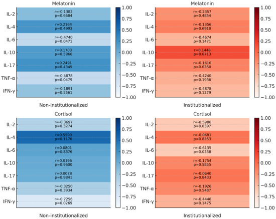
Hormonal and Cytokine Imbalances Promote a Proinflammatory Profile in Institutionalized Elderly
by Arce dos Santos Sfredo, Marcondes Alves Barbosa da Silva, Laura Valdiane Luz Melo, Danielle Cristina Honorio França, Gabriel Lopes Dantas, Wagner Batista dos Santos, Danny Laura Gomes Fagundes-Triches, Patrícia Gelli Feres de Marchi, Adenilda Cristina Honorio-França and Eduardo Luzía França
Brain Sci. 2025, 15(12), 1310; https://doi.org/10.3390/brainsci15121310 - 5 Dec 2025
Viewed by 274
Abstract
Background: Aging is accompanied by chronic low-grade inflammation (inflammaging) and neuroendocrine–immune imbalance. This study evaluated blood concentrations of cortisol, melatonin, and Th1/Th2/Th17 cytokines in elderly individuals. Methods: A cross-sectional study was conducted, including institutionalized elderly individuals (n = 32) and elderly individuals [...] Read more.
Background: Aging is accompanied by chronic low-grade inflammation (inflammaging) and neuroendocrine–immune imbalance. This study evaluated blood concentrations of cortisol, melatonin, and Th1/Th2/Th17 cytokines in elderly individuals. Methods: A cross-sectional study was conducted, including institutionalized elderly individuals (n = 32) and elderly individuals living with family members (n = 29). Blood samples were collected between 8:00 and 10:00 a.m. for cytokine quantification (IL-2, IL-4, IL-6, IL-10, IL-17, TNF-α, IFN-γ) by flow cytometry and for cortisol and melatonin measurement by ELISA, ensuring accurate interpretation while considering their circadian variations. Results: Institutionalized individuals showed higher IL-6 (p = 0.0261) and IFN-γ (p = 0.0065), and lower IL-2 (p = 0.0006), IL-4 (p = 0.0043), IL-17 (p = 0.0025), and TNF-α (p = 0.0243). Blood cortisol (p = 0.0309) and melatonin (p = 0.0407) were also elevated. Cortisol correlated negatively with IL-2 (r = −0.5986, p = 0.0397) and IL-6 (r = −0.6135, p = 0.0338). Conclusions: Institutionalization is associated with elevated blood hormone levels and an imbalanced cytokine pattern, indicating disruption of the neuroendocrine–immune network. These alterations align with the concept of inflammaging and highlight the impact of the living environment on immune–endocrine regulation in older adults. Full article
(This article belongs to the Special Issue Cellular and Molecular Mechanisms Underlying Aging Progression)
Show Figures

Figure 1

Previous Issue
Back to TopTop