Next Issue
Volume 15, December
Previous Issue
Volume 15, October
 
 

Brain Sci., Volume 15, Issue 11 (November 2025) – 119 articles

Cover Story (view full-size image): Non-invasive brain stimulation techniques, including sensory stimulation (SS) and repetitive transcranial magnetic stimulation (rTMS), hold promise for modulating memory-related brain activity and potentially enhancing memory functioning. In this experimental study, we compared the modulating effects of SS alone, rTMS alone and the novel combination of syncronised rTMS + SS given at frequencies important for memory functioning. Memory-related brain activity was measured immediately after stimulation using encephalography (EEG) during a visual memory task. We demonstrated that rTMS + AVS and rTMS significantly increased gamma activity compared to sham, and that rTMS produced widespread increases in theta-gamma phase amplitude coupling during new learning. These techniques have potential for further development as memory interventions. View this paper
  • Issues are regarded as officially published after their release is announced to the table of contents alert mailing list.
  • You may sign up for e-mail alerts to receive table of contents of newly released issues.
  • PDF is the official format for papers published in both, html and pdf forms. To view the papers in pdf format, click on the "PDF Full-text" link, and use the free Adobe Reader to open them.
Order results
Result details
Section
Select all
Export citation of selected articles as:
15 pages, 1093 KB  
Article
AI-Based Retinal Image Analysis for the Detection of Choroidal Neovascular Age-Related Macular Degeneration (AMD) and Its Association with Brain Health
by Chuying Shi, Jack Lee, Di Shi, Gechun Wang, Fei Yuan, Timothy Y. Y. Lai, Jingwen Liu, Yijie Lu, Dongcheng Liu, Bo Qin and Benny Chung-Ying Zee
Brain Sci. 2025, 15(11), 1249; https://doi.org/10.3390/brainsci15111249 - 20 Nov 2025
Viewed by 647
Abstract
Purpose: This study aims to develop a method for detecting referable (intermediate and advanced) age-related macular degeneration (AMD) and neovascular AMD, as well as providing an automatic segmentation of choroidal neovascularisation (CNV) on colour fundus retinal images. We also demonstrated that brain [...] Read more.
Purpose: This study aims to develop a method for detecting referable (intermediate and advanced) age-related macular degeneration (AMD) and neovascular AMD, as well as providing an automatic segmentation of choroidal neovascularisation (CNV) on colour fundus retinal images. We also demonstrated that brain health risk scores estimated by AI-based Retinal Image Analysis (ARIA), such as white matter hyperintensities and depression, are significantly associated with AMD and neovascular AMD. Methods: A primary dataset of 1480 retinal images was collected from Zhongshan Hospital of Fudan University for training and 10-fold cross-validation. Additionally, two validation subdataset comprising 238 images (retinal images and wide-field images) were used. Using fluorescein angiography-based labels, we applied the InceptionResNetV2 deep network with the ARIA method to detect AMD, and a transfer ResNet50_Unet was used to segment CNV. The risks of cerebral white matter hyperintensities and depression were estimated using an AI-based Retinal Image Analysis approach. Results: In a 10-fold cross-validation, we achieved sensitivities of 97.4% and 98.1%, specificities of 96.8% and 96.1%, and accuracies of 97.0% and 96.4% in detecting referable AMD and neovascular AMD, respectively. In the external validation, we achieved accuracies of 92.9% and 93.7% and AUCs of 0.967 and 0.967, respectively. The performances on two validation sub-datasets show no statistically significant difference in detecting referable AMD (p = 0.704) and neovascular AMD (p = 0.213). In the segmentation of CNV, we achieved a global accuracy of 93.03%, a mean accuracy of 91.83%, a mean intersection over union (IoU) of 68.7%, a weighted IoU of 89.63%, and a mean boundary F1 (BF) of 67.77%. Conclusions: The proposed method shows promising results as a highly efficient and cost-effective screening tool for detecting neovascular and referable AMD on both retinal and wide-field images, and providing critical insights into CNV. Its implementation could be particularly valuable in resource-limited settings, enabling timely referrals, enhancing patient care, and supporting decision-making across AMD classifications. In addition, we demonstrated that AMD and neovascular AMD are significantly associated with increased risks of WMH and depression. Full article
Show Figures

Figure 1

17 pages, 1139 KB  
Review
The Influence of Music on Mental Health Through Neuroplasticity: Mechanisms, Clinical Implications, and Contextual Perspectives
by Yoshihiro Noda and Takahiro Noda
Brain Sci. 2025, 15(11), 1248; https://doi.org/10.3390/brainsci15111248 - 20 Nov 2025
Viewed by 3610
Abstract
Music is a near-universal anthropological and sensory phenomenon that engages distributed brain networks and peripheral physiological systems to shape emotion, cognition, sociality, and bodily regulation. Evidence from electrophysiology, neuroimaging, endocrinology, randomized controlled trials, and longitudinal training studies indicates that both receptive and active [...] Read more.
Music is a near-universal anthropological and sensory phenomenon that engages distributed brain networks and peripheral physiological systems to shape emotion, cognition, sociality, and bodily regulation. Evidence from electrophysiology, neuroimaging, endocrinology, randomized controlled trials, and longitudinal training studies indicates that both receptive and active musical experiences produce experience-dependent neural and systemic adaptations. These include entrainment of neural oscillations, modulation of predictive and reward signaling, autonomic and neuroendocrine changes, and long-term structural connectivity alterations that support affect regulation, cognition, social functioning, motor control, sleep, and resilience to neuropsychiatric illness. This narrative review integrates mechanistic domains with clinical outcomes across major conditions, such as depression, anxiety, schizophrenia, dementia, and selected neurodevelopmental disorders, by mapping acoustic and procedural parameters onto plausible biological pathways. We summarize how tempo, beat regularity, timbre and spectral content, predictability, active versus passive engagement, social context, dose, and timing influence neural entrainment, synaptic and network plasticity, reward and prediction-error dynamics, autonomic balance, and immune/endocrine mediators. For each condition, we synthesize randomized and observational findings and explicitly link observed improvements to mechanistic pathways. We identify methodological limitations, including heterogeneous interventions, small and biased samples, sparse longitudinal imaging and standardized physiological endpoints, and inconsistent acoustic reporting, and translate these into recommendations for translational trials: harmonized acoustic reporting, pre-specified mechanistic endpoints (neuroimaging, autonomic, neuroendocrine, immune markers), adequately powered randomized designs with active controls, and long-term follow-up. Contextual moderators including music education, socioeconomic and cultural factors, sport, sleep, and ritual practices are emphasized as critical determinants of implementation and effectiveness. Full article
Show Figures

Figure 1

13 pages, 825 KB  
Systematic Review
Effects of Navigated rTMS on Post-Stroke Upper-Limb Function: A Systematic Review and Meta-Analysis of Randomized Controlled Trials
by Jungwoo Shim and Changju Kim
Brain Sci. 2025, 15(11), 1247; https://doi.org/10.3390/brainsci15111247 - 20 Nov 2025
Viewed by 1221
Abstract
Objectives: Neuronavigation may improve the precision and reproducibility of repetitive transcranial magnetic stimulation (rTMS) by aligning stimulation with individualized targets. Whether navigation-guided rTMS benefits post-stroke upper-limb recovery is unclear. We conducted a PRISMA-compliant systematic review and meta-analysis to estimate the effect of navigated [...] Read more.
Objectives: Neuronavigation may improve the precision and reproducibility of repetitive transcranial magnetic stimulation (rTMS) by aligning stimulation with individualized targets. Whether navigation-guided rTMS benefits post-stroke upper-limb recovery is unclear. We conducted a PRISMA-compliant systematic review and meta-analysis to estimate the effect of navigated rTMS, added to standard rehabilitation, versus sham. Methods: The protocol was registered in PROSPERO (CRD420251165052). Two reviewers independently searched CENTRAL, MEDLINE, Embase, CINAHL, Web of Science, and Google Scholar (October 2025), screened records, extracted data, and assessed risk of bias (Cochrane RoB-1). The prespecified primary endpoint was changed in Fugl–Meyer Assessment of the upper extremity (FMA-UE) from baseline to end of treatment. Effects were pooled as mean differences under random-effects models. When change-score standard deviations (SDs) were unavailable, they were derived from pre/post SDs assuming within-person correlation r = 0.5; sensitivity analyses used r = 0.7 and r = 0.9. Multi-arm trials were combined to avoid double counting. Results: four randomized, sham-controlled trials (n = 297) contributed end-of-treatment change in FMA-UE. The pooled effect favored navigated rTMS but was not statistically significant (MD 3.65, 95% CI −1.84 to 9.13; I2 = 73%). Sensitivity analyses with higher r produced directionally consistent estimates. A subgroup of 2-week (10-session) protocols (k = 3) showed a significant benefit (MD 7.09, 95% CI 4.14 to 10.05; I2 = 0%). Most risk-of-bias domains were low risk. Conclusions: Navigated rTMS did not show a consistent short-term advantage over sham on FMA-UE across heterogeneous protocols. A positive signal in standardized 2-week courses supports further adequately powered multicenter randomized controlled trials (RCTs) with harmonized protocols and complete variance reporting. Full article
Show Figures

Figure 1

2 pages, 135 KB  
Retraction
RETRACTED: Chuang et al. Neutrophil–Lymphocyte Ratio as a Predictor of Cerebral Small Vessel Disease in a Geriatric Community: The I-Lan Longitudinal Aging Study. Brain Sci. 2023, 13, 1087
by Shao-Yuan Chuang, Yin-Chen Hsu, Kuang-Wei Chou, Kuo-Song Chang, Chiong-Hee Wong, Ya-Hui Hsu, Hao-Min Cheng, Chien-Wei Chen and Pang-Yen Chen
Brain Sci. 2025, 15(11), 1246; https://doi.org/10.3390/brainsci15111246 - 20 Nov 2025
Viewed by 402
Abstract
The journal retracts the article titled “Neutrophil–Lymphocyte Ratio as a Predictor of Cerebral Small Vessel Disease in a Geriatric Community: The I-Lan Longitudinal Aging Study” [...] Full article
14 pages, 1368 KB  
Article
Functional and Structural Connectivity Correlates of Axial Symptom Outcomes After Pallidal Deep Brain Stimulation in Parkinson’s Disease
by Gilberto Perez Rodriguez Garcia, Erik Middlebrooks, Shanshan Mei, Takashi Tsuboi, Joshua Wong, Matthew Burns, Coralie de Hemptinne and Adolfo Ramirez-Zamora
Brain Sci. 2025, 15(11), 1245; https://doi.org/10.3390/brainsci15111245 - 20 Nov 2025
Viewed by 691
Abstract
Background/Objectives: Deep brain stimulation (DBS) of the globus pallidus interna (GPi) is a safe and established therapy for management of refractory motor fluctuations and dyskinesia in Parkinson’s disease (PD). However, the relationship between stimulation site connectivity and improvement of axial gait symptoms [...] Read more.
Background/Objectives: Deep brain stimulation (DBS) of the globus pallidus interna (GPi) is a safe and established therapy for management of refractory motor fluctuations and dyskinesia in Parkinson’s disease (PD). However, the relationship between stimulation site connectivity and improvement of axial gait symptoms remains poorly understood, particularly when stimulating in the GPi. This study investigated functional and structural connectivity patterns specifically associated with axial symptom outcomes following bilateral GPi-DBS, and, as a secondary exploratory analysis, examined whether Volumes of tissue activated (VTAs)-based connectivity related to overall UPDRS-III change. Methods: We retrospectively analyzed 19 PD patients who underwent bilateral GPi-DBS at the University of Florida (2002–2017). Unified Parkinson’s Disease Rating Scale (UPDRS-III) axial gait subscores were assessed at baseline and 36-month follow-up. VTAs were reconstructed using Lead-DBS and coregistered to Montreal Neurological Institute (MNI) space. Structural connectivity was evaluated with diffusion tractography, and functional connectivity was estimated using normative resting-state fMRI datasets. Correlations between VTA connectivity and clinical improvement were examined using Spearman correlation and voxelwise analyses. Results: Patients with axial improvement in motor scales demonstrated specific VTA connectivity to sensorimotor and supplementary motor networks, particularly lobule V and lobules I–IV of the cerebellum. These associations were specific to axial gait subscores. In contrast, worsening axial gait symptoms correlated with connectivity to cerebellar Crus II, cerebellum VIII, calcarine cortex, and thalamus (p < 0.05). Total UPDRS-III scores did not show a significant positive correlation with supplementary motor area or primary motor cortex connectivity; a non-significant trend was observed for VTA–M1 connectivity (R = 0.41, p = 0.078). Worsening total motor scores were associated with cerebellar Crus II and frontal–parietal networks. These findings suggest that distinct connectivity patterns underlie differential trajectories in axial and global motor outcomes following GPi-DBS. Conclusions: Distinct connectivity profiles might underlie axial gait symptom outcomes following GPi-DBS. Connectivity to motor and sensorimotor pathways supports improvement, whereas involvement of Crus II and occipital networks predicts worsening. Additional studies to confirm and expand on these findings are needed, but our results highlight the value of connectomic mapping for refining patient-specific targeting and developing future programming strategies. Full article
(This article belongs to the Section Neurodegenerative Diseases)
Show Figures

Figure 1

31 pages, 710 KB  
Review
Deep Brain Stimulation in Treatment-Resistant Psychiatric Disorders: Efficacy, Safety, and Future Directions
by Mohsen Khosravi
Brain Sci. 2025, 15(11), 1244; https://doi.org/10.3390/brainsci15111244 - 20 Nov 2025
Viewed by 2310
Abstract
Treatment-resistant psychiatric disorders represent a major clinical challenge, with a significant proportion of patients remaining refractory to conventional pharmacological and psychotherapeutic interventions. Deep brain stimulation (DBS), a neurosurgical technique delivering targeted electrical impulses to specific brain regions, has emerged as a promising intervention [...] Read more.
Treatment-resistant psychiatric disorders represent a major clinical challenge, with a significant proportion of patients remaining refractory to conventional pharmacological and psychotherapeutic interventions. Deep brain stimulation (DBS), a neurosurgical technique delivering targeted electrical impulses to specific brain regions, has emerged as a promising intervention across a spectrum of refractory psychiatric conditions. This comprehensive narrative review synthesizes current evidence on the efficacy, safety, and practical considerations of DBS for treatment-resistant major depressive disorder, obsessive–compulsive disorder, bipolar disorder, schizophrenia, addictions, Tourette’s syndrome, anorexia nervosa, post-traumatic stress disorder, and refractory aggression in autism spectrum disorder with severe intellectual disability. Across most conditions, DBS demonstrates clinically meaningful symptom reductions, with response and remission rates in depression and obsessive–compulsive disorder approaching 48% and 35%, respectively. For Tourette’s syndrome and refractory aggression in autism, over two-thirds of patients’ experience > 50% symptom reduction. Preliminary data in bipolar disorder, schizophrenia, addictions, and anorexia nervosa are encouraging but limited by small sample sizes and methodological heterogeneity. Safety profiles are generally acceptable, with the majority of adverse events being device- or procedure-related; psychiatric adverse effects and rare serious complications underscore the importance of careful patient selection and monitoring. However, the literature is constrained by inconsistent study designs, a paucity of randomized controlled trials, heterogeneity in DBS targets and stimulation parameters, and limited long-term and quality-of-life outcomes. Optimization of anatomical targeting, stimulation protocols, and patient selection criteria remains an ongoing challenge. Future directions require larger, rigorously controlled trials with standardized outcome measures, integration of neurobiological biomarkers, and multidisciplinary collaboration. In summary, while DBS offers transformative potential for select cases of refractory psychiatric illness, its application must be guided by scientific rigor, ethical prudence, and individualized patient-centered care. Full article
Show Figures

Figure 1

18 pages, 4154 KB  
Article
Neurofeedback Training Modulates Brain Functional Networks and Improves Cognition in Amnestic Mild Cognitive Impairment Patients Aged 60–70 Years
by Rui Su, Xin Li, Ping Xie and Yi Yuan
Brain Sci. 2025, 15(11), 1243; https://doi.org/10.3390/brainsci15111243 - 19 Nov 2025
Viewed by 891
Abstract
Background/Objectives: Amnestic mild cognitive impairment (aMCI) represents a transitional stage between normal aging and dementia, constituting a critical intervention window for Alzheimer’s disease (AD). As a non-invasive intervention, neurofeedback training (NFT) has demonstrated potential in ameliorating cognitive deficits and clinical symptoms in [...] Read more.
Background/Objectives: Amnestic mild cognitive impairment (aMCI) represents a transitional stage between normal aging and dementia, constituting a critical intervention window for Alzheimer’s disease (AD). As a non-invasive intervention, neurofeedback training (NFT) has demonstrated potential in ameliorating cognitive deficits and clinical symptoms in aMCI patients; however, its mechanistic effects on functional brain connectivity remain inadequately elucidated. Methods: This study employed low- and high-order functional analytical approaches to comprehensively investigate the effects of NFT on dynamic brain functional networks in aMCI. Results: Our findings revealed that following NFT, aMCI patients exhibited enhanced connectivity strength, global efficiency, and nodal characteristics within the delta band, whereas connectivity was generally attenuated in the theta, alpha, and beta bands. Dynamic network analysis indicated increased entropy in short-time windows. Cognitive assessments showed a significant short-term improvement in MoCA scores among 92.9% of participants. Conclusions: These results suggest that NFT effectively remodels brain network activity patterns in aMCI patients, thereby facilitating cognitive improvement. These findings provide preliminary insights into the brain network mechanisms underlying NFT-mediated cognitive enhancement in aMCI. Full article
Show Figures

Figure 1

16 pages, 1295 KB  
Article
ERP Biomarkers of Auditory–Visual Distraction in Aging and Cognitive Impairment
by Valentina Gumenyuk, Oleg Korzyukov, Sheridan M. Parker, Daniel L. Murman, Nicholas R. Miller and Matthew Rizzo
Brain Sci. 2025, 15(11), 1242; https://doi.org/10.3390/brainsci15111242 - 19 Nov 2025
Viewed by 550
Abstract
Background/Objectives: Distraction is a form of impaired selective attention that becomes more pronounced with normal aging and in pathological conditions such as mild cognitive impairment (MCI) and Alzheimer’s disease (AD). Event-related potentials (ERPs) provide sensitive, time-resolved measures of neural mechanisms underlying distractibility. [...] Read more.
Background/Objectives: Distraction is a form of impaired selective attention that becomes more pronounced with normal aging and in pathological conditions such as mild cognitive impairment (MCI) and Alzheimer’s disease (AD). Event-related potentials (ERPs) provide sensitive, time-resolved measures of neural mechanisms underlying distractibility. This study aimed to identify age- and disease-related ERP signatures of auditory–visual distraction as potential functional biomarkers for cognitive decline. Methods: Forty-six participants were enrolled, including young controls (Y), healthy older controls (O), individuals with MCI, and individuals with AD. Participants performed cross-modal interference tasks in which irrelevant auditory distracting sounds were paired with a relevant visual discriminating task. The distraction potential was quantified as the difference between ERP responses to novel distractors and standard stimuli, focusing on three core components: N1-enhancement, P3a, and reorienting negativity (RON). Behavioral measures (accuracy, reaction time, miss responses) were also assessed. Results: Compared to Y, O showed increased N1-enhancement and reduced P3a and RON amplitudes, consistent with age-related susceptibility to distraction. Patients with MCI and AD exhibited further abnormalities, including diminished P3a and altered RON responses, suggesting impaired orientation and reorientation of attention. Behavioral distraction effect was observed in all groups, with no significant difference between groups. ERP–cognition correlations indicated that reduced P3a amplitude and delayed RON were associated with executive dysfunction and memory deficits. Conclusions: ERP signatures of distraction, particularly altered P3a and RON components, differentiate normal aging from pathological decline and may serve as functional biomarkers for early detection of MCI and AD. These findings highlight the translational potential of distraction paradigms in clinical assessment of aging-related cognitive impairment. Full article
(This article belongs to the Section Neurodegenerative Diseases)
Show Figures

Figure 1

13 pages, 550 KB  
Review
The cGAS–STING Pathway in Dementia: An Emerging Mechanism of Neuroinflammation
by Young Min, Yoon-Seob Lee, Juwon Lee, Da-Young Keum, Joo-Young Gwag, Sung-Min Jeon, Heejin Jo and Sung-Ung Kang
Brain Sci. 2025, 15(11), 1241; https://doi.org/10.3390/brainsci15111241 - 19 Nov 2025
Viewed by 1430
Abstract
Dementia is a growing global health concern in aging societies, leading to a progressive decline in cognitive function that severely impairs daily life. Despite the growing burden, effective preventive and therapeutic strategies remain elusive, emphasizing the urgent need for novel interventions. Recent advances [...] Read more.
Dementia is a growing global health concern in aging societies, leading to a progressive decline in cognitive function that severely impairs daily life. Despite the growing burden, effective preventive and therapeutic strategies remain elusive, emphasizing the urgent need for novel interventions. Recent advances underscore the pivotal role of neuroinflammation in dementia pathogenesis, particularly in Alzheimer’s disease (AD). Chronic activation of central nervous system immune cells, particularly microglia, exacerbates neurodegeneration and establishes a self-perpetuating cycle of inflammation and cognitive decline. This review focuses on emerging research exploring the cGAS-STING pathway’s role in dementia, examining its potential as a diagnostic and therapeutic target. The cGAS-STING pathway, integral to innate immune responses, may contribute to the chronic neuroinflammation seen in neurodegenerative diseases. By targeting this pathway, new strategies could mitigate the inflammatory processes that drive neuronal loss, offering a promising avenue for therapeutic development in dementia. Full article
Show Figures

Figure 1

12 pages, 413 KB  
Article
Routine Hair Testing Unmasks Hidden Synthetic Cannabinoid Use in Forensic Psychiatric Patients: A 10-Year Comparative Study in Two Bavarian Clinics
by Michael Fritz, Hannah Funk, Felipe Montiel, Judith Streb and Manuela Dudeck
Brain Sci. 2025, 15(11), 1240; https://doi.org/10.3390/brainsci15111240 - 19 Nov 2025
Viewed by 547
Abstract
Background: Germany provides a worldwide almost unique legal framework for offenders with substance use disorders through § 64 of the German Criminal Code, mandating a two-year multimodal therapy including an in-house clinical treatment period followed by a reintegration phase with gradually reduced supervision. [...] Read more.
Background: Germany provides a worldwide almost unique legal framework for offenders with substance use disorders through § 64 of the German Criminal Code, mandating a two-year multimodal therapy including an in-house clinical treatment period followed by a reintegration phase with gradually reduced supervision. During this phase, lapses are often concealed, with synthetic cannabinoids (SCs) serving as a potential tool due to limited detection in routine screenings and heterogeneous monitoring practices across forensic psychiatric clinics. Methods: This study compared two forensic hospitals, Guenzburg and Kaufbeuren, over a ten-year period, from 2014 to 2024, to evaluate monitoring strategies. While Kaufbeuren applied a case-dependent testing approach, including unannounced urine screenings, Guenzburg introduced a stricter regime in 2019, combining mandatory hair analysis three months into reintegration with unannounced broad-spectrum screenings including SCs. Results: Among the 527 patients included in this study, significantly more tests were conducted in Guenzburg after 2022. The different approach between hair vs. urine analysis produced a seven-fold higher detection rate of SC use compared to Kaufbeuren. Across both clinics, however, SC-positive patients shared similar features. They were younger at first conviction, more frequently under substitution treatment, and more likely to have committed violent offenses. A history of violence quadrupled SC-positive odds, while time since leave as such increased odds by 0.1% per day. Conclusions: In conclusion, these results underscore the effectiveness of standardized long-term SC monitoring using hair analysis and the predictive role of a history of violence in the context of SC-relapse. Full article
(This article belongs to the Special Issue Substance Abuse in the Psychiatric Population)
Show Figures

Figure 1

16 pages, 1242 KB  
Article
Revealing Hidden Cognitive Language Patterns in Brain Injury: Can Modifiers and Function Words Play a Role in Neuroplasticity?
by Marisol Roldán-Palacios and Aurelio López-López
Brain Sci. 2025, 15(11), 1239; https://doi.org/10.3390/brainsci15111239 - 19 Nov 2025
Viewed by 683
Abstract
Background: Although modifiers and function words are critical in cognitive linguistic assessments and cognitive training has proven to promote synaptic neural activity, they often receive limited attention, particularly in computational data-scarce settings. This study addresses communication difficulties associated with cognitive impairments using engineering [...] Read more.
Background: Although modifiers and function words are critical in cognitive linguistic assessments and cognitive training has proven to promote synaptic neural activity, they often receive limited attention, particularly in computational data-scarce settings. This study addresses communication difficulties associated with cognitive impairments using engineering data, a design to improve the evaluation of language attributes, applied specifically to these elements. A framework was developed to analyze potential language alterations resulting from traumatic brain injury (tbi), using narrative samples, primary data, and unconventional methods to overcome the limitations of existing resources. Methods: The core technique involves pairing language attributes based on defined relationships and assessing responses using standard statistical learning methods. Direct and normalized evaluations of variables, calculated using the Northwestern Narrative Language Analysis (nnla) profile from the original data, serve as benchmarks. The Area Under the Curve (auc) metric with the corresponding statistical support are reported. Results: The results indicate that the proposed method revealed informative patterns involving modifiers and function words that remained hidden in the baseline approaches. Although some exceptions were observed, results showed a substantially consistent behavior, and the responses achieved promote their use in a clinical setting. Conclusions: The findings can provide valuable directions for theoretical and applied research in language assessment. Identifying specific points of breakdown within language structures can improve the accuracy of rehabilitation plans and better leverage the neuroplastic response of the brain for recovery. Full article
(This article belongs to the Special Issue The Link Between Traumatic Brain Injury (TBI) and Neurodegeneration)
Show Figures

Figure 1

18 pages, 895 KB  
Review
Physical Activity and Its Effects on Executive Functions and Brain Outcomes in Children: A Narrative Review
by Eduardo Guzmán-Muñoz, Yeny Concha-Cisternas, Emilio Jofré-Saldía, Antonio Castillo-Paredes, Iván Molina-Márquez and Rodrigo Yáñez-Sepúlveda
Brain Sci. 2025, 15(11), 1238; https://doi.org/10.3390/brainsci15111238 - 18 Nov 2025
Cited by 1 | Viewed by 2801
Abstract
Background/Objectives: Executive functions—including inhibitory control, working memory, and cognitive flexibility—are fundamental for children’s learning and development. Physical activity is recognized as a key factor that enhances these functions through neurobiological and structural brain adaptations. This narrative review aims to synthesize current evidence on [...] Read more.
Background/Objectives: Executive functions—including inhibitory control, working memory, and cognitive flexibility—are fundamental for children’s learning and development. Physical activity is recognized as a key factor that enhances these functions through neurobiological and structural brain adaptations. This narrative review aims to synthesize current evidence on the relationship between physical activity, executive functions, and brain outcomes in children. Methods: A narrative review was conducted using systematic evidence search across PubMed, Scopus, and Web of Science until August 2025. Search terms encompassed physical activity, executive functions, and brain mechanisms. Eligible studies included randomized controlled trials, longitudinal and cross-sectional studies, systematic reviews, and meta-analyses that examined executive function domains and brain-related outcomes in children, with or without neurodevelopmental disorders. Results: The evidence reviewed highlights that acute physical activity improves inhibitory control, working memory, and cognitive flexibility, primarily through enhanced neurotransmission and cerebral oxygenation. Chronic interventions promote structural and functional brain adaptations, including improved white matter integrity and increased network efficiency. Benefits are observed in both neurotypical children and those with ADHD, with inhibitory control emerging as the most responsive domain. However, findings are moderated by intervention type, intensity, and duration, with heterogeneity across protocols. Conclusions: Physical activity is a promising strategy to support the development of executive and brain functions in childhood, with implications for education and clinical practice. Despite consistent short- and long-term benefits, further research is required to establish optimal prescriptions and evaluate sustained real-world impacts, particularly in children with neurodevelopmental disorders. Full article
Show Figures

Figure 1

17 pages, 1536 KB  
Article
Sex-Dependent Phenotypic and Histomorphometric Biomarkers in the APPswe/PS1dE9/Blg Mouse Model of Alzheimer’s Disease
by Elena Kuzubova, Alexandra Radchenko, Mikhail Pokrovskii, Olesya Shcheblykina, Kirill Chaprov, Arkadii Nesterov, Tatiana Avtina, Vladimir Pokrovskii and Mikhail Korokin
Brain Sci. 2025, 15(11), 1237; https://doi.org/10.3390/brainsci15111237 - 18 Nov 2025
Viewed by 791
Abstract
Background: Sex-related differences significantly impact biomedical research outcomes, yet female subjects are often excluded due to concerns about variability from the estrous cycle. This study aimed to investigate the sex-dependent differences in behavioral phenotypes and amyloid-beta plaque accumulation in the APPswe/PS1dE9/Blg transgenic [...] Read more.
Background: Sex-related differences significantly impact biomedical research outcomes, yet female subjects are often excluded due to concerns about variability from the estrous cycle. This study aimed to investigate the sex-dependent differences in behavioral phenotypes and amyloid-beta plaque accumulation in the APPswe/PS1dE9/Blg transgenic mouse model of Alzheimer’s disease. Methods: Male and female APPswe/PS1dE9/Blg transgenic mice and wild-type (WT) controls were assessed at 7.5 and 10 months of age. A comprehensive behavioral test battery was employed, including the Open Field, Novel Object Recognition, Y-Maze, and Barnes Maze tests. Histological analysis of amyloid plaque was carried out. Results: Female transgenic mice displayed delayed accumulation of Aβ plaques and milder cognitive decline compared with males. At 10 months, plaque load in females corresponded to that of 7.5-month-old males, demonstrating a temporal lag in pathology. Behavioral impairments correlated negatively with cortical plaque burden (r = −0.4964, p = 0.0181), supporting its role as a structural biomarker of disease progression. Conclusions: This study identifies distinct sex-dependent trajectories of behavioral and histomorphometric biomarkers in APPswe/PS1dE9/Blg mice. Females exhibit delayed amyloid pathology and cognitive decline, suggesting intrinsic neuroprotective mechanisms that modulate biomarker expression over time. These findings emphasize the necessity of integrating both sexes in preclinical biomarker research and support the use of morphometric endpoints as translationally relevant indicators of Alzheimer’s disease progression. Full article
Show Figures

Figure 1

14 pages, 1182 KB  
Review
Vagus Nerve Stimulation Therapy for Epilepsy: Mechanisms of Action and Therapeutic Approaches
by Klesta Cocoli, Justine Curley, Pratik Rohatgi and Myriam Abdennadher
Brain Sci. 2025, 15(11), 1236; https://doi.org/10.3390/brainsci15111236 - 18 Nov 2025
Cited by 1 | Viewed by 1652
Abstract
Vagus Nerve Stimulation (VNS) therapy is a neuromodulation technique useful for the treatment of drug-resistant epilepsy and treatment-resistant depression. This article begins by reviewing the neuroanatomy and physiology of the vagus nerve. It then delves into recent advances in our understanding of VNS’s [...] Read more.
Vagus Nerve Stimulation (VNS) therapy is a neuromodulation technique useful for the treatment of drug-resistant epilepsy and treatment-resistant depression. This article begins by reviewing the neuroanatomy and physiology of the vagus nerve. It then delves into recent advances in our understanding of VNS’s mechanism of action at different levels: how it affects different nerve fibers, how it affects neural pathways, and how it creates anti-inflammatory effects. This article then surveys research to adapt and optimize VNS, guided by an improved understanding of its mechanism of action and descriptions of its effects. Full article
(This article belongs to the Section Systems Neuroscience)
Show Figures

Figure 1

17 pages, 2812 KB  
Article
Neural Mechanisms of Role Reversal in Improvisational Music Psychodrama: An fNIRS Hyperscanning Study
by Ying Wang, Kangzhou Peng, Yueqing Zhang, Yuan Yao, Zhen Zhang, Fupei Zhao and Maoping Zheng
Brain Sci. 2025, 15(11), 1235; https://doi.org/10.3390/brainsci15111235 - 18 Nov 2025
Viewed by 983
Abstract
Background: The neural mechanisms underlying role-playing and role reversal in improvisational music psychodrama remain poorly understood. This study aimed to investigate the specific neural correlates and behavioral associations of these processes. Methods: Using functional near-infrared spectroscopy (fNIRS) hyperscanning, inter-brain synchrony (IBS) was examined [...] Read more.
Background: The neural mechanisms underlying role-playing and role reversal in improvisational music psychodrama remain poorly understood. This study aimed to investigate the specific neural correlates and behavioral associations of these processes. Methods: Using functional near-infrared spectroscopy (fNIRS) hyperscanning, inter-brain synchrony (IBS) was examined in 46 dyads of participants during improvisational role-playing and role reversal tasks. Behavioral changes were assessed using a negative emotion questionnaire. Results: Behavioral results indicated a significant reduction in negative emotion scores following the intervention compared to baseline. At the neural level, the role reversal task elicited significantly stronger activation in the right frontopolar area and induced higher IBS in the right supramarginal gyrus area compared to the role-playing task. Conclusions: The findings demonstrate that role reversal is associated with distinct neural activation patterns and enhanced inter-brain coordination. Coupled with the observed reduction in negative emotions, this provides empirical evidence elucidating the mechanisms underlying music psychodrama. Full article
(This article belongs to the Special Issue Advances in Emotion Processing and Cognitive Neuropsychology)
Show Figures

Figure 1

2 pages, 163 KB  
Reply
Reply to Wallace et al. Comment on “Panuccio et al. Quality of Assessment Tools for Aphasia: A Systematic Review. Brain Sci. 2025, 15, 271”
by Francescaroberta Panuccio, Giulia Rossi, Anita Di Nuzzo, Ilaria Ruotolo, Giada Cianfriglia, Rachele Simeon, Giovanni Sellitto, Anna Berardi and Giovanni Galeoto
Brain Sci. 2025, 15(11), 1234; https://doi.org/10.3390/brainsci15111234 - 17 Nov 2025
Viewed by 347
Abstract
We would like to thank the authors of the commentary for the attention given to our work and for the observations provided, which we believe may contribute to improving the manuscript [...] Full article
5 pages, 193 KB  
Comment
Comment on Panuccio et al. Quality of Assessment Tools for Aphasia: A Systematic Review. Brain Sci. 2025, 15, 271
by Sarah J. Wallace, Katerina Hilari, Klaus Willmes, Marcus Meinzer, Claudia Peñaloza, Lizet van Ewijk, Rebecca Palmer, Sally Zingelman, William D. Hula and Caterina Breitenstein
Brain Sci. 2025, 15(11), 1233; https://doi.org/10.3390/brainsci15111233 - 17 Nov 2025
Cited by 1 | Viewed by 721
Abstract
We write on behalf of the Collaboration of Aphasia Trialists and in response to an article recently published in the journal Brain Sciences: Quality of Assessment Tools for Aphasia: A Systematic Review by Panuccio and colleagues [...] Full article
(This article belongs to the Section Neurotechnology and Neuroimaging)
13 pages, 2511 KB  
Article
Transcranial Random Noise Stimulation over the Dorsolateral Prefrontal Cortex in Patients with Parkinson’s Disease and Mild Cognitive Impairment: A Pilot Study
by Davide Mazzara, Angelo Torrente, Paolo Alonge, Roberta Baschi, Marina Campione, Vincenzo Di Stefano, Giuseppe La Bianca, Filippo Brighina and Roberto Monastero
Brain Sci. 2025, 15(11), 1232; https://doi.org/10.3390/brainsci15111232 - 16 Nov 2025
Viewed by 858
Abstract
Background/Objectives: Mild cognitive impairment (MCI) is common in Parkinson’s disease (PD) and often precedes dementia. Non-invasive brain stimulation (NIBS) techniques such as transcranial random noise stimulation (tRNS) targeting dorsolateral prefrontal cortex (DLPFC) may offer additional benefits for cognitive and motor functions in PD-MCI [...] Read more.
Background/Objectives: Mild cognitive impairment (MCI) is common in Parkinson’s disease (PD) and often precedes dementia. Non-invasive brain stimulation (NIBS) techniques such as transcranial random noise stimulation (tRNS) targeting dorsolateral prefrontal cortex (DLPFC) may offer additional benefits for cognitive and motor functions in PD-MCI patients. Methods: Using a randomized, double-blind, cross-over study, participants with PD-MCI completed two stimulation sessions (real vs. sham) 7 days apart. Cognitive and motor outcomes (MoCA, FAB, FAS, MDS-UPDRS motor) were assessed pre- and post-stimulation; stimulation was administered “online” during executive training. Scores before and after the sessions have been compared, as well as their variations between the two groups. Results: Ten subjects were in the study. Patients undergoing real tRNS showed improvements in global cognition and executive functioning compared to those undergoing sham stimulation, as demonstrated by significant increase in MoCA and FAB scores. In contrast, the motor examination showed no significant differences. Conclusions: This preliminary study showed that a single session of DLPFC-tRNS stimulation produced domain-specific cognitive benefits in PD-MCI patients. Studies with multiple stimulation sessions and larger samples are needed to confirm the effect of this non-pharmacological therapeutic option in PD-MCI. Full article
(This article belongs to the Special Issue Noninvasive Neuromodulation Applications in Research and Clinics)
Show Figures

Figure 1

14 pages, 241 KB  
Review
Hippocampal Development and Epilepsy: Insights from Organoid Models
by Jin Joo, Woo Sub Yang and Hyun Jung Koh
Brain Sci. 2025, 15(11), 1231; https://doi.org/10.3390/brainsci15111231 - 16 Nov 2025
Viewed by 1032
Abstract
The hippocampus is a crucial component of the human brain. It is located on the medial side of the temporal lobe and is connected to the limbic system, influencing memory and cognitive function. The critical functions of the hippocampus have a profound impact [...] Read more.
The hippocampus is a crucial component of the human brain. It is located on the medial side of the temporal lobe and is connected to the limbic system, influencing memory and cognitive function. The critical functions of the hippocampus have a profound impact on an individual’s overall ability to maintain daily life functioning. In adults, hippocampal damage impairs cognitive functions, including memory, learning, and emotional regulation. It is associated with conditions such as memory impairment, Alzheimer’s disease, various forms of dementia, depression, and stress-related disorders. Damage to the developing hippocampus can have broad and profound, leading to deficits in memory development, language acquisition, and behavioral and emotional regulation, thereby impairing the individual’s ability to maintain normal daily functioning. One of the major factors affecting hippocampal development is epilepsy. Therefore, identifying the mechanism underlying epilepsy-induced hippocampal damage and developing therapeutic strategies to reduce or prevent epileptic events that significantly impair hippocampal maturation are of critical importance. Numerous studies have been conducted in this regard, and given the challenges of directly studying the human brain, organoid-based research approaches have gained increasing attention and widespread application. In particular, hippocampal organoids have emerged as valuable models for investigating various hippocampal functions; however, definitive findings have yet to be established. Therefore, elucidating the structural characteristics and underlying mechanisms of epilepsy using hippocampal organoids, and exploring potential strategies to mitigate its effects remains an important direction for future research. Full article
(This article belongs to the Special Issue Molecular Genetics of Neurodevelopment Disorders)
17 pages, 690 KB  
Article
Heterogeneity in English as a Foreign Language: Skills Among Norwegian 6th Graders with Dyslexia—The Impact of Language Comprehension and Processing Profiles
by Turid Magnhild Helland, Randi Kaasa and Wenche Andersen Helland
Brain Sci. 2025, 15(11), 1230; https://doi.org/10.3390/brainsci15111230 - 15 Nov 2025
Viewed by 670
Abstract
Background: English as a first foreign language (EFL) is often difficult for students with dyslexia. This study maps a broad range of EFL verbal and literacy skills in 6th graders with dyslexia compared to a control group. Methods: Participants were 127 controls (CON) [...] Read more.
Background: English as a first foreign language (EFL) is often difficult for students with dyslexia. This study maps a broad range of EFL verbal and literacy skills in 6th graders with dyslexia compared to a control group. Methods: Participants were 127 controls (CON) and 60 students with dyslexia (DYS), split into dys+ and dys− by their comprehension scores. They were tested with “The English 2 Dyslexia Test” containing seven subtests within three domains: Sentences, Pragmatics, and Literacy. The data were analysed in Part 1: domains and groups, and in Part 2: linguistic skills and spelling by groups. Results: Part 1. CON scored better than DYS on all tests. However, the differences between the two subgroups, dys+ and dys−, were larger than expected. Dys+ scored in line with CON on several tests, while dys− scored below CON on all tests and lower than dys+ on all except for spelling. Part 2. Minor differences were seen between CON and dys+ in linguistic skills, and both CON and dys+ scored higher than dys−. Spelling was scored by the number of graphemes. CON scored higher than both dys+ and dys−, with no difference between the subgroups. Conclusions: The results were discussed in accordance with neurocognitive theories of the auditory and visual timing systems. The overall low scores in dys− were mainly attributed to auditory processing problems, while the specific low spelling scores in dys+ were mainly attributed to visual processing problems. More research is needed on how the behavioural patterns in the two dyslexia subgroups relate to neural correlates in the meeting between EFL and different L1 language typologies and orthographies. Full article
(This article belongs to the Special Issue Current Advances in Developmental Dyslexia)
Show Figures

Figure 1

12 pages, 1860 KB  
Article
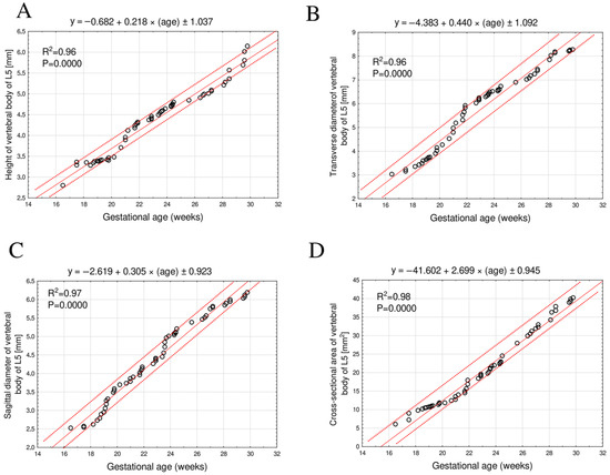
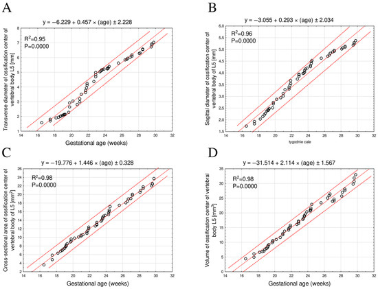
Three-Dimensional, Image-Based Evaluation of the L5 Vertebral Body and Its Ossification Center in Human Fetuses
by Magdalena Grzonkowska, Michał Kułakowski, Karol Elster, Zofia Dzięcioł-Anikiej, Beata Zwierko, Sara Kierońska-Siwak, Magdalena Konieczna-Brazis, Michał Banasiak, Stanisław Orkisz and Mariusz Baumgart
Brain Sci. 2025, 15(11), 1229; https://doi.org/10.3390/brainsci15111229 - 15 Nov 2025
Viewed by 713
Abstract
Objectives: The aim of this study was to characterize the developmental trajectories of the fifth lumbar vertebra in human fetuses by assessing the growth of its vertebral body and ossification center using linear, planar, and volumetric measurements. Methods: A total of 54 [...] Read more.
Objectives: The aim of this study was to characterize the developmental trajectories of the fifth lumbar vertebra in human fetuses by assessing the growth of its vertebral body and ossification center using linear, planar, and volumetric measurements. Methods: A total of 54 human fetuses (26 male and 28 female) aged 17–30 weeks of gestation were examined. Computed tomography, digital image analysis, 3D reconstruction, and statistical modeling were used to quantify morphometric parameters of the L5 vertebral body and its ossification center. Results: All measured parameters demonstrated consistent age-related growth following a linear pattern. No statistically significant differences between sexes were observed in any measured diameter of the L5 vertebra or its ossification center within the examined gestational age range. Conclusions: The normative morphometric data and growth curves obtained for the L5 vertebra and its ossification center provide age-specific reference values that may aid in prenatal diagnostics. These findings can support clinicians in estimating gestational age, assessing vertebral development on ultrasound, and detecting congenital spinal anomalies and skeletal dysplasias at an early stage. Further multicenter studies including a broader gestational age range are warranted to strengthen the generalizability and clinical applicability of these results. Full article
Show Figures

Figure 1

10 pages, 225 KB  
Article
Onychophagia in Obsessive–Compulsive Disorder (OCD): Prevalence and Clinical Characterisation
by Luca Pellegrini, Gabriele Di Salvo, Gianluca Rosso, Giuseppe Maina and Umberto Albert
Brain Sci. 2025, 15(11), 1228; https://doi.org/10.3390/brainsci15111228 - 15 Nov 2025
Viewed by 763
Abstract
Introduction: Onychophagia, commonly known as nail-biting, is a chronic and repetitive behaviour disorder characterised by a compulsive/habitual nature. Obsessive–compulsive disorder (OCD) and onychophagia present a noteworthy intersection in clinical psychiatry. With a paucity of clinical investigations on this topic, we decided to perform [...] Read more.
Introduction: Onychophagia, commonly known as nail-biting, is a chronic and repetitive behaviour disorder characterised by a compulsive/habitual nature. Obsessive–compulsive disorder (OCD) and onychophagia present a noteworthy intersection in clinical psychiatry. With a paucity of clinical investigations on this topic, we decided to perform a study on onychophagia in OCD. Materials and Methods: In this cross-sectional investigation, the sample comprised patients (aged 18 years and older) having a primary diagnosis of OCD (DSM-5) and a score on the Yale–Brown Obsessive–Compulsive Scale of at least 16 (moderate OCD). Individuals were referred to the Department of Neuroscience at the University of Turin. Analysis of the data was performed using JASP (Version 0.16.3), a freely available statistical programme created by the University of Amsterdam (JASP Team, 2022). Statistical value was set at p < 0.05. Results: Our sample consisted of 603 individuals with OCD, and onychophagia was present in 52 of the cases, with a prevalence of 8.6% (95% CI: 6.5–11.2%). Individuals with OCD and onychophagia had some specific clinical features compared to patients with only OCD. The main difference was detected in terms of the presence of autism spectrum disorder (ASD): in the group of patients having OCD and onychophagia, a prevalence of ASD as high as 96.2% was identified, compared to 18.0% in the OCD-without-onychophagia group. Discussion: Onychophagia is a relatively common problem in patients with OCD, with almost one individual out of ten experiencing this issue. OCD and onychophagia, when both present, might define a peculiar clinical phenotype with specific characteristics. The extremely high frequency of ASD in patients with OCD and onychophagia (96.2%) might be very useful information for clinicians, who should pay particular attention to screening for autism in this cohort of individuals. Full article
(This article belongs to the Section Behavioral Neuroscience)
15 pages, 3995 KB  
Article
Type 2 Diabetes Mellitus Exacerbates Brain Injury After Status Epilepticus in Rats
by Carol-Victoria Mérida-Portilla, Ángel Alberto Puig-Lagunes, Consuelo Morgado-Valle, Joel Martínez-Quiroz, Luis Beltrán-Parrazal and María-Leonor López-Meraz
Brain Sci. 2025, 15(11), 1227; https://doi.org/10.3390/brainsci15111227 - 15 Nov 2025
Viewed by 511
Abstract
Background: Clinical and experimental evidence suggests comorbidity between diabetes mellitus (DM) and epilepsy, including a higher incidence of status epilepticus (SE). However, the association between Type 2 Diabetes Mellitus (T2DM) and epilepsy is not fully understood. Therefore, this study aimed to analyze the [...] Read more.
Background: Clinical and experimental evidence suggests comorbidity between diabetes mellitus (DM) and epilepsy, including a higher incidence of status epilepticus (SE). However, the association between Type 2 Diabetes Mellitus (T2DM) and epilepsy is not fully understood. Therefore, this study aimed to analyze the severity of SE and the consequent brain injury in male Wistar rats with T2DM. Methods: To induce T2DM, postnatal day (P) 3 rats were injected with streptozocin (STZ, 100 mg/kg, s.c.; n = 18); control rats received an equal volume of citrate buffer (pH 4.5) used as vehicle (n = 16). Glycemia was monitored at P30, P40, P60, and P90 in both experimental groups. Subsequently, rats were injected intraperitoneally with lithium chloride (LiCl, 3 mEq/kg, i.p.), and 18 h later, at P90, SE was induced by pilocarpine hydrochloride (30 mg/kg, s.c.). Matched control rats were injected with LiCl and physiological saline solution. The severity of SE, the neurodegeneration, cell and tissue loss, and microglia and glial responses were evaluated in the hippocampus, amygdala, thalamus, the piriform cortex. Results: Hyperglycemia was evident at P90 in STZ rats compared with vehicle (p < 0.05). T2DM rats had a higher frequency of stage V seizures and increased latency to the first stage V seizure and to SE compared with control rats (p < 0.05). T2DM rats showed an increased number of Fluoro-Jade B-positive cells, a reduction in cell density, and tissue loss, associated with an increased microglia density but a reduced glial cell count after SE (p < 0.05). Conclusions: Our findings suggest that T2DM is associated with greater seizure severity and increased brain injury following SE. Full article
(This article belongs to the Special Issue From Brain Circuits to Behavior: A Neuroendocrine Perspective)
Show Figures

Figure 1

13 pages, 2428 KB  
Article
Automatic Change Detection of Human Attractiveness: Comparing Visual and Auditory Perception
by Meng Liu, Jin Gao, Werner Sommer and Weijun Li
Brain Sci. 2025, 15(11), 1226; https://doi.org/10.3390/brainsci15111226 - 15 Nov 2025
Viewed by 624
Abstract
Background/Objectives: Change detection of social cues across individuals plays an important role in human interaction. Methods: Here we investigated the automatic change detection of facial and vocal attractiveness in 19 female participants by recording event-related potentials (ERPs). We adopted a ‘deviant-standard-reverse’ oddball paradigm [...] Read more.
Background/Objectives: Change detection of social cues across individuals plays an important role in human interaction. Methods: Here we investigated the automatic change detection of facial and vocal attractiveness in 19 female participants by recording event-related potentials (ERPs). We adopted a ‘deviant-standard-reverse’ oddball paradigm where high- or low-attractive items were embedded as deviants in a sequence of opposite attractive standard stimuli. Results: Both high- and low-attractive faces and voices elicited mismatch negativities (MMNs). Furthermore, low-attractive versus high-attractive items induced larger mismatch negativities in the voice condition but larger P3 amplitudes in the face condition. Conclusions: These data indicate that attractiveness can be automatically detected but that differences exist between facial and vocal attractiveness processing. Generally, change detection seems to work better for unattractive than attractive information, possibly in line with a negativity bias. Full article
(This article belongs to the Section Cognitive, Social and Affective Neuroscience)
Show Figures

Figure 1

2 pages, 136 KB  
Correction
Correction: López-Manzanares et al. Real-World Use of COMT Inhibitors in the Management of Patients with Parkinson’s Disease in Spain Who Present Early Motor Fluctuations: Interim Results from the REONPARK Study. Brain Sci. 2025, 15, 532
by Lydia López-Manzanares, Juan García Caldentey, Marina Mata Álvarez-Santullano, Dolores Vilas Rolán, Jaime Herreros-Rodríguez, Berta Solano Vila, María Cerdán Sánchez, Tania Delgado Ballestero, Rocío García-Ramos, Ana Rodríguez-Sanz, Jesús Olivares Romero, José Blanco Ameijeiras, Isabel Pijuan Jiménez and Iciar Tegel Ayuela
Brain Sci. 2025, 15(11), 1225; https://doi.org/10.3390/brainsci15111225 - 14 Nov 2025
Viewed by 365
Abstract
There was an error in the original publication [...] Full article
13 pages, 757 KB  
Article
The Interaction Between CRHBP and FKBP5 Genes and Childhood Trauma Increases the Risk of Suicide Attempt in Patients with Schizophrenia and Bipolar Disorder
by Marco Antonio Sanabrais-Jiménez, Zeltzin Celic Elguea-Ortiz, Ingrid Pamela Morales-Cedillo, Joanna Jiménez-Pavón, Mauricio Rosel-Vales, Ricardo Arturo Saracco-Álvarez and Beatriz Camarena
Brain Sci. 2025, 15(11), 1224; https://doi.org/10.3390/brainsci15111224 - 14 Nov 2025
Viewed by 814
Abstract
Background/Objectives: Patients with psychotic disorders have a lifetime risk of suicide attempt (SA) of around 10 to 50%. Genetic variants in the corticotropin-releasing hormone-binding protein (CRHBP) and FK506-binding protein 5 (FKBP5) genes, which are implicated in the hypothalamic–pituitary–adrenal [...] Read more.
Background/Objectives: Patients with psychotic disorders have a lifetime risk of suicide attempt (SA) of around 10 to 50%. Genetic variants in the corticotropin-releasing hormone-binding protein (CRHBP) and FK506-binding protein 5 (FKBP5) genes, which are implicated in the hypothalamic–pituitary–adrenal axis and childhood trauma (CT), are considered risk factors for SA. This study aimed to examine the interaction between the CRHBP and FKBP5 genes and CT in the development of SA. Methods: We included 350 patients, 180 patients with schizophrenia and 170 with bipolar disorder. The patients were divided into two groups: 175 with a history of SA and 175 without, and a sample of 350 healthy controls was also included. The Multifactor Dimensionality Reduction program was used to identify G × E interactions between the CRHBP (rs7728378, rs10474485, and rs1875999) and FKBP5 (rs3800373 and rs9296158) and CT in SA. Results: The analysis showed that the interaction of CRHBP and FKBP5 with CT increases the risk of presenting at least one SA (OR 4.17; 95% CI [2.67–6.52]; p < 0.0001). Additionally, we observed interaction with childhood abuse (OR 4.09; 95% CI [2.61–6.39]; p < 0.0001), mainly with emotional (OR 3.67; 95% CI [2.34–5.77]; p < 0.0001) and sexual abuse (OR 3.32; 95% CI [2.11–5.23]; p < 0.0001). Conclusions: Our research indicates that genetic variations in CRHBP and FKBP5 genes and a history of CT increase the probability of presenting at least one SA in patients with schizophrenia and bipolar disorder. Full article
(This article belongs to the Section Behavioral Neuroscience)
Show Figures

Figure 1

15 pages, 1304 KB  
Article
Multidimensional Phenotyping and Predictive Neuropsychological Modeling of Socio-Cognitive Endophenotypes in Early Parkinson’s Disease
by Esra Demir Ünal, Melih Çamcı and Gülsüm Akdeniz
Brain Sci. 2025, 15(11), 1223; https://doi.org/10.3390/brainsci15111223 - 14 Nov 2025
Viewed by 556
Abstract
Background/Objectives: Socio-cognitive disorders constitute the early-stage disabling dimension of non-motor symptoms of Parkinson’s disease (PD) and affect social functioning and interpersonal adjustment. However, current assessment tools do not adequately reveal the nature of these disorders. The Edinburgh Social Cognition Test (ESCoT) has [...] Read more.
Background/Objectives: Socio-cognitive disorders constitute the early-stage disabling dimension of non-motor symptoms of Parkinson’s disease (PD) and affect social functioning and interpersonal adjustment. However, current assessment tools do not adequately reveal the nature of these disorders. The Edinburgh Social Cognition Test (ESCoT) has recently been validated as a multifaceted, sensitive instrument for detecting this dysfunction in various neurological disorders. This study aimed to systematically examine socio-cognitive changes in early-stage PD using the ESCoT and their relationship with executive functions. Methods: This prospective case–control study included 27 early-stage idiopathic PD patients without cognitive impairment and 46 healthy controls. Social cognitive abilities were assessed using the ESCoT, and executive functions via the Frontal Assessment Battery (FAB). Group differences and inter-variable linear associations were evaluated using parametric inferential statistics. The independent predictive contribution of FAB to ESCoT performance was modeled through multiple linear regression. Results: Groups did not differ in age, sex, or education (p > 0.05). PD patients had significantly lower ESCoT total scores (45.67 ± 0.85 vs. 55.52 ± 0.63) and reduced performance across all subscales: Cognitive Theory of Mind (ToM), affective ToM, interpersonal, and intrapersonal norms (p < 0.001). In the PD cohort, FAB correlated strongly with ESCoT (r > 0.40, p < 0.05) and significantly predicted ESCoT total (R2 = 0.247, p = 0.008), affective ToM (β = 0.221, p = 0.034), and interpersonal norms (β = 0.447, p = 0.019). Conclusions: This study demonstrates, for the first time, that ESCoT can sensitively capture multidimensional social cognitive deficits in PD, even in preserved global cognitive function. The observed link with executive dysfunction underlines the need for a more integrative approach to cognitive symptoms in PD. Full article
Show Figures

Figure 1

21 pages, 1901 KB  
Article
Phase II Clinical Study on Low-Intensity-Noise Tinnitus Suppression (LINTS) for Tinnitus Treatment
by Konstantin Tziridis, Lara Heep, Nathalie Piwonski, Katharina Nguyen, Nikola Kölbl, Achim Schilling and Holger Schulze
Brain Sci. 2025, 15(11), 1222; https://doi.org/10.3390/brainsci15111222 - 13 Nov 2025
Viewed by 1974
Abstract
Background/Objectives: Tinnitus treatment is often based on coping strategies, as, still, no causal treatment is available. Based on our “Erlangen model” of tinnitus development, we treated tinnitus patients with individualized, non-masking low-intensity noise (LIN) to reduce the tinnitus loudness. Methods: A [...] Read more.
Background/Objectives: Tinnitus treatment is often based on coping strategies, as, still, no causal treatment is available. Based on our “Erlangen model” of tinnitus development, we treated tinnitus patients with individualized, non-masking low-intensity noise (LIN) to reduce the tinnitus loudness. Methods: A total of 72 adult patients with a tinnitus severity index below IV (tinnitus health questionnaire, THQ), a hearing loss not exceeding 40 dB up to 6 kHz, and without experience in hearing aid (HA) usage were included in this study. Their audiograms, tinnitus parameters, THQ scores, and optimal LIN were determined individually. Patients were double-blinded, assigned to a treatment-only (TO) or placebo-and-treatment (PT) group. The TO patients received treatment for four weeks while the PT patients initially received a placebo (low-intensity white noise) stimulation for two weeks and, hereinafter, treatment for four weeks. Every two weeks, the measurements listed above were repeated. The long-term effects on THQ were assessed four weeks after the end of treatment. The data were analyzed by parametric and nonparametric statistics. Results: We identified a significant decrease in the THQ score already after two (η2 = 0.14) and four weeks of treatment (η2 = 0.43), that was still present four weeks after the end of treatment (η2 = 0.15) in the TO group. Subjective individual patient reports hint at a possible complete suppression of the percept by LINTS. The PT group profited much less, as the initial placebo treatment seemed to counteract the LIN effects. Conclusions: Individually fitted LIN treatment seems to be able to suppress tinnitus, in some cases completely. The optimal fitting of the LIN is crucial for treatment success. Full article
(This article belongs to the Special Issue New Insights Into the Treatment of Subjective Tinnitus)
Show Figures

Figure 1

13 pages, 1324 KB  
Article
Adaptations in the Structure and Function of the Cerebellum in Basketball Athletes
by Yapeng Qi, Yihan Wang, Wenxuan Fang, Xinwei Li, Jiaxin Du, Qichen Zhou, Jilan Ning, Bin Zhang and Xiaoxia Du
Brain Sci. 2025, 15(11), 1221; https://doi.org/10.3390/brainsci15111221 - 13 Nov 2025
Viewed by 625
Abstract
Background/Objectives: The cerebellum contributes to both motor and cognitive functions. As basketball requires the integration of these abilities, basketball athletes provide an ideal model for exploring cerebellar adaptations. This study aimed to examine multidimensional cerebellar adaptations in basketball athletes and their associations [...] Read more.
Background/Objectives: The cerebellum contributes to both motor and cognitive functions. As basketball requires the integration of these abilities, basketball athletes provide an ideal model for exploring cerebellar adaptations. This study aimed to examine multidimensional cerebellar adaptations in basketball athletes and their associations with physical performance. Methods: In this study, 55 high-level basketball athletes and 55 non-athletes matched for age and gender were recruited for multimodal magnetic resonance imaging data collection and physical fitness tests. We compared the structural and functional differences in the brain between the two groups and analyzed the correlations between regional brain indices and physical fitness test outcomes. Results: Basketball athletes exhibited increased gray matter volume in Crus I, alongside heightened ALFF signal in Crus I and improved regional homogeneity in Crus II and VII b compared to non-athletes. Diffusion kurtosis imaging analysis demonstrated that athletes perform elevated kurtosis fractional anisotropy and decreased radial kurtosis within the cerebellar cortex and peduncles, with cortical modifications mainly localized around Crus I and lobule VI. Notably, both kurtosis fractional anisotropy and the amplitude of low-frequency fluctuations displayed positive correlations with vertical jump performance, an indicator specific to basketball ability. Conclusions: Basketball athletes exhibit structural, microstructural, and functional cerebellar adaptations, especially in Crus I. These modifications involve regions associated with motor and cognitive representations within the cerebellum, and part of the indexes are linked to the athletes’ physical performance. This study enhances our understanding of cerebellar adaptive changes in athletes, providing new insights for future research aimed at fully elucidating the role of the cerebellum in these individuals. Full article
Show Figures

Figure 1

16 pages, 2593 KB  
Article
Sex-Dependent Effects of Prenatal Stress on Seizure Susceptibility and Neurodegeneration in Neonatal Rats
by Daniel Antonio Cruz-Rojas, Luis Beltrán-Parrazal, Consuelo Morgado-Valle, Grecia Herrera-Meza, Aleph A. Corona-Morales, Joel Martínez-Quiroz, Brenda Martínez-Rojas and María-Leonor López-Meraz
Brain Sci. 2025, 15(11), 1220; https://doi.org/10.3390/brainsci15111220 - 13 Nov 2025
Viewed by 571
Abstract
Background: Prenatal stress affects fetal neurodevelopment and may increase the risk of seizures. This study aimed to analyze the impact of maternal restraint stress during pregnancy on neonatal status epilepticus (SE) in rats. Methods: Pregnant Wistar rats were subjected to restraint stress from gestation [...] Read more.
Background: Prenatal stress affects fetal neurodevelopment and may increase the risk of seizures. This study aimed to analyze the impact of maternal restraint stress during pregnancy on neonatal status epilepticus (SE) in rats. Methods: Pregnant Wistar rats were subjected to restraint stress from gestation days 12 to 20. Offspring were assessed for body weight, size, and corticosterone levels. SE was induced in postnatal day 7 rats using the lithium–pilocarpine model. Neurodegeneration was analyzed using Fluoro-Jade C staining. Results: Maternal restraint stress resulted in reduced weight gain for the mothers and lower body weight and size for their offspring. Stressed neonates exhibited higher levels of serum corticosterone. Male neonates exhibited shorter latency to stage 1 seizures and increased hippocampal neurodegeneration compared with control males, whereas female neonates were largely unaffected. Conclusions: Maternal restraint stress produced only mild, sex-dependent effects on neonatal seizure susceptibility, affecting males but not females, suggesting a limited yet selective influence of prenatal stress on early brain vulnerability. Full article
(This article belongs to the Special Issue From Brain Circuits to Behavior: A Neuroendocrine Perspective)
Show Figures

Figure 1

Previous Issue
Next Issue
Back to TopTop