Next Issue
Volume 17, January
Previous Issue
Volume 16, November
 
 

Micromachines, Volume 16, Issue 12 (December 2025) – 122 articles

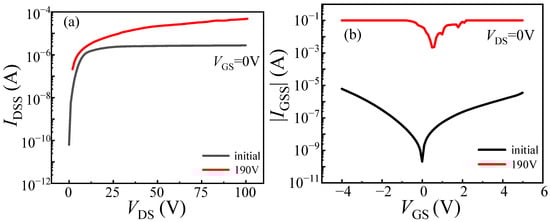
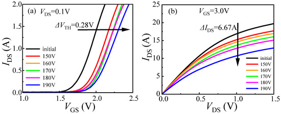
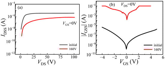
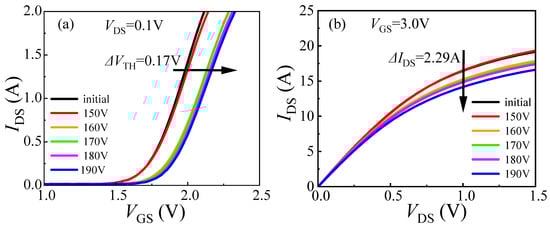
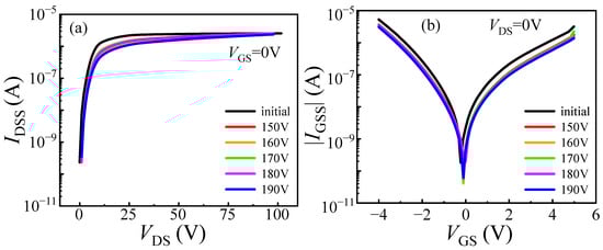
Cover Story (view full-size image): This study examines the reliability of 4H-SiC MOSFETs under realistic MHz-level switching and shows that their degradation behavior diverges sharply from traditional silicon reaction–diffusion expectations. By tracking threshold voltage instability during concurrent gate and drain stress, we find that the underlying mechanisms are dominated by electric field effects, reflected in a bias-dependent power-law time exponent and an unusual negative activation energy that intensifies degradation at lower temperatures. These results indicate that lifetime estimation based on a fixed exponent does not apply to SiC devices and emphasize the need for a field- and bias-aware approach to predicting time-to-failure in high-power converter environments. View this paper
  • Issues are regarded as officially published after their release is announced to the table of contents alert mailing list.
  • You may sign up for e-mail alerts to receive table of contents of newly released issues.
  • PDF is the official format for papers published in both, html and pdf forms. To view the papers in pdf format, click on the "PDF Full-text" link, and use the free Adobe Reader to open them.
Order results
Result details
Section
Select all
Export citation of selected articles as:
24 pages, 8113 KB  
Article
Incorporation of Temperature Impact on Hot-Carrier Degradation into Compact Physics Model
by Stanislav Tyaginov, Erik Bury, Alexander Grill, Ethan Kao, An De Keersgieter, Alexander Makarov, Michiel Vandemaele, Alessio Spessot, Adrian Chasin and Ben Kaczer
Micromachines 2025, 16(12), 1424; https://doi.org/10.3390/mi16121424 - 18 Dec 2025
Viewed by 581
Abstract
We extend our compact physics model (CPM) for hot-carrier degradation (HCD) to cover the impact of ambient temperature on HCD. Three components of this impact are taken into account. First, variations in temperature perturb carrier transport. Second, the thermal component of Si-H bond [...] Read more.
We extend our compact physics model (CPM) for hot-carrier degradation (HCD) to cover the impact of ambient temperature on HCD. Three components of this impact are taken into account. First, variations in temperature perturb carrier transport. Second, the thermal component of Si-H bond rupture becomes more prominent at elevated temperatures. Third, vibrational lifetime of the bond decreases with temperature. While the first and the third mechanisms impede HCD, the second one accelerates this detrimental phenomenon. The aforementioned mechanisms are consolidated in our extended CPM, which was verified against experimental data acquired from foundry quality n-channel transistors with a gate length of 28 nm. For model validation, we use experimental data recorded using four combinations of gate and drain voltages and across a broad temperature range of 150–300 K. We demonstrate that the extended CPM is capable of reproducing measured degradation ΔId,lin(t) (normalized change of the linear drain current with stress time) traces with good accuracy over a broad temperature range. Full article
(This article belongs to the Special Issue Reliability Issues in Advanced Transistor Nodes, Second Edition)
Show Figures

Figure 1

15 pages, 12323 KB  
Article
Research on Machining Characteristics of C/SiC Composite Material by EDM
by Peng Yu, Ziyang Yu, Lize Wang, Yongcheng Gao, Qiang Li and Yiquan Li
Micromachines 2025, 16(12), 1423; https://doi.org/10.3390/mi16121423 - 18 Dec 2025
Viewed by 439
Abstract
Carbon fiber reinforced silicon carbide (C/SiC) composite material exhibits exceptional properties, including high strength, high stiffness, low density, outstanding high-temperature performance, and corrosion resistance. Consequently, they are widely used in aerospace, defense, and automotive engineering. However, their anisotropic, high hardness, and brittle characteristics [...] Read more.
Carbon fiber reinforced silicon carbide (C/SiC) composite material exhibits exceptional properties, including high strength, high stiffness, low density, outstanding high-temperature performance, and corrosion resistance. Consequently, they are widely used in aerospace, defense, and automotive engineering. However, their anisotropic, high hardness, and brittle characteristics make them a typical difficult-to-machine material. This paper focuses on achieving high-quality micro hole machining of C/SiC composite material via electrical discharge machining. It systematically investigates electrical discharge machining characteristics and innovatively develops a hollow internal flow helical electrode reaming process. Experimental results reveal four typical chip morphologies: spherical, columnar, blocky, and molten. The study uncovers a multi-mechanism cutting process: the EDM ablation of the composite involves material melting and explosive vaporization, the intact extraction and fracture of carbon fibers, and the brittle fracture and spalling of the SiC matrix. Discharge energy correlates closely with surface roughness: higher energy removes more SiC, resulting in greater roughness, while lower energy concentrates on m fibers, yielding higher vaporization rates. C fiber orientation significantly impacts removal rates: processing time is shortest at θ = 90°, longest at θ = 0°, and increases as θ decreases. Typical defects such as delamination were observed between alternating 0° and 90° fiber bundles or at hole entrances. Cracks were also detected at the SiC matrix–C fiber interface. The proposed hole-enlargement process enhances chip removal efficiency through its helical structure and internal flushing, reduces abnormal discharges, mitigates micro hole taper, and thereby improves forming quality. This study provides practical references for the EDM of C/SiC composite material. Full article
Show Figures

Figure 1

10 pages, 1734 KB  
Article
An Artificial Synaptic Device Based on InSe/Charge Trapping Layer/h-BN Heterojunction with Controllable Charge Trapping via Oxygen Plasma Treatment
by Qinghui Wang, Jiayong Wang, Manjun Lu, Tieying Ma and Jia Li
Micromachines 2025, 16(12), 1422; https://doi.org/10.3390/mi16121422 - 18 Dec 2025
Viewed by 423
Abstract
Neuromorphic computing, an emerging computational paradigm, aims to overcome the bottlenecks of the traditional von Neumann architecture. Two-dimensional materials serve as ideal platforms for constructing artificial synaptic devices, yet existing devices based on these materials face challenges such as insufficient stability. Indium selenide [...] Read more.
Neuromorphic computing, an emerging computational paradigm, aims to overcome the bottlenecks of the traditional von Neumann architecture. Two-dimensional materials serve as ideal platforms for constructing artificial synaptic devices, yet existing devices based on these materials face challenges such as insufficient stability. Indium selenide (InSe), a two-dimensional semiconductor with unique properties, demonstrates significant potential in the field of neuromorphic devices, though its application research remains in the initial stage. This study presents an artificial synaptic device based on the InSe/Charge Trapping Layer (CTL)/h-BN heterojunction. By applying oxygen plasma treatment to h-BN to form a controllable charge-trapping layer, efficient regulation of carriers in the InSe channel is achieved. The device successfully emulates fundamental synaptic behaviors including paired-pulse facilitation and long-term potentiation/inhibition, exhibiting excellent reproducibility and stability. Through investigating the influence of electrical pulse parameters on synaptic weights, a structure–activity relationship between device performance and structural parameters is established. Experimental results show that the device features outstanding linearity and symmetry, realizing the simulation of key synaptic behaviors such as dynamic conversion between short-term and long-term plasticity. It possesses a high dynamic range ratio of 7.12 and robust multi-level conductance tuning capability, with stability verified through 64 pulse cycle tests. This research provides experimental evidence for understanding interfacial charge storage mechanisms, paves the way for developing high-performance neuromorphic computing devices, and holds broad application prospects in brain-inspired computing and artificial intelligence hardware. Full article
Show Figures

Figure 1

45 pages, 4439 KB  
Review
Gallium Nitride for Space Photovoltaics: Properties, Synthesis Methods, Device Architectures and Emerging Market Perspectives
by Anna Drabczyk, Paweł Uss, Katarzyna Bucka, Wojciech Bulowski, Patryk Kasza, Paula Mazur, Edyta Boguta, Marta Mazur, Grzegorz Putynkowski and Robert P. Socha
Micromachines 2025, 16(12), 1421; https://doi.org/10.3390/mi16121421 - 18 Dec 2025
Viewed by 1557
Abstract
Gallium nitride (GaN) has emerged as one of the most promising wide-bandgap semiconductors for next-generation space photovoltaics. In contrast to conventional III–V compounds such as GaAs and InP, which are highly efficient under terrestrial conditions but suffer from radiation-induced degradation and thermal instability, [...] Read more.
Gallium nitride (GaN) has emerged as one of the most promising wide-bandgap semiconductors for next-generation space photovoltaics. In contrast to conventional III–V compounds such as GaAs and InP, which are highly efficient under terrestrial conditions but suffer from radiation-induced degradation and thermal instability, GaN offers an exceptional combination of intrinsic material properties ideally suited for harsh orbital environments. Its wide bandgap, high thermal conductivity, and strong chemical stability contribute to superior resistance against high-energy protons, electrons, and atomic oxygen, while minimizing thermal fatigue under repeated cycling between extreme temperatures. Recent progress in epitaxial growth—spanning metal–organic chemical vapor deposition, molecular beam epitaxy, hydride vapor phase epitaxy, and atomic layer deposition—has enabled unprecedented control over film quality, defect densities, and heterointerface sharpness. At the device level, InGaN/GaN heterostructures, multiple quantum wells, and tandem architectures demonstrate outstanding potential for spectrum-tailored solar energy conversion, with modeling studies predicting efficiencies exceeding 40% under AM0 illumination. In this review article, the current state of knowledge on GaN materials and device architectures for space photovoltaics has been summarized, with emphasis placed on recent progress and persisting challenges. Particular focus has been given to defect management, doping strategies, and bandgap engineering approaches, which define the roadmap toward scalable and radiation-hardened GaN-based solar cells. With sustained interdisciplinary advances, GaN is anticipated to complement or even supersede traditional III–V photovoltaics in space, enabling lighter, more durable, and radiation-hard power systems for long-duration missions beyond Earth’s magnetosphere. Full article
(This article belongs to the Special Issue Thin Film Microelectronic Devices and Circuits, 2nd Edition)
Show Figures

Figure 1

15 pages, 4389 KB  
Article
Gallium Liquid Metal Microdroplets for Constructing Active Therapeutic Agents in Photothermal Therapy of Ulcerative Colitis
by Zesheng Li, Yuzhu Di, Lubo Jin, Bo Qu and Hongyue Zhang
Micromachines 2025, 16(12), 1420; https://doi.org/10.3390/mi16121420 - 18 Dec 2025
Viewed by 574
Abstract
Gallium-based liquid metals have been extensively studied in the field of biomedical engineering, including applications in tumor and inflammatory disease therapy, as well as targeted drug delivery. Among these, leveraging the photothermal effect of gallium liquid metals enables effective treatment of heat-sensitive cells [...] Read more.
Gallium-based liquid metals have been extensively studied in the field of biomedical engineering, including applications in tumor and inflammatory disease therapy, as well as targeted drug delivery. Among these, leveraging the photothermal effect of gallium liquid metals enables effective treatment of heat-sensitive cells in tumor regions and enhances the diffusion capability of liquid metal microdroplets. However, research on the active treatment of ulcerative colitis (UC) using photothermal therapy with liquid metals remains unexplored. This study focuses on constructing an active composite colloidal motor based on gallium indium liquid metal alloy, using liquid metal microdroplets as the core. Through layer-by-layer assembly of polyelectrolytes, a liquid metal active droplet loaded with the drug mesalazine (5-aminosalicylic acid), named as LMAD-A was developed. Under asymmetric light fields generated by NIR-II light source irradiation, LMAD-A exhibits autonomous locomotion, achieving an effective diffusion coefficient more than 800 times greater than that of Brownian motion in liquid metal microdroplets of similar size. Furthermore, LMAD-A demonstrates phototactic behavior, moving toward the NIR light source autonomously. Through in vitro and in vivo experiments in mice, it was verified that LMAD-A can aggregate, deform, and fuse in the mouse colon under photothermal effects, leading to enhanced release of the loaded drug. In simulated treatments, LMAD-A significantly alleviated DSS-induced colitis in mice, confirming the targeted therapeutic capability of active liquid metal microdroplets as an active therapeutic agent in UC-affected regions. Full article
(This article belongs to the Special Issue Micro/Nanomotors: Design, Materials, Propulsion and Applications)
Show Figures

Graphical abstract

13 pages, 5561 KB  
Article
Porous Micropillar Arrays with Oil Infusion: Fabrication, Characterisation, and Wettability Analysis
by David Gibbon, Prabuddha De Saram, Azeez Bakare and Navid Kashaninejad
Micromachines 2025, 16(12), 1419; https://doi.org/10.3390/mi16121419 - 17 Dec 2025
Viewed by 546
Abstract
Superhydrophobic micropillar surfaces, inspired by the lotus leaf, have been extensively studied over the past two decades for their self-cleaning, anti-friction, anti-icing, and anti-corrosion properties. In this study, we introduce a simple and effective method for introducing porosity into polydimethylsiloxane (PDMS) micropillar arrays [...] Read more.
Superhydrophobic micropillar surfaces, inspired by the lotus leaf, have been extensively studied over the past two decades for their self-cleaning, anti-friction, anti-icing, and anti-corrosion properties. In this study, we introduce a simple and effective method for introducing porosity into polydimethylsiloxane (PDMS) micropillar arrays using salt templating. We then evaluate the wetting behaviour of these surfaces before and after infusion with perfluoropolyether (PFPE) oil. Apparent contact angle and sliding angle were measured relative to a non-porous control surface. Across five porous variants, the contact angle decreased by approximately 5° (from 157° to 152° on average), while the sliding angle increased by about 3.5° (from 16.5° to 20° on average). Following PFPE infusion, the porous arrays exhibited reduced sliding angles while maintaining superhydrophobicity. These results indicate that introducing porosity slightly reduces water repellency and droplet mobility, whereas PFPE infusion restores mobility while preserving high water repellency. The change in wettability following PFPE infusion highlights the potential of these surfaces to function as robust, self-cleaning materials. Full article
(This article belongs to the Special Issue The New Era of Surface Microfluidics: Advances and Applications)
Show Figures

Figure 1

26 pages, 6484 KB  
Review
Research Progress of Additively Manufactured Metallic Lattice Structures
by Chenchen Tian, Yongjian Wang, Haiyang Fan and Xuekun Li
Micromachines 2025, 16(12), 1418; https://doi.org/10.3390/mi16121418 - 17 Dec 2025
Viewed by 965
Abstract
Metallic lattice structures have emerged as a crucial carrier for structure–function integration, owing to their exceptional mechanical properties, energy absorption performance, thermal properties and biocompatibility. Due to the layer-by-layer deposition principle, additive manufacturing enables the precise digital fabrication of complex metallic lattice structures, [...] Read more.
Metallic lattice structures have emerged as a crucial carrier for structure–function integration, owing to their exceptional mechanical properties, energy absorption performance, thermal properties and biocompatibility. Due to the layer-by-layer deposition principle, additive manufacturing enables the precise digital fabrication of complex metallic lattice structures, breaking through the limitations of traditional manufacturing processes. This paper systematically reviews the research progress of additively manufactured metallic lattice structures. First, it categorizes and elaborates on the design methods of typical lattice structures. Second, it compares the core additive manufacturing processes in forming precision and efficiency for metallic lattice structure. Third, it summarizes the application advantages and practical cases of metallic lattice structures in mechanical properties, energy absorption performance, thermal properties, and biocompatibility. Finally, the paper proposes current challenges and prospects the development directions for enhancing the performance of additively manufactured metallic lattice structures. Full article
(This article belongs to the Special Issue Future Prospects of Additive Manufacturing, 2nd Edition)
Show Figures

Figure 1

14 pages, 4452 KB  
Article
Ultra-Wideband Quad-Parallel Shunt-Diode Rectifier for Sub-6 GHz Wireless Power Transfer
by Sadık Zuhur
Micromachines 2025, 16(12), 1417; https://doi.org/10.3390/mi16121417 - 17 Dec 2025
Viewed by 432
Abstract
Wireless power transfer via RF/microwave rectifiers has emerged as a sustainable solution to the energy requirements of low-power devices. In this study, a novel four-parallel-shunt-diode ultra-wideband rectifier is proposed to enable wireless power transfer in the sub-6-GHz 5G bands. The proposed circuit maintains [...] Read more.
Wireless power transfer via RF/microwave rectifiers has emerged as a sustainable solution to the energy requirements of low-power devices. In this study, a novel four-parallel-shunt-diode ultra-wideband rectifier is proposed to enable wireless power transfer in the sub-6-GHz 5G bands. The proposed circuit maintains a power conversion efficiency (PCE) above 50% across the 1.6–5.1 GHz frequency range at 10 dBm input power and also achieves an efficiency above 50% at 3 GHz for input powers between 1 dBm and 16 dBm. Designed and fabricated on a low-cost FR4 substrate, the rectifier achieves a maximum power conversion efficiency of 76% at 2.9 GHz with a 10 dBm input power. Furthermore, a wideband impedance analysis is performed, taking into account the packaging parasitics of the HSMS-2860 diodes used in the study. Despite the use of a lossy substrate such as FR4, the proposed four-parallel-shunt-diode topology improves impedance stability and provides impedance matching over both a wide input-power range and a wide frequency band when compared with single- and double-diode structures reported in the literature. Full article
(This article belongs to the Special Issue Recent Advancements in Microwave and Optoelectronics Devices)
Show Figures

Figure 1

16 pages, 20271 KB  
Article
A Low-Noise Hybrid-Integrated Balanced Homodyne Receiver with 2.5 GHz Bandwidth and 15 dB Quantum Shot Noise Clearance
by Yihao Yang, Chao Cheng, Ruixuan Yang, Yangming Ren, Shenlei Bao, Jintao Xue, Houyou Lai and Binhao Wang
Micromachines 2025, 16(12), 1416; https://doi.org/10.3390/mi16121416 - 17 Dec 2025
Viewed by 528
Abstract
The rapid development of continuous-variable quantum communication has driven an increasing demand for high-performance quantum signal processing modules. Among these, the balanced homodyne detector (BHD) has emerged as a leading solution for practical quantum state measurement due to its capability to provide complete [...] Read more.
The rapid development of continuous-variable quantum communication has driven an increasing demand for high-performance quantum signal processing modules. Among these, the balanced homodyne detector (BHD) has emerged as a leading solution for practical quantum state measurement due to its capability to provide complete quantum mechanical characterization. However, its performance is often constrained by limited bandwidth and high noise levels, primarily due to the reliance on bulk optical components and discrete receiver electronics. The dominant noise source in these systems typically stems from electronic noise, while imbalances in the optical path further degrade the signal-to-noise ratio (SNR) of the BHD. In this work, we present an adjustable integrated optical path to enhance the balance within the BHD system, along with a low-noise transimpedance amplifier (TIA) by employing optoelectronic co-design. Our design achieves a bandwidth of 2.5 GHz, an input-referred noise current of only 2 pA/√Hz in 180 nm CMOS technology, and a measured quantum shot noise clearance of 15 dB generated from a 700 μA photocurrent. This is the maximum quantum shot noise clearance at the same BHD photocurrent reported to date above the GHz bandwidth. Full article
(This article belongs to the Section A:Physics)
Show Figures

Figure 1

14 pages, 1727 KB  
Article
Behavior of Electrothermal Actuator Analyzed by Polynomial Point Interpolation Collocation Method
by Yujuan Tang, Aidong Qi, Yuanhu Gu, Yinfa Zhu, Haojie Li, Dao Gu and Hao Chen
Micromachines 2025, 16(12), 1415; https://doi.org/10.3390/mi16121415 - 16 Dec 2025
Viewed by 335
Abstract
This paper presents a novel implementation of the Polynomial Point Interpolation Collocation Method (PPCM) for analyzing the coupled electrothermal and thermomechanical behavior of V-shaped microactuators. Within the PPCM framework, the governing equations for heat transfer and structural mechanics are discretized over the computational [...] Read more.
This paper presents a novel implementation of the Polynomial Point Interpolation Collocation Method (PPCM) for analyzing the coupled electrothermal and thermomechanical behavior of V-shaped microactuators. Within the PPCM framework, the governing equations for heat transfer and structural mechanics are discretized over the computational domain. The resulting discrete electrothermal system is solved in a fully coupled manner via an incremental load method to determine the temperature field. Subsequently, the displacement field is computed by solving the discrete mechanical equation, which incorporates terms from the natural boundary conditions. The MQ radial basis function behaves well in convergence when its parameters pa and pq are 1 and 1.8. Under a 6 V voltage, the difference between the PPCM and FEM temperature values is less than 1 °C. Meanwhile, the discrepancy between the PPCM and experimental temperature values is approximately 20 °C, corresponding to an approximate error of 10%. Furthermore, the displacement error between the PPCM and FEM is as low as approximately 2 μm under an applied voltage of 12 V. These results validate the PPCM for predicting the driving characteristics of V-shaped microactuators. Full article
(This article belongs to the Special Issue MEMS/NEMS Devices and Applications, 3rd Edition)
Show Figures

Figure 1

14 pages, 3035 KB  
Article
A Wideband Trapezoidal Cantilever Beam PVEH with a P-SSHI-QVR Circuit for Low-Frequency Applications
by Yan Jin, Boyi Feng, Yubo Jin, Yiwen Lv, Zhifan Zhao, Jiaqi Ju and Zhengguang Shi
Micromachines 2025, 16(12), 1414; https://doi.org/10.3390/mi16121414 - 16 Dec 2025
Viewed by 420
Abstract
Piezoelectric vibration energy harvesters (PVEHs) have demonstrated their potential for sustainable energy generation from diverse ambient vibrations for low-power devices and systems. However, great challenges remain concerning harvesting more energy from low-frequency input sources and broadband random excitations. In this paper, a novel [...] Read more.
Piezoelectric vibration energy harvesters (PVEHs) have demonstrated their potential for sustainable energy generation from diverse ambient vibrations for low-power devices and systems. However, great challenges remain concerning harvesting more energy from low-frequency input sources and broadband random excitations. In this paper, a novel PVEH featuring a lead zirconate titanate (PZT) hollowed trapezoidal cantilever beam is proposed, simulated, optimized and fabricated to effectively broaden its output bandwidth at low frequency ranges. Under 1 g acceleration, the traditional solid PVEH showed a resonant frequency of 47.80 Hz and a maximum output power density of 14.22 mW/cm3, while the proposed PVEH showed two resonant frequencies of 21.30 Hz and 50.40 Hz. Compared to the traditional solid PVEH, the first-order resonant frequency was reduced by 55.44% and the corresponding maximum output power density was 3.3 times higher in the proposed PVEH. Furthermore, a parallel synchronized switch harvesting inductor quadruple voltage rectifier (P-SSHI-QVR) circuit is designed to extract energy from the proposed PVEH. For the proposed PVEH incorporating the P-SSHI-QVR circuit, the maximum stored voltage was 20.49 V at a first-order resonant frequency of 21.30 Hz and 5.68 V at a second-order resonant frequency of 50.40 Hz, with corresponding maximum stored powers of 36.89 μW and 2.97 μW, respectively. This study verified the feasibility of the optimized design through simulation and experimental comparison. Full article
Show Figures

Figure 1

22 pages, 6550 KB  
Article
High-Performance and Thermally Robust A1-Mode Lamb Wave Resonators on Bonded LiNbO3/SiC Membranes
by Noriyuki Watanabe, Shoji Kakio, Yoshiki Sakaida, Hidehiko Oku and Shigeomi Hishiki
Micromachines 2025, 16(12), 1413; https://doi.org/10.3390/mi16121413 - 15 Dec 2025
Viewed by 1217
Abstract
In radiofrequency filters, there is an increasing demand for high-frequency, wide-bandwidth operation. Recently, laterally excited A1-mode Lamb wave resonators (XBARs) have attracted significant attention; however, freestanding structures are mechanically fragile, limiting their practical implementation. To address this challenge, a novel bonded [...] Read more.
In radiofrequency filters, there is an increasing demand for high-frequency, wide-bandwidth operation. Recently, laterally excited A1-mode Lamb wave resonators (XBARs) have attracted significant attention; however, freestanding structures are mechanically fragile, limiting their practical implementation. To address this challenge, a novel bonded membrane structure consisting of a lithium niobate (LiNbO3; LN) thin plate supported by a silicon carbide (SiC) layer is proposed to realize high-frequency, high-performance, and thermally robust acoustic resonators. Finite element simulations were performed to analyze the excitation and propagation of A1-mode Lamb waves in the LN/SiC membrane, clarifying the distinct behavior compared with XBARs. The influence of the bonded SiC thin layer on A1-mode Lamb waves was systematically evaluated in terms of coupling coefficient and phase velocity, and design guidelines were established based on these insights. A fabricated LN/SiC resonator with an interdigital electrode pitch of 12 µm exhibited a clear A1-mode response near 1.2 GHz, showing an effective electromechanical coupling coefficient of 24% and a phase velocity exceeding 14,000 m/s. These results demonstrate the feasibility of the bonded LN/SiC membrane as a promising platform for high electromechanical coupling, high-speed, and thermally stable acoustic devices. Full article
(This article belongs to the Section E:Engineering and Technology)
Show Figures

Figure 1

15 pages, 3474 KB  
Article
An Adaptive Control Strategy for DC/DC Converters Using Command-Filtered Backstepping and Disturbance Rejection
by Van Du Phan, Dinh Tu Duong, Van Chuong Le and Sy Phuong Ho
Micromachines 2025, 16(12), 1412; https://doi.org/10.3390/mi16121412 - 15 Dec 2025
Viewed by 393
Abstract
Ensuring the stability and accuracy of the output voltage in DC/DC buck converters (DBCs) is critical for reliable operation. This paper investigates an observer-based adaptive command-filtered controller designed for DBC systems subject to lumped disturbances. First, a mathematical model of the system is [...] Read more.
Ensuring the stability and accuracy of the output voltage in DC/DC buck converters (DBCs) is critical for reliable operation. This paper investigates an observer-based adaptive command-filtered controller designed for DBC systems subject to lumped disturbances. First, a mathematical model of the system is developed on the basis of switching modes. Then, a simplified extended state observer (SESO) is elaborated to mitigate the effects of lumped disturbances. A command filter technique with an integrated adaptive law is subsequently synthesized to enhance output voltage regulation. The stability of the observer and DBC control system is rigorously certified using the Lyapunov principle. Finally, simulation and experimental approaches are exploited to confirm the validity of the proposed method. Compared to state-of-the-art approaches, the proposed observer-based adaptive command-filtered controller improves tracking performance by 96.1% and 77.8% in simulations and 84.4% and 49.1% in experiments under a sinusoidal reference trajectory. Full article
Show Figures

Figure 1

15 pages, 6386 KB  
Article
Investigation into Laser-Vibration-Assisted Cutting of Single-Crystal Silicon by Molecular Dynamics Simulation
by Jianning Chu, Yichen Yang, Yikai Zang, Jinyang Ke, Ziyue Wang, Chen Chen, Jifei He, Aijiang Xu and Zhongdi She
Micromachines 2025, 16(12), 1411; https://doi.org/10.3390/mi16121411 - 15 Dec 2025
Viewed by 451
Abstract
It is difficult to achieve ultra-precision machining (UPM) on semiconductor materials like single-crystal silicon because of their hardness and brittleness. To solve this issue, numerous field-assisted machining systems and their combinations have been suggested and developed. However, the difficulty in directly observing the [...] Read more.
It is difficult to achieve ultra-precision machining (UPM) on semiconductor materials like single-crystal silicon because of their hardness and brittleness. To solve this issue, numerous field-assisted machining systems and their combinations have been suggested and developed. However, the difficulty in directly observing the physical variables limits our comprehension of the in-depth machining mechanisms of field-assisted machining. In this work, we investigated the machining mechanism of single-crystal silicon under the combination of laser heating and tool vibration using molecular dynamics (MD) simulations. The effect of tool vibration trajectory determined by different tool edge radii is discussed under the condition of raising temperature. The simulation results indicate that the surface morphology is closely related to vibration and heating parameters. Raising the cutting temperature causes a reversed relation between tool edge radius and surface roughness. While the subsurface damage and internal stress are also determined by the tool edge radius and cutting temperature. The findings in this simulation could help to improve the understanding of machining mechanics in multi-field-assisted machining. Full article
(This article belongs to the Special Issue Future Trends in Ultra-Precision Machining)
Show Figures

Figure 1

10 pages, 2882 KB  
Article
AI-Assisted Composite Etch Model for MPT
by Yanbin Gong, Fengsheng Zhao, Devin Sima, Wenzhang Li, Yingxiong Guo, Cheming Hu and Shengrui Zhang
Micromachines 2025, 16(12), 1410; https://doi.org/10.3390/mi16121410 - 15 Dec 2025
Cited by 1 | Viewed by 432
Abstract
For advanced semiconductor nodes, the demand for high-precision patterning of complex foundry circuits drives the widespread use of Lithography-Etch-Lithography-Etch (LELE)—a key Multiple Patterning Technology (MPT)—in Deep Ultraviolet (DUV) processes. However, the interaction between LELE’s two Lithography-Etch (LE) cycles makes it very challenging to [...] Read more.
For advanced semiconductor nodes, the demand for high-precision patterning of complex foundry circuits drives the widespread use of Lithography-Etch-Lithography-Etch (LELE)—a key Multiple Patterning Technology (MPT)—in Deep Ultraviolet (DUV) processes. However, the interaction between LELE’s two Lithography-Etch (LE) cycles makes it very challenging to build a model for etching contour simulation and hotspot detection. This study presents an Artificial Intelligence (AI)-assisted composite etch model to capture inter-LE interactions, which directly outputs the final post-LELE etch contour, enabling Etch Rule Check (ERC)-based simulation detection of After Etch Inspection (AEI) hotspots. In addition, the etch model proposed in this study can also predict the etch bias of different types of pattern (especially complex two-dimensional (2D) patterns), thereby enabling auto retargeting for After Develop Inspection (ADI) target generation. In the future, the framework of this composite model can be adapted to the Self-Aligned Reverse Patterning (SARP) + Cut process to address more complex MPT challenges. Full article
(This article belongs to the Special Issue Recent Advances in Lithography)
Show Figures

Figure 1

17 pages, 5847 KB  
Article
A Dynamic Compensation Method Based on Pulse Width for Laser Ranging and Distance Determination in Precision-Guided Aircraft
by Jinghao Li, Zhipeng Li, Yuheng He, Kuizheng Li and Hejuan Chen
Micromachines 2025, 16(12), 1409; https://doi.org/10.3390/mi16121409 - 15 Dec 2025
Viewed by 1442
Abstract
This paper proposes a dynamic compensation method for laser ranging based on pulse width for the miniaturization and high-precision requirements of the initiation device in precision-guided aircraft. The study aims to improve the measurement accuracy of the laser ranging unit in the initiation [...] Read more.
This paper proposes a dynamic compensation method for laser ranging based on pulse width for the miniaturization and high-precision requirements of the initiation device in precision-guided aircraft. The study aims to improve the measurement accuracy of the laser ranging unit in the initiation device system and ensure the accuracy and reliability of its fixed-distance initiation decision. The variation in echo pulse width is analyzed by studying laser echo characteristics. The pulse width and the detection distance exhibit an approximately linear negative correlation within the middle range of the applicable distance range. A dynamic compensation method is proposed based on a dual-correction approach using a static lookup table and dynamic compensation. This method establishes the mapping relationship between pulse width and distance deviation, and achieves distance correction by adding distance deviation compensation to the basic value from the static lookup table. The dynamic compensation system integrated with calibration and correction is designed and implemented, and the feasibility of the dynamic compensation method is verified by testing. The relative error between the calculated correction distance and the actual distance is small, and the average relative error is about 1.33%. The proposed method provides key technical support for the establishment of miniaturized and intelligent initiation devices. Full article
(This article belongs to the Special Issue Micro/Nano Optical Devices and Sensing Technology)
Show Figures

Figure 1

7 pages, 5128 KB  
Communication
A High-Temperature Stable Ohmic Contact Process on Lightly Doped n-Type 4H-SiC Based on a W/C Multilayer Structure
by Yu Zhou, Fengyu Du, Qingwen Song, Xiaoyan Tang, Hao Yuan, Chao Han, Chunfu Zhang and Yuming Zhang
Micromachines 2025, 16(12), 1408; https://doi.org/10.3390/mi16121408 - 15 Dec 2025
Viewed by 437
Abstract
In this paper, we propose a novel method for fabricating high-thermal-stability Ohmic contacts on 4H-SiC using a low-doping-concentration (2.5 × 1015 cm−3) n-type epitaxial layer. The method employs a tungsten/carbon (W/C) multi-nanolayer stacked structure combined with a 1200 °C rapid [...] Read more.
In this paper, we propose a novel method for fabricating high-thermal-stability Ohmic contacts on 4H-SiC using a low-doping-concentration (2.5 × 1015 cm−3) n-type epitaxial layer. The method employs a tungsten/carbon (W/C) multi-nanolayer stacked structure combined with a 1200 °C rapid thermal process (RTP). The fabricated Ohmic contacts achieve a specific contact resistance ρc of 2.53 × 10−4 Ω·cm2 at room temperature (RT) and 1.29 × 10−5 Ω·cm2 at 500 °C. Furthermore, they exhibit excellent long-term operational reliability, maintaining stable performance during a 500 °C high-temperature test for 100 h in air without significant degradation. This method eliminates the need for ion implantation, avoiding lattice damage and reducing fabrication cost. The demonstrated thermal stability is highly desirable for elevated-temperature SiC-based devices and integrated circuits. Full article
(This article belongs to the Section D1: Semiconductor Devices)
Show Figures

Figure 1

17 pages, 972 KB  
Article
Dynamic Electrophoresis of an Oil Drop
by Hiroyuki Ohshima
Micromachines 2025, 16(12), 1407; https://doi.org/10.3390/mi16121407 - 15 Dec 2025
Viewed by 682
Abstract
We present a theoretical framework describing how the electrophoretic mobility of a weakly charged oil droplet in an aqueous electrolyte varies with frequency when the system is subjected to an oscillatory electric field. The surface charge of the droplet arises from the adsorption [...] Read more.
We present a theoretical framework describing how the electrophoretic mobility of a weakly charged oil droplet in an aqueous electrolyte varies with frequency when the system is subjected to an oscillatory electric field. The surface charge of the droplet arises from the adsorption of electrolyte ions. Our analysis is based on a simplified form of the Baygents–Saville model, in which the interior of the droplet is assumed to contain no dissolved ions. In this approach, variations in interfacial tensions along the droplet surface, generated by the Marangoni effect, are explicitly included. From the formulation, we derive a general expression for the dynamic electrophoretic mobility of a charged spherical droplet, and, in addition, obtain concise analytical formulas applicable in the limit of small zeta potentials. Full article
(This article belongs to the Collection Micro/Nanoscale Electrokinetics)
Show Figures

Figure 1

16 pages, 2561 KB  
Article
Study of 3C-SiC Power MOSFETs
by Hamid Fardi
Micromachines 2025, 16(12), 1406; https://doi.org/10.3390/mi16121406 - 14 Dec 2025
Viewed by 516
Abstract
This work presents the simulation and design of 3C-SiC power MOSFETs, focusing on critical parameters including avalanche impact ionization, breakdown voltage, bulk and channel mobilities, and the trade-off between on-resistance and breakdown voltage. The device design is carried out by evaluating the blocking [...] Read more.
This work presents the simulation and design of 3C-SiC power MOSFETs, focusing on critical parameters including avalanche impact ionization, breakdown voltage, bulk and channel mobilities, and the trade-off between on-resistance and breakdown voltage. The device design is carried out by evaluating the blocking voltage of scaled structures as a function of the blocking layer’s doping concentration. To mitigate edge-effect breakdown at the p-well/n-drift interface, a step-profile doping strategy is employed. Multiple transistor layouts with varying pitches are developed using a commercially available device simulator. Results are benchmarked against a one-dimensional analytical model, validating the on-state resistance, current–voltage behavior, and overall accuracy of the simulation approach. For the selected material properties, simulations predict that a 600 V 3C-SiC MOSFET achieves an on-state resistance of 0.8 mΩ·cm2, corresponding to a 7 μm drift layer with a doping concentration of 1 × 1016 cm−3. Full article
Show Figures

Figure 1

19 pages, 9034 KB  
Article
A 3.0-V, High-Precision, High-PSRR BGR with High-Order Compensation and Improved FVF Pre-Regulation
by Yongkang Shen, Jianhai Yu, Fading Xiao, Chang Cai, Chao Wang, Jinghu Li, Caiyan Ma and Yonghao Mo
Micromachines 2025, 16(12), 1405; https://doi.org/10.3390/mi16121405 - 14 Dec 2025
Viewed by 450
Abstract
A 3.0 V bandgap reference (BGR) for battery management integrated circuit (BMIC) is presented, achieving a low temperature coefficient (TC) and a high power supply rejection ratio (PSRR). Precision is enhanced through two techniques: (1) a base current correction technique eliminates errors from [...] Read more.
A 3.0 V bandgap reference (BGR) for battery management integrated circuit (BMIC) is presented, achieving a low temperature coefficient (TC) and a high power supply rejection ratio (PSRR). Precision is enhanced through two techniques: (1) a base current correction technique eliminates errors from the bipolar junction transistor (BJT) base current, and (2) a high-order temperature compensation circuit counteracts the inherent nonlinearity of the BJT’s base-emitter voltage (VBE). Furthermore, an improved flipped voltage follower (FVF) pre-regulation structure is integrated for efficient power supply noise suppression. The circuit is designed based on a 180 nm BiCMOS process, occupying a layout area of 0.0459 mm2. Post-layout simulation results demonstrate that the BGR achieves a temperature coefficient of 1.59 ppm/°C over the −40 °C to 125 °C temperature range. Within a supply voltage range of 4.7 V to 5.3 V, the line regulation is 0.00058 mV/V. At a 5.0 V supply voltage, the quiescent current is 23 μA, and the PSRR is −128.89 dB@1 Hz and −102.9 dB@1 kHz. Full article
(This article belongs to the Section E:Engineering and Technology)
Show Figures

Figure 1

21 pages, 3019 KB  
Article
Optimizing Magnet Spacing to Enhance Power and Energy Density in Magnetically Levitated Electromagnetic Vibration Energy Harvesters
by Madina Alimova, Elvira Kadylbekkyzy, Nurtay Albanbay, Aigerim Issimova, Rinat Ilesibekov and Bekbolat Medetov
Micromachines 2025, 16(12), 1404; https://doi.org/10.3390/mi16121404 - 13 Dec 2025
Viewed by 434
Abstract
In this study, we investigate a magnetically levitated electromagnetic vibration energy harvester (EMEH), in which a movable permanent magnet levitates between two fixed magnets with like poles facing the central magnet. We develop a nonlinear EMEH model and validate it experimentally, achieving strong [...] Read more.
In this study, we investigate a magnetically levitated electromagnetic vibration energy harvester (EMEH), in which a movable permanent magnet levitates between two fixed magnets with like poles facing the central magnet. We develop a nonlinear EMEH model and validate it experimentally, achieving strong agreement with the prototype (R2 = 0.95 for RMS EMF). Using this model, we perform a parametric analysis of excitation frequency and the spacing between the fixed magnets (d), yielding practical design criteria for geometry selection. The validated model predicts a narrow maximum; for the present configuration and parameter bounds, it occurs at d ≈ 28 mm with Pout ≈ 151.94 mW, and the corresponding energy density is ρE ≈ 9.84 mW cm−3. These results yield a practical design rule for selecting d given target metrics and dimensional constraints, providing guidance for the design of compact, low-frequency harvesters powering autonomous sensor nodes. Full article
(This article belongs to the Section E:Engineering and Technology)
Show Figures

Figure 1

20 pages, 1518 KB  
Article
An Effective Hybrid Rescheduling Method for Wafer Chip Precision Packaging Workshops in Complex Manufacturing Environments
by Ziyue Wang, Weikang Fang and Yichen Yang
Micromachines 2025, 16(12), 1403; https://doi.org/10.3390/mi16121403 - 12 Dec 2025
Viewed by 385
Abstract
With the continuous development of semiconductor manufacturing technology and information technology, the sizes of wafer chips are becoming smaller and the variety is increasing, which has put forward high requirements for wafer chip precision manufacturing and packaging workshops. On the one hand, the [...] Read more.
With the continuous development of semiconductor manufacturing technology and information technology, the sizes of wafer chips are becoming smaller and the variety is increasing, which has put forward high requirements for wafer chip precision manufacturing and packaging workshops. On the one hand, the market demand for multiple varieties and small batches will increase the difficulty of scheduling. On the other hand, the complex manufacturing environment brings various types of dynamic events that will disrupt production plans. Accordingly, this work researches the wafer chip precision packaging workshop rescheduling problem under events of machine breakdown, emergency order inserting and original order modification. Firstly, the mathematical model for the addressed problem is established, and the rolling horizon technology is adopted to deal with multiple dynamic events. Then, a hybrid algorithm combining an improved firefly optimization framework and variable neighborhood search strategy is proposed. The population evolution mechanism is designed based on the location-updating law of fireflies in nature. The variable neighborhood search is applied for avoiding local optima and sufficiently exploring in the neighborhood. At last, the test results of comparative experiments and engineering cases indicate that the proposed method is effective and stable and is superior to the current advanced algorithms. Full article
(This article belongs to the Special Issue Future Trends in Ultra-Precision Machining)
Show Figures

Figure 1

15 pages, 3854 KB  
Article
Cascade Dielectrophoretic Separation for Selective Enrichment of Polyhydroxybutyrate (PHB)-Producing Cyanobacterium Synechocystis sp. PCC 6803
by Songyuan Yan, Sara Louise Pacheco, Asa K. Laskie, Cesar Raul Gonzalez Esquer and Lawrence Kulinsky
Micromachines 2025, 16(12), 1402; https://doi.org/10.3390/mi16121402 - 12 Dec 2025
Viewed by 505
Abstract
Maintaining favorable biological productivities in photosynthetic biomanufacturing systems, especially when the risk of contamination with competing microbes is high, remains a challenge to achieve while maintaining economic feasibility. This study presents a dielectrophoresis (DEP)-based microfluidic approach for isolating a desired strain within a [...] Read more.
Maintaining favorable biological productivities in photosynthetic biomanufacturing systems, especially when the risk of contamination with competing microbes is high, remains a challenge to achieve while maintaining economic feasibility. This study presents a dielectrophoresis (DEP)-based microfluidic approach for isolating a desired strain within a co-culture. The cyanobacterium Synechocystis sp. PCC 6803 (a strain capable of producing the bioplastic precursor polyhydroxybutyrate, or PHB) was enriched from mixed cultures containing the competing cyanobacterium Synechococcus elongatus PCC 7942 (which does not naturally produce PHB). A DEP cascade electrode system was established to increase purification efficiency through sequential enrichment, which leveraged inherent differences in cell morphology and dielectric properties, to achieve the selective separation of these strains under physiological conditions. A substantial increase in the relative abundance of PHB-producing cells was assessed by optical microscopy and flow cytometry characterization, confirming more than five-fold reduction of the Synechococcus fraction in the refined cell mix. The presented electrokinetic platform offers a scalable and effective approach for selectively enhancing desired microbial components within microbial biomanufacturing systems, leading towards improved product yields. Full article
(This article belongs to the Section C1: Micro/Nanoscale Electrokinetics)
Show Figures

Graphical abstract

16 pages, 5393 KB  
Article
High-Efficiency Fiber Edge Coupling for Silicon Nitride Integrated Photonics
by Sergey S. Avdeev, Aleksandr S. Baburin, Evgeniy V. Sergeev, Alexei B. Kramarenko, Arseniy V. Belyaev, Danil V. Kushnev, Kirill A. Buzaverov, Ilya A. Stepanov, Vladimir V. Echeistov, Ales S. Loginov, Sergey V. Bukatin, Ali Sh. Amiraslanov, Evgeniy S. Lotkov, Dmitriy A. Baklykov and Ilya A. Rodionov
Micromachines 2025, 16(12), 1401; https://doi.org/10.3390/mi16121401 - 12 Dec 2025
Viewed by 1081
Abstract
Photonic integrated circuits play a crucial role in almost every aspect of modern life, such as data storage, telecommunications, medical diagnostics, green energy, autonomous driving, agriculture, and high-performance computing. To fully harness their benefits, an efficient coupling mechanism is required to successfully launch [...] Read more.
Photonic integrated circuits play a crucial role in almost every aspect of modern life, such as data storage, telecommunications, medical diagnostics, green energy, autonomous driving, agriculture, and high-performance computing. To fully harness their benefits, an efficient coupling mechanism is required to successfully launch light into on-chip waveguides from fibers. This study introduces low-loss coupling strategies and their implementation for silicon nitride integrated photonics. Here we present an overview of coupling technologies, optimized designs, and a fabrication technique for inverse tapers, which enable effective coupling for both transverse-magnetic and transverse-electric modes. We measured the coupling losses of 0.15 dB for UHNA-7 fiber at 1550 nm per facet for single-mode 220 × 1200 nm waveguides. We also designed, fabricated, and experimentally characterized a multi-tip taper, yielding 1.5 dB per facet at 1550 nm with broadband stability over 1500–1600 nm. We believe that our approach is universal and can be used both for individual fiber and fiber arrays coupling and for subsequent assembly of fiber with a chip, ensuring minimal losses. Full article
(This article belongs to the Section A1: Optical MEMS and Photonic Microsystems)
Show Figures

Figure 1

17 pages, 2703 KB  
Article
Experimental Study on Laser-Induced Damage Performance of CO2 Laser-Polished Fused Silica Components
by Ting Tan, Qiao Xu, Shengfei Wang, Jin Zhuo, Feng Geng, Zhichao Liu, Huiliang Jin, Xiangfeng Wang, Hongjun Liu and Qinghua Zhang
Micromachines 2025, 16(12), 1400; https://doi.org/10.3390/mi16121400 - 12 Dec 2025
Viewed by 529
Abstract
Enhancing the laser-induced damage resistance (LIDR) of fused silica components is crucial for improving the overall performance of large-scale laser systems. However, traditional optical manufacturing techniques, based on contact processing principles, inevitably lead to the generation of defects such as scratches and contamination [...] Read more.
Enhancing the laser-induced damage resistance (LIDR) of fused silica components is crucial for improving the overall performance of large-scale laser systems. However, traditional optical manufacturing techniques, based on contact processing principles, inevitably lead to the generation of defects such as scratches and contamination during processing, which severely limit the improvement of component LIDR. To address this issue, this study employs a CO2 laser to polish ground fused silica samples. Through experimental analysis of the influence of pre-treatment processes and laser processing parameters on the damage performance of the laser-polished samples, an optimized laser polishing process scheme was obtained. Fused silica samples processed using the optimized laser polishing scheme were compared with those treated by conventional polishing and etching in terms of damage performance. The results indicate that, compared to conventional polished and etched samples, the laser-polished samples exhibited an approximately 20% increase in damage threshold and a 76.4%~90.8% reduction in damage density. The damage performance of the laser-polished samples was significantly superior to that of conventional polished and etched samples. Through experimental analysis, this paper obtained an optimized laser polishing process scheme and confirmed the definitive role of CO2 laser polishing in enhancing the LIDR of fused silica samples, providing technical support for the development of next-generation optical manufacturing technologies. Full article
(This article belongs to the Special Issue Advances in Digital Manufacturing and Nano Fabrication)
Show Figures

Figure 1

20 pages, 8380 KB  
Article
A 3-Bit Low-Profile High-Gain Transmissive Intelligent Surface for Beam Focusing and Steering Applications
by Zaed S. A. Abdulwali and Majeed A. S. Alkanhal
Micromachines 2025, 16(12), 1399; https://doi.org/10.3390/mi16121399 - 12 Dec 2025
Viewed by 445
Abstract
This paper presents a 3-bit transmissive intelligent surface (TIS) using a novel technique that employs a unit cell comprising loaded semi-loop dipole resonators. The two resonators are anti-symmetrically oriented along the H-plane, functioning as transmitter and receiver on opposite sides of the TIS. [...] Read more.
This paper presents a 3-bit transmissive intelligent surface (TIS) using a novel technique that employs a unit cell comprising loaded semi-loop dipole resonators. The two resonators are anti-symmetrically oriented along the H-plane, functioning as transmitter and receiver on opposite sides of the TIS. The unit cell, with 13.2 mm periodicity, achieves 360° phase variation in 45° steps while maintaining insertion loss below 2 dB at 10 GHz. A 17 × 17 array TIS is designed using ray tracing and phase shift compensation techniques, with phase profiles distributed across eight discrete varactor states. The implemented TIS demonstrates a 10.8 dB gain enhancement for a horn antenna source at 10 GHz while preserving antenna matching, polarization, and radiation efficiency. The design achieves beam steering capabilities up to 60° with ±2° precision across elevation, azimuth, and inclined angles, maintaining an average steering gain loss of 3 dB over a 400 MHz bandwidth. These characteristics make the proposed design particularly effective for modern wireless coverage extension and tracking applications. Full article
(This article belongs to the Section E:Engineering and Technology)
Show Figures

Figure 1

20 pages, 1082 KB  
Article
High-Throughput and Memory-Efficient Pipeline Key–Value Store Architecture on FPGA
by Xinshuo Wang, Lei Liu and Yifei Li
Micromachines 2025, 16(12), 1398; https://doi.org/10.3390/mi16121398 - 11 Dec 2025
Viewed by 803
Abstract
The increasing speed of network connections is placing increasing demands on the performance of network security and monitoring systems, where Key–Value Stores (KVSs) are becoming critical in network security applications. There is a compelling demand to enhance both the throughput and storage utilization [...] Read more.
The increasing speed of network connections is placing increasing demands on the performance of network security and monitoring systems, where Key–Value Stores (KVSs) are becoming critical in network security applications. There is a compelling demand to enhance both the throughput and storage utilization of KVSs. The FPGA-based parallel architecture presents a remarkable opportunity to achieve outstanding performance and power efficiency. In this paper, we propose an FPGA-based implementation of KVSs using a multi-level multi-hash approach, which can effectively avoid false misses and false inserts, in addition to addressing skewed workloads. Decoupled storage exceeds 95% memory utilization, and the pipeline scheme achieves high performance, reaching 400 million requests per second (MRPS). The latency of insert, query, and delete operations is only 60 ns. Full article
(This article belongs to the Section E:Engineering and Technology)
Show Figures

Figure 1

13 pages, 3501 KB  
Article
Channel-Free Micro-Well–Template-Assisted Magnetic Particle Trapping for Efficient Single-Particle Isolation
by Jin-Yeong Park, Kyeong-Taek Nam, Young-Ho Nam, Yong-Kweon Kim, Seung-Ki Lee and Jae-Hyoung Park
Micromachines 2025, 16(12), 1397; https://doi.org/10.3390/mi16121397 - 11 Dec 2025
Viewed by 748
Abstract
This study presents a channel-free, micro-well–template-assisted magnetic particle trapping method for efficient single-particle isolation without the need for microfluidic channels. Dual-surface silicon micro-well arrays were fabricated using photolithography, PE-CVD, and DRIE processes, featuring hydrophilic well interiors and hydrophobic outer surfaces to enhance trapping [...] Read more.
This study presents a channel-free, micro-well–template-assisted magnetic particle trapping method for efficient single-particle isolation without the need for microfluidic channels. Dual-surface silicon micro-well arrays were fabricated using photolithography, PE-CVD, and DRIE processes, featuring hydrophilic well interiors and hydrophobic outer surfaces to enhance trapping performance. The proposed method combines magnet-assisted sedimentation with rotational sweeping of a glass slide placed above the micro-well array, enabling rapid and uniform particle confinement within a 250 × 250 well array. Experimental results showed that the trapping efficiency increased with the well width and depth, achieving over 93.8% within three trapping cycles for optimized structures. High single-particle occupancy was obtained for wells of comparable size to the particle diameter, while deeper wells enabled stable trapping with minimal loss. The entire trapping process was completed within five minutes per cycle, demonstrating a rapid, simple, and scalable approach applicable to digital immunoassay systems for ultrasensitive biomolecule detection. Full article
(This article belongs to the Special Issue Microfluidics in Biomedical Research)
Show Figures

Figure 1

13 pages, 4652 KB  
Article
Analysis on the Air-Gap Magnetic Field and Force of the Linear Synchronous Motor with Different Winding Distribution
by Jing Bai, Lei Zhang and Yu Xu
Micromachines 2025, 16(12), 1396; https://doi.org/10.3390/mi16121396 - 11 Dec 2025
Cited by 1 | Viewed by 509
Abstract
Based on the long-stator permanent magnet linear synchronous motor (PMLSM), motor structures with different pole–slot ratios are designed by changing the distribution of armature windings. A magnetic field analytical model of the motor is developed, the no-load magnetic field characteristics of the motor [...] Read more.
Based on the long-stator permanent magnet linear synchronous motor (PMLSM), motor structures with different pole–slot ratios are designed by changing the distribution of armature windings. A magnetic field analytical model of the motor is developed, the no-load magnetic field characteristics of the motor are calculated, and the results are compared and verified with those obtained by the finite element analysis (FEA). The influences of back-electromotive force (EMF) and armature reaction on the no-load magnetic field under different slots are studied. Through fast Fourier transform, the harmonic characteristics of the magnetic field in different structures are analyzed. Then, the cogging force and thrust characteristics generated by the motor in different structures are compared. The research results provide certain references for motor design. Full article
Show Figures

Figure 1

22 pages, 9108 KB  
Article
Circumferential Bulging Variation and Temperature Distribution of Profile-Tunable Roll for Freeform Optics in Roll-to-Plate (R2P) Hot-Embossing Process
by Yanfeng Feng, Lixiong Luo, Yujie Zhou, Zhiqiang Xu, Tingsong Yang, Chao Hong, Benshuai Ruan, Shengwei Li and Chao Yan
Micromachines 2025, 16(12), 1395; https://doi.org/10.3390/mi16121395 - 11 Dec 2025
Viewed by 319
Abstract
The roll-to-plate (R2P) hot-embossing process is a newly developed molding technique for the high-throughput, high-efficiency fabrication of large-area microstructured optical elements. However, this technology is limited to flat surfaces, because the thickness of the freeform optical plate varies constantly due to its specific [...] Read more.
The roll-to-plate (R2P) hot-embossing process is a newly developed molding technique for the high-throughput, high-efficiency fabrication of large-area microstructured optical elements. However, this technology is limited to flat surfaces, because the thickness of the freeform optical plate varies constantly due to its specific optical design, while the roll stays cylindrical during rolling. Therefore, we developed a new profile-tunable roll with several groups of semiconductor heater/coolers (SHCs) attached around the inside wall of the roll. These SHCs can achieve tunable roll profiles at desirable positions by regulating the current for the semiconductor and then the roll temperature, thereby producing optics with a selected freeform. In this paper, the circumferential bulging profiles and corresponding roll temperature fields were thoroughly investigated under various heater/cooler layouts and roll sizes. A circumferential finite element model of the profile-tunable roll was established using the finite element software MSC.MARC 2020 and then verified on the experimental platform. In addition, the fundamental relationship between the bulging values and temperature distributions of the roll and parameters, such as the outer diameter and inner diameter of the roll, the temperature of the semiconductor heater/cooler, and the single piece influence angle, was eventually established. This paper offers a unique fabrication method for high-volume optical freeform plates at extremely low cost and builds a foundation for further research on the axial deformation and temperature distribution of the developed roll for freeform optics and R2P hot-embossing experiments for freeform optical components. Full article
(This article belongs to the Section E:Engineering and Technology)
Show Figures

Figure 1

Previous Issue
Next Issue
Back to TopTop