A 3-Bit Low-Profile High-Gain Transmissive Intelligent Surface for Beam Focusing and Steering Applications
Abstract
1. Introduction
2. TIS Design and Configuration
2.1. Unit Cell Design
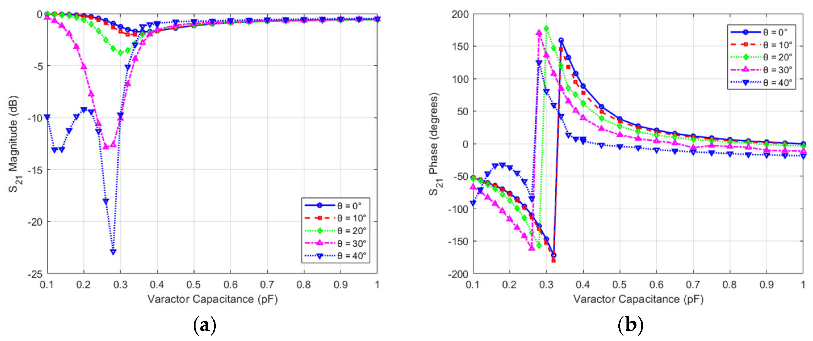
2.2. Results of the Unit Cell
2.3. Design Method for the TIS Formation
2.4. TIS Results and Discussion
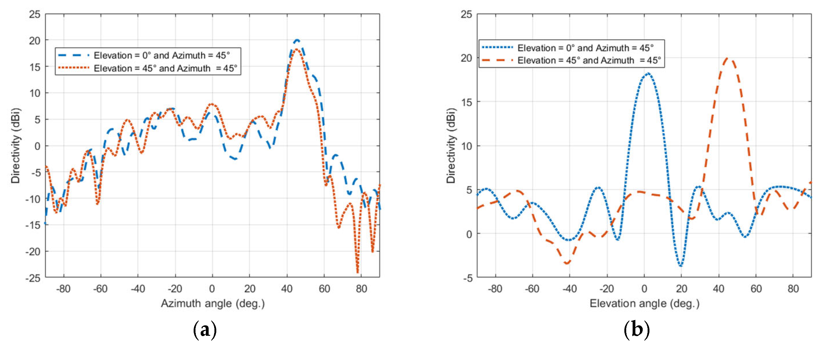
2.4.1. TIS Configuration for Beam Focusing
2.4.2. TIS Configuration for Beam Steering
3. Conclusions
Author Contributions
Funding
Data Availability Statement
Acknowledgments
Conflicts of Interest
References
- Wu, X.; He, C.; Rukhlenko, I.D.; Wu, Q.; Zhu, W. Passive Transmissive Reconfigurable Intelligent Surface. Electron 2025, 3, e70003. [Google Scholar] [CrossRef]
- Khan, M.I.; Loconsole, A.M.; Anelli, F.; Francione, V.V.; Khan, A.U.; Simone, M.; Sorbello, G.; Prudenzano, F. A Low-Profile Dual-Polarized Transmitarray with Enhanced Gain and Beam Steering at Ku Band. Appl. Sci. 2025, 15, 4656. [Google Scholar] [CrossRef]
- Reis, J.R.; Caldeirinha, R.F.S.; Hammoudeh, A.; Copner, N. Electronically Reconfigurable FSS-Inspired Transmitarray for 2-D Beamsteering. IEEE Trans. Antennas Propag. 2017, 65, 4880–4885. [Google Scholar] [CrossRef]
- Oliveri, G.; Werner, D.H.; Massa, A. Reconfigurable electromagnetics through metamaterials-a review. Proc. IEEE 2015, 103, 1034–1056. [Google Scholar] [CrossRef]
- Frank, M.; Lurz, F.; Weigel, R.; Koelpin, A. Electronically Reconfigurable 6 × 6 Element Transmitarray at K-Band Based on Unit Cells with Continuous Phase Range. IEEE Antennas Wirel. Propag. Lett. 2019, 18, 796–800. [Google Scholar] [CrossRef]
- Reis, J.R.; Vala, M.; Caldeirinha, R.F.S. Review paper on transmitarray antennas. IEEE Access 2019, 7, 94171–94188. [Google Scholar] [CrossRef]
- Hum, S.V.; Perruisseau-Carrier, J. Reconfigurable reflectarrays and array lenses for dynamic antenna beam control: A review. IEEE Trans. Antennas Propag. 2014, 62, 183–198. [Google Scholar] [CrossRef]
- Dorrah, A.H.; Park, J.S.; Palmieri, A.; Capasso, F. Free-standing bilayer metasurfaces in the visible. Nat. Commun. 2025, 16, 3126. [Google Scholar] [CrossRef]
- Wu, R.Y.; Li, Y.B.; Wu, W.; Shi, C.B.; Cui, T.J. High-Gain Dual-Band Transmitarray. IEEE Trans. Antennas Propag. 2017, 65, 3481–3488. [Google Scholar] [CrossRef]
- Xue, C.; Sun, J.; Gao, X.; Chen, F.; Pang, Z.; Lou, Q.; Chen, Z.N. An Ultrathin, Low-Profile and High-Efficiency Metalens Antenna Based on Chain Huygens’ Metasurface. IEEE Trans. Antennas Propag. 2022, 70, 11442–11453. [Google Scholar] [CrossRef]
- Nicholls, J.G.; Hum, S.V. Full-Space Electronic Beam-Steering Transmitarray with Integrated Leaky-Wave Feed. IEEE Trans. Antennas Propag. 2016, 64, 3410–3422. [Google Scholar] [CrossRef]
- Di Palma, L.; Clemente, A.; Dussopt, L.; Sauleau, R.; Potier, P.; Pouliguen, P. 1-Bit Reconfigurable Unit Cell for Ka-Band Transmitarrays. IEEE Antennas Wirel. Propag. Lett. 2016, 15, 560–563. [Google Scholar] [CrossRef]
- Cheng, C.C.; Lakshminarayanan, B.; Abbaspour-Tamijani, A. A programmable lens-array antenna with monolithically integrated MEMS switches. IEEE Trans. Microw. Theory Tech. 2009, 57, 1874–1884. [Google Scholar] [CrossRef]
- Qu, Z.; Zhou, Y.; Kelly, J.R.; Wang, Z.; Ford, K.L.; Gao, Y. A reconfigurable transmitarray unit cell employing liquid metal. IET Microw. Antennas Propag. 2024, 18, 985–991. [Google Scholar] [CrossRef]
- Zhang, J.; Zhang, H.; Yang, W.; Chen, K.; Wei, X.; Feng, Y.; Jin, R.; Zhu, W. Dynamic Scattering Steering with Graphene-Based Coding Metamirror. Adv. Opt. Mater. 2020, 8, 2000683. [Google Scholar] [CrossRef]
- Padilla, P.; Muñoz-Acevedo, A.; Sierra-Castañer, M.; Sierra-Pérez, M. Electronically reconfigurable transmitarray at Ku band for microwave applications. IEEE Trans. Antennas Propag. 2010, 58, 2571–2579. [Google Scholar] [CrossRef]
- Abdelrahman, A.H.; Elsherbeni, A.Z.; Yang, F. Transmission phase limit of multilayer frequency-selective surfaces for transmitarray designs. IEEE Trans. Antennas Propag. 2014, 62, 690–697. [Google Scholar] [CrossRef]
- Reis, J.R.; Vala, M.; Oliveira, T.E.; Fernandes, T.R.; Caldeirinha, R.F.S. Metamaterial-inspired flat beamsteering antenna for 5g base stations at 3.6 ghz. Sensors 2021, 21, 8116. [Google Scholar] [CrossRef]
- Diaby, F.; Clemente, A.; Sauleau, R.; Pham, K.T.; Dussopt, L. 2 Bit Reconfigurable Unit-Cell and Electronically Steerable Transmitarray at $Ka$ -Band. IEEE Trans. Antennas Propag. 2020, 68, 5003–5008. [Google Scholar] [CrossRef]
- Reis, J.R.; Copner, N.; Hammoudeh, A.; Al-Daher, Z.M.-E.; Caldeirinha, R.F.S.; Fernandes, T.R.; Gomes, R. FSS-Inspired Transmitarray for Two-Dimensional Antenna Beamsteering. IEEE Trans. Antennas Propag. 2016, 64, 2197–2206. [Google Scholar] [CrossRef]
- Clemente, A.; Dussopt, L.; Sauleau, R.; Potier, P.; Pouliguen, P. Wideband 400-element electronically reconfigurable transmitarray in X band. IEEE Trans. Antennas Propag. 2013, 61, 5017–5027. [Google Scholar] [CrossRef]
- Wen, L.; Gao, S.; Luo, Q.; Hu, W.; Sanz-Izquierdo, B.; Wang, C.; Yang, X.-X. Wideband Transmitarray Antenna Using Compact 2-bit Filtering Unit Cells. IEEE Trans. Antennas Propag. 2023, 71, 8344–8349. [Google Scholar] [CrossRef]
- Ma, C.; Li, H.; Zhang, B.; Ye, D.; Huangfu, J.; Sun, Y.; Zhu, W.; Li, C.; Ran, L. Implementation of a 2-D Reconfigurable Fresnel-Zone-Plate Antenna. IEEE Trans. Antennas Propag. 2021, 69, 520–525. [Google Scholar] [CrossRef]
- Tuloti, S.H.R.; Lamecki, A.; Mrozowski, M. A Highly Compact Low-Profile Beam-Switching Transmitarray Antenna for ISM-Band Applications. IEEE Antennas Wirel. Propag. Lett. 2025, 24, 459–463. [Google Scholar] [CrossRef]
- Jiang, S.; Deng, W.; Wang, Z.; Cheng, X.; Tsai, D.P.; Shi, Y.; Zhu, W. Ka-Band metalens antenna empowered by physics-assisted particle swarm optimization (PA-PSO) algorithm. Opto-Electron. Sci. 2024, 3, 240014. [Google Scholar] [CrossRef]
- Guo, Y.; Pu, M.; Zhang, F.; Xu, M.; Li, X.; Ma, X.; Luo, X. Classical and generalized geometric phase in electromagnetic metasurfaces. Photon Insights 2022, 1, R03. [Google Scholar] [CrossRef]
- Guo, Y.; Ma, X.; Pu, M.; Li, X.; Zhao, Z.; Luo, X. High-Efficiency and Wide-Angle Beam Steering Based on Catenary Optical Fields in Ultrathin Metalens. Adv. Opt. Mater. 2018, 6, 1800592. [Google Scholar] [CrossRef]
- Wang, X.; Qin, P.Y.; Le, A.T.; Zhang, H.; Jin, R.; Guo, Y.J. Beam Scanning Transmitarray Employing Reconfigurable Dual-Layer Huygens Element. IEEE Trans. Antennas Propag. 2022, 70, 7491–7500. [Google Scholar] [CrossRef]
- Wang, M.; Xu, S.; Yang, F.; Li, M. Design and Measurement of a 1-bit Reconfigurable Transmitarray with Subwavelength H-Shaped Coupling Slot Elements. IEEE Trans. Antennas Propag. 2019, 67, 3500–3504. [Google Scholar] [CrossRef]
- MAVR-000120-14110P. Available online: https://www.macom.com/products/product-detail/MAVR-000120-14110P (accessed on 1 December 2025).
- Liu, Y.; Zhang, H.; Deng, L. Design and Implementation of a Reconfigurable Transmitarray Employing Varactor-Tuned Huygens Elements for Dynamic Beam Shaping. IEEE Antennas Wirel. Propag. Lett. 2025, 24, 1542–1546. [Google Scholar] [CrossRef]

























| Variable | Value (mm) | Variable | Value (mm) |
|---|---|---|---|
| L1 | 13.2 | L7 | 1.5 |
| L2 | 10.6 | L8 | 2.35 |
| L3 | 6.5 | g1 | 2.7 |
| L4 | 2.25 | g2 | 0.8 |
| L5 | 1.3 | g3 | 0.2 |
| L6 | 0.8 | g4 | 0.4 |
| Ref. | Frequency (GHz) | Reconfigurable Phase States | Periodicity | Bandwidth | Insertion Loss (dB) | Profile (Thickness) | Layers |
|---|---|---|---|---|---|---|---|
| [3] | 5.2 | 7 | 0.58 λ0 | 1.35% | −2 * | 0.156 λ0 | 6 |
| [18] | 3.6 | 6 | 0.72 λ0 | 2.7% | −4 * | 0.095 λ0 | 5 |
| [24] | 24.125 | 8 | 0.28 λ0 | NA | −2.75 | 0.323 λ0 | 5 |
| [2] | 12 | NA | 0.346 λ0 | 4% * | −3 * | 0.126 λ0 | 3 |
| This work | 10 | 8 | 0.44 λ0 | 5% | −3 | 0.11 λ0 | 3 |
| Ref. | Frequency (GHz) | Size | Profile (λ0) | SLL (dB) | Gain BW | AE (%) | Scanning Range (°) | Peak Gain (dBi) |
|---|---|---|---|---|---|---|---|---|
| [19] | 29 | 14 × 14 | 0.125 | −8 * | 16.2% | 15.9 | 60 | 19.8 |
| [18] | 3.6 | 6 × 6 | 0.095 | −7 | 13.9% | NA | 20 | 13.9 |
| [24] | 24.125 | 29 × 29 | 0.323 | −9 * | 5.1% | 11.5% | 30 | 19.85 |
| [2] | 12 | 22 × 22 | 0.126 | −20.8 | 10.8% | 17.0% | 30 | 21 |
| This work | 10 | 17 × 17 | 0.11 | −16.3 | 4% | 28.5% | 60 | 22.5 |
Disclaimer/Publisher’s Note: The statements, opinions and data contained in all publications are solely those of the individual author(s) and contributor(s) and not of MDPI and/or the editor(s). MDPI and/or the editor(s) disclaim responsibility for any injury to people or property resulting from any ideas, methods, instructions or products referred to in the content. |
© 2025 by the authors. Licensee MDPI, Basel, Switzerland. This article is an open access article distributed under the terms and conditions of the Creative Commons Attribution (CC BY) license (https://creativecommons.org/licenses/by/4.0/).
Share and Cite
Abdulwali, Z.S.A.; Alkanhal, M.A.S. A 3-Bit Low-Profile High-Gain Transmissive Intelligent Surface for Beam Focusing and Steering Applications. Micromachines 2025, 16, 1399. https://doi.org/10.3390/mi16121399
Abdulwali ZSA, Alkanhal MAS. A 3-Bit Low-Profile High-Gain Transmissive Intelligent Surface for Beam Focusing and Steering Applications. Micromachines. 2025; 16(12):1399. https://doi.org/10.3390/mi16121399
Chicago/Turabian StyleAbdulwali, Zaed S. A., and Majeed A. S. Alkanhal. 2025. "A 3-Bit Low-Profile High-Gain Transmissive Intelligent Surface for Beam Focusing and Steering Applications" Micromachines 16, no. 12: 1399. https://doi.org/10.3390/mi16121399
APA StyleAbdulwali, Z. S. A., & Alkanhal, M. A. S. (2025). A 3-Bit Low-Profile High-Gain Transmissive Intelligent Surface for Beam Focusing and Steering Applications. Micromachines, 16(12), 1399. https://doi.org/10.3390/mi16121399

