Circumferential Bulging Variation and Temperature Distribution of Profile-Tunable Roll for Freeform Optics in Roll-to-Plate (R2P) Hot-Embossing Process
Abstract
1. Introduction
2. Design of Profile-Tunable Roll
3. Circumferential FE Simulation of Profile-Tunable Roll
4. Heating Experiments of Profile-Tunable Roll
5. Results and Discussions
5.1. FE Model Verification
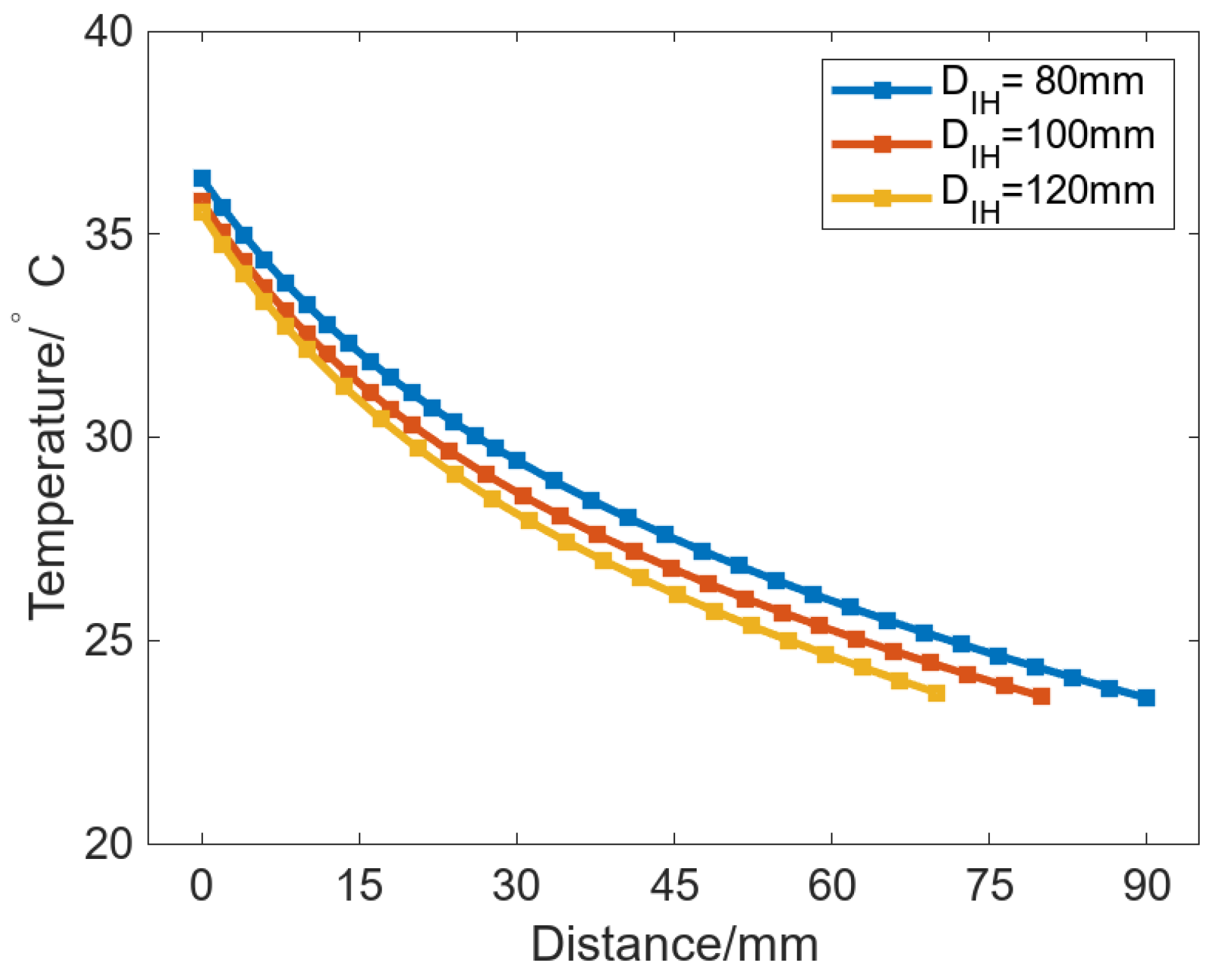
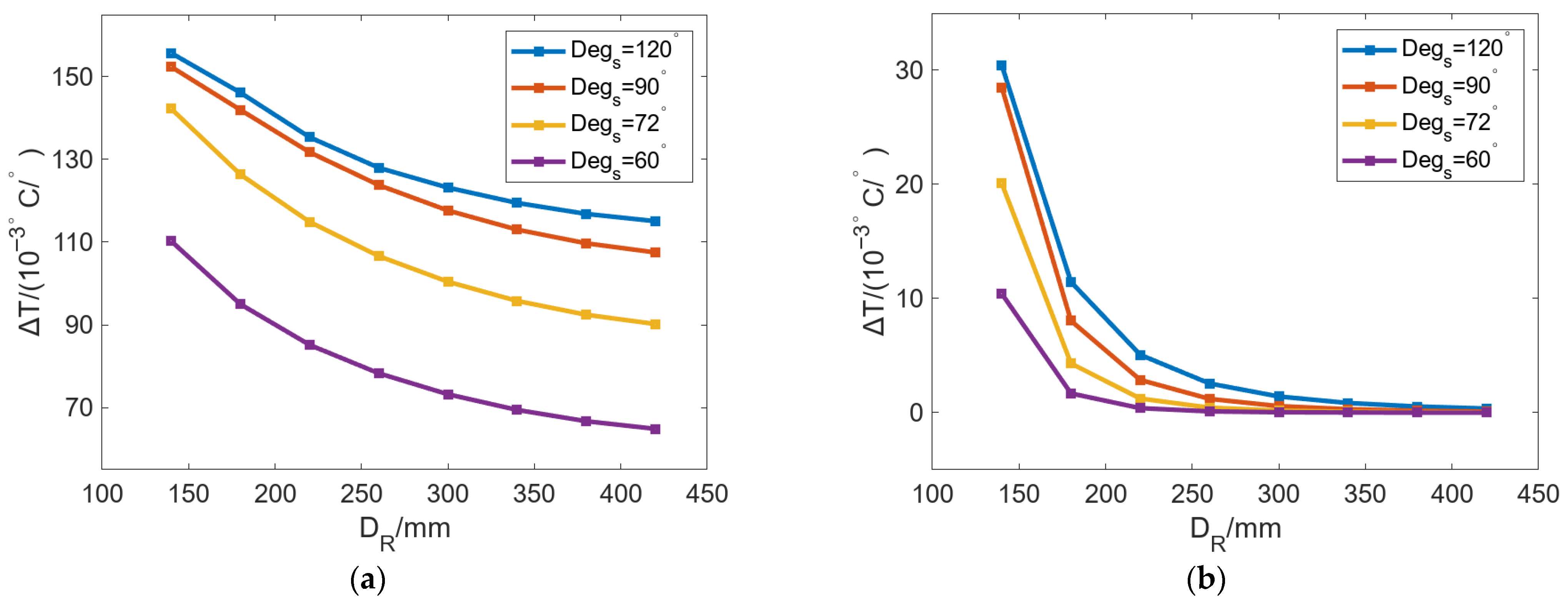
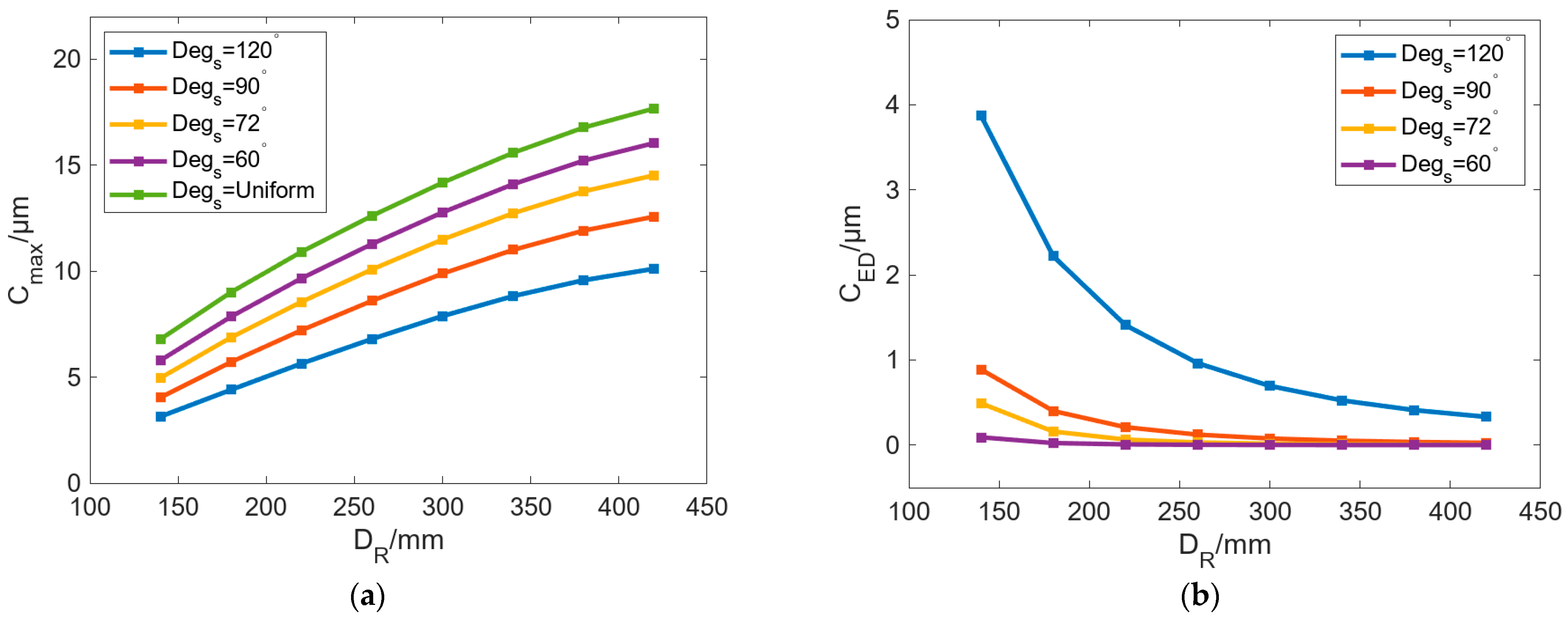
5.2. The Effect of Roll Size on Bulging Performance of Profile-Tunable Roll
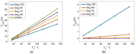
5.3. The Effect of Temperature on Bulging Performance of Profile-Tunable Roll
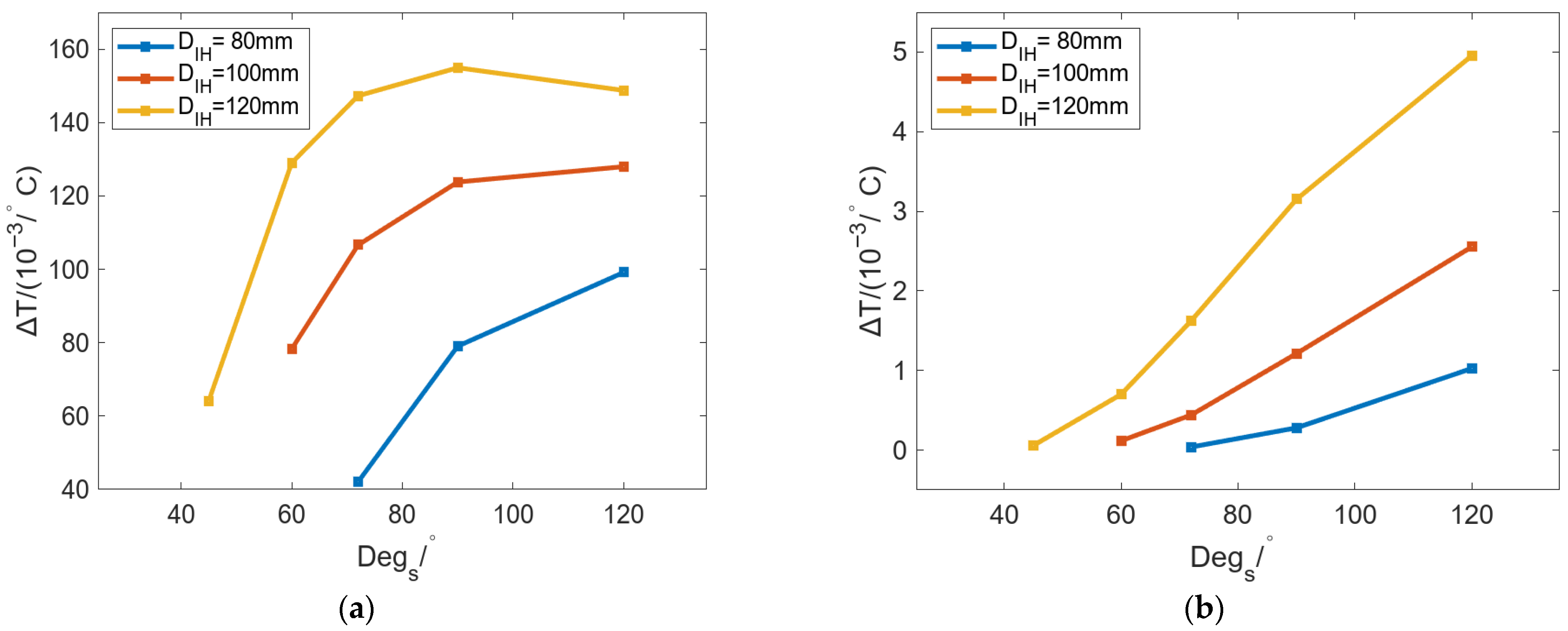
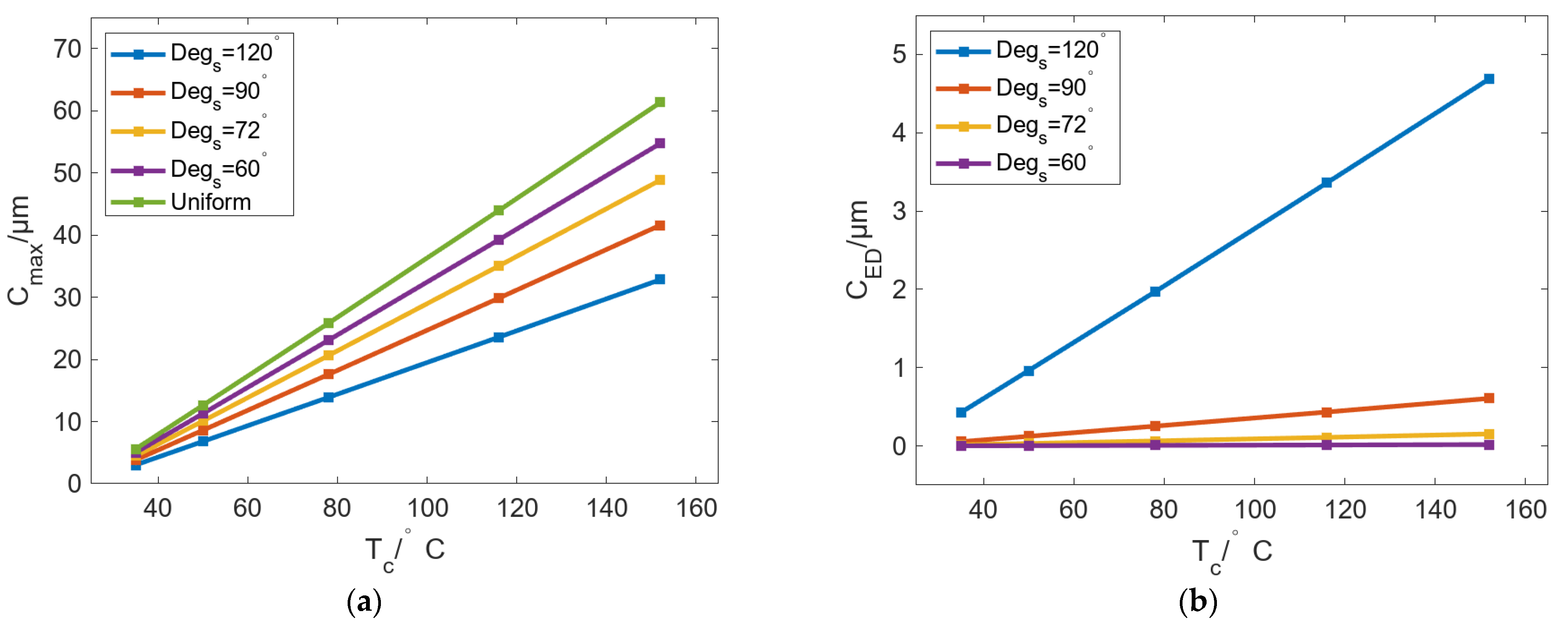
5.4. The Effect of SHC Number on Bulging Performance of Profile-Tunable Roll
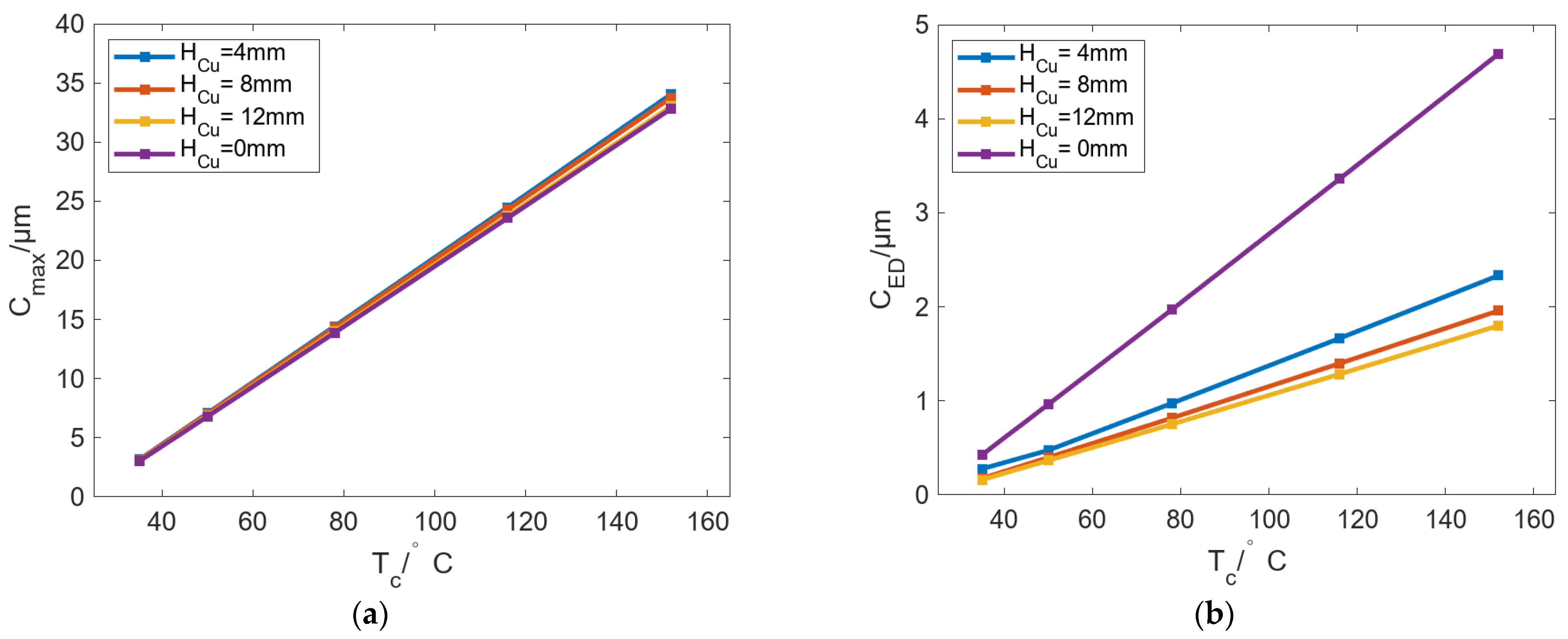
5.5. Additional Copper Layer for Undesired Large Localized Bulging
6. Conclusions
- (1)
- The proposed profile-tunable roll was specially designed with a hollow structure to accommodate internal SHC modules. Variations in the outer and inner diameters, the single-piece influence angle, and the number of SHCs jointly exert a strong influence on circumferential profile deformation. Under different single-piece influence angles, increasing the outer diameter enhances the maximum bulging value from 3.12 µm to 17.64 µm while reducing the maximum bulging difference from 3.89 µm to nearly 0. In contrast, increasing the inner diameter decreases the maximum bulging value from 10.92 µm to 6.08 µm while increasing the maximum bulging difference from nearly 0 to 1.82 µm.
- (2)
- The maximum bulging and temperature variation are also promoted by increasing the input temperature and decreasing the circumferential number of SHCs (i.e., increasing the single-piece influence angle). In addition, the single-piece influence angle has a much stronger effect on bulging deformation than the input temperature for different inner diameters. Micron-level bulging can be observed when the single-piece influence angles are no less than 90°, 72°, and 60° for inner roll diameters of 80 mm, 100 mm, and 120 mm, respectively.
- (3)
- To relax the one-to-one correspondence between design parameters and both bulging amplitudes and the number of localized bulges, an internal circular copper layer was assembled on the inner bore of the roll. This layer effectively reduced the localized bulging amplitude to about 2 µm, and the amplitude can be further decreased by increasing the layer thickness.
Author Contributions
Funding
Data Availability Statement
Conflicts of Interest
References
- Kumar, S.; Tong, Z.; Jiang, X. Advances in the design and manufacturing of novel freeform optics. Int. J. Extrem. Manuf. 2022, 4, 032004. [Google Scholar] [CrossRef]
- Rolland, J.P.; Davies, M.A.; Suleski, T.J.; Evans, C.; Bauer, A.; Lambropoulos, J.C.; Falaggis, K. Freeform optics for imaging. Optica 2021, 8, 161–176. [Google Scholar] [CrossRef]
- Falaggis, K.; Rolland, J.; Duerr, F.; Sohn, A. Freeform optics: Introduction. Opt. Express 2022, 30, 6450–6455. [Google Scholar] [CrossRef]
- Fang, F.; Zhang, N.; Zhang, X. Precision injection molding of freeform optics. Adv. Opt. Technol. 2016, 5, 303–324. [Google Scholar] [CrossRef]
- Xie, D.; Chang, X.; Shu, X.; Wang, Y.; Ding, H.; Liu, Y. Rapid fabrication of thermoplastic polymer refractive microlens array using contactless hot embossing technology. Opt. Express 2015, 23, 5154–5166. [Google Scholar] [CrossRef]
- Li, L.; Yi, A.Y. Design and fabrication of a freeform microlens array for uniform beam shaping. Microsyst. Technol. 2011, 17, 1713–1720. [Google Scholar] [CrossRef]
- Li, L.; Yi, A.Y. Design and fabrication of a freeform microlens array for a compact large-field-of-view compound-eye camera. Appl. Opt. 2012, 51, 1843–1852. [Google Scholar] [CrossRef] [PubMed]
- Joo, J.Y.; Kim, W.H.; Park, S.S.; Song, S.B. Design and manufacturing of LED primary optics for road lighting engine. In Proceedings of the Optical Systems Design 2012, Barcelona, Spain, 28–29 November 2012; SPIE: Bellingham, WA, USA, 2012; Volume 8550, pp. 712–717. [Google Scholar]
- Deshmukh, S.S.; Goswami, A. Current innovations in roller embossing—A comprehensive review. Microsyst. Technol. 2022, 28, 1077–1114. [Google Scholar] [CrossRef]
- Fan, Y.; Wang, C.; Sun, J.; Peng, X.; Tian, H.; Li, X.; Chen, X.; Chen, X.; Shao, J. Electric-driven flexible-roller nanoimprint lithography on the stress-sensitive warped wafer. Int. J. Extrem. Manuf. 2023, 5, 035101. [Google Scholar] [CrossRef]
- Wu, C.-H.; Liou, Y.-C. The use of roll-to-plate UV-curing embossing to produce a composite light guide plate. Microsyst. Technol. 2021, 27, 3875–3891. [Google Scholar] [CrossRef]
- Zhu, T.; Li, K.; Gong, F. Investigation of the cracking mechanism of optical chalcogenide glass during roll-to-plate hot embossing. J. Manuf. Process. 2025, 153, 70–81. [Google Scholar] [CrossRef]
- Zhu, Z.; Cheung, C.F.; Li, K.; Wang, C.; Ruan, H.; Yang, X.; Wen, X.; Zhou, T. Novel roll-to-plate hot embossing process for the precision manufacturing of glass microstructures. Ceram. Int. 2024, 50, 43089–43097. [Google Scholar] [CrossRef]
- Masui, T.; Yamada, J.; Nagai, T.; Nishino, T. Strip Shape and Profile Control with a New Type of the Variable Crown Roll System. Trans. Iron Steel Inst. Jpn. 1983, 23, 846–853. [Google Scholar] [CrossRef][Green Version]
- Azadi, S.; Jafari, A.; Samadian, M. Effect of tank shape on roll dynamic response of an articulated vehicle carrying liquids. Int. J. Heavy Veh. Syst. 2014, 21, 221–240. [Google Scholar] [CrossRef]
- Wu, C.; Ji, C.; Zhu, M. Numerical Simulation of Bulging Deformation for Wide-Thick Slab Under Uneven Cooling Conditions. Metall. Mater. Trans. B 2018, 49, 1346–1359. [Google Scholar] [CrossRef]
- Liu, W.; Feng, Y.; Yang, T.; Du, F.; Sun, J. Analysis of the induction heating efficiency and thermal energy conversion ability under different electromagnetic stick structures in the RPECT. Appl. Therm. Eng. 2018, 145, 277–286. [Google Scholar] [CrossRef]
- Park, C.M.; Choi, J.T.; Moon, H.K.; Park, G.J. Thermal crown analysis of the roll in the strip casting process. J. Mater. Process. Technol. 2009, 209, 3714–3723. [Google Scholar] [CrossRef]
- Benasciutti, D.; Brusa, E.; Bazzaro, G. Finite elements prediction of thermal stresses in work roll of hot rolling mills. Procedia Eng. 2010, 2, 707–716. [Google Scholar] [CrossRef]
- Jiang, M.; Li, X.; Wu, J.; Wang, G. A precision on-line model for the prediction of thermal crown in hot rolling processes. Int. J. Heat Mass Transf. 2014, 78, 967–973. [Google Scholar] [CrossRef]
- Chen, S.-X.; Liu, W.-G.L.X.-H. Thermal Crown Model and Shifting Effect Analysis of Work Roll in Hot Strip Mills. J. Iron Steel Res. Int. 2015, 22, 777–784. [Google Scholar] [CrossRef]
- Yang, T.; Liu, J.; Zhou, H.; Xu, Z.; Du, F. Analysis of the thermal-force roll profile control ability under different hole structures and slot structures in the RPECT. Int. J. Adv. Manuf. Technol. 2021, 116, 403–415. [Google Scholar] [CrossRef]
- Hajmohammadi, M.R.; Doustahadi, A.; Ahmadian-Elmi, M. Heat transfer enhancement by a circumferentially non-uniform array of longitudinal fins assembled inside a circular channel. Int. J. Heat Mass Transf. 2020, 158, 120020. [Google Scholar] [CrossRef]
- Ding, Y.; Zhang, W.; Deng, B.; Gu, Y.; Liao, Q.; Long, Z.; Zhu, X. Experimental and numerical investigation on natural convection heat transfer characteristics of vertical 3-D externally finned tubes. Energy 2022, 239, 122050. [Google Scholar] [CrossRef]























| Parameter | Value | Parameter | Value |
|---|---|---|---|
| Roll diameter | 140~420 mm | Hole diameter | 80~120 mm |
| SHC size | 40 mm × 40 mm | SHC thickness | 5 mm |
| SHC control current | 1–5 A | Silicone grease thickness | 2 mm |
| SHC amount | 3–5 | SHC control time | 1200 s |
| SHC control mode | Hot end control | Initial temperature | 23 °C |
| Ambient Temperature | Temperature of Cooling Water | Current | Time |
|---|---|---|---|
| 20 °C | 18 °C | 3 A | 1200 s |
Disclaimer/Publisher’s Note: The statements, opinions and data contained in all publications are solely those of the individual author(s) and contributor(s) and not of MDPI and/or the editor(s). MDPI and/or the editor(s) disclaim responsibility for any injury to people or property resulting from any ideas, methods, instructions or products referred to in the content. |
© 2025 by the authors. Licensee MDPI, Basel, Switzerland. This article is an open access article distributed under the terms and conditions of the Creative Commons Attribution (CC BY) license (https://creativecommons.org/licenses/by/4.0/).
Share and Cite
Feng, Y.; Luo, L.; Zhou, Y.; Xu, Z.; Yang, T.; Hong, C.; Ruan, B.; Li, S.; Yan, C. Circumferential Bulging Variation and Temperature Distribution of Profile-Tunable Roll for Freeform Optics in Roll-to-Plate (R2P) Hot-Embossing Process. Micromachines 2025, 16, 1395. https://doi.org/10.3390/mi16121395
Feng Y, Luo L, Zhou Y, Xu Z, Yang T, Hong C, Ruan B, Li S, Yan C. Circumferential Bulging Variation and Temperature Distribution of Profile-Tunable Roll for Freeform Optics in Roll-to-Plate (R2P) Hot-Embossing Process. Micromachines. 2025; 16(12):1395. https://doi.org/10.3390/mi16121395
Chicago/Turabian StyleFeng, Yanfeng, Lixiong Luo, Yujie Zhou, Zhiqiang Xu, Tingsong Yang, Chao Hong, Benshuai Ruan, Shengwei Li, and Chao Yan. 2025. "Circumferential Bulging Variation and Temperature Distribution of Profile-Tunable Roll for Freeform Optics in Roll-to-Plate (R2P) Hot-Embossing Process" Micromachines 16, no. 12: 1395. https://doi.org/10.3390/mi16121395
APA StyleFeng, Y., Luo, L., Zhou, Y., Xu, Z., Yang, T., Hong, C., Ruan, B., Li, S., & Yan, C. (2025). Circumferential Bulging Variation and Temperature Distribution of Profile-Tunable Roll for Freeform Optics in Roll-to-Plate (R2P) Hot-Embossing Process. Micromachines, 16(12), 1395. https://doi.org/10.3390/mi16121395
