-
Nutritional Supplements for Muscle Hypertrophy: Mechanisms and Morphology—Focused Evidence -
Longitudinal Association of Coffee and Tea Consumption with Bone Mineral Density in Older Women: A 10-Year Repeated-Measures Analysis in the Study of Osteoporotic Fractures -
Current Perspectives on Protein Supplementation in Athletes: General Guidance and Special Considerations for Diabetes—A Narrative Review -
Effects of Moringa oleifera Lam. Supplementation on Cardiometabolic Outcomes: A Meta-Analysis of Randomized Controlled Trials with GRADE Assessment
Journal Description
Nutrients
Nutrients
is an international, peer-reviewed, open access journal of human nutrition published semimonthly online by MDPI. The Asia Pacific Nutrigenomics Nutrigenetics Organisation (APNNO), Italian Society for Pediatric Gastroenterology, Hepatology and Nutrition (SIGENP), Nutrition Society of New Zealand (NSNZ), Ocular Wellness & Nutrition Society (OWNS) and others are affiliated with Nutrients and their members receive discounts on article processing charges.
- Open Access— free for readers, with article processing charges (APC) paid by authors or their institutions.
- High Visibility: indexed within Scopus, SCIE (Web of Science), PubMed, MEDLINE, PMC, Embase, PubAg, AGRIS, and other databases.
- Journal Rank: JCR - Q1 (Nutrition and Dietetics) / CiteScore - Q1 (Nutrition and Dietetics)
- Rapid Publication: manuscripts are peer-reviewed and a first decision is provided to authors approximately 15 days after submission; acceptance to publication is undertaken in 2.4 days (median values for papers published in this journal in the second half of 2025).
- Recognition of Reviewers: reviewers who provide timely, thorough peer-review reports receive vouchers entitling them to a discount on the APC of their next publication in any MDPI journal, in appreciation of the work done.
- Companion journal: Dietetics.
- Journal Cluster of Food, Nutrition, and Health Science: Beverages, Dietetics, Foods, Nutraceuticals, Nutrients and Obesities.
Impact Factor:
5.0 (2024);
5-Year Impact Factor:
6.0 (2024)
Latest Articles
Weight Bias Internalization Is Inversely Associated with Adherence to the Mediterranean Diet: The Greek Lifestyle and Obesity-Related Bias Survey
Nutrients 2026, 18(5), 866; https://doi.org/10.3390/nu18050866 (registering DOI) - 7 Mar 2026
Abstract
Background/Objectives: Internalized weight bias has been linked to adverse mental health outcomes and maladaptive eating-related behaviors. However, its relationship with habitual dietary intake and overall diet quality remains insufficiently explored. The objective of this study was to examine associations between internalized weight
[...] Read more.
Background/Objectives: Internalized weight bias has been linked to adverse mental health outcomes and maladaptive eating-related behaviors. However, its relationship with habitual dietary intake and overall diet quality remains insufficiently explored. The objective of this study was to examine associations between internalized weight bias and habitual energy intake, macronutrient composition, and adherence to the Mediterranean diet among adults with a history of overweight or obesity. Methods: In this web-based cross-sectional study, 484 adults with a history of excess body mass index completed validated assessments of internalized weight bias (Weight Bias Internalization Scale–Modified; WBIS-M) and usual dietary intake (69-item Food Frequency Questionnaire). Adherence to the Mediterranean diet (MeDi) was assessed via the MedDietScore. Multivariable analyses adjusted for several covariates were performed. Results: Higher levels of internalized weight bias were associated with lower adherence to the MeDi (Badj = −0.670, p = 0.025). Higher adherence to the MeDi was associated with reduced odds of being classified in the medium or the highest WBIS-M tertile, corresponding to an approximately 5% reduction per 1-unit increment in the MedDietScore. No associations were observed between internalized weight bias and total energy intake. At the macronutrient level, higher internalized weight bias was associated with higher saturated fat intake, independent of total energy intake. Conclusions: Internalized weight bias was associated with poorer habitual diet quality and unfavorable macronutrient profiles, independent of total energy intake. These findings suggest that internalized weight bias relates to qualitative differences in habitual food choices, highlighting the potential importance of addressing weight bias in efforts to improve diet quality among adults with overweight or obesity.
Full article
(This article belongs to the Special Issue Dietary Patterns, Food Choices, and Health Risk)
Open AccessArticle
Body Composition Attenuates the Association Between Serum 25-Hydroxyvitamin D and Bone Mineral Density in Early Postmenopausal Women
by
Raquel Domingo-Molina, Borja Sañudo, Sergio Tejero, Gonzalo Reverte-Pagola and Mª Ángeles Martínez-Maestre
Nutrients 2026, 18(5), 865; https://doi.org/10.3390/nu18050865 (registering DOI) - 7 Mar 2026
Abstract
Background/Objectives: Vitamin D plays a central role in calcium and bone homeostasis; however, evidence linking serum 25-hydroxyvitamin D (25(OH)D) to bone mineral density (BMD) in postmenopausal women remains inconsistent. Because body weight and lean mass strongly influence skeletal loading and may also
[...] Read more.
Background/Objectives: Vitamin D plays a central role in calcium and bone homeostasis; however, evidence linking serum 25-hydroxyvitamin D (25(OH)D) to bone mineral density (BMD) in postmenopausal women remains inconsistent. Because body weight and lean mass strongly influence skeletal loading and may also affect circulating 25(OH)D, we aimed to evaluate the association between serum 25(OH)D and bone outcomes in early postmenopausal women and to determine whether body composition attenuates this relationship. Methods: In this cross-sectional study, 120 women within 10 years after natural menopause (59.5 ± 6.3 years) were assessed. Serum 25(OH)D was measured by chemiluminescent immunoassay. Total body areal bone mineral density (total body aBMD, g/cm2) was assessed by DXA, and trabecular volumetric BMD and cortical thickness were obtained using 3D modeling. Associations were examined using Spearman correlations and multivariable linear and logistic regression models adjusted for age, body weight, lean mass, and years since menopause. Results: Median serum 25(OH)D was 23.7 ng/mL [16.7–30.4]. A modest correlation was observed between 25(OH)D and total body aBMD (ρ = 0.22, p = 0.016), but not with trabecular volumetric BMD or cortical thickness. After adjustment, 25(OH)D was not independently associated with total body aBMD (p = 0.144), whereas body weight remained significantly associated (β = 0.27, p = 0.002). In logistic models, body weight (OR = 0.93, 95% CI 0.90–0.96) and lean mass (OR = 0.97, 95% CI 0.95–0.99) were protective against low BMD, while the association with 25(OH)D was modest. Conclusions: In early postmenopause, the association between serum 25(OH)D and BMD is modest and largely attenuated after accounting for body composition. Body weight and lean mass appear to be stronger determinants of bone outcomes than vitamin D status.
Full article
(This article belongs to the Special Issue The Role of Vitamin D in Endocrine Diseases: Pathophysiology and Treatment)
►▼
Show Figures

Figure 1
Open AccessArticle
Association of Dietary Acid Load with Metabolic Syndrome-Related Parameters Following Eating Habit Modification in Korean Adults
by
Ye Jin Kim, Chaerin Kim, Jihyun Park, Miok Choi, Won Suk An and Oh Yoen Kim
Nutrients 2026, 18(5), 864; https://doi.org/10.3390/nu18050864 (registering DOI) - 7 Mar 2026
Abstract
Background/Objectives: This study examined the association between dietary acid load (DAL) and metabolic syndrome (MetS)-related parameters in Korean adults undergoing eating habit modification. Methods: Forty-eight Korean adults (≥19 years) with at least one MetS risk factor were recruited via public advertisement. Anthropometric and
[...] Read more.
Background/Objectives: This study examined the association between dietary acid load (DAL) and metabolic syndrome (MetS)-related parameters in Korean adults undergoing eating habit modification. Methods: Forty-eight Korean adults (≥19 years) with at least one MetS risk factor were recruited via public advertisement. Anthropometric and biochemical parameters, Nutrition Quotient (NQ) scores, and nutrient intake were assessed. The DAL was calculated and expressed as the potential renal acid load (PRAL) and the net endogenous acid production (NEAP). Results: Forty participants completed the 8-week intervention. Overall improvements were observed in total and domain-specific NQ scores, along with improvements in body composition, blood pressure, and glycemic parameters. Among all participants, the mean DAL scores did not change significantly after FDR correction, although the NEAP showed a modest non-significant decrease. Baseline PRAL and NEAP values did not differ between participants with and without MetS risk improvement. At weeks 4 and 8, DAL indices tended to decrease in the improved group and increase in the non-improved group, with a significant between-group difference observed only for the 8-week change in NEAP after FDR correction. While no significant associations were detected at baseline after FDR adjustment, cross-sectional associations between DAL indices and adiposity-related parameters were observed at week 8, particularly when DAL was expressed as NEAP. However, change-to-change analyses did not remain significant after FDR correction. Conclusions: In this exploratory study, DAL levels, especially NEAP, were associated with anthropometric and metabolic status at week 8; however, the absence of significant change-to-change correlations limits causal interpretation. Larger randomized controlled trials are needed to determine whether modification of DAL independently contributes to metabolic improvement (Trial registration number: KCT0011528).
Full article
(This article belongs to the Special Issue Associations of Diet and Body Composition with the Risk of Cardiovascular Disease)
Open AccessReview
Mechanistic Modulation of Autophagy by Bioactive Natural Products: Implications for Human Aging and Longevity
by
Maroua Jalouli, Abdel Halim Harrath, Mohammed Al-Zharani and Md Ataur Rahman
Nutrients 2026, 18(5), 863; https://doi.org/10.3390/nu18050863 (registering DOI) - 7 Mar 2026
Abstract
Autophagy is an evolutionarily preserved intracellular degradation process pivotal in maintaining proteostasis, mitochondrial homeostasis, and metabolic equilibrium, all of which are dysregulated with aging. Aberrant autophagy has been recognized as a hallmark of human aging and age-related diseases, including neurodegeneration, metabolic dysfunction, cardiovascular
[...] Read more.
Autophagy is an evolutionarily preserved intracellular degradation process pivotal in maintaining proteostasis, mitochondrial homeostasis, and metabolic equilibrium, all of which are dysregulated with aging. Aberrant autophagy has been recognized as a hallmark of human aging and age-related diseases, including neurodegeneration, metabolic dysfunction, cardiovascular diseases, and cancer. Bioactive natural compounds derived from plants, foods, and marine organisms have emerged as potent modulators of autophagy, offering a promising strategy to counteract aging and promote healthy lifespan. Mechanistically, these compounds regulate autophagy by modulating key signaling pathways, such as AMPK, PI3K/AKT/mTOR, SIRT1, and FOXO, while also alleviating oxidative stress, inflammation, and mitochondrial dysfunction. Natural compounds like polyphenols, flavonoids, alkaloids, terpenoids, and carotenoids exhibit dual roles by restoring age-related suppressed autophagic flux and inhibiting excessive autophagy-induced cell death. In this review, we provide a comprehensive overview of the molecular mechanisms through which bioactive natural compounds modulate autophagy and impact human aging and longevity. We discuss both experimental and clinical evidence supporting their geroprotective effects, limitations regarding bioavailability and dose-dependent effects, and prospects for the utilization of autophagy-targeting natural products in aging intervention strategies.
Full article
(This article belongs to the Special Issue Natural Bioactives in the Arsenal Against Neurological and Neurodegenerative Disorders Towards Healthy Ageing)
►▼
Show Figures

Figure 1
Open AccessArticle
Age-Related Olfactory and Cognitive Decline: Potential Effects of Rosmarinus officinalis and Carum carvi Essential Oils
by
Antonella Rosa, Alessandra Piras, Silva Porcedda, Paolo Solari, Ilenia Pinna and Carla Masala
Nutrients 2026, 18(5), 862; https://doi.org/10.3390/nu18050862 (registering DOI) - 7 Mar 2026
Abstract
Background: Aging is characterized by a decrease in olfactory, attentional, memory, language, and visuospatial/executive abilities. In this context, our study aimed to evaluate the potential effects of Rosmarinus officinalis L. (rosemary) and Carum carvi L. (caraway) essential oils (EOs) on aging. First, we
[...] Read more.
Background: Aging is characterized by a decrease in olfactory, attentional, memory, language, and visuospatial/executive abilities. In this context, our study aimed to evaluate the potential effects of Rosmarinus officinalis L. (rosemary) and Carum carvi L. (caraway) essential oils (EOs) on aging. First, we assessed, in 402 participants, the age-related changes in olfactory functions (odor threshold, discrimination, and identification), gustatory perceptions (sweet, sour, salty, and bitter taste), cognitive functions (focusing on attention, memory, language, and visuospatial/executive functions), and their possible correlations with aging. To achieve this, olfactory function, gustatory perception, and cognitive abilities were evaluated in healthy participants across different age groups. Then, to evaluate the age-related decrease in trigeminal function (59 participants), we used rosemary and caraway EOs that contain carvone, limonene, and 1,8-cineole, all of which are considered typical trigeminal stimuli. Methods: Olfactory function was assessed with the Sniffin’ Sticks test, gustatory function by the Taste Strips test, and rosemary and caraway EOs by the ratings of odor pleasantness, intensity, and familiarity using a labeled hedonic Likert-type scale. Results: Olfactory function could be a potential early indicator of attentional, memory, language, and visuospatial/executive dysfunctions. Our data indicated that rosemary and caraway EOs were perceived without any significant decrease in odor pleasantness, intensity, and familiarity ratings in relation to aging. Conclusion: Our results suggest the potential bioactive effects of rosemary and caraway natural EOs as a new strategy to promote healthy aging.
Full article
(This article belongs to the Special Issue The Effect of Natural Extracts on Aging and Neurodegenerative Diseases)
►▼
Show Figures

Figure 1
Open AccessArticle
Exploratory Analysis of Association of Nightly Fasting and Sleep Durations with Colorectal Cancer Risk in Chinese Community-Dwelling Older Adults: A Cross-Sectional Study
by
Peiqi Huang, Boyan Zeng, Sicheng Li, Ke Zhang, Chunhao Li, Yingru Liang, Bingyu Liuzhang, Xiaoli Wu, Shaohua Xie, Yan Li and Bo Zhang
Nutrients 2026, 18(5), 861; https://doi.org/10.3390/nu18050861 (registering DOI) - 7 Mar 2026
Abstract
Objectives: Disruptions in circadian-related behaviors are emerging as potential risk factors for gastrointestinal cancers. This study investigated the independent and joint associations of nightly fasting duration and sleep duration with the risk of colorectal cancer (CRC) among community-dwelling Chinese older adults. Methods: Participants
[...] Read more.
Objectives: Disruptions in circadian-related behaviors are emerging as potential risk factors for gastrointestinal cancers. This study investigated the independent and joint associations of nightly fasting duration and sleep duration with the risk of colorectal cancer (CRC) among community-dwelling Chinese older adults. Methods: Participants were drawn from the Guangzhou CRC Screening Program, which used a questionnaire-based investigation, two separate fecal occult blood tests (FOBTs) for risk evaluation, and colonoscopy for high-risk individuals. Of the 347,297 people initially screened, 197,507 individuals were finally included after excluding 100,930 cases with missing eating/sleeping data or unknown/benign lesions via colonoscopy. Among the final sample, 351 CRC cases and 1384 precancerous lesions were diagnosed, while 195,772 individuals had negative results. Habitual times for dinner, breakfast, bedtime, and wake-up were used to define nightly fasting duration (dinner-to-breakfast) and nightly sleep duration (bedtime-to-wake). Multivariable logistic regression, subgroup analyses, and sensitivity analyses were performed to evaluate the associations. Results: In the fully adjusted models, each 1-h increment in nightly fasting duration was associated with a 9.5% (95% CI 1.039–1.153) higher risk of CRC, and the direct association was limited to individuals over 60 years (OR = 1.147, 95% CI 1.073–1.226), while each 1-h increment in nightly sleep duration was associated with a 15.2% (95% CI 0.806–0.893) lower risk of CRC. Consistently, earlier dinner, later breakfast and later bedtime were also associated with a higher CRC risk. Conclusions: In Guangzhou older residents, long nightly fasting duration was a risk factor for CRC, especially among individuals over 60 years old; while long nightly sleep duration was protective. These findings suggest that maintaining adequate sleep and optimizing the nightly fasting window may be viable lifestyle strategies for CRC prevention, emphasizing the need for tailored preventive measures for different age groups.
Full article
(This article belongs to the Section Geriatric Nutrition)
►▼
Show Figures

Figure 1
Open AccessArticle
Long-Term Beetroot Extract Supplementation Improves Morphological Muscle Quality and Rate of Force Development in Postmenopausal Women: A Randomized Clinical Trial
by
Olavo João Frederico Ramos Junior, Carlos Alberto de Souza Filho, Shaheen Majeed and Thiago Silveira Alvares
Nutrients 2026, 18(5), 860; https://doi.org/10.3390/nu18050860 (registering DOI) - 7 Mar 2026
Abstract
Background: Low estrogen levels during menopause reduce nitric oxide (NO) production, contributing to decline in skeletal muscle quality and function. Although acute and short-term dietary nitrate supplementation has demonstrated promising effects, long-term benefits, particularly on muscle quality in postmenopausal women, are not well
[...] Read more.
Background: Low estrogen levels during menopause reduce nitric oxide (NO) production, contributing to decline in skeletal muscle quality and function. Although acute and short-term dietary nitrate supplementation has demonstrated promising effects, long-term benefits, particularly on muscle quality in postmenopausal women, are not well established. Objectives: The objective was to investigate the effects of long-term (12-week) nitrate-rich beetroot extract supplementation on morphological and functional muscle quality, rate of force development (RFD), maximal strength, and circulating nitrate/nitrite concentrations in postmenopausal women. Methods: In a randomized, double-blind, placebo-controlled design, 20 postmenopausal women (21 years ± 7 since menopause) consumed 20 g/day of a nitrate-rich beetroot extract (BET; 548 mg nitrate/day) or a nitrate-depleted beetroot extract (PLA; 43 mg nitrate/day) for 12 weeks. Outcome measures, including muscle quality (functional via muscle strength/thickness ratio; morphological via ultrasound echo intensity), RFD, maximal voluntary isometric contraction (MVIC), and serum nitrate/nitrite levels, were evaluated at baseline, 8 weeks, and 12 weeks. Results: BET significantly increased serum nitrate (0.005) and nitrite (0.022) levels compared to PLA at both week 8 and week 12. Morphological muscle quality also improved significantly in the BET group (interaction effect, p = 0.014). Early-phase rate of force development (RFD) increased between 30 and 100 ms, whereas late-phase RFD increased between 100 and 200 ms. RFDpeak also improved by week 8, and these gains were maintained through week 12 (interaction effect, p < 0.05). Although there was no significant difference between groups for functional muscle quality, MVIC increased at week 12 in the BET group, but no significant Time × Group interaction was observed. Conclusions: Twelve weeks of nitrate-rich beetroot extract supplementation improved morphological muscle quality and RFD, suggesting potential clinical relevance for preventing structural and neuromuscular function decline in postmenopausal women. This study was registered with ReBEC (RBR-87qh649) and approved on 8 October 2024.
Full article
(This article belongs to the Special Issue Nutritional Strategy for Women’s Muscular and Skeletal Health)
►▼
Show Figures

Figure 1
Open AccessArticle
Small Intestinal Bacterial Overgrowth and Systemic Laboratory Parameters: A Multivariable Cross-Sectional Analysis
by
Monika Waśkow, Krzysztof S. Malinowski, Magdalena Tańska, Sebastian Glowinski and Magdalena Wszędybył-Winklewska
Nutrients 2026, 18(5), 859; https://doi.org/10.3390/nu18050859 - 6 Mar 2026
Abstract
Background: Small intestinal bacterial overgrowth (SIBO) has been linked to systemic inflammation and vitamin D deficiency, but its independent clinical relevance remains uncertain. Methods: In this cross-sectional study, 162 adults undergoing hydrogen breath testing were evaluated. Serum 25-hydroxyvitamin D [25(OH)D], leukocyte count, red
[...] Read more.
Background: Small intestinal bacterial overgrowth (SIBO) has been linked to systemic inflammation and vitamin D deficiency, but its independent clinical relevance remains uncertain. Methods: In this cross-sectional study, 162 adults undergoing hydrogen breath testing were evaluated. Serum 25-hydroxyvitamin D [25(OH)D], leukocyte count, red blood cell distribution width—standard deviation (RDW-SD), and C-reactive protein were analyzed. Associations were assessed using unadjusted comparisons and multivariable regression models adjusted for age, sex, and BMI. Hydrogen increment was additionally examined as a continuous variable. Results: In unadjusted analyses, SIBO-positive individuals had lower 25(OH)D levels and higher leukocyte counts. However, after adjustment for age, sex, and BMI, SIBO status was not independently associated with 25(OH)D, leukocyte count, or RDW-SD. BMI was independently associated with leukocyte count, and age with RDW-SD. Hydrogen increment was not correlated with laboratory parameters. Conclusions: SIBO was not independently associated with vitamin D status or systemic hematological markers. Host-related factors, particularly BMI and age, appeared to have a greater influence on laboratory variability than SIBO.
Full article
(This article belongs to the Section Nutritional Immunology)
Open AccessArticle
Culinary Nutrition Programming for Members of a Community-Based Cancer Program
by
Billie Jane C. Hermosura, Meaghan E. Kavanagh, Jaime Slavin, David J. A. Jenkins and Amy Symington
Nutrients 2026, 18(5), 858; https://doi.org/10.3390/nu18050858 - 6 Mar 2026
Abstract
(1) Background: Nutrition research in cancer care has largely focused on disease prevention and management, overlooking the importance of food literacy. Culinary cancer care programs may address this gap by facilitating the practical application of nutrition through culinary skills, fostering social connections over
[...] Read more.
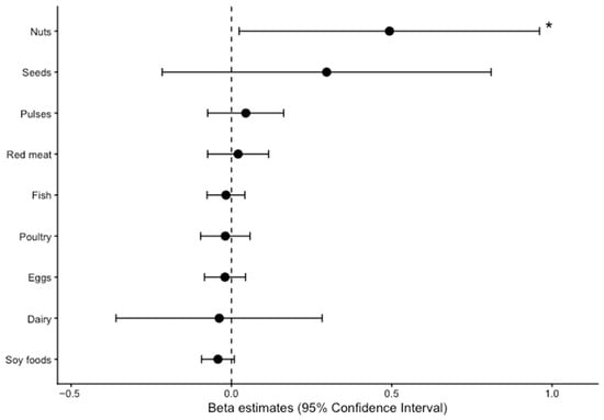
(1) Background: Nutrition research in cancer care has largely focused on disease prevention and management, overlooking the importance of food literacy. Culinary cancer care programs may address this gap by facilitating the practical application of nutrition through culinary skills, fostering social connections over nutrient-dense meals, and supporting individuals during periods of physical and social vulnerability. The Not-Just-Supper Club (NJSC) at Gilda’s Club Toronto (GT) is a community-based culinary cancer care program delivering evidence-based, plant-forward meals. The objectives of this study were to examine how NJSC supports its members and to provide recommendations to inform future models of culinary cancer care programs. (2) Methods: An explanatory sequential mixed methods design was used. Participants completed a modified food frequency questionnaire (FFQ) assessing major protein food groups since joining NJSC. Semi-structured interviews explored perceived dietary changes, food literacy, and social engagement. Associations between duration of participation and protein food intake were examined using multivariable-adjusted linear regression models. Interview field notes and transcripts were coded in NVivo 12 and thematically analyzed. (3) Results: Among 41 participants, 36 (88%) were female and 17 (41%) were of White ethnicity. A total of 38 (93%) participants reported that NJSC had a positive impact on their lives, and 27 (66%) reported positive changes in eating habits. In multivariable-adjusted analyses, longer participation in NJSC was associated with higher nut consumption (β = 0.49 servings/day per year; 95% CI, 0.02–0.96). Interviews were completed by 40 participants. Seven themes described program support across psychosocial domains (social network; social support; emotional support and mental health; impact on health) and practical nutritional domains (improved food literacy and skills; food decisions; inclusion of plant-based foods). Participants described applying program knowledge at home and perceived improvements in well-being and cancer-related symptoms. (4) Conclusions: NJSC was perceived by members as beneficial across psychosocial and nutritional domains and supported food literacy and plant-forward dietary choices. These findings contribute to our understanding of how culinary cancer care programs can complement existing cancer support services and provide insights for designing future programs for cancer survivors and their support networks.
Full article
(This article belongs to the Special Issue Health Challenges in Cancer Survivorship: Personalized Dietary Strategies, Exercise and Behavioral Intervention)
►▼
Show Figures

Figure 1
Open AccessArticle
Assessment of the Predictive Potential of Pediatric Relative Fat Mass Compared to Alternative Measures of Obesity for Cardiorespiratory Fitness in Children: Longitudinal Associations During Two-Year Follow-Up
by
Maria Zadarko-Domaradzka, Marek Sobolewski and Emilian Zadarko
Nutrients 2026, 18(5), 857; https://doi.org/10.3390/nu18050857 - 6 Mar 2026
Abstract
Background/Objectives: Relative Fat Mass (RFM) is an anthropometric index estimating whole-body fat percentage. Though RFM is analyzed in scientific articles in various contexts, the research on the association between RFM and cardiorespiratory fitness (CRF) level is extremely limited. The aim of this study
[...] Read more.
Background/Objectives: Relative Fat Mass (RFM) is an anthropometric index estimating whole-body fat percentage. Though RFM is analyzed in scientific articles in various contexts, the research on the association between RFM and cardiorespiratory fitness (CRF) level is extremely limited. The aim of this study was to investigate the prognostic value of the relative fat mass pediatric index (RFMp) in predicting CRF results over a two-year period among school-age children, in comparison with alternative indices. Methods: Based on data comprising student measurements collected previously, in the years 2017–2019, a multiple regression analysis was conducted. Predictive models for CRF were constructed over a two-year period, separately for each of the eight indicators associated with obesity assessment. The models were prepared for boys and for girls separately. Results: over 40% of girls and boys have a BMI above the norm. In the case of both girls and boys, RFMp turned out to be the best CRF predictor over a two-year period. It proved to be better in terms of its predictive power than body mass index (BMI), body fat percentage (%BF), waist circumference (WC), waist-to-height ratio (WHtR), waist-to-hip ratio (WHR), tri-ponderal mass index (TMI) and waist-BMI ratio. Conclusions: RFMp demonstrated a certain advantage in terms of predictive ability compared to alternative indicators. This indicates its potential for implementation in the general pediatric population and clinical practice for the prediction of CRF. However, this needs to be confirmed in further studies involving a larger and more diverse population.
Full article
(This article belongs to the Special Issue Health Promotion in School-Aged Children: Lifestyle Factors, Interventions, and Health Outcomes)
►▼
Show Figures

Graphical abstract
Open AccessArticle
Association of a Comprehensive Healthy Lifestyle Score with Risk of All-Cause, Cancer, and Cardiovascular Mortality: Evidence from an 18-Year Cohort Study
by
Dongmin Kim, Daeyun Kim, Hyunju Kim and Jihye Kim
Nutrients 2026, 18(5), 856; https://doi.org/10.3390/nu18050856 - 6 Mar 2026
Abstract
Background/Objectives: Comprehensive management of lifestyle factors is important for long-term survival. This study aims to examine whether a comprehensive healthy lifestyle score (HLS) incorporating overall diet assessment predicts all-cause, cancer, and cardiovascular mortality in Korean population. Methods: This prospective cohort study was conducted
[...] Read more.
Background/Objectives: Comprehensive management of lifestyle factors is important for long-term survival. This study aims to examine whether a comprehensive healthy lifestyle score (HLS) incorporating overall diet assessment predicts all-cause, cancer, and cardiovascular mortality in Korean population. Methods: This prospective cohort study was conducted among men and women (n = 111,633, 64.6% women) aged 40 to 85 years who participated in the Korean Genome and Epidemiology Study_Health Examinees (Mean age = 55.2, SD = 8.8). Participants completed a baseline questionnaire between 2004 and 2013 and were followed until December 2023. The HLS consisted of five components classified as healthy behaviors: never or former smoking; engaging in ≥30 min/day of moderate-to-vigorous physical activity on ≥5 days/week; alcohol intake ≤40 g/day for men and ≤20 g/day for women; a BMI of 18.5–24.9 kg/m2; and an unhealthful plant-based diet index (uPDI) in the bottom 40th percentile, which reflects overall diet quality and aligns with the traditional plant-rich dietary pattern of Koreans. Diet was assessed using data from baseline and the first follow-up, while the remaining components were measured at baseline only. Cox proportional hazards models were applied to evaluate multivariable-adjusted associations between the HLS and all-cause, cancer, and cardiovascular mortality. Results: During 1,538,490 person-years of follow-up, 5246 all-cause deaths, 2362 cancer deaths, and 815 cardiovascular deaths were documented. Compared with the lowest HLS category, men with the highest HLS had lower risks of all-cause (HR: 0.65, 95% CI: 0.53–0.80), cancer (HR: 0.62, 95% CI: 0.46–0.85), and cardiovascular mortality (HR: 0.34, 95% CI: 0.17–0.66). Among women, the corresponding HRs were 0.38 (95% CI: 0.26–0.55), 0.52 (95% CI: 0.29–0.90), and 0.30 (95% CI: 0.11–0.84), respectively. The inverse association was stronger in older adults (≥55 years) than in younger adults. All five individual lifestyle components, including diet (quintile 5 vs. quintile 1 of uPDI: HR 0.74, 95% CI: 0.66–0.83 in men; HR 0.67, 95% CI: 0.58–0.76 in women), were significantly associated with a lower risk of all-cause mortality. However, when smoking was excluded from the HLS, the inverse association was attenuated, particularly among men. Conclusions: Greater adherence to a healthy lifestyle score was strongly associated with reduced risks of all-cause, cancer, and cardiovascular mortality. These findings underscore the importance of promoting integrated, multi-behavior lifestyle interventions, especially smoking cessation, to reduce premature mortality.
Full article
(This article belongs to the Section Nutritional Epidemiology)
►▼
Show Figures

Figure 1
Open AccessArticle
A Randomized Controlled Trial to Determine the Effects of Curcumin and Epigallocatechin-3-Gallate Supplementation on Serum Brain-Derived Neurotrophic Factor and Mood Disturbance in Adults
by
Aidan M. Cavanah, Laura A. Delvers, Madison M. Aguilar, Elaine F. Molaison, Michael W. Greene, Michael D. Roberts and Andrew D. Fruge
Nutrients 2026, 18(5), 855; https://doi.org/10.3390/nu18050855 - 6 Mar 2026
Abstract
Background/Objectives: Mood disorders like depression, anxiety, and stress have increased steadily among adults, with growing interest in non-pharmaceutical treatments to improve symptomology. Epigallocatechin-3-gallate (EGCG) and curcumin are polyphenols with evidence to support their positive impacts on mood disorder symptomology and potential mood-associated
[...] Read more.
Background/Objectives: Mood disorders like depression, anxiety, and stress have increased steadily among adults, with growing interest in non-pharmaceutical treatments to improve symptomology. Epigallocatechin-3-gallate (EGCG) and curcumin are polyphenols with evidence to support their positive impacts on mood disorder symptomology and potential mood-associated biomarkers like brain-derived neurotrophic factor (BDNF). This study examined the effects of combined EGCG and curcumin supplementation on mood disturbance symptomology and serum brain-derived neurotrophic factor in adults. Methods: An 8-week randomized double-blinded placebo-controlled trial was conducted in adults (n = 64, 18–50 years old). Participants were randomized to a supplement group (n = 32; 350 mg EGCG and 1330 mg curcumin daily) or a matched placebo group (n = 32). Mood disturbance (DASS-21, GAD-7), sleep disturbance (GSAQ), and physical activity (IPAQ) were assessed at baseline, Week 4, and Week 8. Anthropometric measures, 24 h diet recalls, and fasted blood samples for serum BDNF were collected at baseline and Week 8. A multivariate ANOVA evaluated primary outcomes (DASS-21 composite score and BDNF), followed by repeated measures ANOVA for secondary outcomes (p < 0.05). Results: Significant improvements were observed across all participants for mood (DASS-21 composite and subscales, GAD-7, p < 0.001 for all), sleep (p < 0.001), and physical activity (p < 0.01), with no significant difference between supplement and placebo groups. Mean serum BDNF increased in both groups, but neither were statistically significant with no group-by-time interactions. Sugar intake (g/kg body weight) was positively correlated with mood symptoms at Week 8 in the supplement group. Baseline fruit and vegetable intake was associated with mood symptom severity at select time points; however, dietary changes during the intervention were not significantly related to changes in mood outcomes. Conclusions: Combined EGCG and curcumin supplementation did not show additional benefits beyond placebo for mood disturbance or serum BDNF over eight weeks. Observed improvements across both groups suggest that behavioral or lifestyle factors may play a larger role in short-term mood improvements than supplementation alone.
Full article
(This article belongs to the Section Phytochemicals and Human Health)
►▼
Show Figures

Figure 1
Open AccessArticle
Awareness, Understanding, and Use of Nutrition Labels on Pre-Packaged Foods and Their Associations with Noncommunicable Diseases Among Adults in Shanghai, China
by
Wei Zhou, Jingyi Si, Yifan Gao, Weiwei Zheng, Ruifen Li, Changfeng Zhu, Xue Han, Jiajie Zang and Zhengyuan Wang
Nutrients 2026, 18(5), 854; https://doi.org/10.3390/nu18050854 - 6 Mar 2026
Abstract
Background: Noncommunicable diseases (NCDs) are a major global public health challenge and can be prevented and managed through a balanced, nutrient-rich diet. Food nutrition labels play an important role in guiding healthier choices, particularly for individuals at risk of chronic health conditions.
[...] Read more.
Background: Noncommunicable diseases (NCDs) are a major global public health challenge and can be prevented and managed through a balanced, nutrient-rich diet. Food nutrition labels play an important role in guiding healthier choices, particularly for individuals at risk of chronic health conditions. This study assessed awareness, understanding and use of nutrition labels among adults in Shanghai, China, and explored their associations with NCDs. Methods: A face-to-face structured questionnaire survey was conducted among 1503 adults in 2024. Data were collected on sociodemographic characteristics, self-reported chronic conditions (obesity, diabetes, hypertension, hyperlipidemia, hypercholesterolemia, cardiovascular and cerebrovascular diseases (CCVDs), and fatty liver disease), and awareness, understanding, and use of nutrition labels. Generalized linear regression models were applied to assess associations between label-related behaviors and chronic conditions. Results: Overall, 81.6% of participants were aware of labels, 15.0% reported understanding them, and 35.5% reported using them. Participants who were underweight or obese were less likely to be aware of labels compared to those with normal weight (73.8% and 72.9% vs. 83.5%). Individuals with fatty liver disease were less likely to understand labels compared to those without the condition (7.2% vs. 16.1%). Conversely, participants with three or more chronic conditions were more likely to use labels than those without any chronic conditions (46.1% vs. 34.4%). Conclusions: Among adults in Shanghai, nutrition label awareness was relatively high, while understanding and use of labels remained insufficient. Targeted nutrition education and the integration of nutrition labeling into chronic disease management strategies are needed to improve public health outcomes.
Full article
(This article belongs to the Special Issue Food Packaging and Nutrition Labelling for Human Health)
►▼
Show Figures

Figure 1
Open AccessArticle
Prevalence of Emotional Eating and Its Relationship with Anthropometric and Biochemical Indicators in University Students
by
Adriana Aguilar-Galarza, Miriam Hernández-Meza, Karla Carmina Rojas-Saavedra, Karina de la Torre-Carbot, Cristina Elizabeth Fuente-González and Jorge Luis Chávez-Servín
Nutrients 2026, 18(5), 853; https://doi.org/10.3390/nu18050853 - 6 Mar 2026
Abstract
Background/Objectives: Emotional eating is a behavioral pattern in which individuals increase food intake in response to emotional states rather than physiological hunger. University students are particularly vulnerable due to academic stress, lifestyle changes, and a food environment dominated by highly palatable options.
[...] Read more.
Background/Objectives: Emotional eating is a behavioral pattern in which individuals increase food intake in response to emotional states rather than physiological hunger. University students are particularly vulnerable due to academic stress, lifestyle changes, and a food environment dominated by highly palatable options. Although emotional eating has been associated with adiposity and metabolic alterations, evidence in Mexican university populations remains limited. This study aimed to estimate the prevalence of emotional eating and to examine its association with anthropometric and biochemical indicators in students from the Universidad Autónoma de Querétaro (UAQ). Methods: A cross-sectional study was conducted among 670 first-year university students participating in the SU SALUD-UAQ clinical evaluation. Emotional eating was assessed using the 10-item Emotional Eater Questionnaire (EEQ). Anthropometric measures (body mass index BMI, body fat percentage, and waist circumference) and biochemical markers (triglycerides, total cholesterol, HDL cholesterol, and glucose) were obtained through standardized clinical procedures. Associations were evaluated using multivariable linear and logistic regression models adjusted for sex, age, physical activity level, sleep duration, stress, and socioeconomic status. Results: The prevalence of emotional eating categories was as follows: non-emotional (33.5%), low emotional (31.1%), emotional (27.6%), and highly emotional (7.8%). Higher EEQ scores were independently associated with greater BMI, body fat percentage, and waist circumference in both sexes. In women, emotional eating was also independently associated with less favorable lipid profiles. In addition, students classified as emotional or highly emotional eaters showed higher odds of general and abdominal obesity, particularly among women. Conclusions: Emotional eating is highly prevalent among Mexican university students and is independently associated with increased adiposity in both sexes and with altered lipid profiles in women. These findings highlight the relevance of integrating emotional regulation strategies into university health programs as a component of comprehensive health promotion approaches aimed at addressing emotional eating and its associated anthropometric and metabolic correlates in young adults.
Full article
(This article belongs to the Section Clinical Nutrition)
►▼
Show Figures

Figure 1
Open AccessArticle
Food Insecurity in Individuals with Eating Disorders: A UK-Wide Survey of Impact, Help-Seeking, and Suggestions for Guidance
by
Callum Bryson, Jessica Wilkins, Başak İnce, Amelia Hemmings, Carina Kuehne, Daire Douglas, Matthew Phillips, Helen Sharpe and Ulrike Schmidt
Nutrients 2026, 18(5), 852; https://doi.org/10.3390/nu18050852 - 6 Mar 2026
Abstract
Background/Objectives: Food insecurity (FI) is significant and increasing in the UK’s general population. Previous research has linked FI to disordered eating and obesity, yet most of this research is conducted in non-clinical populations in the USA. As such, little is known about
[...] Read more.
Background/Objectives: Food insecurity (FI) is significant and increasing in the UK’s general population. Previous research has linked FI to disordered eating and obesity, yet most of this research is conducted in non-clinical populations in the USA. As such, little is known about the perspectives of people with current or past eating disorders (PwEDs) on the effects of FI on their eating disorder symptoms and treatment in the UK. The current study explores these effects, as well as PwEDs’ experiences of help-seeking for food insecurity and their suggestions for clinical guidance. Methods: Data were collected via an online survey (n = 337) which included both open-ended and fixed response questions. A mixed methods approach was used for analysis, with a thematic analysis being used for qualitative data. Results: Recent FI was related to higher frequency of food restriction and less comfort discussing FI in clinical contexts. Additionally, participants reported that FI exacerbated symptoms and worsened recovery efforts. Help-seeking was generally low among participants. Shame was a barrier for help-seeking, and suggestions for guidance included adaptations to screening and treatment, improving clinician knowledge, and providing practical solutions to alleviate FI. Conclusions: FI is a serious public health issue in the UK that has large ramifications for eating disorder maintenance and recovery. Guidance is needed to address FI in clinical practice and reduce shame around FI. Ultimately, however, FI is a systemic issue that will require policy change to be eliminated.
Full article
(This article belongs to the Special Issue Eating and Mental Health Disorders)
►▼
Show Figures

Figure 1
Open AccessArticle
Green Tea Catechin Plus Inulin Improves Insulin Resistance Without Reducing Visceral Fat and Shows Exploratory Gut Microbiota Signals in Adults with Visceral Obesity: A Double-Blind Randomized Controlled Trial
by
Chikara Iino, Keita Mikami, Keisuke Furusawa, Satoshi Sato, Kenta Yoshida, Tohru Yamaguchi, Hiroto Bushita, Keita Kinoshita, Yuji Matsui, Seiya Imoto, Takuro Iwane, Yoshinori Tamada, Koichi Murashita, Shigeyuki Nakaji, Tatsuya Mikami and Hirotake Sakuraba
Nutrients 2026, 18(5), 851; https://doi.org/10.3390/nu18050851 - 6 Mar 2026
Abstract
Background: Green tea catechins and inulin may improve metabolic health and modulate the gut microbiota; however, double-blind trials evaluating visceral fat, insulin resistance, and microbiota concurrently are limited. Methods: We conducted a double-blind, parallel-group, randomized, placebo-controlled trial in Japanese adults aged 20–75 years
[...] Read more.
Background: Green tea catechins and inulin may improve metabolic health and modulate the gut microbiota; however, double-blind trials evaluating visceral fat, insulin resistance, and microbiota concurrently are limited. Methods: We conducted a double-blind, parallel-group, randomized, placebo-controlled trial in Japanese adults aged 20–75 years with visceral fat area (VFA) ≥ 80 cm2 and BMI ≥ 23 kg/m2 (trial registration: Japan Registry of Clinical Trials (jRCT), jRCTs021230004 (registered 16 May 2023)). Participants were randomized to a catechin + inulin beverage (catechins 400 mg/day; inulin 2.3 g/day) or placebo for 12 weeks. The primary outcome was the change in VFA (bioelectrical impedance). Secondary outcomes included HOMA-IR, metabolic markers, liver fat assessed by the controlled attenuation parameter (CAP), and genus-level gut microbiota. Results: Ninety-six participants were randomized (catechin + inulin, n = 49; placebo, n = 47); 47 and 44, respectively, were included in the full analysis set for the primary outcome. The 12-week change in VFA did not differ between groups (mean change: +0.91 vs. +4.61 cm2; p = 0.243). HOMA-IR decreased in the catechin + inulin group and increased in the placebo group, yielding a significant between-group difference (mean change: −0.32 vs. +0.18; p = 0.020). No other secondary outcomes showed significant between-group differences. In exploratory microbiota analyses, no genus remained significant after false discovery rate correction; however, Coprococcus and Bifidobacterium showed nominal between-group differences (unadjusted p < 0.05). Changes in Coprococcus were inversely correlated with changes in HOMA-IR (r = −0.28; p = 0.010). Conclusions: Catechin plus inulin for 12 weeks did not reduce visceral fat but was associated with improved insulin resistance. Exploratory analyses suggest a potential association between increased Coprococcus and improved HOMA-IR, warranting further investigation.
Full article
(This article belongs to the Special Issue Dietary Interventions for Obesity and Obesity-Related Complications)
►▼
Show Figures

Figure 1
Open AccessArticle
Association Between Cellular Hydration Patterns and Hydroelectrolytic Regulation with Muscle Strength in Older Adults
by
Isabel Lorenzo, Mateu Serra-Prat, Esther Mur-Gimeno, Lluis Guirao and Juan Carlos Yébenes
Nutrients 2026, 18(5), 850; https://doi.org/10.3390/nu18050850 - 5 Mar 2026
Abstract
Introduction: Muscle function is influenced by hydroelectrolytic mechanisms that regulate cellular volume beyond isolated plasma electrolyte concentrations. However, the role of integrated hydration and electrolyte regulation profiles in muscle function among older adults remains insufficiently understood. Objective: To identify which physiological
[...] Read more.
Introduction: Muscle function is influenced by hydroelectrolytic mechanisms that regulate cellular volume beyond isolated plasma electrolyte concentrations. However, the role of integrated hydration and electrolyte regulation profiles in muscle function among older adults remains insufficiently understood. Objective: To identify which physiological domains of hydroelectrolytic regulation are most strongly associated with muscle strength and functional performance in community-dwelling older adults. Methods: A cross-sectional study was conducted in 96 community-dwelling individuals aged ≥ 70 years. Markers of cellular hydration and membrane integrity were assessed using bioelectrical impedance analysis, together with first-morning fasting plasma and urinary sodium and chloride concentrations. Principal component analysis (PCA) was applied as a data-driven approach to identify latent domains of coordinated hydroelectrolytic regulation. Associations between component scores and handgrip strength and Timed Up and Go (TUG) were examined using two sequential multivariable regression models: Model 1 adjusted for sex and fat-free mass index (FFMI); Model 2 additionally adjusted for age, hypertension, and diuretic use. Results: Three principal components were retained, explaining 77.5% of total variance: PC1 (renal–cellular domain), PC2 (plasma electrolyte domain), and PC3 (cellular volume domain). For handgrip strength, Model 1 showed significant associations for PC3 (β = 0.152; p = 0.025) and PC1 (β = 0.180; p = 0.050). In Model 2, only PC3 remained independently associated (β = 0.146; p = 0.036). For TUG, Model 1 showed associations for PC1 (β = −0.262; p = 0.049) and PC3 (β = −0.238; p = 0.015). In Model 2, PC1 (β = −0.308; p = 0.019) and PC2 (β = −0.190; p = 0.046) remained independently associated, whereas PC3 was not. Conclusions: Maximal force production appears primarily associated with cellular volume regulation, whereas functional performance reflects broader multi-compartmental hydroelectrolytic integration involving renal and plasma domains. These findings suggest that multidimensional hydration profiling may complement isolated biochemical markers in the functional assessment of older adults, warranting validation in longitudinal studies.
Full article
Open AccessArticle
Sex-Specific Fifteen-Year Alcohol Consumption Trajectories and Their Association with Cardiovascular Events and Mortality: The Framingham Heart Study
by
Yuanming Leng, Huitong Ding, Yi Li, Xue Liu, Mengyao Wang, Yumeng Cao, Chenglin Lyu, Daniel Levy, Jiantao Ma and Chunyu Liu
Nutrients 2026, 18(5), 849; https://doi.org/10.3390/nu18050849 - 5 Mar 2026
Abstract
Background: Alcohol use patterns influence health outcomes. This study examined sex-specific drinking trajectories and their associations with all-cause mortality and coronary heart disease (CHD) in the US-based Framingham Heart Study. Method: Among 6570 participants (mean age: 55 ± 13; 55% women)
[...] Read more.
Background: Alcohol use patterns influence health outcomes. This study examined sex-specific drinking trajectories and their associations with all-cause mortality and coronary heart disease (CHD) in the US-based Framingham Heart Study. Method: Among 6570 participants (mean age: 55 ± 13; 55% women) followed for 15 years, a growth mixture model identified four sex-specific alcohol consumption trajectories. Cox models examined associations of alcohol trajectories with CHD and mortality over 10 years of follow-up, adjusting for covariates. Results: This study identified four distinct, sex-specific alcohol consumption trajectories: the Moderate-Decreasing group (1179 women, 0–14 g/day; 1534 men, 0–28 g/day) showed a declining moderate intake, The Low-to-None group included light or non-drinkers (992 women, 826 men), the Inverse-U group (606 women, 199 men) showed variable intake over time, while the High-Decreasing group (858 women, 376 men) had high initial consumption (women > 14 and men > 28 g/day) that declined over time. Compared with the Moderate-Decreasing group, women in other groups had higher CHD risks (HRs 1.58–1.61) and greater mortality risk in the Low-to-None (HR 1.25) and Inverse-U (HR 1.28) groups. Men in Low-to-None had higher mortality (HR 1.17) and CHD (HR 1.60), while High-Decreasing showed the highest mortality (HR 1.27). Low-to-moderate drinking was associated with lower mortality and CHD risks; however, these findings do not confirm the protective effects of alcohol use. Discussion: Our findings suggest that sustained low to moderate drinking was associated with lower risks of mortality and CHD in both women and men, compared to high-level or fluctuating patterns. Although these associations may not confirm causality, our findings emphasize the importance of investigating long-term drinking patterns in public health. Nevertheless, we caution against promoting moderate alcohol use as a strategy to reduce mortality risk or prevent CHD.
Full article
(This article belongs to the Section Nutrition and Public Health)
►▼
Show Figures

Figure 1
Open AccessArticle
Time-Dependent Differences in the Human Milk Proteome After Preterm Birth: A Paired Two-Stage Proteomic Study
by
Nina Mól, Magdalena Zasada, Maciej Suski, Wojciech Zasada and Przemko Kwinta
Nutrients 2026, 18(5), 848; https://doi.org/10.3390/nu18050848 - 5 Mar 2026
Abstract
Background/Objectives: Human milk composition is shaped by gestational age at delivery and stage of lactation; however, proteomic differences between milk from mothers of preterm and term infants and their temporal patterns remain incompletely characterised. Methods: This prospective study enrolled 40 lactating mothers: 20
[...] Read more.
Background/Objectives: Human milk composition is shaped by gestational age at delivery and stage of lactation; however, proteomic differences between milk from mothers of preterm and term infants and their temporal patterns remain incompletely characterised. Methods: This prospective study enrolled 40 lactating mothers: 20 who delivered preterm infants (<32 weeks’ gestation) and 20 who delivered at term (37–42 weeks). Each provided milk samples during early lactation (first 10 days postpartum) and during later lactation (week five postpartum). Milk serum was analysed using quantitative data-independent acquisition mass spectrometry. Differential protein abundance was assessed separately at each time point; functional annotation was performed using Gene Ontology biological process analysis. Results: Eighty samples were analysed. On average, a total of 662 proteins were identified per sample, of which 169 were consistently quantified across all samples (1% FDR). During early lactation, 10 proteins differed significantly, with bidirectional changes and moderate effect sizes. At week five, 19 proteins were differentially abundant, predominantly higher in preterm samples. Immune-related proteins constituted the largest functional category at both stages. Immunoglobulin heavy constant gamma 4 remained consistently downregulated in preterm milk (1.6-fold lower abundance). Ferritin heavy chain (1.5) and HLA class II histocompatibility antigen gamma chain (1.8) were elevated only early, whereas calprotectin subunits S100A8 (5.6) and S100A9 (5.2) were markedly upregulated later. Conclusions: Proteomic differences vary across lactation stages, highlighting lactation stage as an essential contextual variable in comparative milk proteomics.
Full article
(This article belongs to the Special Issue Dietary Strategies and Mechanistic Insights in Pediatric Allergies)
►▼
Show Figures

Figure 1
Open AccessArticle
Structured Exercise Modulates Gut Microbiota Composition and Protects Against Diet-Induced Dysbiosis in a Rat Model
by
Fatiha M. Benslimane, Maha Alser, Abdelrahman M Elgamal, Layla I. Mohammed, Zain Zaki Zakaria, Sara Sokary, Muhammad Umar Sohail, Ayat S Hammad, Saddam Akber Abbasi and Maha Al-Asmakh
Nutrients 2026, 18(5), 847; https://doi.org/10.3390/nu18050847 - 5 Mar 2026
Abstract
Background/Objectives: Dietary composition and physical activity are major determinants of gut microbiome structure, and dysbiosis is strongly associated with metabolic disorders. While both diet and exercise independently influence the gut microbiome, their interactive effects—particularly across different exercise modalities—remain incompletely understood. This study investigated
[...] Read more.
Background/Objectives: Dietary composition and physical activity are major determinants of gut microbiome structure, and dysbiosis is strongly associated with metabolic disorders. While both diet and exercise independently influence the gut microbiome, their interactive effects—particularly across different exercise modalities—remain incompletely understood. This study investigated the combined effects of diet type (normal chow [NC] vs. high-fat diet [HFD]) and exercise modality (control [C], voluntary [V], and forced [F]) on gut microbiota composition in rats. Methods: Sixty-three Wistar rats were randomized into six groups according to diet and exercise status. Fecal samples were collected and analyzed using full-length 16S rRNA gene sequencing (Oxford Nanopore Technologies). Alpha and beta diversity metrics were calculated, and taxonomic composition was assessed at phylum and genus levels. Results: HFD groups exhibited significantly higher alpha diversity than NC groups (Shannon index: 3.47–3.63 vs. 2.76–2.94, p < 0.001), with forced exercise associated with a greater diversity than voluntary exercise. Beta-diversity analysis confirmed diet as the dominant factor influencing microbial structure (PERMANOVA p = 0.001), with exercise providing an additional modulatory effect. Firmicutes, Bacteroidota, Deferribacterota, and Proteobacteria predominated, with Firmicutes decreasing under HFD. Forced exercise significantly enriched beneficial genera, including Akkermansia (detected exclusively in exercised HFD groups; p = 0.03), Blautia, Coprococcus, and Roseburia. Akkermansia abundance correlated positively with exercise distance (p < 0.001) and negatively with body weight (p < 0.01). Conclusions: Structured exercise, particularly forced treadmill training, attenuates HFD-associated dysbiosis and promotes the beneficial gut bacteria that is associated with metabolic health. These findings highlight exercise modality as a critical factor in dietary strategies targeting gut microbiome modulations.
Full article
(This article belongs to the Special Issue Effects of Exercise and Diet on Health)
►▼
Show Figures

Figure 1
Journal Menu
► ▼ Journal Menu-
- Nutrients Home
- Aims & Scope
- Editorial Board
- Reviewer Board
- Topical Advisory Panel
- Instructions for Authors
- Special Issues
- Topics
- Sections & Collections
- Article Processing Charge
- Indexing & Archiving
- Editor’s Choice Articles
- Most Cited & Viewed
- Journal Statistics
- Journal History
- Journal Awards
- Society Collaborations
- Conferences
- Editorial Office
Journal Browser
► ▼ Journal BrowserHighly Accessed Articles
Latest Books
E-Mail Alert
News
Topics
Topic in
Agriculture, Beverages, Foods, Horticulturae, IJMS, Nutrients, Plants
Nutritional and Phytochemical Composition of Plants
Topic Editors: Vassilis Athanasiadis, Stavros I. LalasDeadline: 31 March 2026
Topic in
Beverages, Dairy, Foods, IJERPH, Nutrients
Ways to Achieve Healthy and Sustainable Diets
Topic Editors: Verônica Cortez Ginani, Renata Puppin ZandonadiDeadline: 18 April 2026
Topic in
Antioxidants, Molecules, Nutraceuticals, Nutrients, Plants
Memory-Enhancing Activity of Bioactive Compounds: From Natural Sources to Brain, 2nd Edition
Topic Editors: Lucian Hritcu, Simone CarradoriDeadline: 30 April 2026
Topic in
Beverages, Foods, Molecules, Nutrients, Separations, Chemosensors
Advances in Analysis of Food and Beverages, 2nd Edition
Topic Editors: Constantinos G. Tsiafoulis, Anna M. KaczmarekDeadline: 31 May 2026
Conferences
Special Issues
Special Issue in
Nutrients
Tackling Malnutrition: What's on the Agenda?
Guest Editor: Blessing J. Akombi-InyangDeadline: 15 March 2026
Special Issue in
Nutrients
Energy Deficiency and Nutritional Supplementation in Sports and Exercise
Guest Editor: Anatoli PetridouDeadline: 15 March 2026
Special Issue in
Nutrients
Policies of Promoting Healthy Eating
Guest Editor: Paweł BryłaDeadline: 15 March 2026
Special Issue in
Nutrients
Dietary and Nutritional Influences on Childhood Obesity: Mechanisms, Prevention, and Public Health Implications
Guest Editors: Deborah Cristina Landi Masquio, Aline de Piano GanenDeadline: 15 March 2026
Topical Collections
Topical Collection in
Nutrients
Connection between Microbiome, Lifestyle and Diet
Collection Editors: Eva Untersmayr, Peter M. Abuja
Topical Collection in
Nutrients
Dietary Fatty Acids and the Cardiovascular Health: Evidence, Controversies, and Consensus
Collection Editor: Asim K. Duttaroy
Topical Collection in
Nutrients
Advances in Phenylketonuria (PKU) Nutrition and Diet Research (2nd Edition)
Collection Editors: Júlio César Rocha, Anita MacDonald
Topical Collection in
Nutrients
Plant-Based Diets in Sports Nutrition and Performance
Collection Editors: D. Enette Larson-Meyer, Heidi LynchConference Reports
Nutrients 2024, 16(15), 2528; https://doi.org/10.3390/nu16152528
Nutrients 2024, 16(8), 1157; https://doi.org/10.3390/nu16081157





