Journal Description
Agronomy
Agronomy
is an international, peer-reviewed, open access journal on agronomy and agroecology published semimonthly online by MDPI. The Spanish Society of Plant Biology (SEBP) is affiliated with Agronomy and their members receive discounts on the article processing charges.
- Open Access— free for readers, with article processing charges (APC) paid by authors or their institutions.
- High Visibility: indexed within Scopus, SCIE (Web of Science), PubAg, AGRIS, and other databases.
- Journal Rank: JCR - Q1 (Agronomy) / CiteScore - Q1 (Agronomy and Crop Science)
- Rapid Publication: manuscripts are peer-reviewed and a first decision is provided to authors approximately 17 days after submission; acceptance to publication is undertaken in 1.8 days (median values for papers published in this journal in the second half of 2025).
- Recognition of Reviewers: reviewers who provide timely, thorough peer-review reports receive vouchers entitling them to a discount on the APC of their next publication in any MDPI journal, in appreciation of the work done.
- Companion journals for Agronomy include: Seeds, Agrochemicals, Grasses and Crops.
Impact Factor:
3.4 (2024);
5-Year Impact Factor:
3.8 (2024)
Latest Articles
Identification of Specific Long-Lived mRNAs Associated with Seed Longevity in Sweet Corn Based on RNA-seq
Agronomy 2026, 16(3), 375; https://doi.org/10.3390/agronomy16030375 - 3 Feb 2026
Abstract
Seeds possess long-lived messenger RNAs (mRNAs), some of which are involved in triggering germination and supporting seed longevity. Nevertheless, comprehensive studies on longevity-associated long-lived mRNAs in sweet corn are still scarce. To address this, eight sweet corn inbred lines were subjected to artificial
[...] Read more.
Seeds possess long-lived messenger RNAs (mRNAs), some of which are involved in triggering germination and supporting seed longevity. Nevertheless, comprehensive studies on longevity-associated long-lived mRNAs in sweet corn are still scarce. To address this, eight sweet corn inbred lines were subjected to artificial aging (AA) and natural aging (NA). Based on half-inhibition time (ID50), two representative lines—a high-longevity (HL, T7) and a low-longevity (LL, T3) line—were selected. Physiological and biochemical assays revealed significant reductions in superoxide dismutase (SOD) and peroxidase (POD) activities, along with increased malondialdehyde (MDA) content and electrical conductivity, with more severe membrane damage in the LL line. RNA sequencing (RNA-seq) showed a strong correlation in differentially expressed genes (DEGs) between AA and NA. The combined DEGs were enriched in mitogen-activated protein kinase (MAPK) signaling and tryptophan metabolism, while five common long-lived mRNAs, including Zm00001eb157210 and Zm00001eb164610, were consistently downregulated, suggesting their potential role in regulating seed vigor. These findings highlight key molecular players in sweet corn seed longevity.
Full article
(This article belongs to the Collection Abiotic Stress Tolerance in Plants: Towards a Sustainable Agriculture)
Open AccessArticle
Soil Enzymes and Stable Isotopes as Suitable Soil–Plant Indicators of Ecosystem Functionality in Mediterranean Forests
by
Serena Doni, Francesca Vannucchi, Cristina Macci, Andrea Scartazza, Roberto Pini, Manuele Scatena, Nicola Arriga, Alessandro Dell’Acqua, Grazia Masciandaro and Eleonora Peruzzi
Agronomy 2026, 16(3), 374; https://doi.org/10.3390/agronomy16030374 - 3 Feb 2026
Abstract
Monitoring the soil–plant system in forest ecosystems is crucial for preserving their ecological functions and services. This study assessed carbon and nitrogen stable isotopes and ecoenzymatic stoichiometry as suitable indicators for characterizing the soil–plant system as a functional unit of ecological processes. To
[...] Read more.
Monitoring the soil–plant system in forest ecosystems is crucial for preserving their ecological functions and services. This study assessed carbon and nitrogen stable isotopes and ecoenzymatic stoichiometry as suitable indicators for characterizing the soil–plant system as a functional unit of ecological processes. To this end, in June 2021 six plots (1 m2 each) were selected in two typical Mediterranean forest ecotypes: a coastal stone pine forest (Pinus pinea L., PF) and a meso-hygrophilous broadleaf forest (RV). Soil samples (0–15 and 15–30 cm depth) and litter samples (40 × 40 cm) were collected and characterized in terms of physical, chemical and biochemical properties. t-tests revealed significant differences between RV and PF, indicating distinct microbial nutrient acquisition strategies. The higher C:N ratio in PF suggested lower litter quality and greater recalcitrance to microbial decomposition. Consistently, RV showed a more pronounced 13C and 15N enrichment from litter to SOM down to a 30 cm depth, confirming faster organic matter decomposition and mineralization. Enzyme activity patterns supported these findings. The higher β-glucosidase and butyrate esterase activities in RV reflected its greater microbial potential to activate biogeochemical cycles. Both forests exhibited a higher microbial demand for C and P than for N to maintain ecological stoichiometric balance, with stronger C limitation at the surface and P limitation in the subsoil, particularly in RV soil. This integrated monitoring approach provides insights into nutrient cycling and ecosystem resilience and offers tools to evaluate ecosystem functionality under changing environmental conditions, supporting sustainable forest management.
Full article
(This article belongs to the Section Soil and Plant Nutrition)
►▼
Show Figures

Figure 1
Open AccessArticle
Non-Invasive Diagnosis of Nitrogen and Phosphorus in Hydrangea macrophylla at Seedling Stage Using RGB Images
by
Jun Yang, Qunlu Liu, Zhao Liu, Qiang Xing and Jun Qin
Agronomy 2026, 16(3), 373; https://doi.org/10.3390/agronomy16030373 - 3 Feb 2026
Abstract
Rapid and accurate diagnosis of nitrogen (N) and phosphorus (P) is crucial for Hydrangea macrophylla nursery management. Traditional methods are time-consuming, and existing non-destructive studies rarely target ornamental plants or support joint N-P diagnosis at the early growth stage. A total of 339
[...] Read more.
Rapid and accurate diagnosis of nitrogen (N) and phosphorus (P) is crucial for Hydrangea macrophylla nursery management. Traditional methods are time-consuming, and existing non-destructive studies rarely target ornamental plants or support joint N-P diagnosis at the early growth stage. A total of 339 RGB images were captured from potted hydrangeas grown under varying N and P levels at the seedling stage, with 65 phenotypic traits (color, texture, and morphology) extracted. Nutritional status (deficient, optimal, and surplus) was categorized with reference to plant nutrition indices. Discriminant models were then developed using four machine learning algorithms: convolutional neural network (CNN), support vector machine (SVM), random forest (RF), and probabilistic neural network (PNN). The model performances were evaluated using overall accuracy, precision, recall, F1-score, and Cohen’s Kappa coefficient (κ). As a result, CNN achieved 82.65% accuracy (κ = 0.7392) for N classification, and SVM reached 83.65% accuracy (κ = 0.7357) for P classification. Color-related traits dominated the top five contributing features, indicating a stronger correlation with N and P status. This work offers a practical solution for real-time, low-cost, and non-destructive nutrient diagnosis, supporting precision fertilization and enhancing environmental sustainability in nursery production.
Full article
(This article belongs to the Special Issue Advancements in Precision Fertilization and Water Management for Sustainable Agriculture)
►▼
Show Figures

Figure 1
Open AccessArticle
Different Driving Mechanisms for Spatial Variations in Soil Autotrophic and Heterotrophic Respiration: A Global Synthesis for Forest and Grassland Ecosystems
by
Yun Jiang, Jiajun Xu, Chengjin Chu, Xiuchen Wu and Bingwei Zhang
Agronomy 2026, 16(3), 372; https://doi.org/10.3390/agronomy16030372 - 3 Feb 2026
Abstract
As a pivotal component of the global carbon cycle, the spatial variation in soil respiration (Rs) is crucial for forecasting climate change trajectories. Despite extensive research on the spatial patterns of total Rs, the distinct drivers of its two components, heterotrophic respiration (Rh)
[...] Read more.
As a pivotal component of the global carbon cycle, the spatial variation in soil respiration (Rs) is crucial for forecasting climate change trajectories. Despite extensive research on the spatial patterns of total Rs, the distinct drivers of its two components, heterotrophic respiration (Rh) and autotrophic respiration (Ra), are still not well defined. We compiled a global dataset from studies published between 2007 and 2023 to investigate the drivers of spatial variations in Rs, Ra, and Rh. This dataset comprises 308 annual flux measurements from 172 sites. The results showed that Rh contributed 63% and 60% to Rs in forest and grassland ecosystems, respectively. Further analyses using structural equation modelling (SEM) showed that the spatial variation in Rh and Ra exhibited divergent responses to climatic factors and plant community structure (mostly driven by gross primary production, GPP). Rh was more affected by mean annual temperature (MAT) than by mean annual precipitation (MAP), with standardized total effects of 0.17 (forests) and 0.57 (grasslands) for MAT versus 0.10 and 0.07 for MAP, respectively. In contrast, Ra exhibited greater sensitivity to MAP (0.08 and 0.18) than to MAT (−0.01 and 0.04). GPP exerted biome-specific effects: in forests, high GPP enhanced Rh (0.18) more substantially than Ra (0.08), while in grasslands, elevated GPP significantly increased Ra (0.34) but suppressed Rh (−0.30). Moreover, these variables incorporated into the SEMs accounted for a greater proportion of the variation in Rh and Ra in grasslands (R2 = 0.73 for Rh, 0.48 for Ra) as compared to forests (R2 = 0.21 for Rh, 0.22 for Ra), suggesting the greater complexity in forest soil C dynamics. By using the whole yearly measured soil respiration data around the world, this study highlights the differential environmental regulation of Rh and Ra, providing critical insights into the mechanisms governing Rs variations under climate change.
Full article
(This article belongs to the Special Issue Soil Carbon Sequestration and Greenhouse Gas Emissions)
►▼
Show Figures

Figure 1
Open AccessArticle
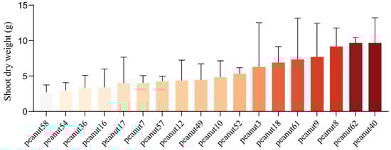
Exploration of Acid-Tolerant Peanut Varieties Associated with Key Beneficial Rhizosphere Microbiome and Their Plant Growth-Promoting Effects in Acidic Soil
by
Zihao Wei, Hao Cao, Chao Wang, Hongjun Liu, Qirong Shen and Rong Li
Agronomy 2026, 16(3), 371; https://doi.org/10.3390/agronomy16030371 - 3 Feb 2026
Abstract
Soil acidification is among the primary abiotic stress factors that constrain plant growth. The adoption of acid-tolerant plant varieties and the inoculation of plant growth-promoting rhizobacteria have the distinct advantages of simultaneously increasing soil fertility and ensuring crop growth in acidic soil. However,
[...] Read more.
Soil acidification is among the primary abiotic stress factors that constrain plant growth. The adoption of acid-tolerant plant varieties and the inoculation of plant growth-promoting rhizobacteria have the distinct advantages of simultaneously increasing soil fertility and ensuring crop growth in acidic soil. However, how acid-tolerant plant varieties interact with the associated rhizosphere microbiota still needs to be explored. In this study, acid-tolerant peanut varieties were screened and planted in natural and sterile environments. The results revealed significant differences in growth performance among the varieties in acidic soil and between natural and sterile environments, revealing that the rhizosphere microbiota is dependent on acid tolerance. Through high-throughput sequencing analysis, the key taxa Sinomonas and Aspergillus were identified, and subsequent greenhouse verification experiments demonstrated their function in promoting peanut plant growth in acidic soil. In total, our findings suggest that the holobiont of tolerant plants and the rhizosphere microbiota is important for stress resistance. This perspective opens up new avenues for improving crop cultivation in soils with different stresses, in which both plant and associated microbial properties are considered.
Full article
(This article belongs to the Section Agricultural Biosystem and Biological Engineering)
►▼
Show Figures

Figure 1
Open AccessArticle
YOLOv11-IMP: Anchor-Free Multiscale Detection Model for Accurate Grape Yield Estimation in Precision Viticulture
by
Shaoxiong Zheng, Xiaopei Yang, Peng Gao, Qingwen Guo, Jiahong Zhang, Shihong Chen and Yunchao Tang
Agronomy 2026, 16(3), 370; https://doi.org/10.3390/agronomy16030370 - 2 Feb 2026
Abstract
Estimating grape yields in viticulture is hindered by persistent challenges, including strong occlusion between grapes, irregular cluster morphologies, and fluctuating illumination throughout the growing season. This study introduces YOLOv11-IMP, an improved multiscale anchor-free detection framework extending YOLOv11, tailored to vineyard environments. Its architecture
[...] Read more.
Estimating grape yields in viticulture is hindered by persistent challenges, including strong occlusion between grapes, irregular cluster morphologies, and fluctuating illumination throughout the growing season. This study introduces YOLOv11-IMP, an improved multiscale anchor-free detection framework extending YOLOv11, tailored to vineyard environments. Its architecture comprises five specialized components: (i) a viticulture-oriented backbone employing cross-stage partial fusion with depthwise convolutions for enriched feature extraction, (ii) a bifurcated neck enhanced by large-kernel attention to expand the receptive field coverage, (iii) a scale-adaptive anchor-free detection head for robust multiscale localization, (iv) a cross-modal processing module integrating visual features with auxiliary textual descriptors to enable fine-grained cluster-level yield estimation, and (v) aross multiple scales. This work evaluated YOLOv11-IMP on five grape varieties collecten augmented spatial pyramid pooling module that aggregates contextual information acd under diverse environmental conditions. The framework achieved 94.3% precision and 93.5% recall for cluster detection, with a mean absolute error (MAE) of 0.46 kg per vine. The robustness tests found less than 3.4% variation in accuracy across lighting and weather conditions. These results demonstrate that YOLOv11-IMP can deliver high-fidelity, real-time yield data, supporting decision-making for precision viticulture and sustainable agricultural management.
Full article
(This article belongs to the Special Issue Innovations in Agriculture for Sustainable Agro-Systems)
►▼
Show Figures

Figure 1
Open AccessArticle
Accurate Medium-Term Forecasting of Farmland Evapotranspiration Using Corrected Next-Generation Numerical Weather Prediction
by
Shuting Zhao, Lifeng Wu and Xianghui Lu
Agronomy 2026, 16(3), 369; https://doi.org/10.3390/agronomy16030369 - 2 Feb 2026
Abstract
Accurate medium-term evapotranspiration (ET) forecasting is critical for irrigation scheduling and hydrological assessments. To address biases in numerical weather prediction (NWP) systems, we developed a hybrid GWO_XGB model integrating Extreme Gradient Boosting (XGBoost) with Gray Wolf Optimizer (GWO) for bias correction. Using the
[...] Read more.
Accurate medium-term evapotranspiration (ET) forecasting is critical for irrigation scheduling and hydrological assessments. To address biases in numerical weather prediction (NWP) systems, we developed a hybrid GWO_XGB model integrating Extreme Gradient Boosting (XGBoost) with Gray Wolf Optimizer (GWO) for bias correction. Using the corrected data, we evaluate four hybrid models—Support Vector Machine (SVM) and XGBoost, each optimized with either GWO or Grasshopper Optimization Algorithm (GOA)—for 1- to 10-day ET forecasts across 11 farmland stations in Europe and North America (2003–2014). The results showed that the GWO_XGB model demonstrated the best comprehensive performance (average RMSE = 0.476 mm d−1, R2 = 0.829), while the GWO_SVM model performed the weakest (average RMSE = 0.572 mm d−1, R2 = 0.761). Forecast accuracy of Rs and VPD declined with lead time, with the 1-day forecasts being most accurate (RMSE range: 2.005–3.061 MJ mm d−1). Using calibrated NWP data, the highest 1-day forecast accuracy was achieved (average RMSE = 0.715 mm d−1), with GWO_XGB remaining the best (1–3 days average RMSE = 0.667 mm d−1; 10-day cumulative forecast RMSE = 0.698 mm d−1). Overall, the GWO_XGB model combined with NWP calibration provides reliable short- to medium-term ET forecasts for agricultural water management.
Full article
(This article belongs to the Special Issue Water-Carbon Processes and Management in Agronomic and Agroforestry Systems)
Open AccessArticle
Advancing Leafy Vegetable Yield Estimation Through Image Inpainting to Mitigate Occlusion Effects
by
Dan Xu, Shuoguo Li, Zhuopeng Gu, Guanyun Xi and Juncheng Ma
Agronomy 2026, 16(3), 368; https://doi.org/10.3390/agronomy16030368 - 2 Feb 2026
Abstract
Non-destructive estimation of leafy vegetable fresh weight is crucial for precision management in both greenhouse and open-field production. However, mutual occlusion between plants in dense canopies poses a significant challenge to image-based estimation accuracy. This study systematically investigates the potential of deep learning-based
[...] Read more.
Non-destructive estimation of leafy vegetable fresh weight is crucial for precision management in both greenhouse and open-field production. However, mutual occlusion between plants in dense canopies poses a significant challenge to image-based estimation accuracy. This study systematically investigates the potential of deep learning-based image inpainting methods to reconstruct occluded regions in RGB lettuce images, thereby improving input data quality for downstream weight estimation models. Three state-of-the-art inpainting models—Vision Transformer-based Denoising Autoencoder (ViT-DAE), Aggregated Contextual–Transformation Generative Adversarial Network (AOT-GAN), and a conditional Diffusion Model (CDM)—were implemented and evaluated. A dataset comprising 503 individual lettuce images with artificially generated random occlusions was used for training and testing. Performance was assessed using pixel-level metrics (PSNR, SSIM) and, more importantly, by evaluating the fresh weight estimation accuracy (R2, NRMSE, MAPE) of a pre-trained CNN model (CNN_284) using the inpainted images. Results indicated that AOT-GAN achieved the best overall performance, with an SSIM of 0.9379 and an R2 of 0.8480 for weight estimation after inpainting under single-direction occlusion, closely matching the performance using original non-occluded images (R2 = 0.8365). In complex multi-direction occlusion scenarios, AOT-GAN demonstrated superior robustness, maintaining an R2 of 0.7914 and an MAPE of 12.02% for weight prediction, significantly outperforming the other models. This study demonstrates that advanced inpainting techniques, particularly AOT-GAN, can effectively mitigate the impact of occlusion, enhancing the reliability of vision-based leafy vegetable biomass estimation in practical production.
Full article
(This article belongs to the Special Issue Application of Machine Learning and Modelling in Food Crops)
►▼
Show Figures

Figure 1
Open AccessArticle
Function of the Resistance Gene CYP4G75 in the Fall Armyworm Spodoptera frugiperda (JE Smith, 1797) (Lepidoptera: Noctuidae) and Control via Nanoscale RNA Pesticides
by
Longyu Yuan, Yu Deng, Jinxuan Wang, Yanfang Li, Yangshuo Dai, Zhenfei Zhang, Guanghua Liu and Hanxiang Xiao
Agronomy 2026, 16(3), 367; https://doi.org/10.3390/agronomy16030367 - 2 Feb 2026
Abstract
Spodoptera frugiperda is a highly destructive migratory pest of global concern that infests a wide range of crops, particularly maize, as well as rice and sugarcane, causing substantial economic losses in China. Since its invasion of China, S. frugiperda has experienced prolonged insecticide
[...] Read more.
Spodoptera frugiperda is a highly destructive migratory pest of global concern that infests a wide range of crops, particularly maize, as well as rice and sugarcane, causing substantial economic losses in China. Since its invasion of China, S. frugiperda has experienced prolonged insecticide selection pressure, resulting in the accelerated evolution and increasing prevalence of resistance to specific insecticides. This study aimed to elucidate the role of cytochrome P450 monooxygenase (CYP) gene families in mediating resistance to chlorantraniliprole and to evaluate the efficacy of nanoparticle-mediated delivery systems combined with P450-specific synergists for controlling S. frugiperda. Toxicity bioassays conducted on field populations demonstrated that chlorantraniliprole still retained considerable insecticidal activity. Analyses of three detoxification enzyme activities revealed a significant elevation in cytochrome P450 activity, and expression profiling of candidate CYP genes was performed using quantitative real-time PCR (qPCR). Exposure to chlorantraniliprole resulted in a 2.53-fold upregulation of CYP4G75 expression. Furthermore, nano-agrochemical formulation assays showed that the combined application of LDHs-dsCYP4G75 and chlorantraniliprole exerted a significant synergistic effect, increasing mortality by 21.99% compared with either treatment applied alone. Overall, this study provides mechanistic insights into P450-mediated resistance and offers a promising strategy to reduce reliance on chemical insecticides, thereby contributing to the development of sustainable integrated pest management (IPM) programs.
Full article
(This article belongs to the Special Issue Adaptive Evolution and Resistance Mechanisms in Agricultural Pest Management)
Open AccessArticle
Phenophase Transitions and Fertiliser-Mediated Regimes as Determinants of C-N Partitioning and Pedogenic Pathways in Tropical Agriculture
by
Odhiambo O. Nicholas, Xunzhun Li, Qilin Zhu, Raymond Gervas Ntakihale, Liu Chaoqi, Hua Zhao, Xiangdong Zhang, Qiqian Lu, Xiaoqian Dan, Jinbo Zhang, Ahmed S. Elrys and Lei Meng
Agronomy 2026, 16(3), 366; https://doi.org/10.3390/agronomy16030366 - 2 Feb 2026
Abstract
Complex interactions in soil carbon and nitrogen (C-N) synchronisation in tropical perennial orchards are highly responsive to fertiliser chemistry. However, the intensity and stage-specific dynamics of these interactions are not well quantified. Six nitrogen regimes, namely, urea (URT), ammonium (AMT), nitrate (NT), slow-release
[...] Read more.
Complex interactions in soil carbon and nitrogen (C-N) synchronisation in tropical perennial orchards are highly responsive to fertiliser chemistry. However, the intensity and stage-specific dynamics of these interactions are not well quantified. Six nitrogen regimes, namely, urea (URT), ammonium (AMT), nitrate (NT), slow-release fertiliser (SRT), bio-organic fertiliser (BFT), and an unfertilised control, were assessed at the vegetative, flowering, fruit-set, and maturity stages of durian cultivated on highly weathered tropical soils. A two-way ANOVA indicated high to very high treatment × phenology interactions for almost all soil properties (p < 0.001), indicating that nutrient responses were highly stage-dependent. The highest soil organic carbon (SOC) and cation exchange capacity (CEC) values were consistently obtained with the BFT, which was often associated with significant differences compared with synthetic treatments. In contrast, the SRT showed the most consistent nutrient release behaviour, especially in flowering. On the other hand, soil pH did not differ significantly among the treatments during the vegetative and maturity stages. A significant decrease in pH was observed for the URT and NT treatments during the flowering stage, indicating temporary acidification at this stage and steep increases in nitrate nitrogen (NO3—N), indicating strong nitrification and attenuated carbon (C) stabilisation. Leaf nutrient responses were increased in phosphorus (P), potassium (K), calcium (Ca), and magnesium (Mg) by 23% in response to the SRT and BFT. The NT and URT tended to enhance leaf nitrogen (N) primarily, and PCA (59–69% variance explained) clearly displayed clustering of the fertiliser effects, with the maximum difference at flowering, the peak period of nutrient demand in the crop. In general, fertiliser chemistry and phenophase jointly controlled the C-N partitioning, soil chemical paths, and nutrient yield correlations. The BFT and SRT showed the greatest significant gains in soil fertility and nutrient retention, making them the best high-performance alternatives in sustainable durian production in tropical systems.
Full article
(This article belongs to the Section Farming Sustainability)
Open AccessArticle
Macronutrient and Metal Partitioning Behavior of Perennial Biomass Crops Across Growth Stages
by
Mengyang Suo, Shuai Xue, Tongcheng Fu, Zili Yi, Efthymia Alexopoulou, Eleni G. Papazoglou and Yasir Iqbal
Agronomy 2026, 16(3), 365; https://doi.org/10.3390/agronomy16030365 - 2 Feb 2026
Abstract
►▼
Show Figures
Successful establishment of resource-efficient perennial crops that can thrive and produce economically viable yields under metal stress conditions requires a clear understanding of macronutrient uptake and metal detoxification regulation mechanisms particularly during crop establishment period. Therefore, this study aimed to evaluate the partitioning
[...] Read more.
Successful establishment of resource-efficient perennial crops that can thrive and produce economically viable yields under metal stress conditions requires a clear understanding of macronutrient uptake and metal detoxification regulation mechanisms particularly during crop establishment period. Therefore, this study aimed to evaluate the partitioning of macronutrients and metals in miscanthus and switchgrass grown on metal-contaminated soils, and to evaluate the effect of biostimulant treatments on early crop establishment and biomass productivity. Field trials were conducted with two perennial C4 grasses, miscanthus (Miscanthus lutarioriparius) and switchgrass (Panicum virgatum L.), under three treatments: control (CK), humic acid (HA), and humic acid combined with microbial inoculants (HAM). At final growth stages, agronomic traits, biomass quality, and macronutrient (N, P, K) and metal (Cd, Cr, Pb, Cu, Zn) contents were analyzed. To investigate metal and macronutrient partitioning dynamics, samples were collected from October to December. The HAM treatment significantly enhanced biomass yield and morphological parameters in both species, particularly in miscanthus. Both HA and HAM improved cellulose and hemicellulose while reducing the lignin content, thereby improving biomass quality. For both crops, roots served as the primary organ for metal accumulation across growth stages. In miscanthus roots from October to December, the proportions of Cd, Cr, and Pb increased (10.5%, 10.8%, 13.6%), while Zn and Cu decreased (6.5%, 11.6%). Over the same period, Pb increased slightly (4.4%), but Cd, Cr, and Cu declined (26%, 1.9%, 12.9%) in switchgrass roots. Coupling and principal component analyses revealed weak macronutrient–metal synchronization in both miscanthus and switchgrass across growth stages.
Full article

Figure 1
Open AccessReview
Transferability and Robustness in Proximal and UAV Crop Imaging
by
Jayme Garcia Arnal Barbedo
Agronomy 2026, 16(3), 364; https://doi.org/10.3390/agronomy16030364 - 2 Feb 2026
Abstract
AI-driven imaging is becoming central to crop monitoring, with proximal and unmanned aerial vehicle (UAV) platforms now routinely used for disease and stress detection, yield estimation, canopy structure, and fruit counting. Yet, as these models move from plots to farms, the main bottleneck
[...] Read more.
AI-driven imaging is becoming central to crop monitoring, with proximal and unmanned aerial vehicle (UAV) platforms now routinely used for disease and stress detection, yield estimation, canopy structure, and fruit counting. Yet, as these models move from plots to farms, the main bottleneck is no longer raw accuracy but robustness under distribution shift. Systems trained in one field, season, cultivar, or sensor often fail when the scene, sensor, protocol, or timing changes in realistic ways. This review synthesizes recent advances on robustness and transferability in proximal and UAV imaging, drawing on a corpus of 42 core studies across field crops, orchards, greenhouse environments, and multi-platform phenotyping. Shift types are organized into four axes, namely scene, sensor, protocol, and time. The article also maps the empirical evidence on when RGB imaging alone is sufficient and when multispectral, hyperspectral, or thermal modalities can potentially improve robustness. This serves as a basis to synthesize acquisition and evaluation practices that often matter more than architectural tweaks, which include phenology-aware flight planning, radiometric standardization, metadata logging, and leave-one-field/season-out splits. Adaptation options are consolidated into a practical symptom/remedy roadmap, ranging from lightweight normalization and small target-set fine-tuning to feature alignment, unsupervised domain adaptation, style translation, and test-time updates. Finally, a benchmark and dataset agenda are outlined with emphasis on object-oriented splits, cross-sensor and cross-scale collections, and longitudinal datasets where the same fields are followed across seasons under different management regimes. The goal is to outline practices and evaluation protocols that support progress toward deployable and auditable systems, noting that such claims require standardized out-of-distribution testing and transparent reporting as emphasized in the benchmark specification and experiment suite proposed here.
Full article
(This article belongs to the Special Issue Enhancing Generalization in Agricultural AI: Bridging Data Gaps and Boosting Model Robustness)
►▼
Show Figures

Figure 1
Open AccessReview
Selenium-Mediated Rhizosphere Blocking and Control Network: Multidimensional Mechanisms for Regulating Heavy Metal Bioavailability
by
Qing Guan, Xiaotong Zhou, Shuqing Jia, Yulong Niu, Linling Li, Hua Cheng, Shuiyuan Cheng and Yingtang Lu
Agronomy 2026, 16(3), 363; https://doi.org/10.3390/agronomy16030363 - 2 Feb 2026
Abstract
Soil heavy metal (HM) pollution poses a severe threat to ecological security and human health. Selenium (Se) is an essential trace element for the human body and can regulate crop growth and development as well as HM uptake in HM-contaminated soils. The regulatory
[...] Read more.
Soil heavy metal (HM) pollution poses a severe threat to ecological security and human health. Selenium (Se) is an essential trace element for the human body and can regulate crop growth and development as well as HM uptake in HM-contaminated soils. The regulatory mechanisms of Se on HMs are mainly reflected in four aspects: Geochemical immobilization promotes the formation of metal selenide precipitates and the adsorption of HMs by soil colloids by regulating the rhizosphere redox potential (Eh) and pH value. Rhizosphere microbial remodeling drives the enrichment of functional microorganisms such as Se redox bacteria, plant growth-promoting rhizobacteria (PGPR), and arbuscular mycorrhizal fungi (AMF) through the dual selective pressure of Se toxicity and root exudates, in order to synergistically realize Se speciation transformation and HM adsorption/chelation. Root barrier reinforcement constructs physical and chemical dual defense barriers by inducing the formation of iron plaques on the root surface, remodeling root morphology and strengthening cell wall components such as lignin and polysaccharides. Intracellular transport regulation down-regulates the genes encoding HM uptake transporters, up-regulates the genes encoding HM efflux proteins, and promotes the synthesis of phytochelatins (PCs) to form HM complexes and lastly realizes vacuolar sequestration. Finally, we summarize current research gaps in the interaction mechanisms of different Se species, precise application strategies, and long-term environmental risk assessment, providing a theoretical basis and technical outlook for the green remediation of HM-contaminated farmlands and Se biofortification of crops.
Full article
(This article belongs to the Special Issue Achievements and Perspectives on Heavy Metal Stress and Crop Plant Responses)
►▼
Show Figures

Figure 1
Open AccessArticle
Waterlogging Priming at Tillering Stage Confers Stronger Tolerance to Wheat Plants Waterlogged During Anthesis
by
Wataru Tsuji and Motoki Kawase
Agronomy 2026, 16(3), 362; https://doi.org/10.3390/agronomy16030362 - 2 Feb 2026
Abstract
Waterlogging stress, particularly during flowering, severely constrains wheat production, yet the optimal timing and frequency of waterlogging priming and its linkage to post-stress nitrogen acquisition remain unclear. We conducted pot experiments under a glasshouse over two consecutive growing seasons (2022/23 and 2023/24) using
[...] Read more.
Waterlogging stress, particularly during flowering, severely constrains wheat production, yet the optimal timing and frequency of waterlogging priming and its linkage to post-stress nitrogen acquisition remain unclear. We conducted pot experiments under a glasshouse over two consecutive growing seasons (2022/23 and 2023/24) using the Japanese bread wheat cultivar Norin 61. Eight treatment combinations were established with or without waterlogging priming applied at the tillering, stem elongation, and booting stages, followed by waterlogging for 5 days (2022/23) and 4 days (2023/24) during the flowering stage. To quantify post-stress nitrogen dynamics, 15N-labeled ammonium sulfate was applied immediately after waterlogging termination at flowering, and 15N uptake and its allocation to plant organs and grains were determined during grain filling and at harvest. Compared to the non-primed treatment, treatments that included tillering-stage priming consistently maintained higher leaf SPAD values, photosynthetic performance, and increased thousand-grain weight across both seasons, and grain yield increased by 54.8–80.6% in 2022/23 and 125.8–159.7% in 2023/24. These treatments also showed higher post-stress 15N content and greater 15N allocation to grains. Overall, tillering-stage waterlogging priming was associated with improved tolerance to flowering-stage waterlogging in wheat through the maintenance of post-stress nitrogen uptake capacity and nitrogen allocation to grains.
Full article
(This article belongs to the Section Water Use and Irrigation)
►▼
Show Figures

Figure 1
Open AccessArticle
Deficit Irrigation and Preharvest Chitosan Sprays Enhance Fruit Quality and Postharvest Performance in Peach
by
Lucía Andreu-Coll, Pedro J. Blaya-Ros, Begoña García-Castellanos, Jesús Vigueras-Fernández, Donaldo Morales-Guevara, José García-García, Jesús García-Brunton, Ángel Calín-Sánchez, Francisca Hernández and Alejandro Galindo
Agronomy 2026, 16(3), 361; https://doi.org/10.3390/agronomy16030361 - 2 Feb 2026
Abstract
Water scarcity in Mediterranean environments has driven the search for sustainable strategies to improve water-use efficiency while maintaining fruit quality. This study evaluated the combined effect of sustained deficit irrigation and preharvest chitosan sprays on fruit quality, bioactive compounds, mineral composition, and postharvest
[...] Read more.
Water scarcity in Mediterranean environments has driven the search for sustainable strategies to improve water-use efficiency while maintaining fruit quality. This study evaluated the combined effect of sustained deficit irrigation and preharvest chitosan sprays on fruit quality, bioactive compounds, mineral composition, and postharvest behaviour in two late-season peach cultivars (“Tiétar” and “Duero”) grown under semi-arid Mediterranean conditions. Sustained deficit irrigation was applied throughout the season, together with preharvest chitosan applications during fruit development, to assess individual and interactive effects. Deficit irrigation caused only slight reductions in fruit size while increasing total soluble solids (TSS) concentration and the maturity index (TSS/titratable acidity). Chitosan application increased fruit firmness and modified titratable acidity depending on the irrigation regime (full irrigation or deficit irrigation). The combined treatment (chitosan + deficit irrigation) promoted the accumulation of phenolic compounds and antioxidant activity, particularly in “Tiétar”, increased calcium and iron contents, and showed a longer shelf life. These results indicate that integrating deficit irrigation with preharvest chitosan sprays can mitigate the impact of water scarcity while improving functional and postharvest quality of peaches under Mediterranean conditions.
Full article
(This article belongs to the Special Issue New Trends in Molecular Biochemistry and Physiology of Pre- and Post-Harvest Fruits and Vegetables)
►▼
Show Figures

Figure 1
Open AccessReview
Nature-Based Solutions (NbS) in Agricultural Soils for Greenhouse Gas Mitigation
by
Alessia Corami and Andrew Hursthouse
Agronomy 2026, 16(3), 360; https://doi.org/10.3390/agronomy16030360 - 2 Feb 2026
Abstract
Greenhouse gases (GHG), accumulated in the atmosphere, are the main cause of climate change. In 2017, the increase in average temperature was about 1 °C (between 0.8 °C–1.2 °C) above pre-industrial levels. Global warming refers to the increase in air surface, sea surface,
[...] Read more.
Greenhouse gases (GHG), accumulated in the atmosphere, are the main cause of climate change. In 2017, the increase in average temperature was about 1 °C (between 0.8 °C–1.2 °C) above pre-industrial levels. Global warming refers to the increase in air surface, sea surface, and soil surface temperature and according to IPCC (Intergovernmental Panel Climate Change), since the industrial revolution, C emissions are due to land use changes like deforestation, biomass burning, conversion of natural lands, drainage of wetlands, soil cultivation, and tillage. As the world population has increased, world food production has risen too with a subsequent increase in GHG emissions and agricultural production, which is worsened by climate change. Negative consequences are well known such as the loss in water availability and in soil fertility, and pest infestations which are climate change’s effects on agriculture activity. Climate change’s main aftermath is the frequency of extreme weather events influencing crop yields. As climate change exacerbates degradation processes, land management can mitigate its impact and aid adaptation strategies for climate change. About 21–37% of GHGs have been caused by the agriculture activity, so the application of Nature-based Solutions (NbS) like sustainable agriculture could be a way to reduce GHGs worldwide. The aim of this article is to review how NbS may mitigate GHG emissions from soil, with solutions defined as an integrated approach to tackle climate change and to sustainably restore and manage ecosystems, delivering multiple benefits. NbS is a low-cost tool working within and with nature, which holds many benefits for people and the environment.
Full article
(This article belongs to the Special Issue Old Challenges and Modern Solutions in Farmland Soils: Addressing Heavy Metals, Microplastics, and GHG Emissions)
►▼
Show Figures

Figure 1
Open AccessArticle
Subsoiling Orchestrates Evapotranspiration Partitioning to Enhance Water Use Efficiency of Arid Oasis Cotton Fields in Northwest China
by
Liang Wang, Ziqiang Liu, Rensong Guo, Tao Lin, Gulinigar Tu’erhong, Qiuxiang Tang, Na Zhang, Zipiao Zheng, Liwen Tian and Jianping Cui
Agronomy 2026, 16(3), 359; https://doi.org/10.3390/agronomy16030359 - 2 Feb 2026
Abstract
Long-term continuous cropping in cotton fields of Southern Xinjiang has limited crop productivity. To investigate how subsoiling depth regulates ecosystem-level water partitioning and thereby enhances water productivity mechanisms, a two-year field experiment was conducted in a mulched drip irrigation cotton field in Southern
[...] Read more.
Long-term continuous cropping in cotton fields of Southern Xinjiang has limited crop productivity. To investigate how subsoiling depth regulates ecosystem-level water partitioning and thereby enhances water productivity mechanisms, a two-year field experiment was conducted in a mulched drip irrigation cotton field in Southern Xinjiang. Using a non-subsoiled field in the current season (CT) as the control, three subsoiling depths were established: subsoiling at 30 cm (ST1), 40 cm (ST2), and 50 cm (ST3). Changes in evapotranspiration partitioning and water use efficiency were analyzed. The results showed that subsoiling enhanced the utilization of deep soil water. Compared with CT, the ST2 and ST3 treatments significantly reduced soil water storage in the 0–60 cm layer during the flower opening to boll-setting stages, while soil water consumption increased by 26.4 mm and 28.8 mm, respectively. We demonstrate that subsoiling depth exerts a predominant control on the partitioning of evapotranspiration. Increasing subsoiling depth systematically shifted water loss from non-productive soil evaporation to productive plant transpiration, with the ST2 and ST3 treatments decreasing seasonal soil evaporation by 24.1% and 25.1%, respectively, and increasing plant transpiration by 21.9% and 22.8%, and lowering the Es/ET (where Es is soil evaporation and ET is evapotranspiration) ratio by 22.1% and 27.1%. However, this maximal physiological water-saving did not yield the optimal agronomic return. We established a non-linear relationship in which the ST2 treatment uniquely achieved the maximum seed cotton yield, WUE (water use efficiency), and IWUE (irrigation water use efficiency) (increasing by up to 34.4%, 17.2%, and 23.4%, respectively). This optimal depth better balances water resource allocation and reproductive growth. We conclude that under sandy loam soil conditions in typical mulched drip-irrigated cotton areas of Southern Xinjiang, implementing an optimal subsoiling depth (40 cm) can engineer a more resilient soil–plant–water continuum, providing a feasible pathway toward enhancing water and crop production sustainability.
Full article
(This article belongs to the Special Issue Evapotranspiration Processes and Regulating Mechanisms in Agro-Forestry Ecosystems)
►▼
Show Figures

Figure 1
Open AccessFeature PaperArticle
Mass Distribution of Nutrients, Trace Elements, and Heavy Metals Among Particle-Size Fractions of Municipal Solid Waste Compost from Different Regions of the Baltic States
by
Bilal Touseef, Gintaras Denafas, Karolina Barčauskaitė and Sana Ullah
Agronomy 2026, 16(3), 358; https://doi.org/10.3390/agronomy16030358 - 2 Feb 2026
Abstract
This study assesses the distribution of nutrients, trace elements, and heavy metals across different granulometric fractions of municipal solid waste (MSW) compost from three regions: Kaunas and Alytus (Lithuania) and Daugavpils (Latvia). Samples were collected from mechanical biological treatment plants (MBTPs) and fractionated
[...] Read more.
This study assesses the distribution of nutrients, trace elements, and heavy metals across different granulometric fractions of municipal solid waste (MSW) compost from three regions: Kaunas and Alytus (Lithuania) and Daugavpils (Latvia). Samples were collected from mechanical biological treatment plants (MBTPs) and fractionated into six different granulometric fractions (>5 mm, 5–2.5 mm, 2.5–1 mm, 1–0.5 mm, 0.5–0.2 mm, and <0.2 mm). Each fraction was subjected to physicochemical characterization. Macronutrients (Ca, K, Mg, P), trace elements (Al, As, Co, Fe, Mn, Mo), and heavy metals (Cd, Cr, Cu, Ni, Pb, Zn) were analyzed using ICP-OES in triplicate. Results showed that essential nutrients and toxic metals were retained more in the finer fractions (<1 mm). In contrast, undesirable impurities, mainly glass, were retained in the coarse fractions across all the studied areas. All fractions in the compost samples of Kaunas, and coarse fractions (>5 mm, and 5–2.5 mm) of Alytus and Daugavpils are suitable to use as a soil amendment only if the undesirable impurities are removed to the acceptable limits in the coarse fractions. The fine fractions of Alytus have higher levels of heavy metals (Cd, Cr, Cu, Ni, Pb, Zn), while Daugavpils showed higher levels of Cd, Cu, Ni, and Zn, exceeding the EU limits. Regarding physical fractionation, results showed that nutrients and heavy metals increased in the compost as particle size decreased. Our findings suggest that removing particle sizes < 1 mm and large impurities from the coarse fractions can enhance compost quality. Overall, particle-size fractionation can improve the consistency and safety of MBT-derived MSW compost for reuse in circular waste management systems.
Full article
(This article belongs to the Special Issue Organic Improvement in Agricultural Waste and Byproducts)
►▼
Show Figures

Figure 1
Open AccessArticle
Effects of Calcium Nutrition on Soybean Growth and Symbiotic Nitrogen Fixation
by
Sutong Zhao, Xiaomin Kang, Mingyue Li, Xiaochen Lyu, Chao Yan and Qiulai Song
Agronomy 2026, 16(3), 357; https://doi.org/10.3390/agronomy16030357 - 2 Feb 2026
Abstract
Calcium is essential for legume symbiotic nitrogen fixation, acting as both a nutrient and a signal. Yet, how varying calcium levels—from deficiency to toxicity—affect the soybean ‘root-nodule-stem’ balance has not been fully elucidated. To investigate this mechanism, a two-year sand culture experiment was
[...] Read more.
Calcium is essential for legume symbiotic nitrogen fixation, acting as both a nutrient and a signal. Yet, how varying calcium levels—from deficiency to toxicity—affect the soybean ‘root-nodule-stem’ balance has not been fully elucidated. To investigate this mechanism, a two-year sand culture experiment was conducted with three treatments: low calcium (0.1 mmol/L), moderate calcium (1 mmol/L), and high calcium (10 mmol/L), to systematically analyze their effects on soybean plant growth, nitrogenase activity, and nitrogen fixation capacity. The results indicated that the moderate calcium treatment supported the best root growth and nodule development, with both leghemoglobin (Lb) content and specific nitrogenase activity (SNA) reaching their peak levels. Low calcium stress significantly inhibited root elongation, while poor nodule development accompanied by a decrease in Lb content, thereby suppressing nitrogen fixation potential. In contrast to the low calcium treatment, although high calcium treatment inhibited root growth, it significantly increased the allocation of total plant dry matter to the root system. Under high calcium treatment, the ureide content in nodules increased significantly, whereas the ureide content in stems decreased substantially. This distributional imbalance suggests that high calcium obstructed the long-distance transport of nitrogen fixation products, subsequently leading to a significant decline in nitrogenase activity through a negative metabolic feedback mechanism. Calcium deficiency primarily resulted in structural impairments in nodule development, whereas high calcium induced functional inhibition by blocking ureide transport. Maintaining calcium homeostasis is important for ensuring efficient nitrogen fixation and source-sink balance in soybeans.
Full article
(This article belongs to the Section Soil and Plant Nutrition)
►▼
Show Figures

Figure 1
Open AccessCorrection
Correction: Gong et al. Machine Learning-Based Estimation of Tractor Performance in Tillage Operations Using Soil Physical Properties. Agronomy 2025, 15, 2228
by
So-Yun Gong, Seung-Min Baek, Seung-Yun Baek, Yong-Joo Kim and Wan-Soo Kim
Agronomy 2026, 16(3), 356; https://doi.org/10.3390/agronomy16030356 - 2 Feb 2026
Abstract
In the original publication [...]
Full article
(This article belongs to the Special Issue Harnessing Sensing, Artificial Intelligence, and Robotics for Digital Agriculture)
Journal Menu
► ▼ Journal Menu-
- Agronomy Home
- Aims & Scope
- Editorial Board
- Reviewer Board
- Topical Advisory Panel
- Instructions for Authors
- Special Issues
- Topics
- Sections & Collections
- Article Processing Charge
- Indexing & Archiving
- Editor’s Choice Articles
- Most Cited & Viewed
- Journal Statistics
- Journal History
- Journal Awards
- Society Collaborations
- Conferences
- Editorial Office
Journal Browser
► ▼ Journal BrowserHighly Accessed Articles
Latest Books
E-Mail Alert
News
Topics
Topic in
Agrochemicals, Agronomy, Insects, IJMS, Marine Drugs, Toxins, Agriculture, Biology
Research on Natural Bioactive Product-Based Pesticidal Agents—2nd Edition
Topic Editors: Min Lv, Hui XuDeadline: 28 February 2026
Topic in
Agriculture, Agronomy, Forests, Plants, Stresses
Effect of Heavy Metals on Plants, 2nd Volume
Topic Editors: Yinbo Gan, Martin BackorDeadline: 31 March 2026
Topic in
Agriculture, AgriEngineering, Agronomy, Applied Sciences, Automation, Crops, Robotics, Sensors
Digital Agriculture, Smart Farming and Crop Monitoring
Topic Editors: Qingting Liu, Tao Wu, Zhigang ZhangDeadline: 30 April 2026
Topic in
Agronomy, Crops, Plants
Abiotic Stress Responses in Wheat: Perspectives on Productivity and Sustainability
Topic Editors: Wenshan Guo, Jinfeng Ding, Min ZhuDeadline: 22 May 2026
Conferences
6 February 2026
Agronomy Webinar | Natural Products and Microbial Strategies for Integrated Crop Protection with Broader Applications, 6 February 2026

14–16 September 2026
The 5th International Electronic Conference on Forests–Forests at the Crossroads: Integrating Ecology, Technological Innovation, and Governance

Special Issues
Special Issue in
Agronomy
Food Security in the Face of Drought: Challenges and Prospects for the Future
Guest Editor: Weilu WangDeadline: 10 February 2026
Special Issue in
Agronomy
Soil Pollution and Remediation in Sustainable Agriculture
Guest Editor: Cledimar Rogério LourenziDeadline: 15 February 2026
Special Issue in
Agronomy
Qualitative and Quantitative Plant Screening Measurements for Yield and Quality Enhancement—2nd Edition
Guest Editors: Antonela Markulj Kulundžić, Domagoj ŠimićDeadline: 15 February 2026
Special Issue in
Agronomy
Next-Generation Pesticide Application Technologies: Precision, Safety and Environmental Sustainability
Guest Editors: Eric Mozzanini, Mohammod Ali, Hongyoung Jeon, Marco GrellaDeadline: 15 February 2026
Topical Collections
Topical Collection in
Agronomy
Nutrition Management of Hydroponic Vegetable Crops
Collection Editors: Georgia Ntatsi, Damianos Neocleous
Topical Collection in
Agronomy
Towards Sustainable Intensification of Crop Production—Yield Gaps and Water Use Efficiency in Farming Systems
Collection Editors: Anita Ierna, Paula Paredes
Topical Collection in
Agronomy
Agricultural Water Conservation: Tools, Strategies, and Practices
Collection Editor: Aliasghar Montazar
Topical Collection in
Agronomy
Scion-Rootstock Interaction in Horticultural Crops: Physiological and Agronomic Implications
Collection Editors: Youssef Rouphael, Giuseppe Colla, Marios Kyriacou

