Effects of Calcium Nutrition on Soybean Growth and Symbiotic Nitrogen Fixation
Abstract
1. Introduction
2. Materials and Methods
2.1. Experimental Materials
2.2. Experimental Treatments
2.3. Sampling Methods
2.4. Measurement Indices and Methods
2.5. Data Analysis
3. Results
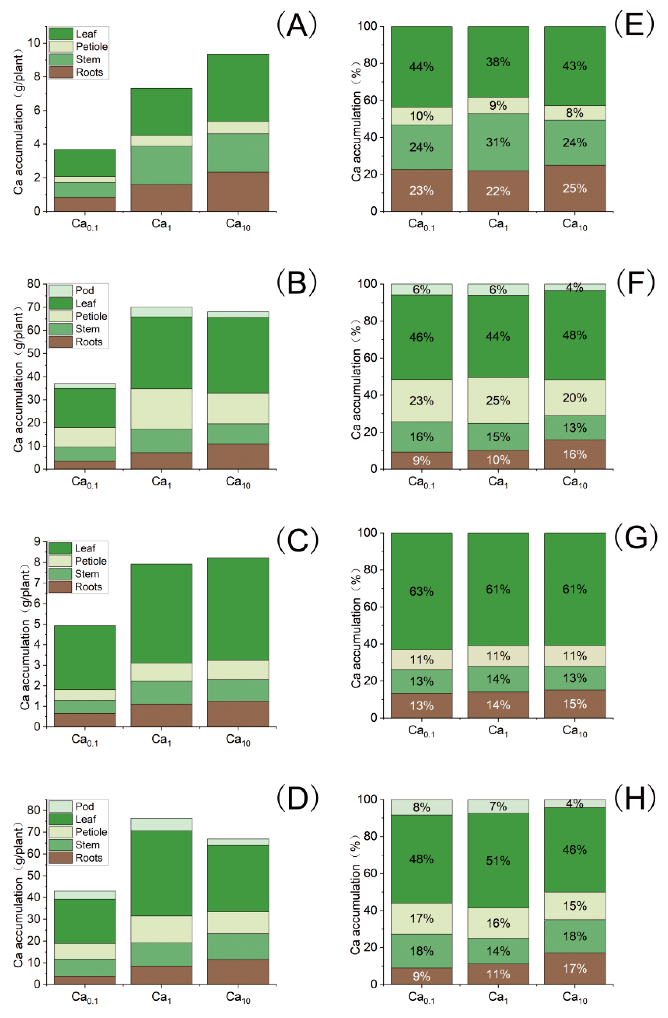
3.1. Effects of Calcium Nutrition on Soybean Plant Growth
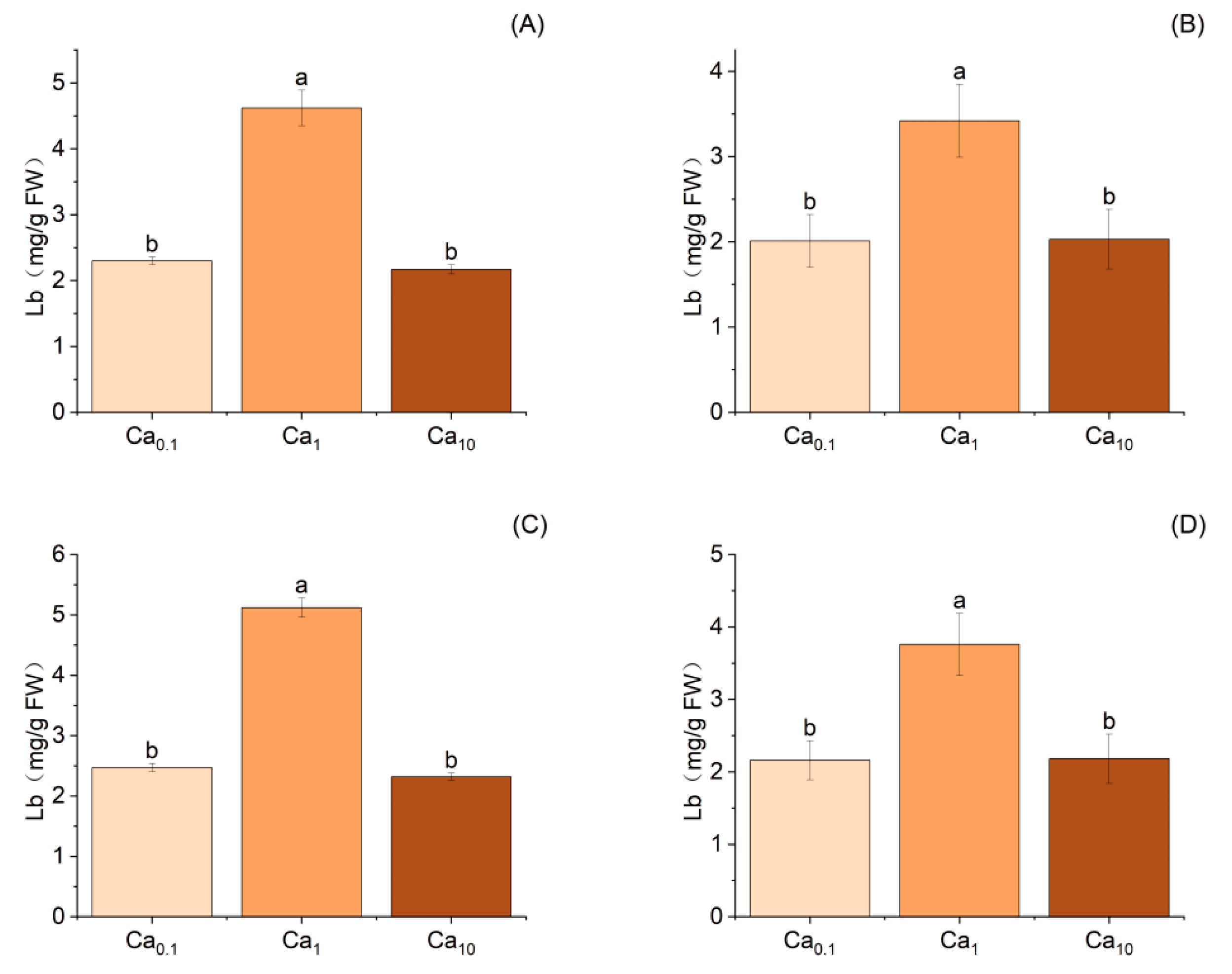
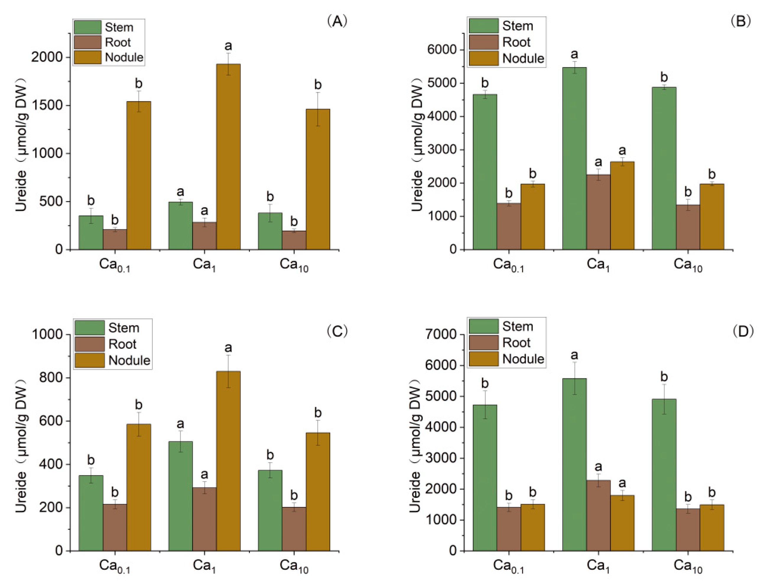
3.2. Effects of Calcium Nutrition on Nitrogen Fixation of Soybean Root Nodules
4. Discussion
4.1. Physiological Regulation of Soybean Plant Growth by Calcium Levels
4.2. Regulation of Root Nodule Development and Nitrogen Fixation by Calcium Supply
5. Conclusions
Author Contributions
Funding
Data Availability Statement
Acknowledgments
Conflicts of Interest
Abbreviations
| DW | Dry weight |
| SNA | Specific nitrogenase activity |
| ARA | Acetylene reduction activity |
| Lb | Leghemoglobin |
References
- Stagnari, F.; Maggio, A.; Galieni, A.; Pisante, M. Multiple Benefits of Legumes for Agriculture Sustainability: An Overview. Chem. Biol. Technol. Agric. 2017, 4, 2. [Google Scholar] [CrossRef]
- Ferguson, B.J.; Mens, C.; Hastwell, A.H.; Zhang, M.; Su, H.; Jones, C.H.; Chu, X.; Gresshoff, P.M. Legume Nodulation: The Host Controls the Party. Plant Cell Environ. 2019, 42, 41–51. [Google Scholar] [CrossRef] [PubMed]
- Soumare, A.; Diedhiou, A.G.; Thuita, M.; Hafidi, M.; Ouhdouch, Y.; Gopalakrishnan, S.; Kouisni, L. Exploiting Biological Nitrogen Fixation: A Route Towards a Sustainable Agriculture. Plants 2020, 9, 1011. [Google Scholar] [CrossRef] [PubMed]
- Zahran, H.H. Rhizobium -Legume Symbiosis and Nitrogen Fixation under Severe Conditions and in an Arid Climate. Microbiol. Mol. Biol. Rev. 1999, 63, 968–989. [Google Scholar] [CrossRef]
- Thor, K. Calcium—Nutrient and Messenger. Front. Plant Sci. 2019, 10, 440. [Google Scholar] [CrossRef]
- Zipfel, C.; Oldroyd, G.E.D. Plant Signalling in Symbiosis and Immunity. Nature 2017, 543, 328–336. [Google Scholar] [CrossRef]
- Marsollier, A.-C.; Ingram, G. Getting Physical: Invasive Growth Events during Plant Development. Curr. Opin. Plant Biol. 2018, 46, 8–17. [Google Scholar] [CrossRef]
- White, P.J. Calcium in Plants. Ann. Bot. 2003, 92, 487–511. [Google Scholar] [CrossRef]
- Zartdinova, R.; Nikitin, A. Calcium in the Life Cycle of Legume Root Nodules. Indian J. Microbiol. 2023, 63, 410–420. [Google Scholar] [CrossRef]
- Han, J.; Shi, J.; Zeng, L.; Xu, J.; Wu, L. Effects of Nitrogen Fertilization on the Acidity and Salinity of Greenhouse Soils. Environ. Sci. Pollut. Res. 2015, 22, 2976–2986. [Google Scholar] [CrossRef]
- Rietra, R.P.J.J.; Heinen, M.; Dimkpa, C.O.; Bindraban, P.S. Effects of Nutrient Antagonism and Synergism on Yield and Fertilizer Use Efficiency. Commun. Soil Sci. Plant Anal. 2017, 48, 1895–1920. [Google Scholar] [CrossRef]
- Le Gall, H.; Philippe, F.; Domon, J.-M.; Gillet, F.; Pelloux, J.; Rayon, C. Cell Wall Metabolism in Response to Abiotic Stress. Plants 2015, 4, 112–166. [Google Scholar] [CrossRef]
- Udvardi, M.; Poole, P.S. Transport and Metabolism in Legume-Rhizobia Symbioses. Annu. Rev. Plant Biol. 2013, 64, 781–805. [Google Scholar] [CrossRef] [PubMed]
- Carter, A.M.; Tegeder, M. Increasing Nitrogen Fixation and Seed Development in Soybean Requires Complex Adjustments of Nodule Nitrogen Metabolism and Partitioning Processes. Curr. Biol. 2016, 26, 2044–2051. [Google Scholar] [CrossRef] [PubMed]
- Tegeder, M.; Masclaux-Daubresse, C. Source and Sink Mechanisms of Nitrogen Transport and Use. New Phytol. 2018, 217, 35–53. [Google Scholar] [CrossRef] [PubMed]
- Beattie, G.A.; Handelsman, J. A Rapid Method for the Isolation and Identification of Rhizobium from Root Nodules. J. Microbiol. Methods 1989, 9, 29–33. [Google Scholar] [CrossRef]
- Somasegaran, P.; Hoben, H.J. Methods in Legume-Rhizobium Technology; University of Hawaii: Honolulu, HI, USA, 1985. [Google Scholar]
- Essa, T.A. Effect of Salinity Stress on Growth and Nutrient Composition of Three Soybean (Glycine max L. Merrill) Cultivars. J. Agron. Crop Sci. 2002, 188, 86–93. [Google Scholar] [CrossRef]
- Osborne, S.L.; Riedell, W.E. Starter Nitrogen Fertilizer Impact on Soybean Yield and Quality in the Northern Great Plains. Agron. J. 2006, 98, 1569–1574. [Google Scholar] [CrossRef]
- Wilson, D.O.; Reisenauer, H.M. Determination of Leghemoglobin in Legume Nodules. Anal. Biochem. 1963, 6, 27–30. [Google Scholar] [CrossRef]
- King, C.A.; Purcell, L.C. Inhibition of N2 Fixation in Soybean Is Associated with Elevated Ureides and Amino Acids. Plant Physiol. 2005, 137, 1389–1396. [Google Scholar] [CrossRef]
- Kudla, J.; Batistič, O.; Hashimoto, K. Calcium Signals: The Lead Currency of Plant Information Processing. Plant Cell 2010, 22, 541–563. [Google Scholar] [CrossRef]
- Cosgrove, D.J. Plant Cell Wall Extensibility: Connecting Plant Cell Growth with Cell Wall Structure, Mechanics, and the Action of Wall-Modifying Enzymes. J. Exp. Bot. 2016, 67, 463–476. [Google Scholar] [CrossRef] [PubMed]
- Thomas, R.; Fang, X.; Ranathunge, K.; Anderson, T.R.; Peterson, C.A.; Bernards, M.A. Soybean Root Suberin: Anatomical Distribution, Chemical Composition, and Relationship to Partial Resistance to Phytophthora sojae. Plant Physiol. 2007, 144, 299–311. [Google Scholar] [CrossRef] [PubMed]
- Hirschi, K.D. The Calcium Conundrum. Both Versatile Nutrient and Specific Signal. Plant Physiol. 2004, 136, 2438–2442. [Google Scholar] [CrossRef] [PubMed]
- Himschoot, E.; Pleskot, R.; Van Damme, D.; Vanneste, S. The Ins and Outs of Ca2+ in Plant Endomembrane Trafficking. Curr. Opin. Plant Biol. 2017, 40, 131–137. [Google Scholar] [CrossRef]
- Rhodes, R.; Miles, N.; Hughes, J.C. Interactions between Potassium, Calcium and Magnesium in Sugarcane Grown on Two Contrasting Soils in South Africa. Field Crops Res. 2018, 223, 1–11. [Google Scholar] [CrossRef]
- Hochmal, A.K.; Schulze, S.; Trompelt, K.; Hippler, M. Calcium-Dependent Regulation of Photosynthesis. Biochim. Biophys. Acta (BBA)-Bioenerg. 2015, 1847, 993–1003. [Google Scholar] [CrossRef]
- Sutka, M.; Li, G.; Boudet, J.; Boursiac, Y.; Doumas, P.; Maurel, C. Natural Variation of Root Hydraulics in Arabidopsis Grown in Normal and Salt-Stressed Conditions. Plant Physiol. 2011, 155, 1264–1276. [Google Scholar] [CrossRef]
- Huang, S.; Roelfsema, M.R.G.; Gilliham, M.; Hetherington, A.M.; Hedrich, R. Guard Cells Count the Number of Unitary Cytosolic Ca2+ Signals to Regulate Stomatal Dynamics. Curr. Biol. 2024, 34, 5409–5416.e2. [Google Scholar] [CrossRef]
- Roy, S.; Liu, W.; Nandety, R.S.; Crook, A.; Mysore, K.S.; Pislariu, C.I.; Frugoli, J.; Dickstein, R.; Udvardi, M.K. Celebrating 20 Years of Genetic Discoveries in Legume Nodulation and Symbiotic Nitrogen Fixation. Plant Cell 2020, 32, 15–41. [Google Scholar] [CrossRef]
- Oldroyd, G.E.D. Speak, Friend, and Enter: Signalling Systems That Promote Beneficial Symbiotic Associations in Plants. Nat. Rev. Microbiol. 2013, 11, 252–263. [Google Scholar] [CrossRef]
- Zhang, X.; Wu, J.; Kong, Z. Cellular Basis of Legume–Rhizobium Symbiosis. Plant Commun. 2024, 5, 101045. [Google Scholar] [CrossRef]
- Mortier, V.; De Wever, E.; Vuylsteke, M.; Holsters, M.; Goormachtig, S. Nodule Numbers Are Governed by Interaction between CLE Peptides and Cytokinin Signaling. Plant J. 2012, 70, 367–376. [Google Scholar] [CrossRef]
- Puppo, A.; Groten, K.; Bastian, F.; Carzaniga, R.; Soussi, M.; Lucas, M.M.; De Felipe, M.R.; Harrison, J.; Vanacker, H.; Foyer, C.H. Legume Nodule Senescence: Roles for Redox and Hormone Signalling in the Orchestration of the Natural Aging Process. New Phytol. 2005, 165, 683–701. [Google Scholar] [CrossRef]
- Minchin, F.R.; James, E.K.; Becana, M. Oxygen Diffusion, Production of Reactive Oxygen and Nitrogen Species, and Antioxidants in Legume Nodules. In Nitrogen-Fixing Leguminous Symbioses; Dilworth, M.J., James, E.K., Sprent, J.I., Newton, W.E., Eds.; Nitrogen Fixation: Origins, Applications, and Research Progress; Springer Netherlands: Dordrecht, The Netherlands, 2007; Volume 7, pp. 321–362. ISBN 978-1-4020-3545-6. [Google Scholar]
- Coba De La Peña, T.; Fedorova, E.; Pueyo, J.J.; Lucas, M.M. The Symbiosome: Legume and Rhizobia Co-Evolution toward a Nitrogen-Fixing Organelle? Front. Plant Sci. 2018, 8, 2229. [Google Scholar] [CrossRef]
- Collier, R.; Tegeder, M. Soybean Ureide Transporters Play a Critical Role in Nodule Development, Function and Nitrogen Export. Plant J. 2012, 72, 355–367. [Google Scholar] [CrossRef]
- Arrese-Igor, C.; González, E.M.; Marino, D.; Ladrera, R.; Larrainzar, E.; Gil-Quintana, E. Physiological Responses of Legume Nodules to Drought. Plant Stress 2011, 5, 24–31. [Google Scholar]





| Year | Growth Stage | Treatment | DW (g/Plant) | R/S Ratio | |
|---|---|---|---|---|---|
| Shoot DW | Root DW | ||||
| 2024 | R1 | Ca0.1 | 2.35 ± 0.05 b | 1.58 ± 0.07 c | 0.67 ± 0.04 c |
| Ca1 | 2.89 ± 0.14 a | 2.14 ± 0.01 a | 0.74 ± 0.04 b | ||
| Ca10 | 2.12 ± 0.05 b | 1.74 ± 0.02 b | 0.82 ± 0.03 a | ||
| R5 | Ca0.1 | 25.19 ± 0.69 b | 5.40 ± 0.22 c | 0.21 ± 0.01 c | |
| Ca1 | 32.10 ± 1.84 a | 8.45 ± 0.31 a | 0.26 ± 0.01 b | ||
| Ca10 | 21.96 ± 0.73 c | 7.08 ± 0.41 b | 0.32 ± 0.01 a | ||
| 2025 | R1 | Ca0.1 | 2.57 ± 0.18 a | 1.84 ± 0.03 c | 0.72 ± 0.05 c |
| Ca1 | 2.93 ± 0.32 a | 2.40 ± 0.27 a | 0.82 ± 0.07 b | ||
| Ca10 | 2.20 ± 0.16 b | 2.03 ± 0.13 b | 0.92 ± 0.04 a | ||
| R5 | Ca0.1 | 24.95 ± 0.84 a | 7.10 ± 0.29 c | 0.28 ± 0.01 c | |
| Ca1 | 26.14 ± 2.92 a | 9.98 ± 1.17 a | 0.38 ± 0.03 b | ||
| Ca10 | 14.23 ± 1.81 b | 7.58 ± 0.31 b | 0.54 ± 0.07 a | ||
| Year | Growth Stage | Treatment | Nodule Weight (g) | Nodule Number (Per Plant) | Single Nodule Weight (mg) |
|---|---|---|---|---|---|
| 2024 | R1 | Ca0.1 | 0.26 ± 0.03 c | 88.75 ± 7.97 c | 2.60 ± 0.20 c |
| Ca1 | 0.46 ± 0.03 a | 126.25 ± 4.19 a | 3.60 ± 0.30 a | ||
| Ca10 | 0.34 ± 0.04 b | 105.75 ± 6.99 b | 3.20 ± 0.30 b | ||
| R5 | Ca0.1 | 1.58 ± 0.06 c | 224.00 ± 10.17 c | 7.00 ± 0.30 c | |
| Ca1 | 3.40 ± 0.17 a | 316.50 ± 19.40 a | 10.80 ± 0.90 a | ||
| Ca10 | 2.21 ± 0.10 b | 262.00 ± 18.78 b | 8.40 ± 0.20 b | ||
| 2025 | R1 | Ca0.1 | 0.32 ± 0.01 c | 102.33 ± 5.68 c | 3.10 ± 0.20 c |
| Ca1 | 0.57 ± 0.04 a | 142.00 ± 18.87 a | 4.00 ± 0.30 a | ||
| Ca10 | 0.41 ± 0.04 b | 120.33 ± 12.71 b | 3.40 ± 0.20 b | ||
| R5 | Ca0.1 | 1.65 ± 0.32 c | 119.50 ± 5.32 c | 12.30 ± 1.20 c | |
| Ca1 | 3.55 ± 0.22 a | 202.25 ± 17.35 a | 17.40 ± 1.80 a | ||
| Ca10 | 2.13 ± 0.17 b | 151.00 ± 0.92 b | 14.50 ± 0.40 b |
| Year | Treatment | SNA (C2H4 µmol h−1 g−1·DW) | ARA (C2H4 µmol h−1 plant−1) | ||
|---|---|---|---|---|---|
| R1 | R5 | R1 | R5 | ||
| 2024 | Ca0.1 | 41.90 ± 1.71 b | 20.60 ± 1.93 b | 4.33 ± 0.52 b | 17.67 ± 2.03 b |
| Ca1 | 46.55 ± 1.72 a | 28.69 ± 2.57 a | 5.64 ± 0.74 a | 20.74 ± 1.27 a | |
| Ca10 | 41.17± 8.71 b | 19.78 ± 1.15 b | 4.28 ± 1.68 b | 13.87 ± 3.82 b | |
| 2025 | Ca0.1 | 84.89 ± 11.32 b | 36.65 ± 5.35 b | 11.42 ± 1.52 b | 24.75 ± 3.26 b |
| Ca1 | 92.03 ± 10.40 a | 53.85 ± 8.75 a | 13.73 ± 1.68 a | 40.42 ± 7.47 a | |
| Ca10 | 83.77 ± 13.56 b | 36.39 ± 4.04 b | 10.26 ± 1.42 b | 16.10 ± 1.42 b | |
Disclaimer/Publisher’s Note: The statements, opinions and data contained in all publications are solely those of the individual author(s) and contributor(s) and not of MDPI and/or the editor(s). MDPI and/or the editor(s) disclaim responsibility for any injury to people or property resulting from any ideas, methods, instructions or products referred to in the content. |
© 2026 by the authors. Licensee MDPI, Basel, Switzerland. This article is an open access article distributed under the terms and conditions of the Creative Commons Attribution (CC BY) license.
Share and Cite
Zhao, S.; Kang, X.; Li, M.; Lyu, X.; Yan, C.; Song, Q. Effects of Calcium Nutrition on Soybean Growth and Symbiotic Nitrogen Fixation. Agronomy 2026, 16, 357. https://doi.org/10.3390/agronomy16030357
Zhao S, Kang X, Li M, Lyu X, Yan C, Song Q. Effects of Calcium Nutrition on Soybean Growth and Symbiotic Nitrogen Fixation. Agronomy. 2026; 16(3):357. https://doi.org/10.3390/agronomy16030357
Chicago/Turabian StyleZhao, Sutong, Xiaomin Kang, Mingyue Li, Xiaochen Lyu, Chao Yan, and Qiulai Song. 2026. "Effects of Calcium Nutrition on Soybean Growth and Symbiotic Nitrogen Fixation" Agronomy 16, no. 3: 357. https://doi.org/10.3390/agronomy16030357
APA StyleZhao, S., Kang, X., Li, M., Lyu, X., Yan, C., & Song, Q. (2026). Effects of Calcium Nutrition on Soybean Growth and Symbiotic Nitrogen Fixation. Agronomy, 16(3), 357. https://doi.org/10.3390/agronomy16030357

