Soil Enzymes and Stable Isotopes as Suitable Soil–Plant Indicators of Ecosystem Functionality in Mediterranean Forests
Abstract
1. Introduction
2. Materials and Methods
2.1. Study Area
2.2. Soil and Plant Litter Sampling
2.3. Soil Physical Characterization
2.4. N and C Concentrations and Stable Isotopes
2.5. Enzyme Activities and Stoichiometry
2.6. Statistical Analysis
3. Results
3.1. Litter and Soil Properties
3.2. Carbon and Nitrogen Stable Isotopes
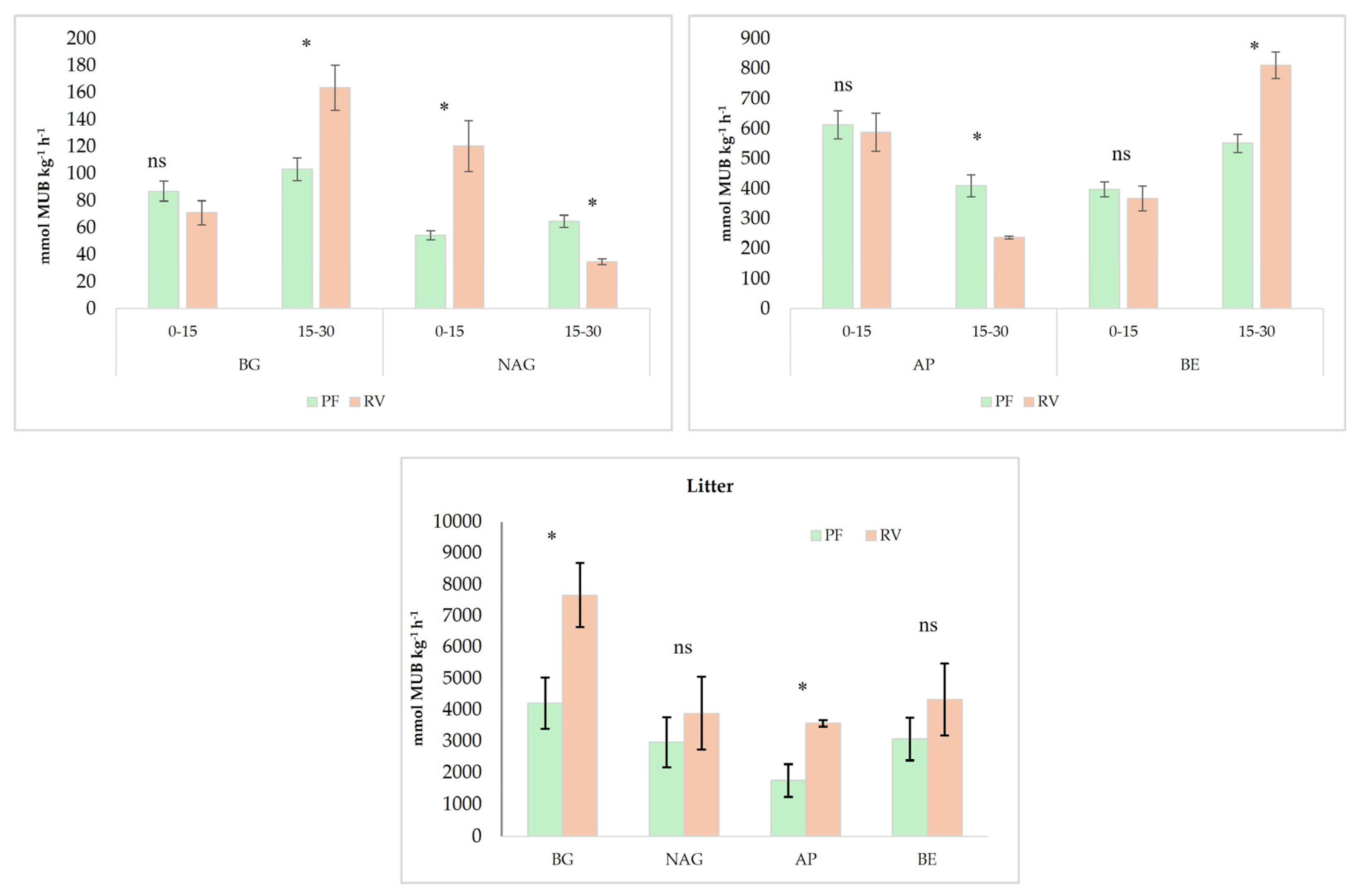
3.3. Enzyme Activities and Stoichiometry
4. Discussion
5. Conclusions
Author Contributions
Funding
Data Availability Statement
Acknowledgments
Conflicts of Interest
References
- Thierry, G.; Geneviève, M.; Richard, J.; Robin, D.; Didier, G. Mediterranean forests, land use and climate change: A social-ecological perspective. Reg. Environ. Change 2018, 18, 623–636. [Google Scholar] [CrossRef]
- Morán-Ordóñez, A.; Ameztegui, A.; De Cáceres, M.; de-Miguel, S.; Lefèvre, F.; Brotons, L.; Coll, L. Future trade-offs and synergies among ecosystem services in Mediterranean forests under global change scenarios. Ecosyst. Serv. 2020, 45, 101174. [Google Scholar] [CrossRef]
- Hidalgo-Triana, N.; Solakis, A.; Casimiro-Soriguer, F.; Choe, H.; Navarro, T.; Perez-Latorre, A.V.; Thorne, J.H. The high climate vulnerability of western Mediterranean forests. Sci. Total Environ. 2023, 895, 164983. [Google Scholar] [CrossRef]
- Arduini, I.; Cardelli, R.; Bertacchi, A. The forest of San Rossore (Tuscany, Italy): A call for its conservation through a multidisciplinary approach. EGU Gen. Assem. 2020, EGU2020-20738. [Google Scholar] [CrossRef]
- Travaglini, D.; Garosi, C.; Logli, F.; Parisi, F.; Ursumando, I.; Vettori, C.; Paffetti, D. Stand structure and natural regeneration in a coastal Stone pine (Pinus pinea L.) forest in Central Italy. In Ninth International Symposium, Monitoring of Mediterranean Coastal Areas: Problems and Measurement Techniques; Firenze University Press: Florence, Italy, 2022; pp. 775–784. [Google Scholar] [CrossRef]
- Tordoni, E.; Bacaro, G.; Weigelt, P.; Cameletti, M.; Janssen, J.A.M.; Acosta, A.T.R.; Bagella, S.; Filigheddu, R.; Bergmeier, E.; Buckley, H.L.; et al. Disentangling native and alien plant diversity in coastal sand dune ecosystems worldwide. J. Veg. Sci. 2021, 32, e12861. [Google Scholar] [CrossRef]
- Lehmann, J.; Bossio, D.A.; Kögel-Knabner, I.; Rilling, M.C. The concept and future prospects of soil health. Nat. Rev. Earth Environ. 2020, 1, 544–553. [Google Scholar] [CrossRef]
- Dale, V.H.; Beyeler, S.C. Challenges in the development and use of ecological indicators. Ecol. Indic. 2001, 1, 3–10. [Google Scholar] [CrossRef]
- Karaca, A.; Cetin, S.C.; Turgay, O.C.; Kizilkaya, R. Soil enzymes as indication of soil quality. In Soil Enzymology; Springer: Berlin/Heidelberg, Germany, 2010; pp. 119–148. [Google Scholar] [CrossRef]
- Das, S.K.; Varma, A. Role of enzymes in maintaining soil health. In Soil Enzymology; Springer: Berlin/Heidelberg, Germany, 2010; pp. 25–42. [Google Scholar] [CrossRef]
- Moorhead, D.L.; Sinsabaugh, R.L.; Hill, B.H.; Weintraub, M.N. Vector analysis of ecoenzyme activities reveal constraints on coupled C., N and P dynamics. Soil. Biol. Biochem. 2016, 93, 1–7. [Google Scholar] [CrossRef]
- Adetunji, A.T.; Lewu, F.B.; Mulidzi, R.; Ncube, B. The biological activities of β-glucosidase, phosphatase and urease as soil quality indicators: A review. J. Soil. Sci. Plant Nutr. 2017, 17, 794–807. [Google Scholar] [CrossRef]
- Moorhead, D.; Cui, Y.; Sinsabaugh, R.; Schimel, J. Interpreting patterns of ecoenzymatic stoichiometry. Soil. Biol. Biochem. 2023, 180, 108997. [Google Scholar] [CrossRef]
- Sinsabaugh, R.L.; Hill, B.H.; Shah, J.J.F. Ecoenzymatic stoichiometry of microbial organic nutrient acquisition in soil and sediment. Nature 2009, 462, 795–798. [Google Scholar] [CrossRef]
- Sinsabaugh, R.L.; Shah, J.J.F.; Hill, B.H.; Elonen, C.M. Ecoenzymatic stoichiometry of stream sediments with comparison to terrestrial soils. Biogeochemistry 2012, 111, 455–467. [Google Scholar] [CrossRef]
- Kunito, T.; Moro, H.; Mise, K.; Sawada, K.; Otsuka, S.; Nagaoka, K.; Fujita, K. Ecoenzymatic stoichiometry as a temporally integrated indicator of nutrient availability in soils. Soil. Sci. Plant Nutr. 2024, 70, 246–269. [Google Scholar] [CrossRef]
- Cui, Y.; Moorhead, D.L.; Peng, S.; Sinsabaugh, R.L. New insights into the patterns of ecoenzymatic stoichiometry in soil and sediment. Soil. Biol. Biochem. 2023, 177, 108910. [Google Scholar] [CrossRef]
- Vannucchi, F.; Peruzzi, E.; Doni, S.; Manzi, D.; Azzini, L.; Pathan, S.I.; Pietramellara, G.; Arfaioli, P.; Nicese, F.P.; Masciandaro, G.; et al. Biological assessment of green waste and dredged sediment co-composting for nursery plant cultivation. Appl. Sci. 2024, 14, 5767. [Google Scholar] [CrossRef]
- Giannini, V.; Peruzzi, E.; Masciandaro, G.; Doni, S.; Macci, C.; Bonari, E.; Silvestri, N. Comparison among different rewetting strategies of degraded agricultural peaty soils: Short-term effects on chemical properties and ecoenzymatic activities. Agronomy 2020, 10, 1084. [Google Scholar] [CrossRef]
- Wu, Y.; Chen, W.; Li, Q.; Guo, Z.; Li, Y.; Zhao, Z.; Zhai, J.; Liu, G.; Xue, S. Ecoenzymatic stoichiometry and nutrient limitation under a natural secondary succession of vegetation on the Loess Plateau, China. Land Degrad. Dev. 2021, 32, 399–409. [Google Scholar] [CrossRef]
- Pan, Y.; Zhang, Z.; Zhang, M.; Huang, P.; Dai, L.; Ma, Z.; Liu, J. Climate vs. nutrient control: A global analysis of driving environmental factors of wetland plant biomass allocation strategy. J. Clean. Prod. 2023, 406, 136983. [Google Scholar] [CrossRef]
- He, L.; Lu, S.; Wang, C.; Mu, J.; Zhang, Y.; Wang, X. Changes in soil organic carbon fractions and enzyme activities in response to tillage practices in the Loess Plateau of China. Soil Tillage Res. 2021, 209, 104940. [Google Scholar] [CrossRef]
- Cui, H.; Mo, C.Y.; Chen, P.F.; Lan, R.; He, C.; Lin, J.D.; Jiang, Z.H.; Yang, J.P. Impact of rhizosphere priming on soil organic carbon dynamics: Insights from the perspective of carbon fractions. Appl. Soil Ecol. 2023, 189, 104982. [Google Scholar] [CrossRef]
- Shen, F.; Liu, N.; Shan, C.; Li, J.; Wang, M.; Wang, Y.; Yang, L. Soil extracellular enzyme stoichiometry reveals the increased P limitation of microbial metabolism after the mixed cultivation of Korean pine and Manchurian walnut in Northeast China. Eur. J. Soil Biol. 2023, 118, 103539. [Google Scholar] [CrossRef]
- Choi, W.J.; Müller, C.; Zaman, M.; Nannipieri, P. Stable isotopes for the study of soil C and N under global change. Biol. Fertil. Soils 2023, 59, 485–486. [Google Scholar] [CrossRef]
- Macci, C.; Vannucchi, F.; Scartazza, A.; Masciandaro, G.; Doni, S.; Peruzzi, E. Soil–Plant Indicators for Assessing Nutrient Cycling and Ecosystem Functionality in Urban Forestry. Urban. Sci. 2025, 9, 82. [Google Scholar] [CrossRef]
- Psuty, N.P. The Coastal Foredune: A Morphological Basis for Regional Coastal Dune Development. In Coastal Dunes; Springer: Berlin/Heidelberg, Germany, 2008; pp. 25–45. [Google Scholar] [CrossRef]
- Rawlins, B.; Wragg, J.; Lark, R. Application of a novel method for soil aggregate stability measurement by laser granulometry with sonication. Eur. J. Soil Sci. 2013, 64, 92–103. [Google Scholar] [CrossRef]
- Marx, M.C.; Wood, M.; Jarvis, S.C. A microplate fluorimetric assay for the study of enzyme diversity in soils. Soil Biol. Biochem. 2001, 33, 1633–1640. [Google Scholar] [CrossRef]
- Vepsäläinen, M.; Kukkonen, S.; Vestberg, M.; Sirviö, H.; Niemi, R.M. Application of soil enzyme activity test kit in a field experiment. Soil Biol. Biochem. 2001, 33, 1665–1672. [Google Scholar] [CrossRef]
- Wang, Y.; Gunina, A.; Long, F.; Sun, T. Forms of nitrogen deposition shift soil microbial resource limitation and carbon use efficiency in temperate forest. Catena 2025, 261, 109505. [Google Scholar] [CrossRef]
- Even, R.; Cotrufo, M. The ability of soils to aggregate, more than the state of aggregation, promotes protected soil organic matter formation. Geoderma 2024, 442, 116760. [Google Scholar] [CrossRef]
- Wagner, S.; Cattle, S.R.; Scholten, T. Soil-aggregate formation as influenced by clay content and organic-matter amendment. J. Plant Nutr. Soil Sci. 2007, 170, 173–180. [Google Scholar] [CrossRef]
- Scartazza, A.; Vaccari, F.P.; Bertolini, T.; Di Tommasi, P.; Lauteri, M.; Miglietta, F.; Brugnoli, E. Comparing integrated stable isotope and eddy covariance estimates of water-use efficiency on a Mediterranean successional sequence. Oecologia 2014, 176, 581–594. [Google Scholar] [CrossRef] [PubMed]
- Robinson, D. δ15N as an integrator of the nitrogen cycle. Trends Ecol. Evol. 2001, 16, 153–162. [Google Scholar] [CrossRef]
- Sheng, W.; Yu, G.; Fang, H.; Liu, Y.; Wang, Q.; Chen, Z.; Zhang, L. Regional patterns of 15N natural abundance in forest ecosystems along a large transect in eastern China. Sci. Rep. 2014, 4, 4249. [Google Scholar] [CrossRef]
- Amare, S.; Haile, M.; Birhane, E. Changes in Ammonium-to-Nitrate Ratio along Faidherbia albida Tree Age Gradients in Arenosols. Nitrogen 2024, 5, 529–543. [Google Scholar] [CrossRef]
- Wynn, J.; Bird, M.; Wong, V. Rayleigh distillation and the depth profile of 13C/12C ratios of soil organic carbon from soils of disparate texture in Iron Range National Park, Far North Queensland, Australia. Geochim. Cosmochim. Acta 2005, 69, 1961–1973. [Google Scholar] [CrossRef]
- Hobbie, E.A.; Ouimette, A.P. Controls of nitrogen isotope patterns in soil profiles. Biogeochemistry 2009, 95, 355–371. [Google Scholar] [CrossRef]
- Philben, M.; Bowering, K.; Podrebarac, F.A.; Laganière, J.; Edwards, K.; Ziegler, S.E. Enrichment of 13C with depth in soil organic horizons is not explained by CO2 or DOC losses during decomposition. Geoderma 2022, 424, 116004. [Google Scholar] [CrossRef]
- Scartazza, A.; Huarancca Reyes, T.; Bretzel, F.; Pini, R.; Guglielminetti, L.; Calfapietra, C. Has COVID-19 Lockdown Affected C and N Level and Isotope Composition in Urban Soils and Plant Leaves. Ecosyst. Health Sustain. 2023, 9, 0117. [Google Scholar] [CrossRef]
- Gołębiewski, M.; Tarasek, A.; Sikora, M.; Deja-Sikora, E.; Tretyn, A.; Niklińska, M. Rapid microbial community changes during initial stages of pine litter decomposition. Microb. Ecol. 2019, 77, 56–75. [Google Scholar] [CrossRef]
- Prescott, C.E.; Vesterdal, L. Decomposition and transformations along the continuum from litter to soil organic matter in forest soils. For. Ecol. Manag. 2021, 498, 119522. [Google Scholar] [CrossRef]
- Craine, J.M.; Brookshire, E.N.J.; Cramer, M.D.; Hasselquist, N.J.; Koba, K.; Marin-Spiotta, E.; Wang, L. Ecological interpretations of nitrogen isotope ratios of terrestrial plants and soils. Plant Soil 2015, 396, 1–26. [Google Scholar] [CrossRef]
- Zechmeister-Boltenstern, S.; Keiblinger, K.M.; Mooshammer, M.; Peñuelas, J.; Richter, A.; Sardans, J.; Wanek, W. The application of ecological stoichiometry to plant–microbial–soil organic matter transformations. Ecol. Monogr. 2015, 85, 133–155. [Google Scholar] [CrossRef]
- Bird, M.; Kracht, O.; Derrien, D.; Zhou, Y. The effect of soil texture and roots on the stable carbon isotope composition of soil organic carbon. Aust. J. Soil Res. 2003, 41, 77–94. [Google Scholar] [CrossRef]
- Scartazza, A.; Gavrichkova, O.; Pini, R.; D’Acqui, L.P. Physically protected organic matter drives soil carbon sequestration potential of a managed grassland ecosystem in Italian Alps. Geoderma Reg. 2023, 34, e00686. [Google Scholar] [CrossRef]
- Wittmann, C.; Kähkönen, M.A.; Ilvesniemi, H.; Kurola, J.; Salkinoja-Salonen, M.S. Areal activities and stratification of hydrolytic enzymes involved in the biochemical cycles of carbon, nitrogen, sulphur and phosphorus in podsolized boreal forest soils. Soil Biol. Biochem. 2004, 36, 425–433. [Google Scholar] [CrossRef]
- Eivazi, F.; Tabatabai, M. Factors affecting glucosidase and galactosidase in soils. Soil Biol. Biochem. 1990, 22, 891–897. [Google Scholar] [CrossRef]
- Sun, Y.; Chen, X. Differential responses of soil extracellular enzyme activity and stoichiometry to precipitation changes in a poplar plantation. Environ. Res. 2024, 241, 117565. [Google Scholar] [CrossRef]
- Condron, L.M.; Turner, B.L.; Cade-Menun, B.J.; Sims, J.; Sharpley, A. Chemistry and dynamics of soil organic phosphorus. In Phosphorus: Agriculture and the Environment; Wiley: Hoboken, NJ, USA, 2005; pp. 87–121. [Google Scholar] [CrossRef]
- Meng, Y.; Li, P.; Xiao, L.; Liu, J.; Zhang, C.; Yang, S.; Zhang, X.; Wang, Y.; Wang, T.; Wang, R. Differences in the home-field effects of litter decomposition modulate changes in soil microbial nutrient limitations: Insights from eco-enzyme stoichiometry. Catena 2025, 258, 109289. [Google Scholar] [CrossRef]
- Moorhead, D.L.; Rinkes, Z.L.; Sinsabaugh, R.L.; Weintraub, M.N. Dynamic relationships between microbial biomass, respiration, inorganic nutrients and enzyme activities: Informing enzyme-based decomposition models. Front. Microbiol. 2013, 4, 233. [Google Scholar] [CrossRef] [PubMed]
- Cui, Y.; Fang, L.; Guo, X.; Han, F.; Ju, W.; Ye, L.; Tan, W.; Zhang, X. Natural grassland as the optimal pattern of vegetation restoration in arid and semi-arid regions: Evidence from nutrient limitation of soil microbes. Sci. Total Environ. 2019, 648, 388–397. [Google Scholar] [CrossRef]
- Jing, X.; Chen, X.; Fang, J.; Ji, C.; Shen, H.; Zheng, C.; Zhu, B. Soil microbial carbon and nutrient constraints are driven more by climate and soil physicochemical properties than by nutrient addition in forest ecosystems. Soil Biol. Biochem. 2020, 141, 107657. [Google Scholar] [CrossRef]





| Litter | 0–15 cm | 15–30 cm | |||||||
|---|---|---|---|---|---|---|---|---|---|
| PF | RV | PF | RV | PF | RV | ||||
| pH | 6.0 ± 1.23 | 7.6 ± 0.24 | ns | 6.9 ± 1.28 | 8.2 ± 0.19 | ns | |||
| EC | 0.7 ± 0.49 | 3.1 ± 0.62 | * | 1.0 ± 0.31 | 1.6 ± 0.20 | * | |||
| TOC | 49 ± 0.8 | 46 ± 0.7 | * | 2.7 ± 1.69 | 2.7 ± 1.80 | ns | 0.4 ± 0.14 | 0.4 ± 0.17 | ns |
| TN | 0.7 ± 0.05 | 0.9 ± 0.16 | * | 0.13 ± 0.04 | 0.33 ± 0.19 | * | 0.03 ± 0.01 | 0.09 ± 0.06 | * |
| TOC/TN | 70 ± 5.4 | 52 ± 9.2 | * | 21.3 ± 13.86 | 8.7 ± 2.77 | * | 12.9 ± 3.66 | 4.9 ± 1.48 | * |
Disclaimer/Publisher’s Note: The statements, opinions and data contained in all publications are solely those of the individual author(s) and contributor(s) and not of MDPI and/or the editor(s). MDPI and/or the editor(s) disclaim responsibility for any injury to people or property resulting from any ideas, methods, instructions or products referred to in the content. |
© 2026 by the authors. Licensee MDPI, Basel, Switzerland. This article is an open access article distributed under the terms and conditions of the Creative Commons Attribution (CC BY) license.
Share and Cite
Doni, S.; Vannucchi, F.; Macci, C.; Scartazza, A.; Pini, R.; Scatena, M.; Arriga, N.; Dell’Acqua, A.; Masciandaro, G.; Peruzzi, E. Soil Enzymes and Stable Isotopes as Suitable Soil–Plant Indicators of Ecosystem Functionality in Mediterranean Forests. Agronomy 2026, 16, 374. https://doi.org/10.3390/agronomy16030374
Doni S, Vannucchi F, Macci C, Scartazza A, Pini R, Scatena M, Arriga N, Dell’Acqua A, Masciandaro G, Peruzzi E. Soil Enzymes and Stable Isotopes as Suitable Soil–Plant Indicators of Ecosystem Functionality in Mediterranean Forests. Agronomy. 2026; 16(3):374. https://doi.org/10.3390/agronomy16030374
Chicago/Turabian StyleDoni, Serena, Francesca Vannucchi, Cristina Macci, Andrea Scartazza, Roberto Pini, Manuele Scatena, Nicola Arriga, Alessandro Dell’Acqua, Grazia Masciandaro, and Eleonora Peruzzi. 2026. "Soil Enzymes and Stable Isotopes as Suitable Soil–Plant Indicators of Ecosystem Functionality in Mediterranean Forests" Agronomy 16, no. 3: 374. https://doi.org/10.3390/agronomy16030374
APA StyleDoni, S., Vannucchi, F., Macci, C., Scartazza, A., Pini, R., Scatena, M., Arriga, N., Dell’Acqua, A., Masciandaro, G., & Peruzzi, E. (2026). Soil Enzymes and Stable Isotopes as Suitable Soil–Plant Indicators of Ecosystem Functionality in Mediterranean Forests. Agronomy, 16(3), 374. https://doi.org/10.3390/agronomy16030374

