Next Issue
Volume 10, December
Previous Issue
Volume 10, October
 
 

Infrastructures, Volume 10, Issue 11 (November 2025) – 37 articles

Cover Story (view full-size image): This study introduces a probabilistic, machine learning-integrated framework for modeling the cascading effects of fire following earthquakes in steel moment-resisting frames. By combining nonlinear dynamic seismic analysis, residual deformation transfer, and temperature-dependent fire simulation within a Monte Carlo environment, the method quantifies structural collapse probabilities under sequential earthquake–fire hazards. Benchmarking against a machine learning synthesis originally developed for earthquake–tsunami scenarios shows excellent predictive accuracy (R2 > 0.95, RMSE < 0.02) while reducing computational demand by several orders of magnitude. The resulting fragility surfaces offer an efficient, hazard-agnostic foundation for multi-hazard resilience assessment. View this paper
  • Issues are regarded as officially published after their release is announced to the table of contents alert mailing list.
  • You may sign up for e-mail alerts to receive table of contents of newly released issues.
  • PDF is the official format for papers published in both, html and pdf forms. To view the papers in pdf format, click on the "PDF Full-text" link, and use the free Adobe Reader to open them.
Order results
Result details
Section
Select all
Export citation of selected articles as:
18 pages, 15741 KB  
Article
Three-Dimensional Refined Modeling and Mechanical Response Analysis of Tunnel Structure Safety in Karst Areas
by Guansi Gu, Fei Yang, Yunhao Dong, Wei Liu and Mingze Xu
Infrastructures 2025, 10(11), 315; https://doi.org/10.3390/infrastructures10110315 - 20 Nov 2025
Viewed by 508
Abstract
Deep-buried tunnels in karst regions are prone to complex deformation and stress redistribution due to the heterogeneity of surrounding rock and the presence of cavities. This study establishes a three-dimensional finite element model to investigate the mechanical behavior of tunnel linings under varying [...] Read more.
Deep-buried tunnels in karst regions are prone to complex deformation and stress redistribution due to the heterogeneity of surrounding rock and the presence of cavities. This study establishes a three-dimensional finite element model to investigate the mechanical behavior of tunnel linings under varying karst distributions and distances. The model incorporates realistic geological parameters and boundary conditions to analyze stress evolution and radial displacement of the lining under coupled mechanical effects. The results indicate that karst cavities located near the tunnel, especially beneath it, significantly amplify radial deformation and induce asymmetric stress concentrations. As the distance between the karst and the tunnel increases, the influence on lining response rapidly decreases and becomes negligible beyond approximately 3 m. The introduction of a secondary lining effectively reduces both tensile and compressive stresses by more than 65% and mitigates local deformation. The study concludes that the spatial position of karst features is the dominant factor affecting lining performance, and the composite lining structure provides an efficient means of ensuring safety and stability in water-rich karst tunnels. Full article
Show Figures

Figure 1

24 pages, 13270 KB  
Article
Numerical Analysis Research on Tunnel Damage Under the Action of Oblique Slip Faults Based on Multiple Slip Surfaces
by Chunhua Gao, Xuyang Hua, Xule Liu, Jingyu Ge and Cong Xiang
Infrastructures 2025, 10(11), 314; https://doi.org/10.3390/infrastructures10110314 - 20 Nov 2025
Viewed by 615
Abstract
In the field of tunnel engineering, it is often difficult to avoid crossing active faults. During an earthquake, tunnels across faults are highly vulnerable to damage. Therefore, conducting research on their mechanical responses and failure mechanisms is of great significance. This paper takes [...] Read more.
In the field of tunnel engineering, it is often difficult to avoid crossing active faults. During an earthquake, tunnels across faults are highly vulnerable to damage. Therefore, conducting research on their mechanical responses and failure mechanisms is of great significance. This paper takes Xianglushan Tunnel as a research example and uses finite element software to carry out numerical simulation of the tunnel under the action of the left-lateral normal fault activity. Moreover, the effectiveness of this model is verified using the actual measurement data of the damaged tunnels during the Kumamoto earthquake. By comparing the damage conditions and stress states of the tunnel under the action of left-lateral normal faults and strike-slip faults, and conducting a systematic and refined study on relevant fault parameters, the following research results are obtained: First, compared with oblique-slip faults, strike-slip faults cause more severe damage to the tunnel; second, tunnel damage is mainly concentrated in the area where the fault slip surface is located; third, an increase in fault displacement can significantly exacerbate structural damage and is the main factor leading to tunnel failure; fourth, the dip angle of the fault affects the stress distribution of the tunnel. As the dip angle increases, the damaged area gradually shrinks; fifth, the change in the width of the fault fracture zone will alter the failure mode of the tunnel. Reasonably choosing to cross a wider fault can reduce the structural damage. This research provides theoretical support and practical reference for the seismic design of tunnels across faults. Full article
Show Figures

Figure 1

27 pages, 18434 KB  
Article
A Numerical Simulation Study on Vertical Vibration Response for Rail Squat Detection with a Train in Regular Traffic
by Zhicheng Hu and Albert Lau
Infrastructures 2025, 10(11), 313; https://doi.org/10.3390/infrastructures10110313 - 19 Nov 2025
Viewed by 531
Abstract
Squat is a type of rail defect that frequently poses challenges for railway tracks, as they generate dynamics and accelerate track degradation. Detecting rail squats is resource-intensive, given their relatively small size compared to the railway track. Often, by the time they are [...] Read more.
Squat is a type of rail defect that frequently poses challenges for railway tracks, as they generate dynamics and accelerate track degradation. Detecting rail squats is resource-intensive, given their relatively small size compared to the railway track. Often, by the time they are detected, damage has usually already occurred in other track components. Currently, rail squats are primarily detected using dedicated railway measurement vehicles. There has been a recent trend in research towards utilizing trains in regular traffic to monitor the condition of railway tracks. However, there is a lack of research and general guidelines regarding the optimal placement of accelerometers or sensors on trains for squat detection. In this study, multibody simulation software GENSYS Rel.2209 is employed to simulate a passenger train traversing rail squats under various scenarios, with each scenario characterized by a distinct set of typical feature values for the squats. The results demonstrate that the front wheel set, positioned closest to the defects, exhibits the highest sensitivity to vertical accelerations. Squat length is much more sensitive than depth for detection at typical speeds, and accelerometers on bogies or the car body require speeds below 40 km/h to ensure reliability. The acceleration response mechanism during squat traversal is explored, revealing the effects of varying squat geometries and train speeds. This finding enables a detection method capable of locating squats and estimating their length with over 90% accuracy. Practical recommendations are provided for optimizing squat detection systems, including squat width detection, sensor selection criteria, and suggested train speeds. It offers a pathway to detect squat more efficiently with optimized installation locations of accelerometers on a train. Full article
(This article belongs to the Special Issue Smart Transportation Infrastructure: Optimization and Development)
Show Figures

Figure 1

23 pages, 6160 KB  
Article
An Automated Information Modeling Workflow for Existing Bridge Inspection Management
by Adriana Marra, Ilaria Trizio and Giovanni Fabbrocino
Infrastructures 2025, 10(11), 312; https://doi.org/10.3390/infrastructures10110312 - 18 Nov 2025
Cited by 1 | Viewed by 1016
Abstract
The safety, conservation, and efficient management of existing road bridges have assumed a key role in recent years due to the strategic importance of these structures for local territories and their exposure to natural and anthropogenic risks. Many assets are in a state [...] Read more.
The safety, conservation, and efficient management of existing road bridges have assumed a key role in recent years due to the strategic importance of these structures for local territories and their exposure to natural and anthropogenic risks. Many assets are in a state of degradation due to adverse environmental conditions, unforeseen loads in the design phase, and lack of maintenance, with often dramatic consequences. In response to these critical issues, integrated approaches based on the exploitation of different digital technologies are emerging to support inspection, monitoring, and maintenance activities. This paper proposes a digital workflow for bridge inspection management, based on the integration of information modeling, online databases, and automated data exchange and updating. The designed workflow enables the creation of a dynamic information model that evolves with the time-dependent data collected during periodic inspections by means of a Visual Programming Language. The data, stored in an online database, are filtered, analyzed, and dynamically associated with model elements, ensuring consistency, traceability, and reduction in manual input errors. The workflow was validated through a field application to an existing bridge, demonstrating its effectiveness in automating information management and providing the basis for the development of an interoperable and scalable platform for the digital management of infrastructure assets. Full article
Show Figures

Figure 1

19 pages, 3908 KB  
Article
Optimization of Jet Fan Tilt Angles in High-Altitude Highway Tunnels
by Li-Ming Wu, Hu-Xin-Tong Huang, Yong-Zai Chang, Feng Gao, Zi-Jian Wang, Bin Zhang and Qi Liu
Infrastructures 2025, 10(11), 311; https://doi.org/10.3390/infrastructures10110311 - 18 Nov 2025
Viewed by 565
Abstract
In high-altitude highway tunnels, the efficiency of jet fans significantly impacts the performance and energy consumption of ventilation systems. To optimize jet fan efficiency under such conditions, this study combines outdoor model experiments with numerical simulations of physical models in longitudinal jet ventilation [...] Read more.
In high-altitude highway tunnels, the efficiency of jet fans significantly impacts the performance and energy consumption of ventilation systems. To optimize jet fan efficiency under such conditions, this study combines outdoor model experiments with numerical simulations of physical models in longitudinal jet ventilation systems. A model was established using SpaceClaim (ANSYS 2022 R1), and numerical simulations were conducted using Fluent software (ANSYS 2022 R1) to obtain results. The effect of different mounting inclination angles (0° to 10°) on the performance of a jet fan was experimentally investigated, and a correlation formula for the lift pressure of the jet fan under different inclination angles was established. Comparative results demonstrate that the numerical simulations accurately capture the variation trend of fan lift pressure under different tilt angles observed in the experiments. Specifically, the lift pressure of the jet fan initially increases and then decreases with increasing tilt angle. Comparative analysis of pressure rise at installation angles of 0°, 2°, 3°, 4°, 5°, 6°, 8°, and 10° revealed that a peak pressure rise of 19.66 Pa was observed at 4° installation, demonstrating optimal performance at this angle. The velocity distribution indicates that tilt angles between 0° and 4° increase the airflow influence range, beyond which efficiency decreases due to kinetic energy loss at the base. The study determined that under these conditions, a jet fan installed at a 4° inclination angle exhibits optimal performance in high-altitude straight tunnels and is thus identified as the optimal installation angle. At this angle, both pressure-rise efficiency and airflow stability are effectively balanced; this configuration provides a critical design basis for energy-saving optimization in high-altitude tunnel ventilation systems. Full article
Show Figures

Figure 1

24 pages, 3232 KB  
Technical Note
Digital Transformation of Building Inspections: A Function-Oriented and Predictive Approach Using the FastFoam System
by Jacek Rapiński, Michał Bednarczyk, Dariusz Tomaszewski, Aldona Skotnicka-Siepsiak, Tomasz Templin, Jacek Zabielski, Veronica Royano and Carles Serrat
Infrastructures 2025, 10(11), 310; https://doi.org/10.3390/infrastructures10110310 - 17 Nov 2025
Viewed by 686
Abstract
This paper presents the concept, implementation, and evaluation of FastFoam—a web-based inspection system designed for the technical assessment of buildings. Developed through international collaboration, FastFoam supports flexible inspection workflows, structured data collection, and integration with classification systems and geospatial data. The system enables [...] Read more.
This paper presents the concept, implementation, and evaluation of FastFoam—a web-based inspection system designed for the technical assessment of buildings. Developed through international collaboration, FastFoam supports flexible inspection workflows, structured data collection, and integration with classification systems and geospatial data. The system enables civil engineers to create, customize, and manage inspection templates, store inspection results in a centralized database, and analyze inspection data using both descriptive and extensible analytical tools.To assess user needs and guide system development, a nationwide survey was conducted among Polish civil engineering professionals. The results confirmed strong interest in mobile and web-based inspection tools, as well as specific functional expectations regarding template customization, defect documentation, and automated reporting. The system architecture follows a multi-layered design with separate user, server, and external service layers. It supports modular data structures, role-based access, and integration with external platforms such as OpenStreetMap and BIM systems. A key innovation of FastFoam is its implementation of the FOAM (Function-Oriented Assessment Methodology), which enables temporal analysis and prediction of building condition over various timeframes. A case study demonstrates the application of FastFoam in a real-world building inspection in Poland. The evaluation confirmed the system’s practical usability while also revealing opportunities for future enhancements including AI-based defect detection, IoT integration, offline mobile functionality, and open data export. Full article
(This article belongs to the Section Infrastructures Inspection and Maintenance)
Show Figures

Figure 1

16 pages, 2663 KB  
Article
Testing of Cationic Adhesion Promoters Derived from Rapeseed Oil in Bitumen and Asphalt Mixtures
by Volodymyr Gunka, Olha Poliak, Iurii Sidun, Yuriy Demchuk, Yaroslav Blikharskyy, Ananiy Kohut, Nazarii Dzianyi and Artur Onyshchenko
Infrastructures 2025, 10(11), 309; https://doi.org/10.3390/infrastructures10110309 - 17 Nov 2025
Viewed by 517
Abstract
This study examines the effect of cationic bio-based adhesion promoters (APs) derived from rapeseed oil (RO) on the performance of bitumen and asphalt mixtures. Several synthesized APs with varying polyamine content were evaluated and compared with commercial additives (Wetfix® BE, Nouryon, Netherlands [...] Read more.
This study examines the effect of cationic bio-based adhesion promoters (APs) derived from rapeseed oil (RO) on the performance of bitumen and asphalt mixtures. Several synthesized APs with varying polyamine content were evaluated and compared with commercial additives (Wetfix® BE, Nouryon, Netherlands and Carbazole AK-M, SPETSKONTRAKT, Kyiv, Ukraine). Modification of bitumen with bio-based APs improved adhesion to glass and crushed stone while keeping penetration, softening point, and ductility within standard limits. Among the tested formulations, AP20 demonstrated the most balanced performance, achieving high adhesion values even at low dosages (0.2–0.4 wt. %). Asphalt concrete mixes prepared with AP20 exhibited enhanced water resistance and higher indirect tensile strength ratio (ITSR), indicating improved durability under moisture exposure. These findings highlight the potential of rapeseed oil-based adhesion promoters as effective and sustainable alternatives to conventional anti-stripping agents in road construction. Full article
Show Figures

Figure 1

15 pages, 2171 KB  
Article
A New Approach for Multiple Loads Identification Based on the Segmental Area of the Influence Lines
by Ping Liu, Weiwei Qiu and Sakdirat Kaewunruen
Infrastructures 2025, 10(11), 308; https://doi.org/10.3390/infrastructures10110308 - 16 Nov 2025
Cited by 1 | Viewed by 786
Abstract
The dynamic responses of bridges under multi moving loads are an essential precursor for their structural health monitoring (SHM). To enable the precise identification of the main moving load(s) among multiple moving loads, this study proposes an improved multi-source dynamic load [...] Read more.
The dynamic responses of bridges under multi moving loads are an essential precursor for their structural health monitoring (SHM). To enable the precise identification of the main moving load(s) among multiple moving loads, this study proposes an improved multi-source dynamic load identification algorithm based on the segmental area of the influence line (SAI). Firstly, the segmental area of the influence line was calculated according to the velocity of loads and the distance between two loads, and then, the moving load could be isolated based on the law of the minimal error combining the base area of the original influence line. In addition, experiments were conducted employing laser displacement sensor systems to acquire structural dynamic responses. The results showed the following for the segmental area of the influence line: (1) identification errors for a single moving load could be controlled within 5%, while an error within 10% was achieved under two moving loads; (2) vehicle displacement identification error remained consistently below 5%; and (3) the proposed algorithm exhibited a speed-insensitive characteristic, enabling effective load identification across varying vehicle speeds. The experimental findings confirm that this method accurately identifies the main moving loads in a small deformation condition and can be extended to similar applications. Full article
(This article belongs to the Special Issue Smart Transportation Infrastructure: Optimization and Development)
Show Figures

Figure 1

28 pages, 4308 KB  
Article
Practical Method for Estimating Vehicular Impact Force on Reinforced Concrete Parapets for Bridge Infrastructure Design and Management
by Bao Chuong and Ramesh B. Malla
Infrastructures 2025, 10(11), 307; https://doi.org/10.3390/infrastructures10110307 - 15 Nov 2025
Viewed by 540
Abstract
The AASHTO Manual for Assessing Safety Hardware (MASH) replaced the NCHRP Report 350 in 2009, becoming the new standard for evaluating safety hardware devices, including concrete bridge parapets; all new permanent installations of bridge rails on the National Highway System must be compliant [...] Read more.
The AASHTO Manual for Assessing Safety Hardware (MASH) replaced the NCHRP Report 350 in 2009, becoming the new standard for evaluating safety hardware devices, including concrete bridge parapets; all new permanent installations of bridge rails on the National Highway System must be compliant with the 2016 MASH requirements after 31 December 2019, as agreed by the FHWA and AASHTO. However, due to the complexity of vehicular impact events, there are several different methods for estimating vehicular impact force on the parapets. They can be grouped into three main categories: theoretical, numerical and measurement methods. This paper presents a practical method based on analytical concepts for providing impact force estimates that can help bridge owners to evaluate the structural capacity of bridge parapets at a fraction of the cost of full-scale crash tests and finite element numerical simulations. This approach was developed based on fundamental dynamic principles and refined dynamic analysis of vehicle rigid-body motions during multi-phased impact events. Principles of impulse and momentum were first applied to determine both linear and angular velocities of a vehicle immediately after the initial impact; then coupled differential equations of motion were derived and solved to describe the vehicle’s plane-motion during the subsequent stage, which includes both translational and rotational movements. The proposed method was shown to be capable of providing reasonably accurate force estimates with significantly less demand for time and effort compared to other complex methods. These estimates can help infrastructure owners to make informed and sustainable decisions for bridge projects, which include selecting the most efficient bridge design alternatives, in a cost-effective and timely manner. Recommendations for future studies were also discussed. Full article
(This article belongs to the Special Issue Bridge Modeling, Monitoring, Management and Beyond)
Show Figures

Figure 1

16 pages, 4011 KB  
Article
Artificial Intelligence Tools in the Management of Reinforced Concrete Structures: Potential, Critical Issues, and Preliminary Results on Structural Degradation
by Donata Carlucci, Donatello Cardone, Serena Parisi and Marco Vona
Infrastructures 2025, 10(11), 306; https://doi.org/10.3390/infrastructures10110306 - 14 Nov 2025
Viewed by 993
Abstract
The durability and management of reinforced concrete structures and infrastructures are a central issue in contemporary civil engineering. Efficient structural maintenance has become strategically critical to sustainable land and community management due to aging infrastructure, increasing operational stress, and limited financial resources. This [...] Read more.
The durability and management of reinforced concrete structures and infrastructures are a central issue in contemporary civil engineering. Efficient structural maintenance has become strategically critical to sustainable land and community management due to aging infrastructure, increasing operational stress, and limited financial resources. This study focuses specifically on reinforced concrete bridge piers, whose fundamental structural role influences road infrastructure management strategies. The objective of this study is to develop and use a system based on convolutional neural networks to visually, rapidly, and automatically identify degraded portions of the reinforcement, based on images acquired on-site or from visual inspections, and classify their level of degradation. The topic addressed is highly innovative. The need to define and calibrate reliable degradation classification criteria, and the difficulty of obtaining images and classifying them correctly for database construction, have influenced the development of the study and make the results interesting and promising, but absolutely preliminary. Full article
Show Figures

Figure 1

21 pages, 4524 KB  
Article
Response Analysis of RC Bridges with Different Deck Slabs to Seismic Motions with Forward Directivity and Fling Step
by Mahmoud Abo El-Wafa, Sayed Mahmoud, Ahmed Soliman, Magdy Genidy and Waleed Abdullah
Infrastructures 2025, 10(11), 305; https://doi.org/10.3390/infrastructures10110305 - 12 Nov 2025
Viewed by 556
Abstract
The presence of fling step and forward directivity, as distinctive features of near-fault ground motions, can lead to substantial alterations in the seismic performance of reinforced concrete bridges. This study examines the seismic performance of reinforced concrete bridges with various deck slabs subjected [...] Read more.
The presence of fling step and forward directivity, as distinctive features of near-fault ground motions, can lead to substantial alterations in the seismic performance of reinforced concrete bridges. This study examines the seismic performance of reinforced concrete bridges with various deck slabs subjected to two distinct sets of earthquake events. One set is of forward-directivity records, and the other set is of fling-step records. Three-dimensional finite element models for the analyzed reinforced concrete bridges are constructed using the CSI-BRIDGE v26 software package, incorporating appropriate material and geometric nonlinearities. The developed bridge models are of three spans and have different deck slab systems, namely, box girder, RC girder, and hollow core slab bridges. Extensive nonlinear response time-history analyses of various configurations representing the examined RC bridges are performed to elucidate the impact of seismic loads, including forward-directivity and fling-step records, on the seismic response of supporting columns and deck slabs in the longitudinal direction. The numerical simulations indicate that ground vibrations with fling step significantly amplify the seismic response demands in both substructure and superstructure elements. Moreover, bridge type substantially influences the induced seismic responses, particularly supporting columns and deck slabs. Full article
(This article belongs to the Special Issue Seismic Engineering in Infrastructures: Challenges and Prospects)
Show Figures

Figure 1

18 pages, 2708 KB  
Article
Interpretable Ensemble Machine Learning for Liquefaction Risk Prediction
by Doszhan Tuzelbayev, Sung-Woo Moon, Minho Lee, Shynggys Abdialim, Elijah Adebayonle Aremu, Alfrendo Satyanaga and Jong Kim
Infrastructures 2025, 10(11), 304; https://doi.org/10.3390/infrastructures10110304 - 11 Nov 2025
Viewed by 690
Abstract
This paper presents a comprehensive machine learning (ML) framework for predicting liquefaction risk, a crucial aspect of seismic hazard assessment. A benchmark geotechnical dataset with multi-dimensional input features was used to evaluate several ML classifiers, followed by hyperparameter optimization through stratified 5-fold cross-validation. [...] Read more.
This paper presents a comprehensive machine learning (ML) framework for predicting liquefaction risk, a crucial aspect of seismic hazard assessment. A benchmark geotechnical dataset with multi-dimensional input features was used to evaluate several ML classifiers, followed by hyperparameter optimization through stratified 5-fold cross-validation. Optimized models were combined into a soft Voting Ensemble to enhance stability and accuracy of liquefaction potential prediction. The proposed ensemble model achieved a mean accuracy of 90.12% and a recall of 97.23%, outperforming individual models in most folds. The ensemble’s effectiveness was further evidenced by its precision-recall (PR) and receiver operating characteristic (ROC) curves, with areas under the curve (AUC) of 0.962 and 0.931, respectively—closely matching those of the Gradient Boosting classifier, indicating comparable discriminatory performance. Additionally, SHapley Additive exPlanations (SHAP) analysis was conducted on the ensemble model to assess contributions of each geotechnical inputs to the predictions, revealing that normalized shear wave velocity (VS1) as the most influential variable in liquefaction prediction. The proposed framework demonstrates a robust, interpretable, and performance-consistent approach for liquefaction risk assessment. Full article
(This article belongs to the Special Issue Advances in Artificial Intelligence for Geotechnical Engineering)
Show Figures

Figure 1

22 pages, 2549 KB  
Article
The Influence of Synthetic Reinforcing Fibers on Selected Properties of Asphalt Mixtures for Surface and Binder Layers
by Peter Gallo, Amira Ben Ameur and Jan Valentin
Infrastructures 2025, 10(11), 303; https://doi.org/10.3390/infrastructures10110303 - 11 Nov 2025
Viewed by 479
Abstract
Increasing traffic volumes, heavier axle loads, and the growing frequency of premature pavement distress pose major challenges for modern road infrastructure. In many regions, asphalt pavements experience early rutting, cracking, and moisture-induced damage, underscoring the need for improved material performance and longer service [...] Read more.
Increasing traffic volumes, heavier axle loads, and the growing frequency of premature pavement distress pose major challenges for modern road infrastructure. In many regions, asphalt pavements experience early rutting, cracking, and moisture-induced damage, underscoring the need for improved material performance and longer service life. Reinforcing fibres are increasingly used to enhance asphalt mixture properties, with aramid fibres recognised for their superior mechanical and thermal stability. This study evaluates the effect of FlexForce (FF) fibres on the mechanical and fracture behaviour of two dense-graded asphalt concretes, AC 16 surf and AC 16 bin, produced with different binders and fibre dosages (0.02% and 0.04% by mixture weight). Laboratory tests, including indirect tensile strength ratio (ITSR), indirect tensile stiffness modulus (IT-CY), crack propagation resistance, and dynamic modulus measurements, were performed to assess moisture susceptibility, stiffness, and viscoelastic behaviour. The results showed that fibre addition had little effect on compactability and stiffness under standard conditions but improved temperature stability and stiffness at elevated temperatures, particularly when used with polymer-modified binders. Moisture resistance decreased slightly, while fracture performance improved moderately at intermediate temperatures. Overall, low fibre dosages (~0.02%) provided the most balanced performance, indicating that the mechanical benefits of aramid reinforcement depend strongly on binder rheology, temperature, and interfacial compatibility. These findings contribute to optimising fibre dosage and binder selection for aramid-reinforced asphalt layers in practice. Full article
Show Figures

Figure 1

22 pages, 6514 KB  
Article
Performance Assessment of Asphalt Binder Modified with Batu Pahat Soft Clay as an Eco-Friendly Additive
by Shaban Ismael Albrka Ali, Allam Musbah Al Allam, Ahmed Suliman B. Ali, Dhawo Ibrahim Alhamali, Abdualmtalab Abdualaziz Ali, Ali Mohamed Emmaima and Amiruddin Ismail
Infrastructures 2025, 10(11), 302; https://doi.org/10.3390/infrastructures10110302 - 10 Nov 2025
Cited by 1 | Viewed by 1683
Abstract
This study aims to evaluate the impact of incorporating Batu Pahat Soft Clay (BPSC) into conventional asphalt binder at varying proportions: 2-, 4-, 6- and 8%-BPSC by weight of asphalt binder. A comprehensive laboratory investigation was carried out, including consistency test, Fourier Transform [...] Read more.
This study aims to evaluate the impact of incorporating Batu Pahat Soft Clay (BPSC) into conventional asphalt binder at varying proportions: 2-, 4-, 6- and 8%-BPSC by weight of asphalt binder. A comprehensive laboratory investigation was carried out, including consistency test, Fourier Transform Infrared Spectroscopy (FTIR), Dynamic Shear Rheometer (DSR), Scanning Electron Microscopy (SEM) tests. In terms of rutting, the parameter G*/sin δ increased significantly by nearly 839.25% at 45 °C and 196.67% at 75 °C for the 4%-BPSC binder compared to the base binder. The Multiple Stress Creep and Recovery (MSCR) test further confirmed the BPSC effectively reduce the residual strain by over 55%. FTIR analysis indicates a physical interaction between the BPSC and the binder, with no evidence of new chemical bond formation. Based on overall findings, the 4%-BPSC modification is identified as the optimal percentage for achieving balanced improvement in binder performance, contributing to more sustainable asphalt solutions. Full article
Show Figures

Figure 1

17 pages, 4362 KB  
Article
Developing Statistical and Multilayer Perceptron Neural Network Models for a Concrete Dam Dynamic Behaviour Interpretation
by Andrés Mauricio Guzmán Sejas, Sérgio Pereira, Juan Mata and Álvaro Cunha
Infrastructures 2025, 10(11), 301; https://doi.org/10.3390/infrastructures10110301 - 9 Nov 2025
Viewed by 1566
Abstract
This work focuses on the dynamic monitoring behaviour of concrete dams, with a specific emphasis on the Baixo Sabor dam as a case study. The main objective of the dynamic monitoring is to continuously observe the dam’s behaviour, ensuring it remains within expected [...] Read more.
This work focuses on the dynamic monitoring behaviour of concrete dams, with a specific emphasis on the Baixo Sabor dam as a case study. The main objective of the dynamic monitoring is to continuously observe the dam’s behaviour, ensuring it remains within expected patterns and issuing alerts if deviations occur. The monitoring process relies on on-site instruments and behaviour models that use pattern recognition, thereby avoiding explicit dependence on mechanical principles. The undertaken work aimed to develop, calibrate, and compare statistical and machine learning models to aid in interpreting the observed dynamic behaviour of a concrete dam. The methodology included several key steps: operational modal analysis of acceleration time series, characterisation of the temporal evolution of observed magnitudes and influential environmental and operational variables, construction and calibration of predictive models using both statistical and machine learning methods, and the comparison of their effectiveness. Both Multiple Linear Regression (MLR) and Multilayer Perceptron Neural Network (MLP-NN) models were developed and tested. This work emphasised the development of several MLP-NN architectures. MLP-NN models with one and two hidden layers, and with one or more outputs in the output layer, were performed. The aim of this work is to assess the performance of MLP-NN models with different numbers of units in the output layer, in order to understand the advantages and disadvantages of having multiple models that characterise the observed behaviour of a single quantity or a single MLP-NN model that simultaneously learns and characterises the observed behaviour for multiple quantities. The results showed that while both MLR and MLP-NN models effectively captured and predicted the dam’s behaviour, the neural network slightly outperformed the regression model in prediction accuracy. However, the linear regression model is easier to interpret. In conclusion, both methods of linear regression and neural network models are suitable for the analysis and interpretation of monitored dynamic behaviour, but there are advantages in adopting a single model that considers all quantities simultaneously. For large-scale projects like the Baixo Sabor dam, Multilayer Perceptron Neural Networks offer significant advantages in handling intricate data relationships, thus providing better insights into the dam’s dynamic behaviour. Full article
(This article belongs to the Special Issue Preserving Life Through Dams)
Show Figures

Figure 1

22 pages, 3002 KB  
Article
Chloride Resistance of High-Strength Concrete Subjected to Different Curing Conditions and Chloride Concentrations
by Zhengyu Wu, Dayou Luo, Shuai Li and Zhiguo Li
Infrastructures 2025, 10(11), 300; https://doi.org/10.3390/infrastructures10110300 - 8 Nov 2025
Viewed by 1092
Abstract
High-strength concrete (HSC) is widely used in coastal regions, but its durability and structural safety is threatened by chloride ingress in marine environments. This study investigates the effects of different curing methods, normal, steam, and high-temperature autoclave on the chloride resistance of HSC [...] Read more.
High-strength concrete (HSC) is widely used in coastal regions, but its durability and structural safety is threatened by chloride ingress in marine environments. This study investigates the effects of different curing methods, normal, steam, and high-temperature autoclave on the chloride resistance of HSC using the electric flux test. A critical chloride concentration of 4.5% was identified, and accelerated deterioration tests were conducted to evaluate mechanical properties development (compressive strength, elastic modulus, toughness, specific toughness) under the various curing conditions. Additionally, the development of hydration products and microstructural characteristics were analyzed to elucidate the mechanisms underlying the observed differences. The results indicate that steam and autoclave curing enhance cement hydration and the initial mechanical properties of HSC but also increase permeability and susceptibility to chloride ion penetration compared to normal curing. Chloride penetration was found to be most severe at moderate chloride concentrations (~4.5%), while higher concentrations resulted in reduced ion migration. Although intensive curing under elevated temperature and pressure improves early strength and stiffness, it accelerates mechanical degradation under chloride exposure, highlighting a trade-off between short-term performance and long-term durability. Full article
(This article belongs to the Section Infrastructures Materials and Constructions)
Show Figures

Figure 1

19 pages, 4207 KB  
Article
Study on Distress Characteristics of Asphalt Pavement Under Heavy-Duty Traffic Based on Lightweight Road Inspection Equipment
by Hong Zhang, Yuanshuai Dong, Yun Hou, Xinlong Tong, Xiangjun Cheng and Keming Di
Infrastructures 2025, 10(11), 299; https://doi.org/10.3390/infrastructures10110299 - 7 Nov 2025
Viewed by 782
Abstract
This study, based on the maintenance engineering of regular national and provincial highways in Shanxi Province, aims to achieve refined maintenance of aging asphalt pavements under heavy-duty traffic conditions. Lightweight inspection equipment was used to perform frequent distress collection on the study sections, [...] Read more.
This study, based on the maintenance engineering of regular national and provincial highways in Shanxi Province, aims to achieve refined maintenance of aging asphalt pavements under heavy-duty traffic conditions. Lightweight inspection equipment was used to perform frequent distress collection on the study sections, and for the first time, the EPCI (Economic Pavement Surface Condition Index, which can quickly improve the overall condition level of the pavement by identifying simple two-dimensional diseases such as transverse and longitudinal joints and tortoise net cracks, and low-cost maintenance measures can be carried out through the detection data, which does not include diseases such as subsidence, which are more complex and costly.) is proposed to assess pavement distress conditions. The study conducted six high-frequency data collections over one year on the designated road sections. EPCI evaluations were carried out on each lane in different driving directions, summarizing eight types of pavement distress, including alligator cracking, block cracking, longitudinal and transverse cracking, potholes, longitudinal and transverse crack repairs, and block repairs. The development trends of EPCI and the distribution of pavement distress were analyzed. By comparing EPCI data, it was found that EPCI values in the driving lane fluctuated more stably than those in the overtaking and slow lanes, which was attributed to differences in maintenance intensity. The overall PCI data of the pavement during the COVID-19 pandemic showed that reduced maintenance activities are more conducive to analyzing the pavement’s deterioration patterns. By examining the distressed area in each lane over time, it was observed that the slow lane had the highest distribution of alligator and block cracking, while longitudinal and transverse cracking were most prevalent in the overtaking and driving lanes. Further analysis of the relationship between distressed area and EPCI suggests that controlling the distressed area to around 500 square meters per kilometer per lane can maintain the EPCI score at approximately 80. This level of maintenance is considered the most economical while ensuring satisfactory pavement performance. Full article
Show Figures

Figure 1

26 pages, 8226 KB  
Article
Performance Evaluation of Fiber-Reinforced Rubberized Paving-Blocks Containing Ceramic and Glass Wastes
by Ibrahim Tajuldeen, Ahmed M. Tahwia and Osama Youssf
Infrastructures 2025, 10(11), 298; https://doi.org/10.3390/infrastructures10110298 - 7 Nov 2025
Viewed by 640
Abstract
The increasing demand for sustainable construction materials has underscored the limitations of conventional interlocking paving blocks (IPBs), particularly regarding durability, mechanical performance, and environmental impact. To overcome these shortcomings, this study proposes an integrated strategy of incorporating various waste materials in the production [...] Read more.
The increasing demand for sustainable construction materials has underscored the limitations of conventional interlocking paving blocks (IPBs), particularly regarding durability, mechanical performance, and environmental impact. To overcome these shortcomings, this study proposes an integrated strategy of incorporating various waste materials in the production of IPBs namely: Untreated and surface-treated crumb rubber (CR) as a partial sand replacement at levels of 10%, and 20%; ceramic powder (CP) and glass powder (GP) as cement partial replacement at levels of 10%, 20%, and 30%, recycled ceramic as a full replacement of dolomite; and discrete fibers (basalt, polypropylene, and glass). A series of experimental tests was conducted to assess the slump, compressive and flexural strengths, water absorption, abrasion resistance, and microstructure of the proposed IPBs. The results of this study revealed that while untreated CR reduced workability and strength, it enhanced flexural resistance. Surface treatments of CR using CP and GP improved bonding and reduced porosity, with 20% CP yielding the best performances of 17.3% and 20% increases in compressive and flexural strength, respectively. Among fibers, 0.6% basalt fiber offered optimal strength and abrasion resistance (0.20 mm), while 0.6% polypropylene fiber achieved the lowest water absorption (3.70%) and a minimum abrasion depth of 0.28 mm at TR20CP mix. Microstructure analyses confirmed denser microstructure and stronger interfacial bonding in treated and fiber-reinforced mixes. This work offers a scalable, waste-based enhancement strategy for producing more durable and sustainable production of IPBs. Full article
Show Figures

Figure 1

19 pages, 5713 KB  
Article
Influence of Pile Spacing on the Compressive Performance and Soil Failure Mechanism of CEP Double Piles
by Yongmei Qian, Yuhang Li, Xihui Wang, Yu Dong, Yingtao Zhang, Ming Guan and Ying Zhou
Infrastructures 2025, 10(11), 297; https://doi.org/10.3390/infrastructures10110297 - 6 Nov 2025
Cited by 1 | Viewed by 576
Abstract
Concrete expanded-plate piles (CEP piles) are novel variable-section piles that offer broader applicability, greater bearing capacity, and superior economic benefits compared to conventional straight-shaft piles. Their increasing use in construction projects underscores these advantages. While previous studies have demonstrated the favourable bearing performance [...] Read more.
Concrete expanded-plate piles (CEP piles) are novel variable-section piles that offer broader applicability, greater bearing capacity, and superior economic benefits compared to conventional straight-shaft piles. Their increasing use in construction projects underscores these advantages. While previous studies have demonstrated the favourable bearing performance of CEP monopiles, the influence of pile spacing on the performance of CEP double piles remains unexplored. This study combines laboratory-scale unitary soil tests with ANSYS Workbench 2022R1 finite element simulations to investigate the effects of pile spacing on the bearing behaviour and soil failure mechanisms of CEP double piles. An optimal pile spacing range is proposed, and the compressive bearing capacity formula is modified accordingly. These findings establish a theoretical foundation for the development of CEP double-pile and pile group foundations, thereby supporting their wider use and promotion in geotechnical engineering. Full article
(This article belongs to the Section Infrastructures and Structural Engineering)
Show Figures

Figure 1

22 pages, 7275 KB  
Article
Seismic Performance of Torsionally Irregular Multistorey RC Buildings with Optimised Shear Wall Configurations
by K. Pranava, A. R. Avinash, M. Chaithra, S. Anil and Kiran Kamath
Infrastructures 2025, 10(11), 296; https://doi.org/10.3390/infrastructures10110296 - 6 Nov 2025
Viewed by 1111
Abstract
Irregular multistorey buildings are prone to seismic forces due to torsional effects resulting from the eccentricity between the mass and stiffness centres. Shear walls are essential in multistorey buildings for improving structural behaviour when subjected to earthquake loads. The seismic response of buildings [...] Read more.
Irregular multistorey buildings are prone to seismic forces due to torsional effects resulting from the eccentricity between the mass and stiffness centres. Shear walls are essential in multistorey buildings for improving structural behaviour when subjected to earthquake loads. The seismic response of buildings is highly sensitive to the placement and configuration of shear walls within the building infrastructure. This research focuses on optimising the location of shear walls in a T-shaped irregular reinforced concrete structure for better seismic resilience. The structural analysis is carried out, and the building is evaluated via the response spectrum as per the provisions of IS 1893:2016. This study examines various shear wall configurations to achieve optimised modal mass participation, thereby reducing dynamic irregularities and enhancing overall seismic performance. The impact of these optimised locations is assessed across various seismic zones in India, with a focus on critical response parameters, including lateral displacement, interstorey drift, storey shear, and base shear. The results reveal that strategically optimised shear wall placement significantly enhances seismic performance by reducing lateral drift and torsional effects. In this study, the shear wall configurations that resulted in higher modal participation factors and lower eccentricities between the centre of mass and the centre of stiffness demonstrated a superior seismic performance across all considered seismic zones. Full article
(This article belongs to the Special Issue Seismic Engineering in Infrastructures: Challenges and Prospects)
Show Figures

Figure 1

25 pages, 5013 KB  
Article
Machine Learning Approaches for Fatigue Life Prediction of Steel and Feature Importance Analyses
by Babak Naeim, Ali Javadzade Khiavi, Erfan Khajavi, Amir Reza Taghavi Khanghah, Ali Asgari, Reza Taghipour and Mohsen Bagheri
Infrastructures 2025, 10(11), 295; https://doi.org/10.3390/infrastructures10110295 - 6 Nov 2025
Cited by 5 | Viewed by 1821
Abstract
Predicting fatigue behavior in steel components is highly challenging due to the nonlinear and uncertain nature of material degradation under cyclic loading. In this study, four hybrid machine learning models were developed—Histogram Gradient Boosting optimized with Prairie Dog Optimization (HGPD), Histogram Gradient Boosting [...] Read more.
Predicting fatigue behavior in steel components is highly challenging due to the nonlinear and uncertain nature of material degradation under cyclic loading. In this study, four hybrid machine learning models were developed—Histogram Gradient Boosting optimized with Prairie Dog Optimization (HGPD), Histogram Gradient Boosting optimized with Wild Geese Algorithm (HGGW), Categorical Gradient Boosting optimized with Prairie Dog Optimization (CAPD), and Categorical Gradient Boosting optimized with Wild Geese Algorithm (CAGW)—by coupling two advanced ensemble learning frameworks, Histogram Gradient Boosting (HGB) and Categorical Gradient Boosting (CAT), with two emerging metaheuristic optimization algorithms, Prairie Dog Optimization (PDO) and Wild Geese Algorithm (WGA). This integrated approach aims to enhance the accuracy, generalization, and robustness of predictive modeling for steel fatigue life assessment. Shapley Additive Explanations (SHAP) were employed to quantify feature importance and enhance interpretability. Results revealed that reduction ratio (RedRatio) and total heat treatment time (THT) exhibited the highest variability, with RedRatio emerging as the dominant factor due to its wide range and significant influence on model outcomes. The SHAP-driven analysis provided clear insights into complex interactions among processing parameters and fatigue behavior, enabling effective feature selection without loss of accuracy. Overall, integrating gradient boosting with novel optimization algorithms substantially improved predictive accuracy and robustness, advancing decision-making in materials science. Full article
Show Figures

Figure 1

16 pages, 2932 KB  
Article
Reducing Seismic Vulnerability of Non-Structural Elements to Support Sustainable Development Goals
by Stefano Solarino, Gemma Musacchio and Elena Eva
Infrastructures 2025, 10(11), 294; https://doi.org/10.3390/infrastructures10110294 - 6 Nov 2025
Viewed by 1049
Abstract
This paper presents an approach to risk mitigation strategies through seismic vulnerability of buildings’ non-structural elements (NSEs) proposing practical and accessible strategies for risk reduction aligned with the United Nations Sustainable Development Goals (SDG) framework. NSEs play a crucial role in the overall [...] Read more.
This paper presents an approach to risk mitigation strategies through seismic vulnerability of buildings’ non-structural elements (NSEs) proposing practical and accessible strategies for risk reduction aligned with the United Nations Sustainable Development Goals (SDG) framework. NSEs play a crucial role in the overall safety and resilience of built environments during seismic events. However, their vulnerability is often underestimated, despite their potential to cause significant human, economic, and social losses. Moreover, NSEs remain widely overlooked in both seismic risk assessments and mitigation strategies, including risk education. This issue directly impacts multiple SDGs. NSE damage exacerbates poverty by increasing financial burdens due to repair and recovery costs. It also affects access to quality education, not only by disrupting school infrastructure but also by limiting access to knowledge, which is essential for strengthening the coping capacity of communities. Furthermore, seismic risk mitigation must be inclusive to reduce inequalities, ensuring that safety is not a privilege but a right for all. Lastly, NSE vulnerability directly influences the resilience and sustainability of cities and communities, affecting urban safety and disaster preparedness. Simple mitigation actions, such as proper anchoring, reinforcement, or improved design guidelines, could drastically reduce their vulnerability and related consequences. Raising awareness of this underestimated issue is essential to foster effective policies and interventions. Full article
Show Figures

Figure 1

23 pages, 10989 KB  
Article
Roadway Pavement Assessment Using Low-Cost Vibration Sensors, European GNSS Technology and Machine Learning
by Symeon Christodoulou
Infrastructures 2025, 10(11), 293; https://doi.org/10.3390/infrastructures10110293 - 4 Nov 2025
Viewed by 925
Abstract
This study presents case applications of developed vibration-based technologies for evaluating roadway networks at both point and street level, using smartphone-grade sensors. The approach is designed to (1) provide a low-cost but reliable alternative to expensive specialized equipment for pavement assessment, and (2) [...] Read more.
This study presents case applications of developed vibration-based technologies for evaluating roadway networks at both point and street level, using smartphone-grade sensors. The approach is designed to (1) provide a low-cost but reliable alternative to expensive specialized equipment for pavement assessment, and (2) enable continuous data collection through participatory sensing. In the first case study presented, a smartphone was employed, whereas in the second case study, a custom integrated sensor device was utilized. In both case studies, hybrid vehicles were deployed as probe cars. Case Study 1 involved approximately two hours of roadway surveying, yielding about 0.6 million data points, while Case Study 2 extended to 16 hours of surveying, and produced roughly 1.6 million data points. The local municipality leverages the resulting ride-quality and pavement anomaly maps, by use of a simplified pavement management system (PMS), to prioritize roadway operations and maintenance activities. Ongoing research integrates in-development low-cost GNSS sensors with cameras, machine learning and machine vision and PMS software in a low-cost yet high-accuracy pavement assessment and management platform. Full article
Show Figures

Figure 1

14 pages, 1515 KB  
Article
Zero-Shot Bridge Health Monitoring Using Cepstral Features and Streaming LSTM Networks
by Azin Mehrjoo, Kyle L. Hom, Homayoon Beigi and Raimondo Betti
Infrastructures 2025, 10(11), 292; https://doi.org/10.3390/infrastructures10110292 - 3 Nov 2025
Viewed by 859
Abstract
This paper presents a real-time, output-only structural health monitoring framework that integrates damage-sensitive cepstral features with a streaming Long Short-Term Memory (LSTM) network for automated damage detection. Acceleration time histories are segmented into overlapping windows, converted into cepstral coefficients, and processed sequentially by [...] Read more.
This paper presents a real-time, output-only structural health monitoring framework that integrates damage-sensitive cepstral features with a streaming Long Short-Term Memory (LSTM) network for automated damage detection. Acceleration time histories are segmented into overlapping windows, converted into cepstral coefficients, and processed sequentially by a stacked LSTM architecture with state carry-over. This design preserves temporal dependencies while enabling low-latency inference suitable for continuous monitoring. The framework was evaluated under a strict zero-shot setting on the full-scale Z24 Bridge benchmark, in which no training or calibration data from the bridge were used. Our results show that the proposed approach can reliably discriminate staged damage states and track their progression using only vibration measurements. By combining a well-established spectral feature representation with a streaming sequence model, the study demonstrates a practical pathway toward deployable, data-driven monitoring systems capable of operating without retraining on each individual asset. Full article
Show Figures

Figure 1

18 pages, 4298 KB  
Article
Life-Cycle-Assessment-Based Quantification and Low-Carbon Optimization of Carbon Emissions in Expressway Construction
by Zhen Liu
Infrastructures 2025, 10(11), 291; https://doi.org/10.3390/infrastructures10110291 - 2 Nov 2025
Viewed by 1318
Abstract
To quantitatively assess the carbon emission characteristics of expressway construction and to identify its key influencing factors, this study establishes a comprehensive carbon emission accounting framework that covers the material production, transportation, and construction stages based on the life cycle assessment (LCA) approach. [...] Read more.
To quantitatively assess the carbon emission characteristics of expressway construction and to identify its key influencing factors, this study establishes a comprehensive carbon emission accounting framework that covers the material production, transportation, and construction stages based on the life cycle assessment (LCA) approach. Typical expressway projects are selected as case studies to perform stage-based emission quantification and multivariable response analysis. The results indicate that the total carbon emissions per kilometer during the construction phase are approximately 1.80 × 103 kg CO2-eq/km, with material production being the dominant contributor, accounting for about 60–70%, followed by transportation and construction activities. The analysis of structural layers shows that variations in the thickness of the asphalt surface and cement-stabilized base layers, which are the main sources of emissions, are strongly and positively correlated with total emissions, making them the principal control factors. Transportation distance and equipment efficiency are identified as moderately sensitive parameters, each contributing approximately 3–5% to emission variation. Further multivariable response analysis demonstrates nonlinear coupling effects between structural parameters and transportation factors. The combined increase in layer thickness and transport distance significantly amplifies total emissions, while the marginal impact of long-distance transport gradually decreases. Based on these findings, this study proposes a low-carbon construction strategy that focuses on structural optimization, local material sourcing, energy-efficient construction practices, and the use of clean energy. The outcomes of this research provide a theoretical foundation and quantitative reference for carbon emission prediction, structural design optimization, and green construction decision making during the expressway construction phase. Full article
(This article belongs to the Special Issue Sustainable Road Design and Traffic Management)
Show Figures

Figure 1

21 pages, 1267 KB  
Review
More Effective Front-End Decision-Making for Pipe Renewal Projects
by Bjørn Solnes Skaar, Tor Kristian Stevik, Agnar Johansen and Asmamaw Tadege Shiferaw
Infrastructures 2025, 10(11), 290; https://doi.org/10.3390/infrastructures10110290 - 31 Oct 2025
Viewed by 842
Abstract
Access to clean, hygienic, and sufficient potable water is a concern in many countries. To ensure this, asset management, planning, and structured pipe renewal are crucial in providing an adequate level of service. However, there is a significant backlog in municipal pipe renewal, [...] Read more.
Access to clean, hygienic, and sufficient potable water is a concern in many countries. To ensure this, asset management, planning, and structured pipe renewal are crucial in providing an adequate level of service. However, there is a significant backlog in municipal pipe renewal, which needs to be addressed to raise the standard of potable water supply to an acceptable level in countries across most continents. Therefore, the objective of this research was to improve decision-making to reduce this backlog. Competent personnel are a scarce resource and not easily replaced. Standardized decision-making is considered an efficient approach to addressing the shortage of skilled personnel in pipe renewal. However, its effectiveness depends on its adaptability to the varying complexity and scale of such projects during implementation. This research is based on a literature review that explores decision theories, project definitions, and project models, and compares the typical characteristics of pipe renewal projects with those of other infrastructure projects. The research highlights that structured and standardized decision-making processes are essential to ensure appropriate asset management of the pipe network and sufficient pipe renewal. The main outcome of this research is a tailored project model that supports better front-end decision-making in pipe renewal projects through improved information flow. Full article
Show Figures

Figure 1

22 pages, 2340 KB  
Article
Efficient Dual-Domain Collaborative Enhancement Method for Low-Light Images in Architectural Scenes
by Jing Pu, Wei Shi, Dong Luo, Guofei Zhang, Zhixun Xie, Wanying Liu and Bincan Liu
Infrastructures 2025, 10(11), 289; https://doi.org/10.3390/infrastructures10110289 - 31 Oct 2025
Viewed by 769
Abstract
Low-light image enhancement in architectural scenes presents a considerable challenge for computer vision applications in construction engineering. Images captured in architectural settings during nighttime or under inadequate illumination often suffer from noise interference, low-light blurring, and obscured structural features. Although low-light image enhancement [...] Read more.
Low-light image enhancement in architectural scenes presents a considerable challenge for computer vision applications in construction engineering. Images captured in architectural settings during nighttime or under inadequate illumination often suffer from noise interference, low-light blurring, and obscured structural features. Although low-light image enhancement and deblurring are intrinsically linked when emphasizing architectural defects, conventional image restoration methods generally treat these tasks as separate entities. This paper introduces an efficient and robust Frequency-Space Recovery Network (FSRNet), specifically designed for low-light image enhancement in architectural contexts, tailored to the unique characteristics of such scenes. The encoder utilizes a Feature Refinement Feedforward Network (FRFN) to achieve precise enhancement of defect features while dynamically mitigating background redundancy. Coupled with a Frequency Response Module, it modifies the amplitude spectrum to amplify high-frequency components of defects and ensure balanced global illumination. The decoder utilizes InceptionDWConv2d modules to capture multi-directional and multi-scale features of cracks. When combined with a gating mechanism, it dynamically suppresses noise, restores the spatial continuity of defects, and eliminates blurring. This method also reduces computational costs in terms of parameters and MAC operations. To assess the effectiveness of the proposed approach in architectural contexts, this paper conducts a comprehensive study using low-light defect images from indoor concrete walls as a representative case. Experimental results indicate that FSRNet not only achieves state-of-the-art PSNR performance of 27.58 dB but also enhances the mAP of the downstream YOLOv8 detection model by 7.1%, while utilizing only 3.75 M parameters and 8.8 GMACs. These findings fully validate the superiority and practicality of the proposed method for low-light image enhancement tasks in architectural settings. Full article
Show Figures

Figure 1

32 pages, 3299 KB  
Article
Mechanistic-Empirical Analysis of LDPE-SBS-Modified Asphalt Concrete Mix with RAP Subjected to Various Traffic and Climatic Loading Conditions
by Muhammad Haris, Asad Naseem, Sarfraz Ahmed, Muhammad Kashif and Ahsan Naseem
Infrastructures 2025, 10(11), 288; https://doi.org/10.3390/infrastructures10110288 - 30 Oct 2025
Viewed by 841
Abstract
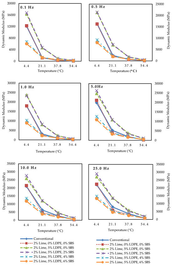
The current global economic challenges and resource scarcity necessitate the development of cost-effective and sustainable pavement solutions. This study investigates the performance of asphalt mixtures modified with Low-Density Polyethylene (LDPE) and Styrene–Butadiene–Styrene (SBS) as binder modifiers, and Hydrated Lime (Ca(OH)2) and [...] Read more.
The current global economic challenges and resource scarcity necessitate the development of cost-effective and sustainable pavement solutions. This study investigates the performance of asphalt mixtures modified with Low-Density Polyethylene (LDPE) and Styrene–Butadiene–Styrene (SBS) as binder modifiers, and Hydrated Lime (Ca(OH)2) and Reclaimed Asphalt Pavement (RAP) as aggregate replacements. The research aims to optimize the combination of these materials for enhancing the durability, sustainability, and mechanical properties of asphalt mixtures under various climatic and traffic conditions. Asphalt mixtures were modified with 5% LDPE and 2–6% SBS (by bitumen weight), with 2% Hydrated Lime and 15% RAP added to the mix. The performance of these mixtures was evaluated using the Simple Performance Tester (SPT), focusing on rutting, cracking, and fatigue resistance at varying temperatures and loading frequencies. The NCHRP 09-29 Master Solver was employed to generate master curves for input into the AASHTOWare Mechanistic-Empirical Pavement Design Guide (MEPDG), allowing for an in-depth analysis of the modified mixes under different traffic and climatic conditions. Results indicated that the mix containing 5% LDPE, 2% SBS, 2% Hydrated Lime, and 15% RAP achieved the best performance, reducing rutting, fatigue cracking, and the International Roughness Index (IRI), and improving overall pavement durability. The combination of these modifiers showed enhanced moisture resistance, high-temperature rutting resistance, and improved dynamic modulus. Notably, the study revealed that in warm climates, thicker pavements with this optimal mix exhibited reduced permanent deformation and better fatigue resistance, while in cold climates, the inclusion of 2% SBS further improved the mix’s low-temperature performance. The findings suggest that the incorporation of LDPE, SBS, Hydrated Lime, and RAP offers a sustainable and cost-effective solution for improving the mechanical properties and lifespan of asphalt pavements. Full article
Show Figures

Figure 1

16 pages, 2880 KB  
Article
Comparative Assessment of Vertical Precision of Unmanned Aerial Vehicle-Based Geodetic Survey for Road Construction: A Multi-Platform and Multi-Software Approach
by Brankica Malić, Vladimir Moser, Damir Rajle, Saša Kulić and Ivana Barišić
Infrastructures 2025, 10(11), 287; https://doi.org/10.3390/infrastructures10110287 - 30 Oct 2025
Cited by 1 | Viewed by 1065
Abstract
Accurate geodetic surveys are essential for road design, with altimetric accuracy being particularly critical. UAV photogrammetry offers faster and safer data acquisition than conventional methods, but its applicability depends on whether it can meet engineering accuracy standards. This study investigates the altimetric accuracy [...] Read more.
Accurate geodetic surveys are essential for road design, with altimetric accuracy being particularly critical. UAV photogrammetry offers faster and safer data acquisition than conventional methods, but its applicability depends on whether it can meet engineering accuracy standards. This study investigates the altimetric accuracy of UAV photogrammetry through a comparative assessment of surveys conducted on the same urban roundabout in Osijek, Croatia, in 2016 and 2024. By conducting the surveys eight years apart at the same location, the study allows for an assessment of how technological and methodological developments affect survey outcomes. The research evaluates different UAVs and multiple SfM software packages in a comparative framework, highlighting how UAV–software combinations affect results, rather than attributing accuracy solely to hardware or processing. The results of the conducted research indicate a significant increase in the accuracy of the UAV photogrammetric survey method. Through a proper combination of UAVs and SfM processing software, it is possible to achieve an accuracy within 2 cm and an RMSE of 1.2 cm, which is in line with the accuracy of a standard survey method like GNSS CROPOS. The results underline that UAV photogrammetry, when properly planned and executed, can now deliver altimetric accuracy sufficient for most road construction tasks, providing a reliable and cost-effective alternative to conventional geodetic surveys. Full article
Show Figures

Figure 1

24 pages, 7976 KB  
Article
Experimental and Numerical Model Analysis of Pipe–Soil Interaction Under Typical Geohazard Conditions
by Ning Shi, Tianwei Kong, Xiaoben Liu and Hong Zhang
Infrastructures 2025, 10(11), 286; https://doi.org/10.3390/infrastructures10110286 - 29 Oct 2025
Viewed by 895
Abstract
This paper systematically investigates the interaction between pipes and soil under geo-logical disaster conditions by combining small-scale physical experiments with mul-ti-method numerical simulations. Three analytical models—namely the Smoothed Particle Hydrodynamics-Finite Element Method (SPH-FEM) model, the traditional FEM model, and the soil spring-based Pipe–Soil [...] Read more.
This paper systematically investigates the interaction between pipes and soil under geo-logical disaster conditions by combining small-scale physical experiments with mul-ti-method numerical simulations. Three analytical models—namely the Smoothed Particle Hydrodynamics-Finite Element Method (SPH-FEM) model, the traditional FEM model, and the soil spring-based Pipe–Soil Interaction (PSI) model—are employed to comparatively analyze their applicability across different geohazard scenarios. The study found that the PSI model overpredicted pipeline strain responses, indicating that traditional soil spring analytical models require modification. The traditional FEM model provided the most accurate predictions under small-displacement conditions, while the SPH-FEM model yielded more reliable results for large-displacement scenarios. The novelty of this study lies in its systematic exploration of the applicability of these three methodologies, providing scientifically grounded simulation tools for numerical modeling in engineering practice. Full article
Show Figures

Figure 1

Previous Issue
Next Issue
Back to TopTop