Next Issue
Volume 10, February
Previous Issue
Volume 9, October
 
 

Designs, Volume 9, Issue 6 (December 2025) – 24 articles

Cover Story (view full-size image): L-CADEL version v5 is an elbow joint assisting device that is designed based on the experience of previous versions and on the requirements considering the application for physical exercise for elderly people at home. A laboratory prototype has been created for testing validation and performance characterization with the main features of a lightweight portable design and easy-to-use functionality. A Web Interface has also been designed and implemented to manage the device operation and data elaboration in very efficient way with the possibility of internet communications for tele-monitoring by medical operator supervisors. Successful results of lab tests are discussed to prove the device feasibility and to characterize the operation performance in elderly patients for future clinical assessments. View this paper
  • Issues are regarded as officially published after their release is announced to the table of contents alert mailing list.
  • You may sign up for e-mail alerts to receive table of contents of newly released issues.
  • PDF is the official format for papers published in both, html and pdf forms. To view the papers in pdf format, click on the "PDF Full-text" link, and use the free Adobe Reader to open them.
Order results
Result details
Section
Select all
Export citation of selected articles as:
32 pages, 7353 KB  
Article
A Methodology for the Design and Selection of Multifunctional Carbon Fibre-Reinforced Polymer for Aircraft Structures
by Muhammad Hijaaj Tahir, Catherine E. Jones and Robert Ian Whitfield
Designs 2025, 9(6), 146; https://doi.org/10.3390/designs9060146 - 18 Dec 2025
Viewed by 484
Abstract
Multifunctional aerostructures that carry mechanical loadings while conducting electrical currents offer a promising approach to reduce the weight of Electrical Power Systems (EPS) of aircraft. However, Carbon Fibre-Reinforced Polymer (CFRP), when used for aerostructures, presents challenges in achieving multi-functionality due to anisotropic mechanical, [...] Read more.
Multifunctional aerostructures that carry mechanical loadings while conducting electrical currents offer a promising approach to reduce the weight of Electrical Power Systems (EPS) of aircraft. However, Carbon Fibre-Reinforced Polymer (CFRP), when used for aerostructures, presents challenges in achieving multi-functionality due to anisotropic mechanical, electrical, and thermal properties. These properties are interdependent on both laminate-level design factors (fibre/resin choice, fibre volume fraction, stacking sequence, and electrode configuration) and system-level EPS constraints (allowable voltage drop, current, and installation geometry). State-of-the-art material design and selection methods lack a coupled mechanical–electro–thermal design and selection approach to overcome these challenges of a complex design space to enable identification of multifunctional CFRP (MF-CFRP) solutions. This paper presents the first methodology for the design and selection of MF-CFRP with combined electrical, structural, and thermal properties. The methodology integrates requirement capture, laminate layup determination, electro-thermal assessment, option ranking, and manufacturing route selection. The methodology couples laminate-level design factors with system-level EPS constraints and includes iterative loops to refine either the CFRP design or the EPS parameters when no solution initially exists. The methodology is demonstrated to enable the design of a CFRP component to conduct the electrical current as part of the 28 VDC network in an aircraft. This case study demonstrates the value of the methodology to identify knowledge and dataset gaps necessary for MF-CFRP design, alongside enabling the design of MF-CFRP components to enable increased power density of weight-critical EPS. Although the case study focused on a 28 VDC system, the methodology is generalisable to other aircraft electrical architectures since system-level electrical parameters are used within the methodology as adaptable inputs. Full article
(This article belongs to the Section Mechanical Engineering Design)
Show Figures

Figure 1

36 pages, 11316 KB  
Systematic Review
Glaucoma Drainage Devices and Minimally Invasive Glaucoma Surgery—Evolution of Designs and Materials
by Hari Tunga, Neloy Shome, Amirmohammad Shafiee, Prisha Jonnalagadda, Noah Wong, Amirmahdi Shafiee, Sohan Bobba and Karanjit Kooner
Designs 2025, 9(6), 145; https://doi.org/10.3390/designs9060145 - 15 Dec 2025
Viewed by 1062
Abstract
Glaucoma is recognized as the second leading cause of blindness globally and a primary cause of irreversible blindness, estimated to affect over 80 million patients worldwide, including 4.5 million in the United States. Though the disease is multifactorial, the primary cause is elevated [...] Read more.
Glaucoma is recognized as the second leading cause of blindness globally and a primary cause of irreversible blindness, estimated to affect over 80 million patients worldwide, including 4.5 million in the United States. Though the disease is multifactorial, the primary cause is elevated intraocular pressure (IOP), which damages the optic nerve fibers that connect the eye to the brain, thus interfering with the quality of vision. Current treatments have evolved, which consist of medications, laser therapies, and surgical interventions such as filtering procedures, glaucoma drainage devices (GDDs), and current innovations of minimally invasive glaucoma surgeries (MIGS). This paper aims to discuss the history and evolution of the design and biomaterials employed in GDDs and MIGS. Through a comprehensive review of the literature, we trace the development of these devices from early concepts to modern implants, highlighting advancements in materials science and surgical integration. This historical analysis, ranging from the mid-19th century, reveals a trend towards enhanced biocompatibility, improved efficiency in IOP reduction, and reduced complications. We conclude that the ongoing evolution of GDDs and MIGS underscores a persistent commitment to advancing patient care in glaucoma, paving the way for future device innovations and therapeutic trends to treat glaucoma. Full article
Show Figures

Graphical abstract

31 pages, 5434 KB  
Article
Design of a Low-Cost and Low-Power LoRa-Based IoT System for Rockfall and Landslide Monitoring
by Luis Miguel Pires and Ileida Veiga
Designs 2025, 9(6), 144; https://doi.org/10.3390/designs9060144 - 12 Dec 2025
Viewed by 1116
Abstract
This work presents the development and evaluation of a low-cost and low-power IoT system for monitoring slope instabilities, rockfalls, and landslides using LoRa communication. The prototype integrates commercial ESP32-based hardware with an SX1276 transceiver, a triaxial MEMS accelerometer, and a GPS module for [...] Read more.
This work presents the development and evaluation of a low-cost and low-power IoT system for monitoring slope instabilities, rockfalls, and landslides using LoRa communication. The prototype integrates commercial ESP32-based hardware with an SX1276 transceiver, a triaxial MEMS accelerometer, and a GPS module for real-time tilt and location measurements. A tilt-estimation expression was derived from accelerometer data, enabling adaptation to different terrain inclinations. Laboratory tests were performed to validate the stability and accuracy of the inclination measurement, followed by outdoor LoRa range tests under mixed line-of-sight conditions. A lightweight dashboard was implemented for real-time visualization of GPS position, signal quality, and tilt data. The results show reliable tilt detection, consistent long-range communication, and low power consumption, highlighting the potential of the proposed prototype as a scalable and energy-efficient tool for geotechnical monitoring. Full article
Show Figures

Figure 1

14 pages, 6141 KB  
Article
Design and Stability Evaluation of Slopes in the Sejiang Deformable Body Region Based on Experimental Data
by Dongqiang Li, Baodong Jiang, Gan Li and Chun Zhu
Designs 2025, 9(6), 143; https://doi.org/10.3390/designs9060143 - 10 Dec 2025
Viewed by 275
Abstract
In the field of engineering construction design, slope instability near water bodies remains a significant challenge. This issue is influenced by various factors, including fluid dynamics and external load disturbances. This study focuses on the design and stability evaluation of the slope in [...] Read more.
In the field of engineering construction design, slope instability near water bodies remains a significant challenge. This issue is influenced by various factors, including fluid dynamics and external load disturbances. This study focuses on the design and stability evaluation of the slope in the Sejiang deformation area of the Baala Hydropower Station, applying three advanced techniques: PS-InSAR remote sensing for dynamic slope deformation data, FLAC3D stability simulation for numerical analysis of slope stability, and FLOW-3D wave calculation for quantifying secondary wave effects caused by potential landslides. By integrating these technologies, the study provides a multi-dimensional, quantitative evaluation of the secondary disasters triggered by landslides in this region. The findings are as follows: (1) The slope in the deformation zone exhibits a long-term “stable-creep” evolution, characteristic of a “stable-creep landslide” type; (2) Sliding failure primarily occurs along the interface between the bedrock and overburden layer due to shear deformation; (3) When the deformation body, with a volume of 2.1 million cubic meters, slides into the water at a velocity of 24 m/s, the calculated maximum water level height on the opposite bank reaches approximately 2925 m, near the top elevation of the dam, but still within the project’s preset safety threshold. The design methodologies and conclusions drawn from this study offer valuable insights for evaluating and designing the stability of near-water slopes in other hydropower stations. Full article
(This article belongs to the Section Civil Engineering Design)
Show Figures

Figure 1

18 pages, 3025 KB  
Article
Optimization of the Prestress Value for Multi-Row Anchor in Anti-Slide Pile Based on a Staged Orthogonal Design
by Peng Zhang, Hongjie Jin, Rui Guo, Xiaokun Xu, Shuaikang Li and Qingxiang Meng
Designs 2025, 9(6), 142; https://doi.org/10.3390/designs9060142 - 7 Dec 2025
Viewed by 393
Abstract
The anti-slide pile with multi-row prestress anchor is widely used to prevent the failure of the slope. This paper proposes a multi-row anchor prestress optimization method based on a staged uniform design that combines FLAC3D 9.0 numerical simulations with the minimum bending moment [...] Read more.
The anti-slide pile with multi-row prestress anchor is widely used to prevent the failure of the slope. This paper proposes a multi-row anchor prestress optimization method based on a staged uniform design that combines FLAC3D 9.0 numerical simulations with the minimum bending moment criterion. By determining a global reference prestress and performing successive layered adjustments, the proposed method effectively controls the peak bending moment of the support structure and significantly enhances overall stability. Case studies demonstrate that this method reduces the peak bending moment of piles by approximately 31.88%, leading to a more uniform bending moment distribution, improved safety, and better cost efficiency. These results indicate that the proposed method provides an efficient and reliable approach for optimizing prestress distribution in complex slope support systems. Full article
(This article belongs to the Topic Resilient Civil Infrastructure, 2nd Edition)
Show Figures

Figure 1

18 pages, 4249 KB  
Article
Towards Sustainable Construction: Hybrid Prediction Modeling for Compressive Strength of Rice Husk Ash Concrete
by Wanling Yang, Yasha Ji, Shengtao Zhou, Ling Ji, Yu Lei and Minhao Wang
Designs 2025, 9(6), 141; https://doi.org/10.3390/designs9060141 - 5 Dec 2025
Viewed by 488
Abstract
Rice husk ash (RHA) offers an eco-friendly way to improve concrete. Owing to the complex mix design of RHA concrete, accurately predicting its strength remains a challenge. This study addresses this need by compiling a dataset of 291 compressive strength records for RHA [...] Read more.
Rice husk ash (RHA) offers an eco-friendly way to improve concrete. Owing to the complex mix design of RHA concrete, accurately predicting its strength remains a challenge. This study addresses this need by compiling a dataset of 291 compressive strength records for RHA concrete. Using seven key input variables (e.g., cement, water, and RHA content), three novel hybrid models were developed by integrating the XGBoost algorithm with advanced metaheuristic optimizers: Northern Goshawk Optimization (NGO), Arctic Puffin Optimization (APO), and Catch Fish Optimization Algorithm (CFOA). These hybrid models were compared against classic Random Forest (RF), and Support Vector Regression (SVR), and unoptimized XGBoost models. The results demonstrated that all hybrid models significantly outperformed the unoptimized classic models. The APO–XGBoost model achieved the highest prediction accuracy on the testing set (RMSE = 3.5462, R2 = 0.9579 on testing set), followed by CFOA–XGBoost and NGO–XGBoost. Cement content was revealed to be the most influential parameter on compressive strength, as determined by a sensitivity analysis, ahead of both water and coarse aggregate content. This research confirms the superiority of metaheuristic-optimized hybrid models for predicting the strength of RHA concrete, providing a reliable data-driven tool to support its mix design and promote its application in sustainable construction. Full article
Show Figures

Figure 1

25 pages, 4743 KB  
Review
Digital Twins in Development of Medical Products—The State of the Art
by Zhuming Bi, Ruaa Jamal Rabi Salem Alfakawi, Hosni Abu-Mulaweh and Donald Mueller
Designs 2025, 9(6), 140; https://doi.org/10.3390/designs9060140 - 4 Dec 2025
Viewed by 857
Abstract
This article provides a Structured Literature Review (SLR) on the uses of Digital Twins (DT-Is) in the development of medical products. The purposes of our SLR are to find out (1) whether existing DT-I technologies are mature enough to be adopted for new [...] Read more.
This article provides a Structured Literature Review (SLR) on the uses of Digital Twins (DT-Is) in the development of medical products. The purposes of our SLR are to find out (1) whether existing DT-I technologies are mature enough to be adopted for new medical product development, and (2) if the answer to item (1) is no, what existing works can be utilized in developing DT-Is for designs of bone fixations? It is our finding that numerous works are reported on using DT-Is in healthcare applications such as remote surgeries, remote diagnoses, personalized medicines, and assistive technologies. These applications involve one-to-one correspondence of physical and digital entities but exhibit several limitations in (1) inheriting and transferring knowledge from legacy products to new products and (2) a lack of a systematic approach in creating innovations for new product development. We suggest adopting Digital Triad (DT-II) for medical product development. A background study on using DT-II for the design of bone staples is conducted to illustrate the feasibility of the proposed idea. Full article
Show Figures

Figure 1

4 pages, 157 KB  
Editorial
Towards Net-Positive Energy Urban Districts: A Pillar of the Energy Transition
by Tony Castillo-Calzadilla
Designs 2025, 9(6), 139; https://doi.org/10.3390/designs9060139 - 2 Dec 2025
Viewed by 331
Abstract
In the current energy transition landscape, characterised by the dual requirements of accelerated decarbonisation and increased resilience to disruptions in the electricity system, the concept of positive energy districts (PEDs) is becoming increasingly relevant [...] Full article
(This article belongs to the Special Issue Design and Applications of Positive Energy Districts)
26 pages, 4052 KB  
Article
Solar-Thermal Process Intensification for Blue Hydrogen Production: Integrated Steam Methane Reforming with a Waste-Derived Red Mud Catalyst
by Taher Maatallah, Mussad Al-Zahrani, Salman Hilal, Abdullah Alsubaie, Mohammad Aljohani, Murad Alghamdi, Faisal Almansour, Loay Awad, Yassine Slimani and Sajid Ali
Designs 2025, 9(6), 138; https://doi.org/10.3390/designs9060138 - 28 Nov 2025
Viewed by 549
Abstract
The transition to low-carbon energy systems necessitates innovative design strategies for decarbonizing hydrogen production, particularly in industrial-scale applications where steam methane reforming (SMR) remains predominant. This study proposes a novel, integrated process design for blue hydrogen production that addresses both energy and environmental [...] Read more.
The transition to low-carbon energy systems necessitates innovative design strategies for decarbonizing hydrogen production, particularly in industrial-scale applications where steam methane reforming (SMR) remains predominant. This study proposes a novel, integrated process design for blue hydrogen production that addresses both energy and environmental sustainability through process intensification and resource valorization. A hybrid system was developed that combines solar thermal energy input with the catalytic potential of industrial waste, specifically, red mud, a byproduct of alumina refining. A solar parabolic dish (SPD) was engineered to contribute 10% of the heat demand, generating superheated steam at 477 °C. This work serves as a proof-of-concept, demonstrating the technical viability of integration at a bench scale. In parallel, red mud was characterized, thermochemically activated, and formulated into a low-cost catalyst for the SMR process. The integrated system includes solar-assisted steam generation, red mud-based catalytic reforming, CO2 capture using methyl diethanolamine (MDEA), and hydrogen purification via pressure swing adsorption (PSA). The full process was modeled and optimized using ASPEN Plus, ASPEN Adsorption, and COMSOL Multiphysics® Under optimal conditions (900 °C, 25 bar, steam-to-carbon ratio of 3), the system produced 1070 kg/h of hydrogen, achieving 95% CO2 capture efficiency and 99.99% hydrogen purity. Techno-economic analysis revealed the red mud-derived catalyst costs 3.89 SAR/g (1.04 USD/g), a 77% cost reduction compared to conventional Ni-based catalysts. The integration of solar thermal energy, while offering modest direct economic savings of approximately 9500 SAR (2530 USD) annually, primarily demonstrates the technical feasibility of renewable heat integration for reducing the carbon intensity of hydrogen production. Full article
(This article belongs to the Section Energy System Design)
Show Figures

Figure 1

19 pages, 3202 KB  
Article
Integrating Physics-Based and Data-Driven Approaches for Accurate Bending Prediction in Soft Pneumatic Actuators
by Nikhil Aryan, Narendra Gariya and Pravin Sankhwar
Designs 2025, 9(6), 137; https://doi.org/10.3390/designs9060137 - 28 Nov 2025
Viewed by 541
Abstract
Soft pneumatic actuators (SPAs) are gaining attention in the field of soft robotics due to their lightweight, highly flexible, and safer interaction while operated under an unstructured environment. They are easy to fabricate, produce high output force, and are relatively very inexpensive compared [...] Read more.
Soft pneumatic actuators (SPAs) are gaining attention in the field of soft robotics due to their lightweight, highly flexible, and safer interaction while operated under an unstructured environment. They are easy to fabricate, produce high output force, and are relatively very inexpensive compared to other soft actuators. However, accurate prediction of their nonlinear bending behavior is one of the main challenges, which is mainly due to the complex material properties and high deformation patterns. Therefore, this study focused on a hybrid approach that accurately captures the bending behavior of a single-chambered SPAs. This approach integrates physics-based modeling (finite element analysis (FEA) and analytical modeling) with a data-driven (polynomial regression modeling) approach to analyze the bending of single-chambered SPAs. Initially, four different hyperelastic material models (Neo-Hookean, Yeoh, Arruda–Boyce, and Ogden) were tested using FEA to analyze how material selection affects the SPA response. It is found that the Arruda–Boyce model generates the highest bending of 101° at 30 kPa pressure, while the other models consistently underestimated deformation at higher pressures. Further, an enhanced mathematical or analytical model was developed using Euler and Timoshenko beam theory with certain assumptions, such as neutral axis shifting, chamber ballooning, and shear deformation. These assumptions significantly improve the prediction accuracy and generate a bending angle of 99°at 30 kPa, which closely matches FEA bending. Further, a polynomial regression-based machine learning (ML) model was trained using analytical or mathematical bending data for faster output prediction. This data-driven approach achieves very high accuracy in the validation range, with an average absolute percentage deviation of only 0.002%. Additionally, comparison with the analytical results showed a mean absolute error (MAE) of 0.00180°, root mean squared error (RMSE) of 0.00205°, and coefficient of determination (R2) value of 0.999999808. Overall, integrating physics-based modeling with a data-driven approach provides a reliable and scalable method for SPA design. It provides practical information on material selection, analytical correction, and ML modeling, which will reduce the need for time-consuming prototyping. Finally, this hybrid approach can help to accelerate the development of soft robotic grippers, rehabilitation tools, and other bio-inspired actuation systems. Full article
(This article belongs to the Section Mechanical Engineering Design)
Show Figures

Figure 1

25 pages, 1309 KB  
Article
Navigating Digital Transformation in Asset-Intensive Companies: A Process Model Informed by Design Science
by Ilja Heitlager, Bernard Jenniskens and A. Georges L. Romme
Designs 2025, 9(6), 136; https://doi.org/10.3390/designs9060136 - 26 Nov 2025
Viewed by 898
Abstract
Companies in asset-intensive industries, such as aviation and railways, face unique digital transformation challenges due to the misalignment between the rapid evolution of digital technologies and decades-long asset lifecycles. Existing innovation frameworks are inadequate for managing this complexity, which in turn creates tensions [...] Read more.
Companies in asset-intensive industries, such as aviation and railways, face unique digital transformation challenges due to the misalignment between the rapid evolution of digital technologies and decades-long asset lifecycles. Existing innovation frameworks are inadequate for managing this complexity, which in turn creates tensions between innovation requirements and operational reliability demands. This paper therefore investigates how asset-intensive companies can systematically integrate digital technologies, while fully complying with regulatory constraints and safety requirements. We employ a design science approach in a study of Nederlandse Spoorwegen (NS), the Dutch national railway operator, focusing specifically on the implementation of AI-driven CCTV systems within the operations of NS. Drawing on a literature review and participant-observer as well as interview data, we develop six design propositions that address the key digital transformation challenges of asset-intensive companies in the area of market readiness assessment, modular architecture, regulatory compliance, temporal coordination, ecosystem governance, and organizational capability development. Using these design propositions, we develop the Iterative Development & Adoption Model (IDAM) that operationalizes market maturity assessment through market readiness levels to guide make-or-buy transitions across four iterative phases: ideate, assess, realise, and review. This model includes a Development Reference Architecture for emerging technologies and an Integration Reference Architecture for more mature technologies, enabling concurrent sourcing strategies based on technological maturity. IDAM provides actionable guidance for decisions about technology adoption in asset-intensive contexts, thereby offering a systematic approach to innovation management in industries with very long asset lifecycles and huge regulatory constraints. Full article
Show Figures

Graphical abstract

29 pages, 7160 KB  
Article
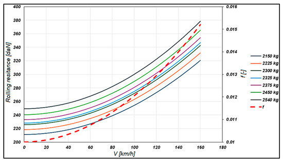
Research on the Dynamic and Energetic Performances of an Electric SUV in Real Driving Conditions
by Alexandru-Adrian Ancuta, Cristian-Alexandru Rentea and Daniel-Mihail Iozsa
Designs 2025, 9(6), 135; https://doi.org/10.3390/designs9060135 - 26 Nov 2025
Viewed by 489
Abstract
Electric vehicles have a limited driving range compared to conventional vehicles. This paper aims to present a particular study of the performances of electric vehicles based on real driving conditions on a cycle carried out using the general conditions of European Regulation regarding [...] Read more.
Electric vehicles have a limited driving range compared to conventional vehicles. This paper aims to present a particular study of the performances of electric vehicles based on real driving conditions on a cycle carried out using the general conditions of European Regulation regarding RDE tests. In this sense, a modern electric SUV was used and experimental tests were conducted using a measuring equipment connected to the vehicle via the OBD2 plug. The experimental results will be analyzed and presented in the following sections, and the main influencing factors on the energy performances (range, state of charge, energy consumption) that may occur in real running conditions will be identified. Full article
(This article belongs to the Section Vehicle Engineering Design)
Show Figures

Figure 1

17 pages, 2468 KB  
Article
Comfort Prediction Model for Sports Car Seats
by Marco Cuomo, Alessandro Naddeo and Rosaria Califano
Designs 2025, 9(6), 134; https://doi.org/10.3390/designs9060134 - 25 Nov 2025
Viewed by 861
Abstract
Automotive seat comfort is a critical factor in enhancing driver satisfaction, especially in sports cars, where design must balance comfort features and performance-oriented features like lateral containment and anti-submarining. This study adopts an empirical-analytical approach for assessing and modelling perceived comfort in sports [...] Read more.
Automotive seat comfort is a critical factor in enhancing driver satisfaction, especially in sports cars, where design must balance comfort features and performance-oriented features like lateral containment and anti-submarining. This study adopts an empirical-analytical approach for assessing and modelling perceived comfort in sports car seats using both objective and subjective data. A total of 64 participants (50 males, 14 females) evaluated two types of sports car seats—a road model (SEAT A) and a racing model (SEAT B)—during 15-min driving simulations using a dynamic simulator equipped with a full-body pressure mat (XSENSOR X3 PRO). Comfort was assessed through a postural comfort questionnaire using 10-point Likert scales. Statistical analysis revealed significant correlations between anthropometry, pressure distribution, and perceived comfort. In light of the correlation analysis, regression models were developed for four anthropometric percentile clusters (0–25th, 25–50th, 50–75th, 75–100th). Models were validated (accuracy > 75%) and one of them (named Model III) achieved accuracies of 95%, 96%, 90%, and 97% for its percentile clusters. The proposed models offer actionable insights for tailoring sports car seats to different user percentiles, enabling more personalized and effective seat designs that enhance both performance and comfort. Full article
(This article belongs to the Section Vehicle Engineering Design)
Show Figures

Figure 1

21 pages, 6897 KB  
Article
Coupled LEM–CZM Numerical Framework for Landslide Simulation and Its Application to Geotechnical Design
by Li Li, Tiansheng Chen, Haibo Liu, Rui Guo, Ruiyu He and Qingxiang Meng
Designs 2025, 9(6), 133; https://doi.org/10.3390/designs9060133 - 25 Nov 2025
Viewed by 471
Abstract
To realistically simulate the entire slip-surface process from crack initiation to run-out, we couple the simplified Bishop method (LEM) with zero-thickness cohesive elements (CZM): LEM first pinpoints the critical slip circle, then CZM tracks interface opening, progressive damage, and sliding along that exact [...] Read more.
To realistically simulate the entire slip-surface process from crack initiation to run-out, we couple the simplified Bishop method (LEM) with zero-thickness cohesive elements (CZM): LEM first pinpoints the critical slip circle, then CZM tracks interface opening, progressive damage, and sliding along that exact surface. Benchmarked against ACADS EX11, the framework reproduces the classical factor of safety while delivering the post-failure displacements, energy dissipation, and crack paths that LEM or traditional FEM cannot capture, offering a practical tool for landslide-prone slope design. Full article
(This article belongs to the Topic Resilient Civil Infrastructure, 2nd Edition)
Show Figures

Figure 1

25 pages, 4503 KB  
Article
From Negative Knowledge to Best Practices for Enhancing Reusability of Sketches in Procedural 3D CAD Models
by Carmen González-Lluch, Raquel Plumed and Pedro Company
Designs 2025, 9(6), 132; https://doi.org/10.3390/designs9060132 - 25 Nov 2025
Viewed by 403
Abstract
This paper contributes to advancing the quality of 3D procedural models by proposing practices based on the principle of “how to avoid doing it wrong” derived from analyzing negative knowledge in CAD modeling. The described framework adopts the three levels of quality identified [...] Read more.
This paper contributes to advancing the quality of 3D procedural models by proposing practices based on the principle of “how to avoid doing it wrong” derived from analyzing negative knowledge in CAD modeling. The described framework adopts the three levels of quality identified in the literature—usability, reusability, and design intent richness—while focusing specifically on deriving best practices to prevent failures based on negative knowledge related to reusability. The framework is built on the premise that quality issues hindering reusability can be categorized into three interrelated but largely independent types, each affecting the sketches, datums, or features within a procedural model’s tree structure. In this work, the study of sketches is addressed. The negative impact of typical failures, identified through representative case studies that illustrate both design and redesign errors, is analyzed to extract best practices that ensure CAD model reusability. While this study results in a practical guide for avoiding sketch-related errors that compromise the reusability of CAD models, the main contribution lies in demonstrating a framework that transforms negative knowledge into effective best practices. Full article
Show Figures

Figure 1

22 pages, 3541 KB  
Article
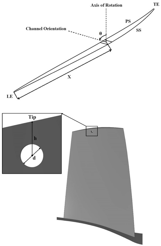
Hole-Blade Treatment in High-Speed Axial Compressors
by Mohammad Javad Shahriyari, Hossein Khaleghi, Andrea Magrini and Ernesto Benini
Designs 2025, 9(6), 131; https://doi.org/10.3390/designs9060131 - 21 Nov 2025
Viewed by 373
Abstract
The effect of a novel blade treatment on the performance characteristics of NASA Rotor 37 is investigated numerically in this study. The treatment includes making special holes in the blade and near the tip section. The impact of the treatment on the end-wall [...] Read more.
The effect of a novel blade treatment on the performance characteristics of NASA Rotor 37 is investigated numerically in this study. The treatment includes making special holes in the blade and near the tip section. The impact of the treatment on the end-wall flow structure is evaluated and discussed. Furthermore, the influence of the streamwise location and the angle of the holes is investigated. The results reveal that a significant stability enhancement can be achieved by the appropriate design of the hole location and configuration, at the expense of a small degradation in the peak efficiency and pressure ratio. It is shown that the position of the holes should be downstream of the passage shock wave to maximize the operating range of the rotor. In this situation, the shock is sucked back by the hole, which reduces its angle and postpones stall inception. Maximum stability improvement (about 30%) has been obtained for a hole angle equivalent to 75 degrees and a 60% chord location. Full article
Show Figures

Figure 1

32 pages, 2800 KB  
Article
A Novel Prairie Dog Optimization for Energy Management of Multi-Microgrid System Considering Uncertainty and Load Management
by Sri Suresh Mavuri and Surender Reddy Salkuti
Designs 2025, 9(6), 130; https://doi.org/10.3390/designs9060130 - 21 Nov 2025
Viewed by 357
Abstract
This study introduces a design-oriented framework for an intelligent Energy Management System (EMS) in a Multi-Microgrid (MMG) environment to achieve efficient, reliable, and sustainable power operation. The proposed EMS is systematically designed to coordinate three interconnected microgrids with the main grid, optimizing Distributed [...] Read more.
This study introduces a design-oriented framework for an intelligent Energy Management System (EMS) in a Multi-Microgrid (MMG) environment to achieve efficient, reliable, and sustainable power operation. The proposed EMS is systematically designed to coordinate three interconnected microgrids with the main grid, optimizing Distributed Energy Resource (DER) utilization under uncertain weather, load, and market conditions. A novel Prairie Dog Optimization (PDO) algorithm is developed as a key algorithmic design innovation to enhance decision-making in day-ahead scheduling and load management. Through an optimization-based design approach, the EMS minimizes Energy Generation Cost (EGC) and Probability of Power Supply Deficit (PPSD). Simulation studies on a modified 33-bus system validate the design’s effectiveness, showing that PDO reduces operational cost by 5% and carbon emissions by 20% compared to Grey Wolf Optimization (GWO) and Particle Swarm Optimization (PSO). A better system performance is indicated by the optimal EGC of 0.1567 $/kWh and PPSD of 0.155%. Comprehensively, the PDO-based EMS is an important addition to the design engineering field by offering scalable, adaptive, and sustainable energy system design to the design of resilient and zero-emission MMG architectures to be used in the future in smart grids. Full article
Show Figures

Graphical abstract

21 pages, 7223 KB  
Article
Towards Circular Construction: Material and Component Stock Assessment in Montréal’s Residential Buildings
by Rafaela Orenga Panizza, Farzad Jalaei and Mazdak Nik-Bakht
Designs 2025, 9(6), 129; https://doi.org/10.3390/designs9060129 - 20 Nov 2025
Cited by 1 | Viewed by 610
Abstract
The construction industry is a major consumer of raw materials and a significant contributor to global waste. In Canada, the construction, renovation, and demolition (CRD) sector diverts only 16% of its waste from landfills, underscoring the urgent need for circular economy (CE) practices. [...] Read more.
The construction industry is a major consumer of raw materials and a significant contributor to global waste. In Canada, the construction, renovation, and demolition (CRD) sector diverts only 16% of its waste from landfills, underscoring the urgent need for circular economy (CE) practices. This study develops a generalizable and reproducible framework for archetype identification to support CE strategies, with a focus on Montréal, Canada’s second-largest city. We define a new set of exterior shell archetypes for low-rise residential buildings and demonstrate their application in a neighborhood-scale case study. These archetypes enable systematic estimation of material and component stocks, as well as end-of-life recovery flows, across a representative sample of buildings in the Mercier–Hochelaga–Maisonneuve district. Results show that prioritizing reuse can nearly double material recovery compared to conventional sorting and recycling. More broadly, this framework advances engineering design for circular systems by integrating component-level data into reuse strategy assessment and providing a scalable approach for urban circularity. Full article
Show Figures

Figure 1

25 pages, 3682 KB  
Article
Design and Validation of a CNN-BiLSTM Pulsed Eddy Current Grounding Grid Depth Inversion Method for Engineering Applications Based on Informer Encoder
by Yonggang Yue, Su Xu, Yongqiang Fan, Xiaoyun Tian, Xunyu Liu, Xiaobao Hu and Jingang Wang
Designs 2025, 9(6), 128; https://doi.org/10.3390/designs9060128 - 14 Nov 2025
Viewed by 477
Abstract
To address the problems of low inversion accuracy and poor noise resistance in pulsed eddy current (PEC) grounding grid depth detection, this study proposes a novel inversion model (IE-CBiLSTM). This model integrates the Informer Encoder with the CNN-BiLSTM for the first time to [...] Read more.
To address the problems of low inversion accuracy and poor noise resistance in pulsed eddy current (PEC) grounding grid depth detection, this study proposes a novel inversion model (IE-CBiLSTM). This model integrates the Informer Encoder with the CNN-BiLSTM for the first time to detect the depth of the PEC grounding grid and conducts experimental verification based on an independently designed pulsed eddy current detection device and a dedicated coil sensor. The model design employs a two-dimensional convolutional neural network (CNN) to extract local spatial features, combines a bidirectional long short-term memory network (Bi-LSTM) to model temporal dependencies, and introduces a multi-head attention mechanism along with the Informer structure to enhance the expression of key features. In terms of data construction, the design integrates both forward simulation data and measured data to improve the model’s generalization capability. Experimental validation includes self-burial experiments and field tests at a substation. In the self-burial test, the IE-CBiLSTM inversion results show high consistency with actual burial depths under various conditions (1.0 m, 1.2 m, and 1.5 m), significantly outperforming other optimization algorithms, achieving a coefficient of determination (R2) of 0.861, along with root mean square error (ERMS) and mean relative error (EMR) values of 17.54 Ω·m and 0.061 Ω·m, respectively. In the field test, the inversion results also closely match the design depths from engineering drawings, with an R2 of 0.933, ERMS of 11.30 Ω·m, and EMR of 0.046 Ω·m. These results are significantly better than those obtained using traditional Occam and LSTM methods. At the same time, based on the inversion results, a three-dimensional inversion map of the grounding grid and a buried depth profile were drawn, and the spatial direction and buried depth distribution of the underground flat steel were clearly displayed, proving the visualization ability of the model and its engineering practicality under complex working conditions. This method provides an efficient and reliable inversion strategy for deep PEC nondestructive testing of grounding grid laying. Full article
Show Figures

Figure 1

13 pages, 5999 KB  
Article
An Innovative Design of Railroad Crossties
by Moses Karakouzian, Maple Crow, William Van Vlerin, Patrick Whitton and Mehrdad Karami
Designs 2025, 9(6), 127; https://doi.org/10.3390/designs9060127 - 12 Nov 2025
Viewed by 400
Abstract
This study presents an initial feasibility concept paper for a proposed crosstie system, an innovative railroad crosstie reinforcement system designed to reduce the stresses transmitted to the underlying ballast. While not developed for a specific industry client, the proposed crosstie system lays the [...] Read more.
This study presents an initial feasibility concept paper for a proposed crosstie system, an innovative railroad crosstie reinforcement system designed to reduce the stresses transmitted to the underlying ballast. While not developed for a specific industry client, the proposed crosstie system lays the groundwork for patent application and potential commercialization, offering a novel alternative to conventional railroad construction. Finite Element Analysis demonstrated that this system can reduce effective stress on the ballast by up to 24%, effectively making train loads appear lighter to the substructure. The design of the proposed system focuses on mitigating the excessive stresses transmitted from crossties to the ballast layer in heavy axle load (HAL) freight rail operations. The goal was to create a reinforcement mechanism that is modular, compatible with existing track infrastructure, and capable of reducing maintenance costs by distributing loads more effectively across the ballast and subgrade. The findings indicate that this system is not only the most cost-effective and sustainable solution but also holds promise for reducing fixed stock investment, minimizing downtime for track maintenance, and enabling expanded rail network connectivity. These results support continued research and investment in the system’s development and deployment. Full article
Show Figures

Figure 1

24 pages, 6505 KB  
Article
Design and Prototype of L-CADEL.v5 Elbow Assisting Device
by Sergei Kotov and Marco Ceccarelli
Designs 2025, 9(6), 126; https://doi.org/10.3390/designs9060126 - 11 Nov 2025
Viewed by 647
Abstract
A new version of the L-CADEL elbow joint assisting device is presented as version v5. The design is revised based on the experience of previous versions and on the requirements that consider the application for physical exercise for the elderly people at home. [...] Read more.
A new version of the L-CADEL elbow joint assisting device is presented as version v5. The design is revised based on the experience of previous versions and on the requirements that consider the application for physical exercise for the elderly people at home. A laboratory prototype has been created with lightweight, portable and easy-to-use functionality that is confirmed by lab test results. A web interface was developed to manage the device as well as to acquire and elaborate data. Results of lab tests are discussed to validate the design feasibility and to characterize the operation performance for future clinical assessments. Full article
(This article belongs to the Section Bioengineering Design)
Show Figures

Figure 1

33 pages, 6282 KB  
Article
Economic and Environmental Analysis of EV Public Fast-Charging Stations Using Renewable Energy
by Beatriz Amante, Anna Sánchez, Ana Puig-Pey and Nil Lin Farré
Designs 2025, 9(6), 125; https://doi.org/10.3390/designs9060125 - 30 Oct 2025
Viewed by 1662
Abstract
Electric vehicles (EVs) are emerging as cost-effective and eco-friendly alternatives to gasoline cars, but widespread adoption still faces hurdles, notably the scarcity of public fast-charging stations. This paper proposes an optimal method to locate and size a fast-charging station in Barcelona, integrating solar [...] Read more.
Electric vehicles (EVs) are emerging as cost-effective and eco-friendly alternatives to gasoline cars, but widespread adoption still faces hurdles, notably the scarcity of public fast-charging stations. This paper proposes an optimal method to locate and size a fast-charging station in Barcelona, integrating solar photovoltaics (PV) and a battery energy storage system (BESS). The goal is to reduce range anxiety, cut investment costs, and minimize environmental impact. We introduce a modular, scalable station design compatible with second-life batteries and PV panels. Our methodology is twofold: first, determining the optimal charging infrastructure configuration; second, calculating financial viability via net present value (NPV) and internal rate of return (IRR). Results indicate that PV and BESS installation represents the largest cost component, yet energy independence enables rapid capital recovery, with payback in around four years. Selling surplus energy can generate an additional ~4% profit. NPV and IRR values confirm feasibility for scenarios using PV, BESS, or both. Particularly in the highway deployment scenario, combining PV and BESS yields a 72% reduction in greenhouse gas emissions. Overall, our study demonstrates that integrating renewable generation and storage into fast-charging infrastructure in Barcelona is both economically viable and environmentally beneficial. Full article
(This article belongs to the Section Vehicle Engineering Design)
Show Figures

Figure 1

29 pages, 4153 KB  
Article
Towards Sustainable Mosques: A Review of AI and ML Approaches for Energy Use Forecasting
by Abdelmajid Larhlida, Abdelali Mana, Aicha Fathi, Badr Ouhammou, Zouhair Sadoune and Abdelmajid Jamil
Designs 2025, 9(6), 124; https://doi.org/10.3390/designs9060124 - 29 Oct 2025
Viewed by 1515
Abstract
This thorough study looks at the use of machine learning (ML) techniques to forecast energy usage in buildings, with an emphasis on mosques. As energy use has a greater impact on both the environment and the economy, it is becoming increasingly important to [...] Read more.
This thorough study looks at the use of machine learning (ML) techniques to forecast energy usage in buildings, with an emphasis on mosques. As energy use has a greater impact on both the environment and the economy, it is becoming increasingly important to optimize energy usage in buildings, especially for religious organizations such as mosques. The study goes into a variety of ML methods and models, including neural networks, regression models, decision trees, and clustering algorithms, each customized to a distinct difficulty in energy management. The paper evaluates the efficacy of several ML techniques, noting their merits, shortcomings, and potential applications. Additionally, it investigates the impact of climate, mosque design, occupancy patterns, and geographical variables on energy use. To achieve accurate energy consumption projections, rigorous data collecting, pre-processing, and model validation procedures are required. The paper also discusses important data sources and methodologies for mosque-specific energy analysis. Furthermore, the study emphasizes the practical benefits of applying ML in energy prediction, such as cost savings, increased environmental sustainability, and better resource allocation. This study’s ramifications extend beyond mosques, providing useful insights into energy management in buildings in general. By summarizing the current state of ML applications in mosque energy prediction, this study is an important resource for researchers, decision-makers, and energy management practitioners, paving the way for future advancements and the adoption of more sustainable energy practices in religious institutions. Full article
(This article belongs to the Topic Net Zero Energy and Zero Emission Buildings)
Show Figures

Figure 1

36 pages, 8124 KB  
Article
Declaration-Ready Climate-Neutral PEDs: Budget-Based, Hourly LCA Including Mobility and Flexibility
by Simon Schneider, Thomas Zelger, Raphael Drexel, Manfred Schindler, Paul Krainer and José Baptista
Designs 2025, 9(6), 123; https://doi.org/10.3390/designs9060123 - 27 Oct 2025
Cited by 1 | Viewed by 816
Abstract
In recent years, Positive Energy Districts (PEDs) have been interpreted in many—and often conflicting—ways. We recast PEDs as a vehicle for verifiable climate neutrality and present a declaration-ready assessment that integrates (i) a cumulative, science-based GHG budget per m2 gross floor area [...] Read more.
In recent years, Positive Energy Districts (PEDs) have been interpreted in many—and often conflicting—ways. We recast PEDs as a vehicle for verifiable climate neutrality and present a declaration-ready assessment that integrates (i) a cumulative, science-based GHG budget per m2 gross floor area (GFA), (ii) full life-cycle accounting, and (iii) time-resolved conversion factors that include everyday motorized individual mobility and quantify flexibility. Two KPIs anchor the framework: the cumulative GHG LCA balance (2025–2075) against a maximum compliant budget of 320 kgCO2e·m−2GFA and the annual primary energy balance used to declare PED status with or without mobility. We follow EN 15978 and apply time-resolved emission factors that decline to zero by 2050. Its applicability is demonstrated on six Austrian districts spanning new builds and renovations, diverse energy systems, densities, and mobility contexts. The baseline scenarios show heterogeneous outcomes—only two out of six meet both the cumulative GHG budget and the positive primary energy balance—but design iterations indicate that all six districts can reach the targets with realistic, ambitious packages (e.g., high energy efficiency and flexibility, local renewables, ecological building materials, BESS/V2G, and mobility electrification). Hourly emission factors and flexibility signals can lower import-weighted emission intensity versus monthly or annual factors by up to 15% and reveal seasonal import–export asymmetries. Built on transparent, auditable rules and open tooling, this framework both diagnoses performance gaps and maps credible pathways to compliance—steering PED design away from project-specific targets toward verifiable climate neutrality. It now serves as the basis for the national labeling/declaration scheme klimaaktiv “Climate-Neutral Positive Energy Districts”. Full article
(This article belongs to the Special Issue Design and Applications of Positive Energy Districts)
Show Figures

Figure 1

Previous Issue
Next Issue
Back to TopTop