Next Issue
Volume 10, April
Previous Issue
Volume 9, December
 
 

Designs, Volume 10, Issue 1 (February 2026) – 23 articles

Cover Story (view full-size image): Representing and visualizing orientation data obtained from electron backscatter diffraction (EBSD) in inverse pole figure (IPF) maps is the core of EBSD software design. The coloring algorithm used for the standard stereographic triangles (SSTs) determines the final color of the orientations in the IPF map. A simple algorithm using nonlinear finite element shape functions is developed to color-code the SSTs of all Laue and point groups by mapping the equilateral Maxwell color triangle to the curved SSTs. A computer program using the OpenGL graphics library in C++ is developed to implement and demonstrate the coloring/visualizing algorithm and orientation mapping. A method is also established to adjust the color centroid of the curved SSTs to more uniformly distribute the color, which is not available in commercial EBSD software. View this paper
  • Issues are regarded as officially published after their release is announced to the table of contents alert mailing list.
  • You may sign up for e-mail alerts to receive table of contents of newly released issues.
  • PDF is the official format for papers published in both, html and pdf forms. To view the papers in pdf format, click on the "PDF Full-text" link, and use the free Adobe Reader to open them.
Order results
Result details
Section
Select all
Export citation of selected articles as:
17 pages, 8483 KB  
Article
Experimental Study on Thermal–Fluid Coupling Heat Transfer Characteristics of High-Voltage Permanent Magnet Motors
by Liquan Yang, Kun Zhao, Xiaojun Wang, Qingqing Lü, Xuandong Wu, Gaowei Tian, Qun Li and Guangxi Li
Designs 2026, 10(1), 23; https://doi.org/10.3390/designs10010023 - 19 Feb 2026
Viewed by 331
Abstract
With the core advantages of high energy efficiency, high power density, and reliable operation, high-voltage permanent magnet motors have become the mainstream development direction of modern motor technology. However, the risk of demagnetization caused by excessive temperature increases in permanent magnets has become [...] Read more.
With the core advantages of high energy efficiency, high power density, and reliable operation, high-voltage permanent magnet motors have become the mainstream development direction of modern motor technology. However, the risk of demagnetization caused by excessive temperature increases in permanent magnets has become a key bottleneck restricting motor performance and operational reliability, which makes research on the flow and heat transfer characteristics of motor cooling systems of great engineering value. Taking the 710 kW high-voltage permanent magnet motors as the research object, this study established a global flow field mathematical model covering the internal and external air duct cooling systems of the motor based on the theories of computational fluid dynamics and numerical heat transfer, and systematically analyzed the flow characteristics and distribution laws of cooling air. The thermal–fluid coupling numerical method was employed to simulate the temperature field of the motor, and the overall temperature distribution of the motor, temperature gradient of key components, and maximum temperature value were accurately obtained. To verify the validity of the established model, a test platform for the cooling system performance was designed and built. Measuring points for wind speed, air temperature, and component temperature were arranged at key positions, such as the stator radial ventilation ducts, and experimental tests were conducted under the rated operating conditions. The results show that the flow field distribution of the internal and external air ducts of the motor is reasonable and that the cooling air flows uniformly, with the external and internal circulating air volumes reaching 1.2 m3/s and 0.6 m3/s, respectively, which meets the heat dissipation requirements. The maximum temperature of 95 °C occurs in the stator winding area, and the maximum temperature of the permanent magnets is controlled within the safe range of 65 °C. The simulation results were in good agreement with the experimental data, with an average relative error of only 4%, which fell within the engineering allowable range, thus verifying the accuracy and reliability of the established global model and thermal–fluid coupling calculation method. This study reveals the thermal–fluid coupling transfer mechanism of high-voltage permanent magnet motors and provides a theoretical basis and engineering reference for the optimal design, precise temperature rise control, and reliability improvement of motor cooling systems. Full article
Show Figures

Figure 1

32 pages, 2176 KB  
Article
Innovative Design of a Vertical Retractable Multipurpose Support System
by Elkin I. Gutierrez-Velasquez, Hector Parra-Peñuela and Jairo Cortes-Lizarazo
Designs 2026, 10(1), 22; https://doi.org/10.3390/designs10010022 - 18 Feb 2026
Viewed by 256
Abstract
The Support System with Vertical Retractable Mechanism (SSVRS) is an advancement in telescopic technology that replaces continuous threaded or fluid-dependent interfaces with an internal stepped mechanism based on geometric mechanical interference. This coaxial design uses an integrated pin that engages with discrete grooves, [...] Read more.
The Support System with Vertical Retractable Mechanism (SSVRS) is an advancement in telescopic technology that replaces continuous threaded or fluid-dependent interfaces with an internal stepped mechanism based on geometric mechanical interference. This coaxial design uses an integrated pin that engages with discrete grooves, enabling rapid height adjustments and positioning speeds that are significantly faster than those of traditional mechanisms. Unlike friction-based systems that are prone to slipping under dynamic loads, the SSVRS provides millimeter-level precision and exceptional stability, even in vibrational environments. The SSVRS’s versatility stems from its parametric modular design, which scales from lightweight domestic fixtures to heavy-duty industrial machinery by customizing material selection—ranging from high-strength steel to glass fiber-reinforced nylon—and slot configuration. Specifically, vertical slot arrangements facilitate rapid movement, and spiral geometries allow for high-precision alignment. Furthermore, the SSVRS optimizes long-term operational efficiency and sustainability through low maintenance requirements, minimal moving parts, and the use of recyclable materials. By combining high-speed positioning, robust structural integrity, and adaptive modularity, the SSVRS provides a high-performance, concrete alternative to current mainstream linear modules and traditional support structures. Full article
Show Figures

Figure 1

16 pages, 2553 KB  
Article
Dynamic Analysis of Transmission Wire Impact on Hanging Net Shielding System
by Qiang Liu, Xi Zheng, Qiuhan Zhang, Yongjian Bian and Zuqing Yu
Designs 2026, 10(1), 21; https://doi.org/10.3390/designs10010021 - 17 Feb 2026
Viewed by 290
Abstract
The hanging net shielding system, employing a suspended cage-type enclosed structure to restrict the high-voltage transmission wire, has seen increasingly widespread application in transmission line crossing construction. However, the lack of a comprehensive dynamic analysis methodology has limited the standardization of its design [...] Read more.
The hanging net shielding system, employing a suspended cage-type enclosed structure to restrict the high-voltage transmission wire, has seen increasingly widespread application in transmission line crossing construction. However, the lack of a comprehensive dynamic analysis methodology has limited the standardization of its design and usage. In this investigation, a systematical dynamic modeling and analysis procedure of the hanging net shielding system is proposed based on the absolute nodal coordinate formulation (ANCF). The carrier cable, slings and transmission wire are discretized by the ANCF cable element. The spatial flexible beam–beam contact model and the assumption of a single contact area are adopted to perform the contact searching between the transmission wire and the horizontal pulley. The system dynamics analysis equation is assembled and solved by generalized alpha method. A full-scale model is simulated for the transmission wire impact condition and the variation history of the tension in carrier cable and the sling cable are given. The peak value of the tension in carrier cable could be 110 kN, while the largest tension in sling cable is 9 kN. Results could help to ensure construction safety, shorten the design cycle of the protection system and reduce the development cost at the same time. Full article
Show Figures

Figure 1

16 pages, 4562 KB  
Article
Design and Verification of Non-Intrusive Current Transformer with PCB Coils in Reverse-Series Connection
by Xunan Ding, Juheng Wang, Chenchen Han, Xiao Chen and Jingang Wang
Designs 2026, 10(1), 20; https://doi.org/10.3390/designs10010020 - 13 Feb 2026
Viewed by 289
Abstract
Accurate and reliable current measurement is a key prerequisite for ensuring the safe operation of power systems. Conventional through-core and wound current transformers require power outage for installation or modification of line structures, which are plagued by high installation difficulty and cost, and [...] Read more.
Accurate and reliable current measurement is a key prerequisite for ensuring the safe operation of power systems. Conventional through-core and wound current transformers require power outage for installation or modification of line structures, which are plagued by high installation difficulty and cost, and fail to meet the digital development needs of smart grids. To address the demand for non-intrusive installation of current transformers, this paper proposes a non-intrusive current transformer with PCB coils in reverse-series connection. First, a magnetic coupling current calculation model is established to design a reverse-series double-layer coil structure, and a mathematical model of the equivalent circuit for the sensing and measurement system is constructed. The influence of circuit parameters on the output response is analyzed, yielding an optimization method for the system operating state and completing the hardware circuit design. Subsequently, a simulation model of the reverse-series double-layer coil is built to calculate and analyze the amplitude-frequency characteristics, steady-state and transient performance, as well as anti-interference capability of the transformer. The results demonstrate that the designed transformer, combined with an active integrating circuit, achieves an upper cutoff frequency of 13,169 Hz and a lower cutoff frequency approaching 0 Hz, which satisfies the requirements of wide-frequency measurement while ensuring high sensitivity and anti-interference capability. Finally, a current-sensing experiment platform is built for comparative verification with conventional invasive current transformers. Experimental results show that after correction with a proportional coefficient of 1.317, the fitting squared error is only 0.0038. The linearity remains excellent under different conditions with a wide dynamic measurement range, and the phase error is less than 15°. Within the range of 2–120% of the rated current, the ratio error is less than 0.9%, indicating high measurement accuracy. This study provides a new high-precision and convenient method for current measurement in smart grids. Full article
(This article belongs to the Section Electrical Engineering Design)
Show Figures

Figure 1

20 pages, 1201 KB  
Review
Biomimetic Compliance in Ergonomic Product Design: A Comprehensive Synthesis and Research Roadmap
by Nikitas Gerolimos, Vasileios Alevizos, Emmanouela Sfyroera, Johannis Tsoumas, Georgios Priniotakis and George A. Papakostas
Designs 2026, 10(1), 19; https://doi.org/10.3390/designs10010019 - 12 Feb 2026
Viewed by 432
Abstract
This comprehensive review investigates how biomimetic mechanisms inform engineered systems that adapt to the user and environment during use, marking a shift from aesthetic imitation to functional compliance. By synthesizing a curated evidence base of 52 key studies, this work identifies four investigation [...] Read more.
This comprehensive review investigates how biomimetic mechanisms inform engineered systems that adapt to the user and environment during use, marking a shift from aesthetic imitation to functional compliance. By synthesizing a curated evidence base of 52 key studies, this work identifies four investigation domains: (i) biomorphic structures, (ii) compliant material systems, (iii) computational modelling via AI and digital twins, and (iv) integrated ergonomic-sustainability evaluations. Our analysis reveals a technical continuum dominated by Passive Compliance (59.6%), while identifying significant translational bottlenecks in closed-loop adaptive verification. To address these gaps, the study introduces a functional taxonomy and the Nautilus Model as a maturity framework for iterative, knowledge-preserving design. Furthermore, a set of benchmark tasks (e.g., 100 Hz adaptation, 500,000-cycle durability) is established to support the validation of future co-evolutionary, eco-centric products. This synthesis establishes a new research agenda that integrates biological self-organization with rigorous ergonomic verification. Full article
Show Figures

Figure 1

17 pages, 2700 KB  
Article
Design of a Dual-Chain Synchronization Monitoring System for Scraper Conveyors Based on Magnetic Sensing
by Jiacheng Li, Xishuo Zhu, Han Tian, Junsheng Zhang, Hao Li, Haoting Liu and Junyuan Li
Designs 2026, 10(1), 18; https://doi.org/10.3390/designs10010018 - 9 Feb 2026
Viewed by 252
Abstract
Chain breakage in dual-chain scraper conveyors poses significant risks to the safe and efficient operation of coal mines. To address the challenges of harsh underground environments and the lack of effective synchronization monitoring, this paper presents the design and implementation of an intelligent [...] Read more.
Chain breakage in dual-chain scraper conveyors poses significant risks to the safe and efficient operation of coal mines. To address the challenges of harsh underground environments and the lack of effective synchronization monitoring, this paper presents the design and implementation of an intelligent monitoring system for conveyor integrity. The system integrates non-contact Hall-effect sensors with a custom-designed intrinsically safe data acquisition unit. A systematic algorithmic framework is designed, comprising an adaptive threshold and plateau seeking (ATPS) module and an adaptive clustering-based identification (ACCI) module, to enable high-accuracy automatic identification of chain elements. Furthermore, a novel synchronization evaluation design based on event correlation and statistical features is introduced to quantify inter-chain timing deviations. This leads to the construction of a Chain Synchronization Index (CSI) for desynchronization anomaly detection. Field experiments conducted under representative operating conditions, including normal operation and controlled single-chain disconnection scenarios, demonstrate that the proposed design achieves a chain element recognition accuracy of 98.2%. Under normal conditions, the CSI remains consistently high, while breakage faults are sensitively detected. The proposed system provides a practical engineering solution for synchronization-aware condition monitoring and anomaly warning of scraper conveyor chains in underground coal mines. Full article
Show Figures

Figure 1

15 pages, 6837 KB  
Article
Design and Validation of an Instrument for Noninvasive Measurement of Connecting Rod Deformation in Spark Ignition Engines for Hybrid Vehicles
by Vincenzo La Battaglia, Livia Del Pinto, Stefano Marini, Alessandro Giorgetti and Gabriele Arcidiacono
Designs 2026, 10(1), 17; https://doi.org/10.3390/designs10010017 - 5 Feb 2026
Viewed by 389
Abstract
This work presents the development of a measuring instrument capable of assessing the possible presence of critical permanent deformations on the connecting rod in hybrid cars equipped with gasoline-powered internal combustion engines. The permanent deformation can be due to incorrect fueling and cause [...] Read more.
This work presents the development of a measuring instrument capable of assessing the possible presence of critical permanent deformations on the connecting rod in hybrid cars equipped with gasoline-powered internal combustion engines. The permanent deformation can be due to incorrect fueling and cause a progressive engine failure through the breaking of one or more connecting rods. The measuring tool developed is a non-invasive, low-cost system and permits the detection of the incipient damage without dismantling the engine, thus assuring a time-saving approach. The instrument is composed of a mechanical system and an electronic interface that permits easy use during measuring operations and the possibility to store the data collected. An experimental campaign was implemented to validate the measurement system’s capability to detect this type of damage and to determine a threshold beyond which it is necessary to proceed with the replacement of connecting rods. The results show the optimal ability to differentiate between usual technological variability of the piston stroke and the range that can be connected to the anomaly studied. The system is also able to permit the measurement of a whole engine in less than 20 min. Full article
(This article belongs to the Section Vehicle Engineering Design)
Show Figures

Figure 1

26 pages, 4006 KB  
Article
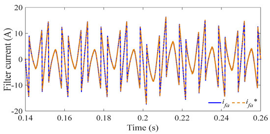
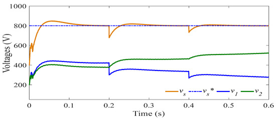
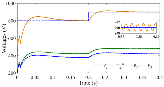
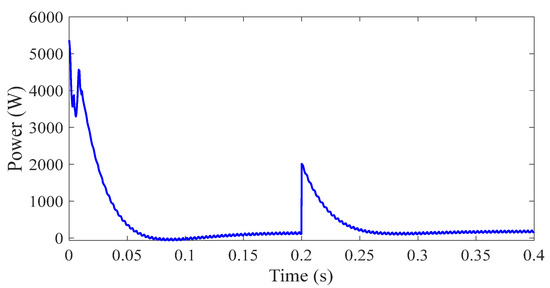
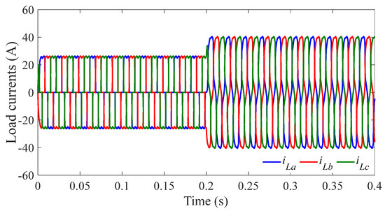
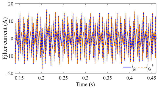
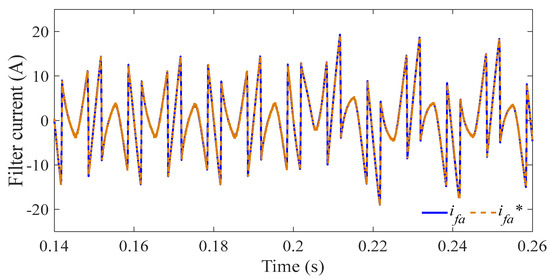
Design and Performance Evaluation of a Flatness-Based Controller for a Three-Phase Three-Level NPC Shunt Active Power Filter
by Oumaima Mikram, Abdelmajid Abouloifa, Ibtissam Lachkar, Chaouqi Aouadi and Juan Wang
Designs 2026, 10(1), 16; https://doi.org/10.3390/designs10010016 - 4 Feb 2026
Viewed by 466
Abstract
The widespread adoption of nonlinear loads in industry has introduced significant power quality issues in electric power distribution grids. The integration of these nonlinear loads has led to the proliferation of serious power quality problems such as the generation of harmonics and reactive [...] Read more.
The widespread adoption of nonlinear loads in industry has introduced significant power quality issues in electric power distribution grids. The integration of these nonlinear loads has led to the proliferation of serious power quality problems such as the generation of harmonics and reactive power that negatively impact the quality and stability of the electrical grid. In addition to eliminating current harmonics, a shunt active power filter (APF) can also provide reactive power compensation. By dynamically adjusting the reactive power injection, these APFs can improve the power factor of the system and maintain the desired voltage regulation. The proposed control leverages the differential flatness property of the SAPF system, allowing for exact linearization and simplified tracking control without requiring complex modulation techniques. In this paper, a flatness-based control scheme is proposed for a three-phase three-level Neutral Point Clamped (NPC) APF. The main objectives of this work are twofold. The first objective is to mitigate current harmonics and compensate the reactive power drawn by nonlinear loads. The second objective focuses on maintaining a stable DC-link capacitor voltage of the active power filter (APF). To meet these requirements, a cascaded control structure is used, where the external loop regulates the DC-link voltage, while the inner loop is responsible for harmonic current compensation. The effectiveness of the proposed control strategy is validated through simulation results obtained using the MATLAB/Simulink R2024a environment. Full article
(This article belongs to the Section Electrical Engineering Design)
Show Figures

Figure 1

24 pages, 2787 KB  
Article
Accuracy Assessment of Exhaust Valve Geometry Reconstruction: A Comparative Study of Contact and Optical Metrology in Reverse Engineering
by Paweł Turek, Jarosław Tymczyszyn, Paweł Habrat and Jacek Misiura
Designs 2026, 10(1), 15; https://doi.org/10.3390/designs10010015 - 4 Feb 2026
Viewed by 479
Abstract
Reverse engineering (RE) is essential in the automotive and aerospace industries for reconstructing high-precision components, such as exhaust valves, when design documentation is unavailable. However, different measurement methods introduce varied errors that can affect engine performance and safety. This study presents a comparative [...] Read more.
Reverse engineering (RE) is essential in the automotive and aerospace industries for reconstructing high-precision components, such as exhaust valves, when design documentation is unavailable. However, different measurement methods introduce varied errors that can affect engine performance and safety. This study presents a comparative analysis of contact and optical measurement systems—specifically the CMM Accura II (ZEISS Group, Oberkochen, Germany), Mahr MarSurf XC 20 (Esslingen am Neckar, Germany), GOM Scan 1 (ZEISS/GOM, Braunschweig/Oberkochen, Germany) and MCA-II with an MMD×100 laser head (Nikon Metrology, Leuven, Belgium)—to assess their accuracy in reconstructing exhaust valve geometry. The research procedure involved measuring global surface deviations and critical functional parameters, including stem diameter, straightness, and seat angle. The results indicate that tactile methods (CMM and Mahr) provide significantly higher accuracy and lower dispersion than optical methods. The Mahr system was the most effective for stem precision, while the CMM was the only system to pass the seat angle tolerance requirement unambiguously. In contrast, the MCA-II laser system failed to meet the required precision–mechanical tolerances. The findings suggest that an optimal industrial strategy should adopt a hybrid methodology: utilizing rapid optical scanning (GOM) for general geometry and high-precision tactile systems (CMM, Mahr) for critical functional features. This approach can reduce total inspection time by 30–40% while ensuring technical safety and preventing catastrophic engine failures. Full article
Show Figures

Figure 1

20 pages, 6226 KB  
Article
Designing Customized EBSD Software: Inverse Pole Figure Mapping of Crystal Orientations Using Finite Element Shape Functions
by Youliang He
Designs 2026, 10(1), 14; https://doi.org/10.3390/designs10010014 - 2 Feb 2026
Viewed by 508
Abstract
Inverse pole figure mapping is a common orientation visualization method used in electron backscatter diffraction (EBSD) software to display crystal orientations. Although this technique has been routinely used in commercial EBSD software, the coloring algorithm employed to map the orientation and construct the [...] Read more.
Inverse pole figure mapping is a common orientation visualization method used in electron backscatter diffraction (EBSD) software to display crystal orientations. Although this technique has been routinely used in commercial EBSD software, the coloring algorithm employed to map the orientation and construct the color key (standard stereographic triangle) has not been reported in the literature. This paper presents a simple algorithm to color the standard stereographic triangles of the 11 Laue groups by mapping the Maxwell color triangle to the curved standard stereographic triangles using nonlinear shape functions commonly employed in finite element methods. Detailed procedures are given to illustrate how the mapping is performed and how it is used to construct inverse pole figure maps from Euler angles. Color coding of the seven different standard stereographic triangles is demonstrated using a computer program written in C++. It is shown that the simple color-coding algorithm presented in this paper can be conveniently utilized to display orientation data in inverse pole figure maps, which is a critical part of designing customized EBSD software. It also provides a method to adjust the color center within the curved triangles to more uniformly distribute the color, which is not available in commercial EBSD software. The algorithm can also be used to design orientation representation software for other applications, e.g., crystal plasticity simulations, where representation of orientation data is also a routine task. Full article
Show Figures

Figure 1

29 pages, 3788 KB  
Review
Abrasive Water Jet Machining (AWJM) of Titanium Alloy—A Review
by Aravinthan Arumugam, Alokesh Pramanik, Amit Rai Dixit and Animesh Kumar Basak
Designs 2026, 10(1), 13; https://doi.org/10.3390/designs10010013 - 31 Jan 2026
Cited by 1 | Viewed by 625
Abstract
Abrasive water jet machining (AWJM) is a non-traditional machining process that is increasingly employed for shaping hard-to-machine materials, particularly titanium (Ti)-based alloys such as Ti-6Al-4V. Owing to its non-thermal nature, AWJM enables effective material removal while minimising metallurgical damage and preserving subsurface integrity. [...] Read more.
Abrasive water jet machining (AWJM) is a non-traditional machining process that is increasingly employed for shaping hard-to-machine materials, particularly titanium (Ti)-based alloys such as Ti-6Al-4V. Owing to its non-thermal nature, AWJM enables effective material removal while minimising metallurgical damage and preserving subsurface integrity. The process performance is governed by several interacting parameters, including jet pressure, abrasive type and flow rate, nozzle traverse speed, stand-off distance, jet incident angle, and nozzle design. These parameters collectively influence key output responses such as the material removal rate (MRR), surface roughness, kerf geometry, and subsurface quality. The existing studies consistently report that the jet pressure and abrasive flow rate are directly proportional to MRR, whereas the nozzle traverse speed and stand-off distance exhibit inverse relationships. Nozzle geometry plays a critical role in jet acceleration and abrasive entrainment through the Venturi effect, thereby affecting the cutting efficiency and surface finish. Optimisation studies based on the design of the experiments identify jet pressure and traverse speed as the most significant parameters controlling the surface quality in the AWJM of titanium alloys. Recent research demonstrates the effectiveness of artificial neural networks (ANNs) for process modelling and optimisation of AWJM of Ti-6Al-4V, achieving high predictive accuracy with limited experimental data. This review highlights research gaps in artificial intelligence-based fatigue behaviour prediction, computational fluid dynamics analysis of nozzle wear mechanisms and jet behaviour, and the development of hybrid AWJM systems for enhanced machining performance. Full article
(This article belongs to the Special Issue Studies in Advanced and Selective Manufacturing Technologies)
Show Figures

Figure 1

42 pages, 3480 KB  
Review
The AI-Driven Hydrogen Community: A Critical Review of Design Strategies for Decentralized Integrated Energy Systems
by Florina-Ambrozia Coteț, Sára Ferenci, Elena Simina Lakatos and Loránd Szabó
Designs 2026, 10(1), 12; https://doi.org/10.3390/designs10010012 - 29 Jan 2026
Viewed by 602
Abstract
Hydrogen-integrated decentralized energy systems (DIESs) promise communities higher renewable penetration, greater resilience, and sector coupling across electricity, heat, and mobility. AI supports forecasting, dispatch optimization, multi-asset coordination, and planning, yet designing AI-driven hydrogen communities is challenging because it spans physical infrastructure, cyber-control, and [...] Read more.
Hydrogen-integrated decentralized energy systems (DIESs) promise communities higher renewable penetration, greater resilience, and sector coupling across electricity, heat, and mobility. AI supports forecasting, dispatch optimization, multi-asset coordination, and planning, yet designing AI-driven hydrogen communities is challenging because it spans physical infrastructure, cyber-control, and governance. This review (2020–2025) synthesizes design strategies for AI-enabled hydrogen DIESs, distilling architectural patterns, electricity–hydrogen co-optimization, uncertainty-aware operation, and digital-twin planning. It summarizes AI benefits (flexibility, efficiency, reduced curtailment) and recurring risks (forecast-optimization cascades, objective mismatch, data drift, safety and constraint breaches, digital-twin credibility gaps, cybersecurity and privacy issues, and weak reproducibility) and proposes a pragmatic roadmap prioritizing safety-aware control, standardized metrics, transparent assumptions, and community-appropriate governance. Full article
Show Figures

Figure 1

20 pages, 1115 KB  
Article
Gradient-Based, Post-Optimality Sensitivity Analysis with Respect to Parameters of State Equations
by Gene Hou and Jonathan DeGroff
Designs 2026, 10(1), 11; https://doi.org/10.3390/designs10010011 - 27 Jan 2026
Viewed by 346
Abstract
Design optimization is a computational tool that can enable a designer to investigate the effectiveness of a design concept in an organized format. However, this design process requires the design variables, constraints, and objective function to be properly defined and expressed in mathematical [...] Read more.
Design optimization is a computational tool that can enable a designer to investigate the effectiveness of a design concept in an organized format. However, this design process requires the design variables, constraints, and objective function to be properly defined and expressed in mathematical forms. Post-optimality analysis thus becomes a necessary step to investigate different variations in the problem formulation and parameters to ensure that optimization produces a stable and trustworthy outcome. One efficient way to achieve this aim is to compute the local derivative of the optimized objective function with respect to the optimization problem parameters, such as bounds on the constraints and the material properties in the state equation. This method is referred to as post-optimality sensitivity analysis. In this study, we derived the post-optimal sensitivity equation to explicitly include the derivatives of state variables with respect to problem parameters and to broaden its applications to minimax and goal attainment design optimization problems. Full article
Show Figures

Figure 1

21 pages, 1825 KB  
Article
Cradle-to-Grave Life Cycle Analysis of Engineered Bamboo for Structural Applications in Australia
by Daniel Milling, Marzieh Kadivar and Aziz Ahmed
Designs 2026, 10(1), 10; https://doi.org/10.3390/designs10010010 - 27 Jan 2026
Viewed by 347
Abstract
As structural engineers face increasing pressure to minimize the embodied carbon of building components, selecting appropriate materials is critical for sustainable design. Thiemission ts study evaluates the life cycle performance of engineered bamboo beams to determine their viability as a low-carbon alternative to [...] Read more.
As structural engineers face increasing pressure to minimize the embodied carbon of building components, selecting appropriate materials is critical for sustainable design. Thiemission ts study evaluates the life cycle performance of engineered bamboo beams to determine their viability as a low-carbon alternative to traditional timber in structural framing applications. Utilizing OpenLCA software and the Ecoinvent database, a cradle-to-grave analysis was conducted to inform material selection for the Australian construction context. A parametric design study compared two specific bamboo species, Moso and Asper, against traditional Laminated Veneer Lumber (LVL) to identify the optimal material for minimizing environmental impact. The assessment revealed that Asper bamboo beams represent a superior design choice; a 30.74 kg strand-woven functional unit (FU) achieved net-negative emissions of −13.30 kg CO2e under 2025 conditions. This offers a significant design advantage over traditional LVL options, which are net-positive emitters, and outperforms Moso bamboo, which yielded higher net emissions (+24.60 kg CO2e) due to lower sequestration rates. Furthermore, dynamic analysis demonstrated the temporal efficiency of this material in the structural life cycle: in the time required for a single Radiata Pine rotation, Asper bamboo completes five growth cycles, storing a net 103.25 kg of CO2e per functional unit. Confirmed by a sensitivity analysis for robustness, these findings provide quantitative design criteria supporting the integration of Asper bamboo into sustainable building standards and structural specifications. Full article
Show Figures

Figure 1

27 pages, 2150 KB  
Article
Conceptual Retrofit of a Hydrogen–Electric VTOL Rotorcraft: The Hawk Demonstrator Simulation
by Jubayer Ahmed Sajid, Seeyama Hossain, Ivan Grgić and Mirko Karakašić
Designs 2026, 10(1), 9; https://doi.org/10.3390/designs10010009 - 24 Jan 2026
Viewed by 1013
Abstract
Decarbonisation of the aviation sector is essential for achieving global-climate targets, with hydrogen propulsion emerging as a viable alternative to battery–electric systems for vertical flight. Unlike previous studies focusing on clean-sheet eVTOL concepts or fixed-wing platforms, this work provides a comprehensive retrofit evaluation [...] Read more.
Decarbonisation of the aviation sector is essential for achieving global-climate targets, with hydrogen propulsion emerging as a viable alternative to battery–electric systems for vertical flight. Unlike previous studies focusing on clean-sheet eVTOL concepts or fixed-wing platforms, this work provides a comprehensive retrofit evaluation of a two-seat light helicopter (Cabri G2/Robinson R22 class) to a hydrogen–electric hybrid powertrain built around a Toyota TFCM2-B PEM fuel cell (85 kW net), a 30 kg lithium-ion buffer battery, and 700 bar Type-IV hydrogen storage totalling 5 kg, aligned with the Vertical Flight Society (VFS) mission profile. The mass breakdown, mission energy equations, and segment-wise hydrogen use for a 100 km sortie are documented using a single main rotor with a radius of R = 3.39 m, with power-by-segment calculations taken from the team’s final proposal. Screening-level simulations are used solely for architectural assessment; no experimental validation is performed. Mission analysis indicates a 100 km operational range with only 3.06 kg of hydrogen consumption (39% fuel reserve). The main contribution is a quantified demonstration of a practical retrofit pathway for light rotorcraft, showing approximately 1.8–2.2 times greater range (100 km vs. 45–55 km battery-only baseline, including respective safety reserves). The Hawk demonstrates a 28% reduction in total propulsion system mass (199 kg including PEMFC stack and balance-of-plant 109 kg, H2 storage 20 kg, battery 30 kg, and motor with gearbox 40 kg) compared to a battery-only configuration (254.5 kg battery pack, plus equivalent 40 kg motor and gearbox), representing approximately 32% system-level mass savings when thermal-management subsystems (15 kg) are included for both configurations. Full article
(This article belongs to the Section Mechanical Engineering Design)
Show Figures

Figure 1

23 pages, 2572 KB  
Review
The Impact of User Interface and Experience (UI/UX) Design on Visual Ergonomics: A Technical Approach for Reducing Human Error in Industrial Settings
by Anael Vizcarra, Gustavo Quiroz and Jose Cornejo
Designs 2026, 10(1), 8; https://doi.org/10.3390/designs10010008 - 21 Jan 2026
Viewed by 1366
Abstract
User Interface (UI) and User Experience (UX) design play a critical role in shaping human interaction with digital systems, particularly in professional environments where accuracy, safety, and efficiency are essential. Poor visual design increases cognitive load and the likelihood of human error, whereas [...] Read more.
User Interface (UI) and User Experience (UX) design play a critical role in shaping human interaction with digital systems, particularly in professional environments where accuracy, safety, and efficiency are essential. Poor visual design increases cognitive load and the likelihood of human error, whereas ergonomically informed interfaces can substantially improve task performance. This systematic literature review analyzes 20 peer-reviewed studies published between 2020 and 2024 to examine how visual ergonomics embedded in UI/UX design contributes to error reduction across industrial and professional contexts. The reviewed studies report measurable improvements when ergonomic principles are applied, including reductions in operational errors ranging from approximately 30% to 70%, improvements in task completion time between 20% and 60%, and increased user accuracy and satisfaction in safety-critical and high-workload environments. The findings indicate that visual hierarchy, modular layouts, adaptive components, and real-time feedback are consistently associated with improved performance outcomes. Moreover, task complexity, user expertise, and working conditions were identified as moderating factors influencing ergonomic demands. Overall, the review demonstrates that visual ergonomics should be treated not merely as a usability enhancement but as a strategic design approach for minimizing human error and supporting reliable human–machine interaction in complex digital environments. Full article
Show Figures

Figure 1

17 pages, 3320 KB  
Article
Structural Feasibility and Compliance Assessment of Container vs. Cold-Formed Steel for a Sustainable 3D Printing Micro-Factory
by Michael Natale Cunzolo and Aziz Ahmed
Designs 2026, 10(1), 7; https://doi.org/10.3390/designs10010007 - 19 Jan 2026
Viewed by 425
Abstract
This paper addresses critical issues related to the structural design of a micro-factory housing a mobile 3D printing system for plastic recycling. Rather than a simple comparison, it quantifies the “modification penalty”, the structural and economic cost of retrofitting a repurposed ISO shipping [...] Read more.
This paper addresses critical issues related to the structural design of a micro-factory housing a mobile 3D printing system for plastic recycling. Rather than a simple comparison, it quantifies the “modification penalty”, the structural and economic cost of retrofitting a repurposed ISO shipping container (ISCC) versus deploying a purpose-built cold-formed steel (CFS) volumetric structure. Finite Element Analysis of a standard 20-foot shipping container revealed a serviceability failure in its roof under standard imposed loads. Concurrently, an initial analysis of an equivalent CFS structure also indicated non-compliance, with significant floor and roof deflections. Both platforms were subsequently redesigned with structural reinforcements to achieve full compliance with Australian Standards. The comparative evaluation moves beyond static analysis to incorporate critical performance metrics. While the CFS structure proved to be 575 kg lighter with a lifespan 300–400% longer, the modified ISCC was 47% cheaper in initial capital outlay ($7161 vs. $13,549). However, when considering the totality of performance factors, specifically the ISCC’s inherent vulnerability to resonance (8–18 Hz), which overlaps with transport frequencies, and the logistical burden of losing CSC certification upon modification, the CFS platform is conclusively identified as the superior engineering solution. Its design flexibility, predictable performance, and amenability to purpose-built optimization make it a more reliable and operationally secure platform for this specialized application. Full article
Show Figures

Figure 1

28 pages, 6082 KB  
Article
Parametric Design of an LCL Filter for Harmonic Suppression in a Three-Phase Grid-Connected Fifteen-Level CHB Inverter
by Madiha Sattar, Usman Masud, Abdul Razzaq Farooqi, Faraz Akram and Zeashan Khan
Designs 2026, 10(1), 6; https://doi.org/10.3390/designs10010006 - 16 Jan 2026
Viewed by 422
Abstract
With the increasing integration of renewable energy sources into the grid, power quality at the point of common coupling (PCC)—particularly harmonic distortion introduced by power electronic converters—has become a critical concern. This paper presents a rigorous design and evaluation of a three-phase, fifteen-level [...] Read more.
With the increasing integration of renewable energy sources into the grid, power quality at the point of common coupling (PCC)—particularly harmonic distortion introduced by power electronic converters—has become a critical concern. This paper presents a rigorous design and evaluation of a three-phase, fifteen-level cascaded H-bridge multilevel inverter (CHB MLI) with an LCL filter, selected for its superior harmonic attenuation, compact size, and cost-effectiveness compared to conventional passive filters. The proposed system employs Phase-Shifted Pulse Width Modulation (PS PWM) for balanced operation and low output distortion. A systematic, reproducible methodology is used to design the LCL filter, which is then tested across a wide range of switching frequencies (1–5 kHz) and grid impedance ratios (X/R = 2–9) in MATLAB/Simulink R2025a. Comprehensive simulations confirm that the filter effectively reduces both voltage and current total harmonic distortion (THD) to levels well below the 5% limit specified by IEEE 519, with optimal performance (0.53% current THD, 0.69% voltage THD) achieved at 3 kHz and X/R ≈ 5.6. The filter demonstrates robust performance regardless of grid conditions, making it a practical and scalable solution for modern renewable energy integration. These results, further supported by parametric validation and clear design guidelines, provide actionable insights for academic research and industrial deployment. Full article
Show Figures

Figure 1

28 pages, 1994 KB  
Article
Modeling of Reverse Curves on a Railway Line Using the Analytical Design Method
by Wladyslaw Koc
Designs 2026, 10(1), 5; https://doi.org/10.3390/designs10010005 - 9 Jan 2026
Viewed by 420
Abstract
This study discusses the issue of designing reverse curves, i.e. a geometric system consisting of two circular arcs (usually with different radii), directed in opposite directions and directly connected to each other. The design is performed in an appropriate local Cartesian coordinate system. [...] Read more.
This study discusses the issue of designing reverse curves, i.e. a geometric system consisting of two circular arcs (usually with different radii), directed in opposite directions and directly connected to each other. The design is performed in an appropriate local Cartesian coordinate system. The origin of this system is located at the point of intersection of adjacent main directions of the route. Unlike other geometric situations, reverse curves have three main directions, which significantly complicate the design process. The initial values of the radii of the reverse arcs must correspond to the existing system of main directions. The introduction of transition curves causes these radii to decrease; their values are determined iteratively. A set of formulas for creating a geometric system of reverse curves is presented. These formulas were used in the calculation example. A graph of the horizontal curvature of the track axis and a method for determining the possible train speed, both without the use of cant on an arc and with the use of cant, are shown. The presented procedure is universal and can be applied to other geometric situations involving the design of reverse curves. It is also necessary to emphasize the practical usefulness of the discussed method not only in the design process, but also to pay attention to the cognitive value of the article. Full article
(This article belongs to the Topic Resilient Civil Infrastructure, 2nd Edition)
Show Figures

Figure 1

36 pages, 10670 KB  
Article
A Reference Architecture for Smart Charging Management Systems for Electric Vehicles
by Mert Ozkaya, Alper Turunc and Yusuf Talha Togrul
Designs 2026, 10(1), 4; https://doi.org/10.3390/designs10010004 - 3 Jan 2026
Viewed by 744
Abstract
Smart charging management systems for electric vehicles (SCMSs) enable the effective management of electric vehicle (EV) charging processes using smart technologies. Numerous SCMS technologies have been available for different stakeholders, e.g., EV drivers, charging station managers, and car manufacturers. Despite the ever-increasing interest [...] Read more.
Smart charging management systems for electric vehicles (SCMSs) enable the effective management of electric vehicle (EV) charging processes using smart technologies. Numerous SCMS technologies have been available for different stakeholders, e.g., EV drivers, charging station managers, and car manufacturers. Despite the ever-increasing interest in SCMSs, the literature lacks in reusable, standardised architecture design that reduces the effort for the development of quality SCMSs. In this paper, we propose a reference architecture (RA) for SCMSs. Our RA design is based on our comprehensive domain analysis that encompasses the analysis of the existing literature and commercial technologies which have been supported by our survey on EV drivers. In our RA, we provide four different viewpoints. The context viewpoint classifies the potential stakeholders and their roles and responsibilities. The module viewpoint defines the software implementation units and their modules that can be used for implementing any SCMSs. The component and connector viewpoint defines the executing parts of any SCMSs and their organisations into layers. The allocation viewpoint defines how the executable components can be mapped into the physical devices. We validated our RA design via prototyping and surveying to measure the RA’s applicability in real-world scenarios and usability for stakeholders. Full article
Show Figures

Figure 1

25 pages, 10505 KB  
Article
Towards Scalable Production of Liquid Crystal Elastomers: A Low-Cost Automated Manufacturing Framework
by Rocco Furferi, Andrea Profili, Monica Carfagni and Lapo Governi
Designs 2026, 10(1), 3; https://doi.org/10.3390/designs10010003 - 30 Dec 2025
Viewed by 520
Abstract
Liquid Crystal Elastomers combine the elasticity of polymer networks with the anisotropic ordering of liquid crystals, thus enabling reversible shape modifications and stimulus responsive actuation. Unfortunately, manual LCE fabrication remains limited by operator-dependent variability, which can lead to inconsistent film thickness and manufacturing [...] Read more.
Liquid Crystal Elastomers combine the elasticity of polymer networks with the anisotropic ordering of liquid crystals, thus enabling reversible shape modifications and stimulus responsive actuation. Unfortunately, manual LCE fabrication remains limited by operator-dependent variability, which can lead to inconsistent film thickness and manufacturing times inadequate for a mass production. This work presents a low-cost, automated manufacturing framework that redesigns the mechanical assembly steps of the traditional one-step LCE fabrication process. The design includes rubbing, slide alignment, spacer placement, and infiltration cell assembly to ensure consistent film quality and scalability. A customized Cartesian robot, built by adapting a modified X–Y core 3D printer, integrates specially designed manipulator systems, redesigned magnetic slide holders, automated rubbing tools, and supporting fixtures to assemble infiltration devices in an automated way. Validation tests demonstrate reproducible infiltration, improved mesogen alignment confirmed via polarized optical microscopy, and high geometric repeatability, although glass-slide thickness variability remains a significant contributor to deviations in final film thickness. By enabling parallelizable low-cost production, the designed hardware demonstrates its effectiveness in devising the scalable manufacturing of LCE films suited for advanced therapeutic and engineering applications. Full article
(This article belongs to the Section Smart Manufacturing System Design)
Show Figures

Figure 1

18 pages, 5486 KB  
Article
Sensorless Control of SPM Motor for e-Bike Applications Using Second-Order Integrator Flux Observer
by Abdin Abdin and Nicola Bianchi
Designs 2026, 10(1), 2; https://doi.org/10.3390/designs10010002 - 22 Dec 2025
Viewed by 429
Abstract
The aim of this research is to present both a sensorless control and a torque derating algorithm in the overload region of a permanent magnet motor for e-bikes. First, the theoretical backgrounds and the field-oriented control are presented. Then, a sensorless control is [...] Read more.
The aim of this research is to present both a sensorless control and a torque derating algorithm in the overload region of a permanent magnet motor for e-bikes. First, the theoretical backgrounds and the field-oriented control are presented. Then, a sensorless control is designed based on the back-emf estimation with a second-order generalized integral flux observer for the permanent magnet motor. The second-order generalized integral flux observer is an adaptive filter which can eliminate the DC offset and strongly attenuate the harmonics of the estimated rotor flux. The algorithms have been simulated and then validated by means of tests on a permanent magnet motor for e-bikes. Full article
Show Figures

Figure 1

14 pages, 3358 KB  
Article
3D-Printed Ankle Foot Orthosis (AFO) with Optimized Material and Design for Children with Cerebral Palsy
by Putra Aji Pangestu, Christian Harito, Elioenai Sitepu, Safarudin Gazali Herawan, Syauqi Abdurrahman Abrori and Cokisela Christian Lumban Tobing
Designs 2026, 10(1), 1; https://doi.org/10.3390/designs10010001 - 22 Dec 2025
Viewed by 1090
Abstract
Cerebral palsy (CP) often causes mobility limitations that require assistive devices such as Ankle Foot Orthoses (AFOs) to enhance functional stability. This study aims to develop an optimized 3D-printed AFO design that improves comfort, structural durability, and production efficiency for children with CP. [...] Read more.
Cerebral palsy (CP) often causes mobility limitations that require assistive devices such as Ankle Foot Orthoses (AFOs) to enhance functional stability. This study aims to develop an optimized 3D-printed AFO design that improves comfort, structural durability, and production efficiency for children with CP. The research applies a Design of Experiment approach using the Taguchi method to optimize 3D printing parameters, supported by tensile testing to identify the best material configuration. Design alternatives were prioritized using the Analytical Hierarchy Process, while Finite Element Analysis was conducted to evaluate mechanical performance under physiological loading. The selected PETG configuration (33% infill density and 0.15 mm layer thickness) demonstrated improved tensile strength and flexibility, contributing to enhanced structural behavior. A prototype was produced and validated using the Quebec User Evaluation of Satisfaction with Assistive Technology (QUEST) questionnaire. Results showed higher overall user satisfaction for the optimized 3D-printed AFO compared to conventional devices, particularly in safety, comfort, and durability. The integration of optimized material parameters, systematic design evaluation, and user-centered assessment provides an effective pathway toward improving AFO performance and supporting the mobility and quality of life of children with cerebral palsy. Full article
Show Figures

Figure 1

Previous Issue
Next Issue
Back to TopTop