Next Issue
Volume 13, October-1
Previous Issue
Volume 13, September-1
 
 
mathematics-logo

Journal Browser

Journal Browser

Mathematics, Volume 13, Issue 18 (September-2 2025) – 150 articles

Cover Story (view full-size image): Given a discrete spatial structure X, we define continuous-time branching processes {ηt}t≥0 that model a population breeding and dying on X. These processes are usually called branching random walks, and {ηt}(x) denotes the number of individuals alive at site x at time t. They are characterised by breeding rates kxy (governing the rate at which individuals at x send offspring to y) and by a multiplicative speed parameter λ. These processes also serve as models for epidemic spreading, where λkxy represents the infection rate from x to y. In this context, {ηt}(x) represents the number of infected individuals at x at time t, and the removal of an individual is due to either death or recovery. Two critical parameters of interest are the global critical parameter λw, related to global survival, and the local critical parameter λs, related to survival within finite sets (with λwλs). View this paper
  • Issues are regarded as officially published after their release is announced to the table of contents alert mailing list.
  • You may sign up for e-mail alerts to receive table of contents of newly released issues.
  • PDF is the official format for papers published in both, html and pdf forms. To view the papers in pdf format, click on the "PDF Full-text" link, and use the free Adobe Reader to open them.
Order results
Result details
Section
Select all
Export citation of selected articles as:
12 pages, 269 KB  
Article
On a p(x)-Biharmonic Kirchhoff Problem with Logarithmic Nonlinearity
by Dongyun Pan and Changmu Chu
Mathematics 2025, 13(18), 3054; https://doi.org/10.3390/math13183054 - 22 Sep 2025
Viewed by 611
Abstract
This paper is devoted to the study of a class of the p(x)-biharmonic Kirchhoff problem with logarithmic nonlinearity. With the help of the mountain pass theorem, the existence of a nontrivial weak solution to this problem is obtained. Full article
(This article belongs to the Special Issue Nonlinear Functional Analysis: Theory, Methods, and Applications)
22 pages, 319 KB  
Article
An Analysis of the Impact of Service Consistency on the Vehicle Routing Problem with Time Windows
by Guillermo Bianchi and Hernán Lespay
Mathematics 2025, 13(18), 3053; https://doi.org/10.3390/math13183053 - 22 Sep 2025
Viewed by 773
Abstract
This paper proposes a mixed-integer linear programming (MILP) model for the consistent vehicle routing problem with time windows (ConVRPTW), motivated by the need to enhance customer satisfaction in the last-mile logistics industry. The problem involves designing a set of consistent routes for a [...] Read more.
This paper proposes a mixed-integer linear programming (MILP) model for the consistent vehicle routing problem with time windows (ConVRPTW), motivated by the need to enhance customer satisfaction in the last-mile logistics industry. The problem involves designing a set of consistent routes for a group of customers whose demand fluctuates from one period to another within a specified planning horizon. The objective is to minimize the cost associated with the number of vehicles used and the total travel time while satisfying service consistency constraints. A tabu search (TS) metaheuristic is implemented to solve the proposed model, and its performance is compared with the optimal solutions. Instances of 10 and 20 customers are designed based on the well-known Solomon instances for VRPTW. Finally, the solutions obtained from the ConVRPTW model are compared with those of a traditional VRPTW model using some key performance indicators (KPIs) to measure the contribution of service consistency to route design. Full article
36 pages, 6309 KB  
Article
Utilization of Upper Confidence Bound Algorithms for Effective Subproblem Selection in Cooperative Coevolution Frameworks
by Kyung-Soo Kim
Mathematics 2025, 13(18), 3052; https://doi.org/10.3390/math13183052 - 22 Sep 2025
Viewed by 590
Abstract
In cooperative coevolution (CC) frameworks, it is essential to identify the subproblems that can significantly contribute to finding the optimal solutions of the objective function. In traditional CC frameworks, subproblems are selected either sequentially or based on the degree of improvement in the [...] Read more.
In cooperative coevolution (CC) frameworks, it is essential to identify the subproblems that can significantly contribute to finding the optimal solutions of the objective function. In traditional CC frameworks, subproblems are selected either sequentially or based on the degree of improvement in the fitness of the optimal solution. However, these classical methods have limitations in balancing between exploration and exploitation when selecting the subproblems. To overcome these weaknesses, we propose upper confidence bound (UCB)-based new subproblem selection methods for the CC frameworks. Our proposed methods utilize UCB algorithms to strike a balance between exploration and exploitation in subproblem selection, while also incorporating a non-stationary mechanism to account for the convergence of evolutionary algorithms. These strategies possess novel characteristics that distinguish our methods from existing approaches. In comprehensive experiments, the CC frameworks using our proposed subproblem selectors achieved remarkable optimization results when solving most benchmark functions comprised of 1000 interdependent variables. Thus, we found that our UCB-based subproblem selectors can significantly contribute to searching for optimal solutions in CC frameworks by elaborately balancing exploration and exploitation when selecting subproblems. Full article
(This article belongs to the Section E1: Mathematics and Computer Science)
Show Figures

Figure 1

30 pages, 12687 KB  
Article
Q-MobiGraphNet: Quantum-Inspired Multimodal IoT and UAV Data Fusion for Coastal Vulnerability and Solar Farm Resilience
by Mohammad Aldossary
Mathematics 2025, 13(18), 3051; https://doi.org/10.3390/math13183051 - 22 Sep 2025
Cited by 2 | Viewed by 971
Abstract
Coastal regions are among the areas most affected by climate change, facing rising sea levels, frequent flooding, and accelerated erosion that place renewable energy infrastructures under serious threat. Solar farms, which are often built along shorelines to maximize sunlight, are particularly vulnerable to [...] Read more.
Coastal regions are among the areas most affected by climate change, facing rising sea levels, frequent flooding, and accelerated erosion that place renewable energy infrastructures under serious threat. Solar farms, which are often built along shorelines to maximize sunlight, are particularly vulnerable to salt-induced corrosion, storm surges, and wind damage. These challenges call for monitoring solutions that are not only accurate but also scalable and privacy-preserving. To address this need, Q-MobiGraphNet, a quantum-inspired multimodal classification framework, is proposed for federated coastal vulnerability analysis and solar infrastructure assessment. The framework integrates IoT sensor telemetry, UAV imagery, and geospatial metadata through a Multimodal Feature Harmonization Suite (MFHS), which reduces heterogeneity and ensures consistency across diverse data sources. A quantum sinusoidal encoding layer enriches feature representations, while lightweight MobileNet-based convolution and graph convolutional reasoning capture both local patterns and structural dependencies. For interpretability, the Q-SHAPE module extends Shapley value analysis with quantum-weighted sampling, and a Hybrid Jellyfish–Sailfish Optimization (HJFSO) strategy enables efficient hyperparameter tuning in federated environments. Extensive experiments on datasets from Norwegian coastal solar farms show that Q-MobiGraphNet achieves 98.6% accuracy, and 97.2% F1-score, and 90.8% Prediction Agreement Consistency (PAC), outperforming state-of-the-art multimodal fusion models. With only 16.2 M parameters and an inference time of 46 ms, the framework is lightweight enough for real-time deployment. By combining accuracy, interpretability, and fairness across distributed clients, Q-MobiGraphNet offers actionable insights to enhance the resilience of coastal renewable energy systems. Full article
Show Figures

Figure 1

25 pages, 989 KB  
Article
A Deep Reinforcement Learning Model to Solve the Stochastic Capacitated Vehicle Routing Problem with Service Times and Deadlines
by Sergio Flavio Marroquín-Cano, Elías Neftalí Escobar-Gómez, Eduardo F. Morales, Elizeth Ramírez-Álvarez, Pedro Gasga-García, Eduardo Chandomí-Castellanos, J. Renán Velázquez-González, Julio Alberto Guzmán-Rabasa, José Roberto Bermúdez and Francisco Rodríguez-Sánchez
Mathematics 2025, 13(18), 3050; https://doi.org/10.3390/math13183050 - 22 Sep 2025
Viewed by 2159
Abstract
Vehicle Routing Problems are central to logistics and operational research, arising in diverse contexts such as transportation planning, manufacturing systems, and military operations. While Deep Reinforcement Learning has been successfully applied to both deterministic and stochastic variants of Vehicle Routing Problems, existing approaches [...] Read more.
Vehicle Routing Problems are central to logistics and operational research, arising in diverse contexts such as transportation planning, manufacturing systems, and military operations. While Deep Reinforcement Learning has been successfully applied to both deterministic and stochastic variants of Vehicle Routing Problems, existing approaches often neglect critical time-sensitive conditions. This work addresses the Stochastic Capacitated Vehicle Routing Problem with Service Times and Deadlines, a challenging formulation that is suited to model time routing conditions. The proposal, POMO-DC, integrates a novel dynamic context mechanism. At each decision step, this mechanism incorporates the vehicle’s cumulative travel time and delays—features absent in prior models—enabling the policy to adapt to changing conditions and avoid time violations. The model is evaluated on stochastic instances with 20, 30, and 50 customers and benchmarked against Google OR-Tools using multiple metaheuristics. Results show that POMO-DC reduces average delays by up to 88% (from 169.63 to 20.35 min for instances of 30 customers) and 75% (from 4352.43 to 1098.97 min for instances of 50 customers), while maintaining competitive travel times. These outcomes highlight the potential of Deep Reinforcement Learning-based frameworks to learn patterns from stochastic data and effectively manage time uncertainty in Vehicle Routing Problems. Full article
(This article belongs to the Special Issue Stochastic System Analysis and Control)
Show Figures

Figure 1

31 pages, 668 KB  
Article
A Novel Moving Average–Exponentiated Exponentially Weighted Moving Average (MA-Exp-EWMA) Control Chart for Detecting Small Shifts
by Jun-Hao Lu and Chang-Yun Lin
Mathematics 2025, 13(18), 3049; https://doi.org/10.3390/math13183049 - 22 Sep 2025
Viewed by 2798
Abstract
Process monitoring plays a vital role in ensuring quality stability, and, operational efficiency across fields such as manufacturing, finance, biomedical science, and environmental monitoring. Among statistical tools, control charts are widely adopted for detecting variability and abnormal patterns. Since the introduction of the [...] Read more.
Process monitoring plays a vital role in ensuring quality stability, and, operational efficiency across fields such as manufacturing, finance, biomedical science, and environmental monitoring. Among statistical tools, control charts are widely adopted for detecting variability and abnormal patterns. Since the introduction of the basic X-bar control chart by Shewhart in the 1920s, various improved methods have emerged to address the challenge of identifying small and latent process shifts, including CUSUM, MA, EWMA, and Exp-EWMA control charts. This study introduces a novel control chart—the Moving Average–Exponentiated Exponentially Weighted Moving Average (MA-Exp-EWMA) control chart—combining the smoothing effect of MA and the adaptive weighting of Exp-EWMA. Its goal is to improve the detection of small shifts and gradual changes. Performance is evaluated using average run length (ARL), standard deviation of run length (SDRL), and median run length (MRL). Monte Carlo simulations under different distributions (normal, exponential, gamma, and Student’s t) and parameter settings assess the control chart’s sensitivity under various shift scenarios. Comparisons with existing control charts and an application to real data demonstrate the practical effectiveness of the proposed method in detecting small shifts. Full article
(This article belongs to the Special Issue Mathematical Modelling and Statistical Methods of Quality Engineering)
Show Figures

Figure 1

20 pages, 623 KB  
Article
The Influence of Core-Periphery Structure on Information Diffusion over Social Networks
by Guiyuan Fu and Hejun Liang
Mathematics 2025, 13(18), 3048; https://doi.org/10.3390/math13183048 - 22 Sep 2025
Viewed by 1300
Abstract
While core-periphery (CP) structures are a fundamental property of many social networks, their influence on information diffusion remains insufficiently understood, especially for complex contagions that require social reinforcement. To address this research gap, this paper investigates the role of core-periphery (CP) structure on [...] Read more.
While core-periphery (CP) structures are a fundamental property of many social networks, their influence on information diffusion remains insufficiently understood, especially for complex contagions that require social reinforcement. To address this research gap, this paper investigates the role of core-periphery (CP) structure on information diffusion using the Maki-Thompson model. Both simple contagion and complex contagion scenarios are analyzed through extensive numerical simulations and theoretical analysis. Our results reveal several key insights. First, a stronger CP structure facilitates broader information dissemination compared to a weaker core-periphery structure. Second, strong CP networks are particularly vulnerable to targeted interventions; immunizing core nodes is highly effective at impeding diffusion, especially for simple and small-k complex contagions. Third, counterintuitively, CP structure significantly hinders the spread of complex contagions, requiring a higher critical threshold for a global outbreak compared to equivalent random networks. These findings can provide valuable insights into the nuanced role of network topology in shaping information propagation, highlighting that CP structure can both facilitate and hinder diffusion depending on contagion type. Full article
Show Figures

Figure 1

15 pages, 346 KB  
Article
Covariate Selection for RNA-Seq Differential Expression Analysis with Hidden Factor Adjustment
by Farzana Noorzahan, Hyeongseon Jeon and Yet Nguyen
Mathematics 2025, 13(18), 3047; https://doi.org/10.3390/math13183047 - 22 Sep 2025
Viewed by 1295
Abstract
In RNA-seq data analysis, a primary objective is the identification of differentially expressed genes, which are genes that exhibit varying expression levels across different conditions of interest. It is widely known that hidden factors, such as batch effects, can substantially influence the differential [...] Read more.
In RNA-seq data analysis, a primary objective is the identification of differentially expressed genes, which are genes that exhibit varying expression levels across different conditions of interest. It is widely known that hidden factors, such as batch effects, can substantially influence the differential expression analysis. Furthermore, apart from the primary factor of interest and unforeseen artifacts, an RNA-seq experiment typically contains multiple measured covariates, some of which may significantly affect gene expression levels, while others may not. Existing methods either address the covariate selection or the unknown artifacts separately. In this study, we investigate two integrated strategies, FSR_sva and SVAall_FSR, for jointly addressing covariate selection and hidden factors through simulations based on a real RNA-seq dataset. Our results show that when no available relevant covariates are strongly associated with the main factor of interest, FSR_sva performs comparably to existing methods. However, when some available relevant covariates are strongly correlated with the primary factor of interest–SVAall_FSR achieves the best performance among the compared methods. Full article
(This article belongs to the Special Issue Statistics and Data Science)
Show Figures

Figure 1

28 pages, 20825 KB  
Article
Towards Robust Chain-of-Thought Prompting with Self-Consistency for Remote Sensing VQA: An Empirical Study Across Large Multimodal Models
by Fatema Tuj Johora Faria, Laith H. Baniata, Ahyoung Choi and Sangwoo Kang
Mathematics 2025, 13(18), 3046; https://doi.org/10.3390/math13183046 - 22 Sep 2025
Cited by 1 | Viewed by 2807
Abstract
Remote sensing visual question answering (RSVQA) involves interpreting complex geospatial information captured by satellite imagery to answer natural language questions, making it a vital tool for observing and analyzing Earth’s surface without direct contact. Although numerous studies have addressed RSVQA, most have focused [...] Read more.
Remote sensing visual question answering (RSVQA) involves interpreting complex geospatial information captured by satellite imagery to answer natural language questions, making it a vital tool for observing and analyzing Earth’s surface without direct contact. Although numerous studies have addressed RSVQA, most have focused primarily on answer accuracy, often overlooking the underlying reasoning capabilities required to interpret spatial and contextual cues in satellite imagery. To address this gap, this study presents a comprehensive evaluation of four large multimodal models (LMMs) as follows: GPT-4o, Grok 3, Gemini 2.5 Pro, and Claude 3.7 Sonnet. We used a curated subset of the EarthVQA dataset consisting of 100 rural images with 29 question–answer pairs each and 100 urban images with 42 pairs each. We developed the following three task-specific frameworks: (1) Zero-GeoVision, which employs zero-shot prompting with problem-specific prompts that elicit direct answers from the pretrained knowledge base without fine-tuning; (2) CoT-GeoReason, which enhances the knowledge base with chain-of-thought prompting, guiding it through explicit steps of feature detection, spatial analysis, and answer synthesis; and (3) Self-GeoSense, which extends this approach by stochastically decoding five independent reasoning chains for each remote sensing question. Rather than merging these chains, it counts the final answers, selects the majority choice, and returns a single complete reasoning chain whose conclusion aligns with that majority. Additionally, we designed the Geo-Judge framework to employ a two-stage evaluation process. In Stage 1, a GPT-4o-mini-based LMM judge assesses reasoning coherence and answer correctness using the input image, task type, reasoning steps, generated model answer, and ground truth. In Stage 2, blinded human experts independently review the LMM’s reasoning and answer, providing unbiased validation through careful reassessment. Focusing on Self-GeoSense with Grok 3, this framework achieves superior performance with 94.69% accuracy in Basic Judging, 93.18% in Basic Counting, 89.42% in Reasoning-Based Judging, 83.29% in Reasoning-Based Counting, 77.64% in Object Situation Analysis, and 65.29% in Comprehensive Analysis, alongside RMSE values of 0.9102 in Basic Counting and 1.0551 in Reasoning-Based Counting. Full article
(This article belongs to the Special Issue Big Data Mining and Knowledge Graph with Application)
Show Figures

Figure 1

15 pages, 678 KB  
Article
Comparing PINN and Symbolic Transform Methods in Modeling the Nonlinear Dynamics of Complex Systems: A Case Study of the Troesch Problem
by Rafał Brociek, Mariusz Pleszczyński, Jakub Błaszczyk, Maciej Czaicki, Christian Napoli and Giacomo Capizzi
Mathematics 2025, 13(18), 3045; https://doi.org/10.3390/math13183045 - 22 Sep 2025
Cited by 1 | Viewed by 896
Abstract
Nonlinear complex systems exhibit emergent behavior, sensitivity to initial conditions, and rich dynamics arising from interactions among their components. A classical example of such a system is the Troesch problem—a nonlinear boundary value problem with wide applications in physics and engineering. In this [...] Read more.
Nonlinear complex systems exhibit emergent behavior, sensitivity to initial conditions, and rich dynamics arising from interactions among their components. A classical example of such a system is the Troesch problem—a nonlinear boundary value problem with wide applications in physics and engineering. In this work, we investigate and compare two distinct approaches to solving this problem: the Differential Transform Method (DTM), representing an analytical–symbolic technique, and Physics-Informed Neural Networks (PINNs), a neural computation framework inspired by physical system dynamics. The DTM yields a continuous form of the approximate solution, enabling detailed analysis of the system’s dynamics and error control, whereas PINNs, once trained, offer flexible estimation at any point in the domain, embedding the physical model into an adaptive learning process. We evaluate both methods in terms of accuracy, stability, and computational efficiency, with particular focus on their ability to capture key features of nonlinear complex systems. The results demonstrate the potential of combining symbolic and neural approaches in studying emergent dynamics in nonlinear systems. Full article
(This article belongs to the Special Issue Nonlinear Dynamics, 2nd Edition)
Show Figures

Figure 1

26 pages, 13551 KB  
Article
Hybrid Cloud–Edge Architecture for Real-Time Cryptocurrency Market Forecasting: A Distributed Machine Learning Approach with Blockchain Integration
by Mohammed M. Alenazi and Fawwad Hassan Jaskani
Mathematics 2025, 13(18), 3044; https://doi.org/10.3390/math13183044 - 22 Sep 2025
Viewed by 1880
Abstract
The volatile nature of cryptocurrency markets demands real-time analytical capabilities that traditional centralized computing architectures struggle to provide. This paper presents a novel hybrid cloud–edge computing framework for cryptocurrency market forecasting, leveraging distributed systems to enable low-latency prediction models. Our approach integrates machine [...] Read more.
The volatile nature of cryptocurrency markets demands real-time analytical capabilities that traditional centralized computing architectures struggle to provide. This paper presents a novel hybrid cloud–edge computing framework for cryptocurrency market forecasting, leveraging distributed systems to enable low-latency prediction models. Our approach integrates machine learning algorithms across a distributed network: edge nodes perform real-time data preprocessing and feature extraction, while the cloud infrastructure handles deep learning model training and global pattern recognition. The proposed architecture uses a three-tier system comprising edge nodes for immediate data capture, fog layers for intermediate processing and local inference, and cloud servers for comprehensive model training on historical blockchain data. A federated learning mechanism allows edge nodes to contribute to a global prediction model while preserving data locality and reducing network latency. The experimental results show a 40% reduction in prediction latency compared to cloud-only solutions while maintaining comparable accuracy in forecasting Bitcoin and Ethereum price movements. The system processes over 10,000 transactions per second and delivers real-time insights with sub-second response times. Integration with blockchain ensures data integrity and provides transparent audit trails for all predictions. Full article
(This article belongs to the Special Issue Recent Computational Techniques to Forecast Cryptocurrency Markets)
Show Figures

Figure 1

16 pages, 984 KB  
Article
The Effects of Shear Stress Memory and Variable Viscosity on Viscous Fluids Flowing Between Two Horizontal Parallel Plates
by Dumitru Vieru, Constantin Fetecau and Zulkhibri Ismail
Mathematics 2025, 13(18), 3043; https://doi.org/10.3390/math13183043 - 21 Sep 2025
Viewed by 558
Abstract
This article investigates a mathematical model with the Caputo derivative for the transient unidirectional flow of an incompressible viscous fluid with pressure-dependent viscosity. The fluid flows in the spatial domain bounded by two parallel plates extended to infinity. The plates translate in their [...] Read more.
This article investigates a mathematical model with the Caputo derivative for the transient unidirectional flow of an incompressible viscous fluid with pressure-dependent viscosity. The fluid flows in the spatial domain bounded by two parallel plates extended to infinity. The plates translate in their planes with time-dependent velocities, and the fluid adheres to the solid boundaries. The generalization of the model consists of formulating a fractional constitutive equation to introduce the memory effect into the mathematical model. In addition, the fluid’s viscosity is assumed to be pressure-dependent. More precisely, in this article, the viscosity is considered a power function of the vertical coordinate of the channel. Analytic solutions of the dimensionless initial and boundary value problems have been determined using the Laplace transform and Bessel equations. The inversion of Laplace transforms is conducted using both the methods of complex analysis and the Stehfest numerical algorithm. In addition, we discuss the explicit solution in some meaningful particular cases. Using numerical simulations and graphical representations, the results of the ordinary model (α=1) are compared with those of the fractional model (0<α<1), highlighting the influence of the memory parameter on fluid behavior. Full article
Show Figures

Figure 1

22 pages, 329 KB  
Article
Analysis of the Quasi-Concircular Curvature Tensor on Sequential Warped Product Manifolds
by Rajesh Kumar, Sameh Shenawy, Johnson Lalrohlua, Hanan Alohali and Carlo Mantica
Mathematics 2025, 13(18), 3042; https://doi.org/10.3390/math13183042 - 21 Sep 2025
Viewed by 716
Abstract
This paper investigates the quasi-concircular curvature tensor on sequential warped product manifolds, which extend the classical singly warped product structure. We examine various curvature conditions associated with this tensor, including quasi-concircular flatness, quasi-concircular symmetry, and the divergence-free quasi-concircular condition, and we explore the [...] Read more.
This paper investigates the quasi-concircular curvature tensor on sequential warped product manifolds, which extend the classical singly warped product structure. We examine various curvature conditions associated with this tensor, including quasi-concircular flatness, quasi-concircular symmetry, and the divergence-free quasi-concircular condition, and we explore the properties of related soliton structures. In addition, we analyze the implications of these results in Lorentzian geometry by deriving explicit expressions for the Ricci tensor and scalar curvature of the considered manifolds. The study concludes with an illustrative example that emphasizes the geometric significance and potential applications of the investigated structures. Full article
(This article belongs to the Section E4: Mathematical Physics)
32 pages, 1288 KB  
Article
Random Forest Adaptation for High-Dimensional Count Regression
by Oyebayo Ridwan Olaniran, Saidat Fehintola Olaniran, Ali Rashash R. Alzahrani, Nada MohammedSaeed Alharbi and Asma Ahmad Alzahrani
Mathematics 2025, 13(18), 3041; https://doi.org/10.3390/math13183041 - 21 Sep 2025
Cited by 2 | Viewed by 1375
Abstract
The analysis of high-dimensional count data presents a unique set of challenges, including overdispersion, zero-inflation, and complex nonlinear relationships that traditional generalized linear models and standard machine learning approaches often fail to adequately address. This study introduces and validates a novel Random Forest [...] Read more.
The analysis of high-dimensional count data presents a unique set of challenges, including overdispersion, zero-inflation, and complex nonlinear relationships that traditional generalized linear models and standard machine learning approaches often fail to adequately address. This study introduces and validates a novel Random Forest framework specifically developed for high-dimensional Poisson and Negative Binomial regression, designed to overcome the limitations of existing methods. Through comprehensive simulations and a real-world genomic application to the Norwegian Mother and Child Cohort Study, we demonstrate that the proposed methods achieve superior predictive accuracy, quantified by lower root mean squared error and deviance, and critically produced exceptionally stable and interpretable feature selections. Our theoretical and empirical results show that these distribution-optimized ensembles significantly outperform both penalized-likelihood techniques and naive-transformation-based ensembles in balancing statistical robustness with biological interpretability. The study concludes that the proposed frameworks provide a crucial methodological advancement, offering a powerful and reliable tool for extracting meaningful insights from complex count data in fields ranging from genomics to public health. Full article
(This article belongs to the Special Issue Statistics for High-Dimensional Data)
Show Figures

Figure 1

31 pages, 4670 KB  
Article
Survival Analysis as Imprecise Classification with Trainable Kernels
by Andrei Konstantinov, Lev Utkin, Vlada Efremenko, Vladimir Muliukha, Alexey Lukashin and Natalya Verbova
Mathematics 2025, 13(18), 3040; https://doi.org/10.3390/math13183040 - 21 Sep 2025
Viewed by 1014
Abstract
Survival analysis is a fundamental tool for modeling time-to-event data in healthcare, engineering, and finance, where censored observations pose significant challenges. While traditional methods like the Beran estimator offer nonparametric solutions, they often struggle with the complex data structures and heavy censoring. This [...] Read more.
Survival analysis is a fundamental tool for modeling time-to-event data in healthcare, engineering, and finance, where censored observations pose significant challenges. While traditional methods like the Beran estimator offer nonparametric solutions, they often struggle with the complex data structures and heavy censoring. This paper introduces three novel survival models, iSurvM (imprecise Survival model based on Mean likelihood functions), iSurvQ (imprecise Survival model based on Quantiles of likelihood functions), and iSurvJ (imprecise Survival model based on Joint learning), that combine imprecise probability theory with attention mechanisms to handle censored data without parametric assumptions. The first idea behind the models is to represent censored observations by interval-valued probability distributions for each instance over time intervals between event moments. The second idea is to employ the kernel-based Nadaraya–Watson regression with trainable attention weights for computing the imprecise probability distribution over time intervals for the entire dataset. The third idea is to consider three decision strategies for training, which correspond to the proposed three models. Experiments on synthetic and real datasets demonstrate that the proposed models, especially iSurvJ, consistently outperform the Beran estimator from accuracy and computational complexity points of view. Codes implementing the proposed models are publicly available. Full article
Show Figures

Figure 1

17 pages, 321 KB  
Article
Approximation Properties of a Fractional Integral-Type Szász–Kantorovich–Stancu–Schurer Operator via Charlier Polynomials
by Nadeem Rao, Mohammad Farid and Nand Kishor Jha
Mathematics 2025, 13(18), 3039; https://doi.org/10.3390/math13183039 - 20 Sep 2025
Cited by 6 | Viewed by 672
Abstract
The goal of this manuscript is to introduce a new Stancu generalization of the modified Szász–Kantorovich operator connecting Riemann–Liouville fractional operators via Charlier polynomials. Further, some estimates are calculated as test functions and central moments. In the next section, we investigate some convergence [...] Read more.
The goal of this manuscript is to introduce a new Stancu generalization of the modified Szász–Kantorovich operator connecting Riemann–Liouville fractional operators via Charlier polynomials. Further, some estimates are calculated as test functions and central moments. In the next section, we investigate some convergence analysis along with the rate of approximations. Moreover, we discuss the order of approximation of a higher-order modulus of smoothness with the help of some moments and establish some convergence results concerning Peetre’s K-functional, Lipschitz-type functions for a newly developed operator SKn+p,av1,v2. We estimate some results related to Korovkin-, Voronovskaya-, and Grüss–Voronovskaya-type theorems. Full article
(This article belongs to the Special Issue Advances in Functional Analysis and Approximation Theory)
Show Figures

Figure 1

26 pages, 688 KB  
Article
An Improved Frank–Wolfe Algorithm to Solve the Tactical Investment Portfolio Optimization Problem
by Deva Putra Setyawan, Diah Chaerani and Sukono Sukono
Mathematics 2025, 13(18), 3038; https://doi.org/10.3390/math13183038 - 20 Sep 2025
Viewed by 1513
Abstract
Quadratic programming (QP) formulations are widely used in optimal investment portfolio selection, a central problem in financial decision-making. In practice, asset allocation decisions operate at two interconnected levels: the strategic level, which allocates the budget across major asset classes, and the tactical level, [...] Read more.
Quadratic programming (QP) formulations are widely used in optimal investment portfolio selection, a central problem in financial decision-making. In practice, asset allocation decisions operate at two interconnected levels: the strategic level, which allocates the budget across major asset classes, and the tactical level, which distributes the allocation within each class to individual securities or instruments. This study evaluates the Frank–Wolfe (FW) algorithm as a computationally alternative to a QP formulation implemented in CVXPY and solved using OSQP (CVXPY–OSQP solver) for tactical investment portfolio optimization. By iteratively solving a linear approximation of the convex objective function, FW offers a distinct approach to portfolio construction. A comparative analysis was conducted using a tactical portfolio model with a small number of stock assets, assessing solution similarity, computational running time, and memory usage. The results demonstrate a clear trade-off between the two methods. While FW can produce portfolio weights closely matching those of the CVXPY–OSQP solver at lower and feasible target returns, its solutions differ at higher returns near the limits of the feasible set. However, FW consistently achieved shorter execution times and lower memory consumption. This study quantifies the trade-offs between accuracy and efficiency and identifies opportunities to improve FW’s accuracy through adaptive iteration strategies under more challenging optimization conditions. Full article
(This article belongs to the Section D2: Operations Research and Fuzzy Decision Making)
Show Figures

Figure 1

14 pages, 288 KB  
Article
Simultaneously Computing a Maximal Independent Set Modulo an Ideal and a Gröbner Basis of the Ideal
by Ping Liu, Baoxin Shang and Shugong Zhang
Mathematics 2025, 13(18), 3037; https://doi.org/10.3390/math13183037 - 20 Sep 2025
Viewed by 425
Abstract
To solve problems on a positive-dimensional ideal, Ik[X], a maximal independent set UX modulo I, and a Gröbner basis of Ie, where Ie is the extension of I to [...] Read more.
To solve problems on a positive-dimensional ideal, Ik[X], a maximal independent set UX modulo I, and a Gröbner basis of Ie, where Ie is the extension of I to k(U)[V](V:=XU), are widely used. As far as we know, they are usually computed separately, i.e., U is calculated first and the Gröbner basis is computed after U is obtained. In this paper, we present an efficient algorithm for computing a maximal independent set U modulo I, and a Gröbner basis of Ie simultaneously. Differently from computing them separately, the algorithm takes full advantage of the polynomial information throughout the Gröbner basis computation to obtain U as soon as possible; hence, it significantly improves the computing efficiency. Full article
35 pages, 8602 KB  
Article
Finding the Number of Spanning Trees in Specific Graph Sequences Generated by a Johnson Skeleton Graph
by Ahmad Asiri and Salama Nagy Daoud
Mathematics 2025, 13(18), 3036; https://doi.org/10.3390/math13183036 - 20 Sep 2025
Cited by 1 | Viewed by 955
Abstract
Using equivalent transformations, complicated circuits in physics that need numerous mathematical operations to analyze can be broken down into simpler equivalent circuits. It is also possible to determine the number of spanning trees—graph families in particular—using these adjustments and utilizing our knowledge of [...] Read more.
Using equivalent transformations, complicated circuits in physics that need numerous mathematical operations to analyze can be broken down into simpler equivalent circuits. It is also possible to determine the number of spanning trees—graph families in particular—using these adjustments and utilizing our knowledge of difference equations, electrically equivalent transformations, and weighted generating function rules. In this paper, we derive the exact formulas for the number of spanning trees of sequences of new graph families created by a Johnson skeleton graph 63 and a few of its related graphs. Lastly, a comparison is made between our graphs’ entropy and other graphs of average degree four. Full article
Show Figures

Figure 1

19 pages, 622 KB  
Article
Q-Function-Based Diagnostic and Spatial Dependence in Reparametrized t-Student Linear Model
by Miguel A. Uribe-Opazo, Rosangela C. Schemmer, Fernanda De Bastiani, Manuel Galea, Rosangela A. B. Assumpção and Tamara C. Maltauro
Mathematics 2025, 13(18), 3035; https://doi.org/10.3390/math13183035 - 20 Sep 2025
Viewed by 554
Abstract
Characterizingthe spatial variability of agricultural data is a fundamental step in precision agriculture, especially in soil management and the creation of differentiated management units for increasing productivity. Modeling the spatial dependence structure using geostatistical methods is of great importance for efficiency, estimating the [...] Read more.
Characterizingthe spatial variability of agricultural data is a fundamental step in precision agriculture, especially in soil management and the creation of differentiated management units for increasing productivity. Modeling the spatial dependence structure using geostatistical methods is of great importance for efficiency, estimating the parameters that define this structure, and performing kriging-based interpolation. This work presents diagnostic techniques for global and local influence and generalized leverage using the displacement of the conditional expectation of the logarithm of the joint-likelihood, called the Q-function. This method is used to identify the presence of influential observations that can interfere with parameter estimations, geostatistics model selection, map construction, and spatial variability. To study spatially correlated data, we used reparameterized t-Student distribution linear spatial modeling. This distribution has been used as an alternative to the normal distribution when data have outliers, and it has the same form of covariance matrix as the normal distribution, which enables a direct comparison between them. The methodology is illustrated using one real data set, and the results showed that the modeling was more robust in the presence of influential observations. The study of these observations is indispensable for decision-making in precision agriculture. Full article
Show Figures

Figure 1

16 pages, 295 KB  
Article
Laws of the k-Iterated Logarithm of Weighted Sums in a Sub-Linear Expected Space
by Xiang Zeng
Mathematics 2025, 13(18), 3034; https://doi.org/10.3390/math13183034 - 20 Sep 2025
Viewed by 546
Abstract
The law of the iterated logarithm precisely refines the law of large numbers and plays a fundamental role in probability limit theory. The framework of sub-linear expectation spaces substantially extends the classical concept of probability spaces. In this study, we employ a methodology [...] Read more.
The law of the iterated logarithm precisely refines the law of large numbers and plays a fundamental role in probability limit theory. The framework of sub-linear expectation spaces substantially extends the classical concept of probability spaces. In this study, we employ a methodology that differs from the traditional probabilistic approach to study the k-iterated logarithm law for weighted sums of stable random variables with the exponent α(0,2) within sub-linear expectation space, establishing a highly general form of the k-iterated logarithm law in this context. The obtained results include Chover’s law of the iterated logarithm, as well as the laws for partial sums and moving average processes, thereby extending many corresponding results obtained in classical probability spaces. Full article
(This article belongs to the Section D1: Probability and Statistics)
21 pages, 750 KB  
Article
Synchronization of Singular Perturbation Complex Networks with an Event-Triggered Delayed Impulsive Control
by Kun Liang, Kaiwen Zheng, Mengshen Chen and Xin Wang
Mathematics 2025, 13(18), 3033; https://doi.org/10.3390/math13183033 - 19 Sep 2025
Viewed by 668
Abstract
This paper investigates the synchronization problem of singularly perturbed complex networks with time delays, in which a novel event-triggered delayed impulsive control strategy is developed. To conserve limited communication bandwidth, a dynamic event-triggered mechanism is proposed based on a Lyapunov function construction, while [...] Read more.
This paper investigates the synchronization problem of singularly perturbed complex networks with time delays, in which a novel event-triggered delayed impulsive control strategy is developed. To conserve limited communication bandwidth, a dynamic event-triggered mechanism is proposed based on a Lyapunov function construction, while incorporating both delay and singular perturbation parameter ε information to avoid ill conditioning. Unlike conventional triggering approaches, the proposed mechanism only requires the Lyapunov function to decrease at impulsive instants, thereby relaxing the constraint on the energy function. Moreover, an impulse-assisted variable θ is introduced to adjust the event-triggered threshold according to the intensity of impulsive control, which reduces the triggering frequency while ensuring synchronization. By employing stability theory and the singular perturbation method, a singular perturbation parameter ε-dependent Lyapunov function is constructed to derive sufficient synchronization conditions and provide the design of the impulsive gain matrix. Finally, a numerical example is presented to demonstrate the effectiveness of the proposed approach. Full article
Show Figures

Figure 1

26 pages, 43661 KB  
Article
Numerical Investigation of Atwood Number Effects on Shock-Driven Single-Mode Stratified Heavy Fluid Layers
by Salman Saud Alsaeed, Satyvir Singh and Nouf A. Alrubea
Mathematics 2025, 13(18), 3032; https://doi.org/10.3390/math13183032 - 19 Sep 2025
Cited by 5 | Viewed by 720
Abstract
This work presents a numerical investigation of Richtmyer–Meshkov instability (RMI) in shock-driven single-mode stratified heavy fluid layers, with emphasis on the influence of the Atwood number. High-order modal discontinuous Galerkin simulations are carried out for Atwood numbers ranging from A=0.30 to [...] Read more.
This work presents a numerical investigation of Richtmyer–Meshkov instability (RMI) in shock-driven single-mode stratified heavy fluid layers, with emphasis on the influence of the Atwood number. High-order modal discontinuous Galerkin simulations are carried out for Atwood numbers ranging from A=0.30 to 0.72, allowing a systematic study of interface evolution, vorticity dynamics, and mixing. The analysis considers diagnostic quantities such as interface trajectories, normalized interface length and amplitude, vorticity extrema, circulation, enstrophy, and kinetic energy. The results demonstrate that the Atwood number plays a central role in instability development. At low A, interface deformation remains smooth and coherent, with weaker vorticity deposition and delayed nonlinear roll-up. As A increases, baroclinic torque intensifies, leading to rapid perturbation growth, stronger vortex roll-ups, and earlier onset of secondary instabilities such as Kelvin–Helmholtz vortices. Enstrophy, circulation, and interface measures show systematic amplification with increasing density contrast, while the total kinetic energy exhibits relatively weak sensitivity to A. Overall, the study highlights how the Atwood number governs the transition from linear to nonlinear dynamics, controlling both large-scale interface morphology and the formation of small-scale vortical structures. These findings provide physical insight into shock–interface interactions and contribute to predictive modeling of instability-driven mixing in multicomponent flows. Full article
(This article belongs to the Special Issue High-Order Numerical Methods and Computational Fluid Dynamics)
Show Figures

Figure 1

17 pages, 6938 KB  
Article
Toward Optimal Multi-Agent Robot and Lift Schedules via Boolean Satisfiability
by Arjo Chakravarty, Michael X. Grey, M. A. Viraj J. Muthugala and Rajesh Mohan Elara
Mathematics 2025, 13(18), 3031; https://doi.org/10.3390/math13183031 - 19 Sep 2025
Viewed by 808
Abstract
As a multirobot system grows in its number of agents, contention over shared resources poses a more significant risk of deadlock and operational deficiencies. When integrating with buildings, one of the most common pieces of equipment that robots have to use is the [...] Read more.
As a multirobot system grows in its number of agents, contention over shared resources poses a more significant risk of deadlock and operational deficiencies. When integrating with buildings, one of the most common pieces of equipment that robots have to use is the lift (elevator). This work focuses on exploring different Anytime Constraint Programming techniques for finding time-optimal schedules across multiple robots and lifts. The choice of which lift each robot uses to complete its task has a noticeable impact on the makespan of the system. This work explores a Time-Ordered-based approach and a Time-Expansion Graph-based approach. The Time-Expansion Graph-based approach is found to outperform the Time-Ordered-based approach. This is because the Time-Expansion Graph method has immediate access to more comprehensive information. Additionally, this paper shows that, in some cases, applying such an optimization can considerably reduce the makespan. Full article
Show Figures

Figure 1

21 pages, 3628 KB  
Article
Uncertainty Propagation for Power-Law, Bingham, and Casson Fluids: A Comparative Stochastic Analysis of a Class of Non-Newtonian Fluids in Rectangular Ducts
by Eman Alruwaili and Osama Hussein Galal
Mathematics 2025, 13(18), 3030; https://doi.org/10.3390/math13183030 - 19 Sep 2025
Viewed by 589
Abstract
This study presents a novel framework for uncertainty propagation in power-law, Bingham, and Casson fluids through rectangular ducts under stochastic viscosity (Case I) and pressure gradient conditions (Case II). Using the computationally efficient Stochastic Finite Difference Method with Homogeneous Chaos (SFDHC), validated via [...] Read more.
This study presents a novel framework for uncertainty propagation in power-law, Bingham, and Casson fluids through rectangular ducts under stochastic viscosity (Case I) and pressure gradient conditions (Case II). Using the computationally efficient Stochastic Finite Difference Method with Homogeneous Chaos (SFDHC), validated via comparison with quasi-Monte Carlo simulations, we demonstrate significantly lower computational costs across varying Coefficients of Variation (COVs). For viscosity uncertainty (Case I), results show a 0.54–2.8% increase in mean maximum velocity with standard deviations reaching 75.3–82.5% of the COV, where the power-law model exhibits the greatest sensitivity (velocity variations spanning 71.2–177.3% of the mean at COV = 20%). Pressure gradient uncertainty (Case II) preserves mean velocities but produces narrower and symmetric distributions. We systematically evaluate the effects of aspect ratio, yield stress, and flow behavior index on the stochastic velocity response of each fluid. Moreover, our analysis pioneers a performance hierarchy: Herschel–Bulkley fluids show the highest mean and standard deviation of maximum velocity, followed by power-law, Robertson–Stiff, Bingham, and Casson models. A key finding is the extreme fluctuation of the Robertson–Stiff model, which exhibits the most drastic deviations, reaching up to 177% of the average velocity. The significance of fluid-specific stochastic analysis in duct system design is underscored by these results. This is especially critical for non-Newtonian flows, where system performance and reliability are greatly impacted by uncertainties in viscosity and pressure gradient, which reflect actual operational variations. Full article
(This article belongs to the Section E: Applied Mathematics)
Show Figures

Figure 1

19 pages, 3659 KB  
Article
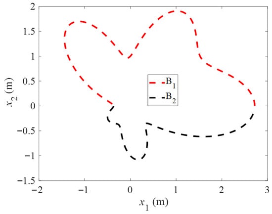
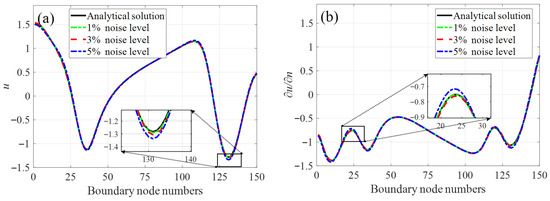
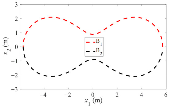
Boundary Knot Neural Networks for the Inverse Cauchy Problem of the Helmholtz Equation
by Renhao Wang, Fajie Wang, Xin Li and Lin Qiu
Mathematics 2025, 13(18), 3029; https://doi.org/10.3390/math13183029 - 19 Sep 2025
Cited by 1 | Viewed by 853
Abstract
The traditional boundary knot method (BKM) has certain advantages in solving Helmholtz equations, but it still faces the difficulty of solving ill-posed problems when dealing with inverse problems. This work proposes a novel deep learning framework, the boundary knot neural networks (BKNNs), for [...] Read more.
The traditional boundary knot method (BKM) has certain advantages in solving Helmholtz equations, but it still faces the difficulty of solving ill-posed problems when dealing with inverse problems. This work proposes a novel deep learning framework, the boundary knot neural networks (BKNNs), for solving inverse Cauchy problems of the Helmholtz equation. The method begins by uniformly distributing collocation points on the physical boundary, then employs a fully connected neural network to approximate the source point coefficient vector in the BKM. The physical quantities on the computational domain can be expressed by the BKM formula, and the loss functions can be constructed via accessible conditions on measurable boundaries. After that, the optimal weights and biases can be obtained by training the fully connected neural network, and thus, the source point coefficient vector can be successfully solved. As a machine learning-based meshless scheme, the BKNN eliminates tedious procedures like meshing and numerical integration while handling inverse Cauchy problems with complex boundaries. More importantly, the method itself is an optimization algorithm that completely avoids the complex processing techniques for ill-conditioned problems in traditional methods. Numerical experiments validate the efficacy of the proposed method, showcasing its superior performance over the traditional BKM for solving the Helmholtz equation’s inverse Cauchy problems. Full article
Show Figures

Figure 1

31 pages, 12350 KB  
Article
Statistical Evaluation of Beta-Binomial Probability Law for Removal in Progressive First-Failure Censoring and Its Applications to Three Cancer Cases
by Ahmed Elshahhat, Osama E. Abo-Kasem and Heba S. Mohammed
Mathematics 2025, 13(18), 3028; https://doi.org/10.3390/math13183028 - 19 Sep 2025
Viewed by 685
Abstract
Progressive first-failure censoring is a flexible and cost-efficient strategy that captures real-world testing scenarios where only the first failure is observed at each stage while randomly removing remaining units, making it ideal for biomedical and reliability studies. By applying the α-power transformation [...] Read more.
Progressive first-failure censoring is a flexible and cost-efficient strategy that captures real-world testing scenarios where only the first failure is observed at each stage while randomly removing remaining units, making it ideal for biomedical and reliability studies. By applying the α-power transformation to the exponential baseline, the proposed model introduces an additional flexibility parameter that enriches the family of lifetime distributions, enabling it to better capture varying failure rates and diverse hazard rate behaviors commonly observed in biomedical data, thus extending the classical exponential model. This study develops a novel computational framework for analyzing an α-powered exponential model under beta-binomial random removals within the proposed censoring test. To address the inherent complexity of the likelihood function arising from simultaneous random removals and progressive censoring, we derive closed-form expressions for the likelihood, survival, and hazard functions and propose efficient estimation strategies based on both maximum likelihood and Bayesian inference. For the Bayesian approach, gamma and beta priors are adopted, and a tailored Metropolis–Hastings algorithm is implemented to approximate posterior distributions under symmetric and asymmetric loss functions. To evaluate the empirical performance of the proposed estimators, extensive Monte Carlo simulations are conducted, examining bias, mean squared error, and credible interval coverage under varying censoring levels and removal probabilities. Furthermore, the practical utility of the model is illustrated through three oncological datasets, including multiple myeloma, lung cancer, and breast cancer patients, demonstrating superior goodness of fit and predictive reliability compared to traditional models. The results show that the proposed lifespan model, under the beta-binomial probability law and within the examined censoring mechanism, offers a flexible and computationally tractable framework for reliability and biomedical survival analysis, providing new insights into censored data structures with random withdrawals. Full article
(This article belongs to the Special Issue New Advance in Applied Probability and Statistical Inference)
Show Figures

Figure 1

35 pages, 2034 KB  
Article
A Nonparametric Double Homogeneously Weighted Moving Average Signed-Rank Control Chart for Monitoring Location Parameter
by Vasileios Alevizakos
Mathematics 2025, 13(18), 3027; https://doi.org/10.3390/math13183027 - 19 Sep 2025
Viewed by 542
Abstract
Nonparametric control charts are widely used in many manufacturing processes when there is a lack of knowledge about the distribution that the quality characteristic of interest follows. If there is evidence that the unknown distribution is symmetric, then the signed-rank statistic is preferred [...] Read more.
Nonparametric control charts are widely used in many manufacturing processes when there is a lack of knowledge about the distribution that the quality characteristic of interest follows. If there is evidence that the unknown distribution is symmetric, then the signed-rank statistic is preferred over other nonparametric statistics because it makes control charts more efficient. In this article, a nonparametric double homogeneously weighted moving average control chart based on the signed-rank statistic, namely, the DHWMA-SR chart, is introduced for monitoring the location parameter of an unknown, continuous and symmetric distribution. Monte Carlo simulations are used to study the run-length distribution of the proposed chart. A performance comparison study with the EWMA-SR, DEWMA-SR and HWMA-SR charts indicates that the DHWMA-SR chart is more effective under the zero-state scenario, while its steady-state performance is poor. Finally, two illustrative examples are given to demonstrate the application of the proposed chart. Full article
Show Figures

Figure 1

17 pages, 86811 KB  
Article
The Role of Feature Vector Scale in the Adversarial Vulnerability of Convolutional Neural Networks
by Hyun-Cheol Park and Sang-Woong Lee
Mathematics 2025, 13(18), 3026; https://doi.org/10.3390/math13183026 - 19 Sep 2025
Viewed by 655
Abstract
In image classification, convolutional neural networks (CNNs) remain vulnerable to visually imperceptible perturbations, often called adversarial examples. Although various hypotheses have been proposed to explain this vulnerability, a clear cause has not been established. We hypothesize an unfair learning effect: samples are learned [...] Read more.
In image classification, convolutional neural networks (CNNs) remain vulnerable to visually imperceptible perturbations, often called adversarial examples. Although various hypotheses have been proposed to explain this vulnerability, a clear cause has not been established. We hypothesize an unfair learning effect: samples are learned unevenly depending on the scale (norm) of their feature vectors in feature space. As a result, feature vectors with different scales exhibit different levels of robustness against noise. To test this hypothesis, we conduct vulnerability tests on CIFAR-10 using a standard convolutional classifier, analyzing cosine similarity between original and perturbed feature vectors, as well as error rates across scale intervals. Our experiments show that small-scale feature vectors are highly vulnerable. This is reflected in low cosine similarity and high error rates, whereas large-scale feature vectors consistently exhibit greater robustness with high cosine similarity and low error rates. These findings highlight the critical role of feature vector scale in adversarial vulnerability. Full article
(This article belongs to the Special Issue The Application of Deep Neural Networks in Image Processing)
Show Figures

Figure 1

2 pages, 126 KB  
Editorial
Evolutionary Multi-Criteria Optimization: Methods and Applications
by Shi Cheng and Rui Wang
Mathematics 2025, 13(18), 3025; https://doi.org/10.3390/math13183025 - 19 Sep 2025
Cited by 1 | Viewed by 580
Abstract
Complex problems usually require the simultaneous consideration of multiple performance criteria within multidisciplinary environments [...] Full article
(This article belongs to the Special Issue Evolutionary Multi-Criteria Optimization: Methods and Applications)
Previous Issue
Back to TopTop