Uncertainty Propagation for Power-Law, Bingham, and Casson Fluids: A Comparative Stochastic Analysis of a Class of Non-Newtonian Fluids in Rectangular Ducts
Abstract
1. Introduction
2. Random Fields Representation and Solution
3. Stochastic Modeling and Solution of Power-Law, Bingham, and Casson Fluids in Rectangular Ducts
3.1. The Stochastic Modeling Framework
3.2. Problem Solution Using SFDHC
4. Numerical Implementation
5. Numerical Results and Discussion
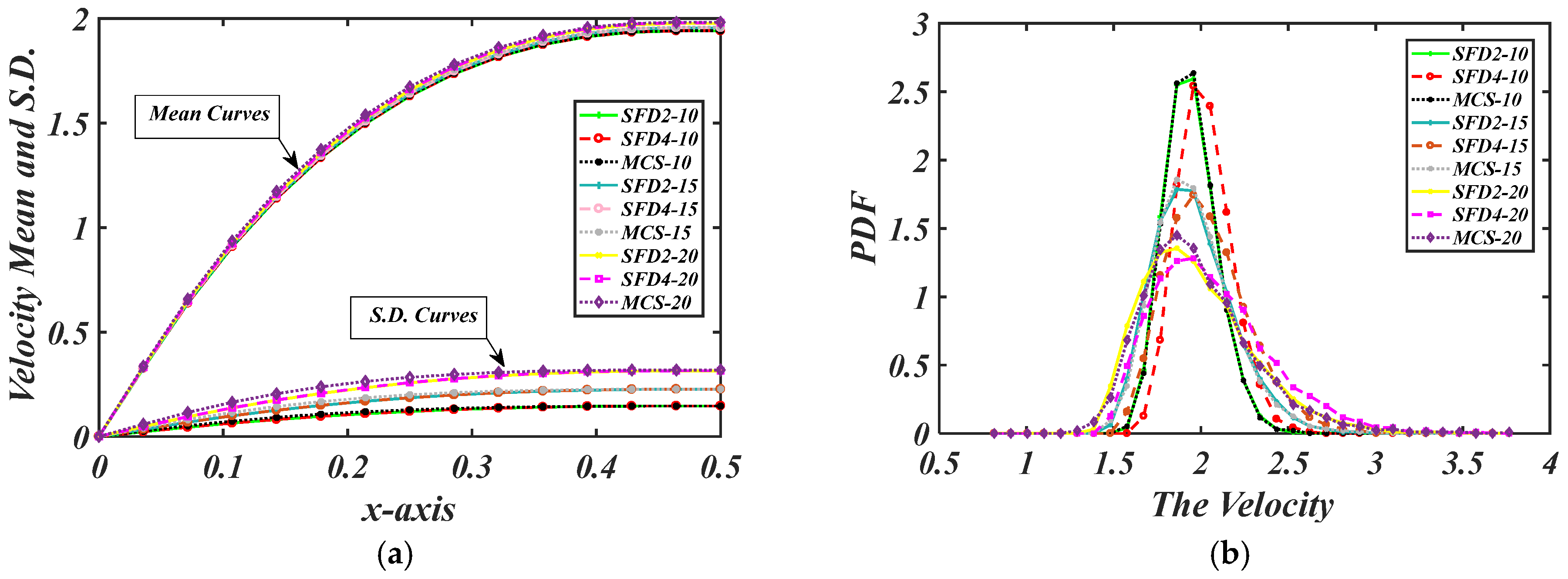
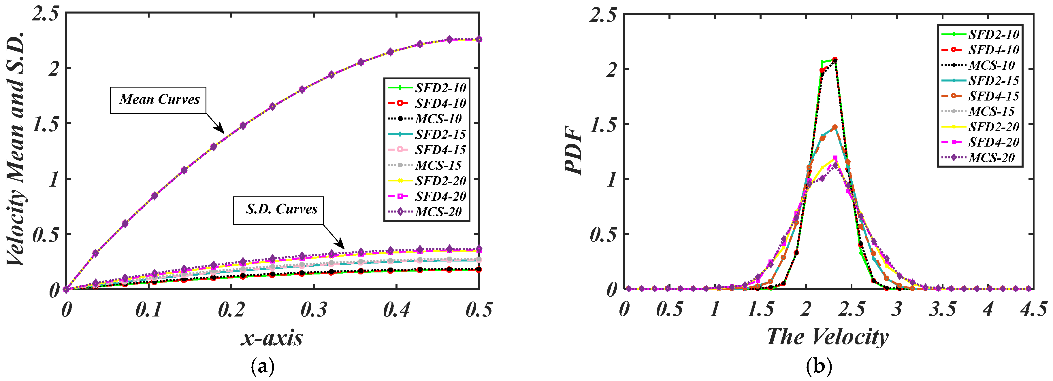
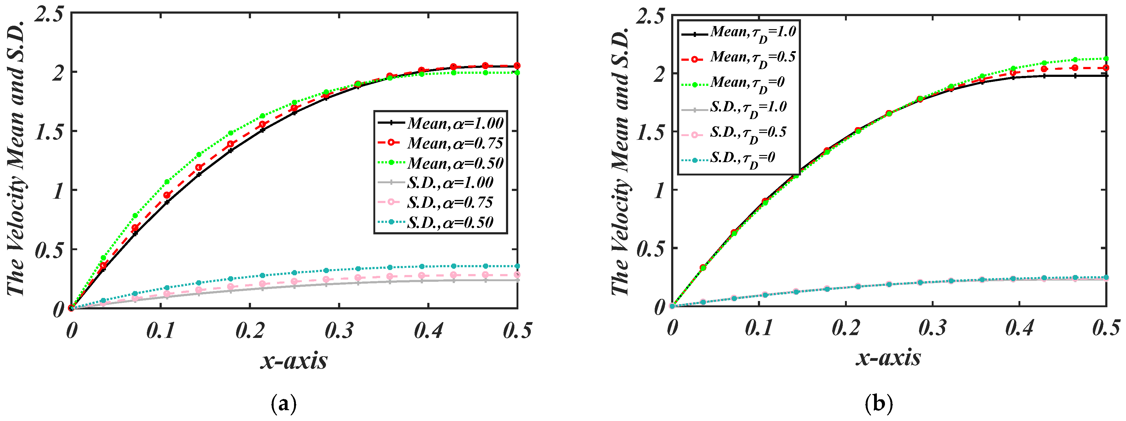
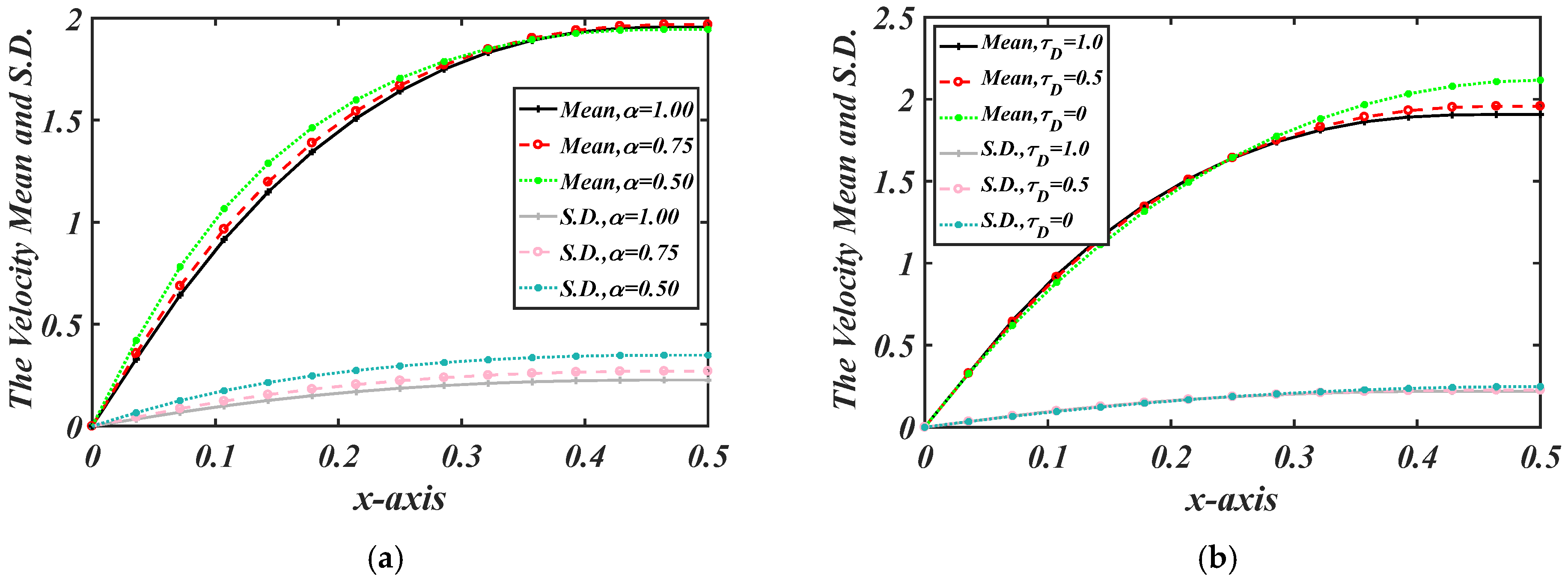
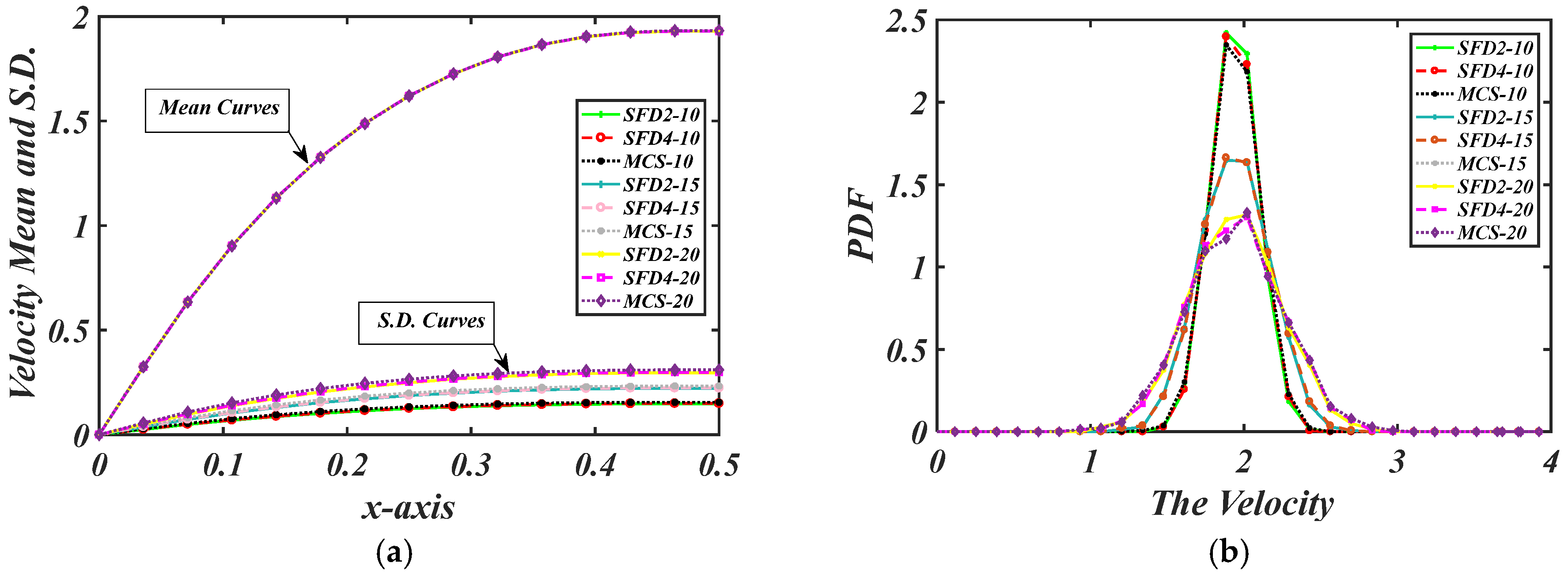
5.1. Stochastic Analysis of Power-Law, Bingham, and Casson Fluids
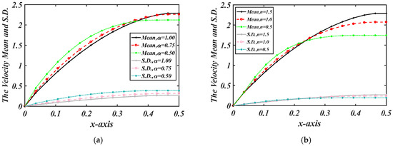
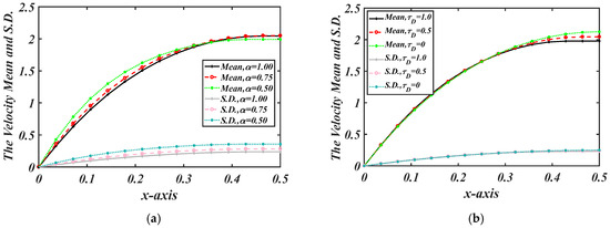
5.2. Investigation of Key Fluid Parameters’ Impact
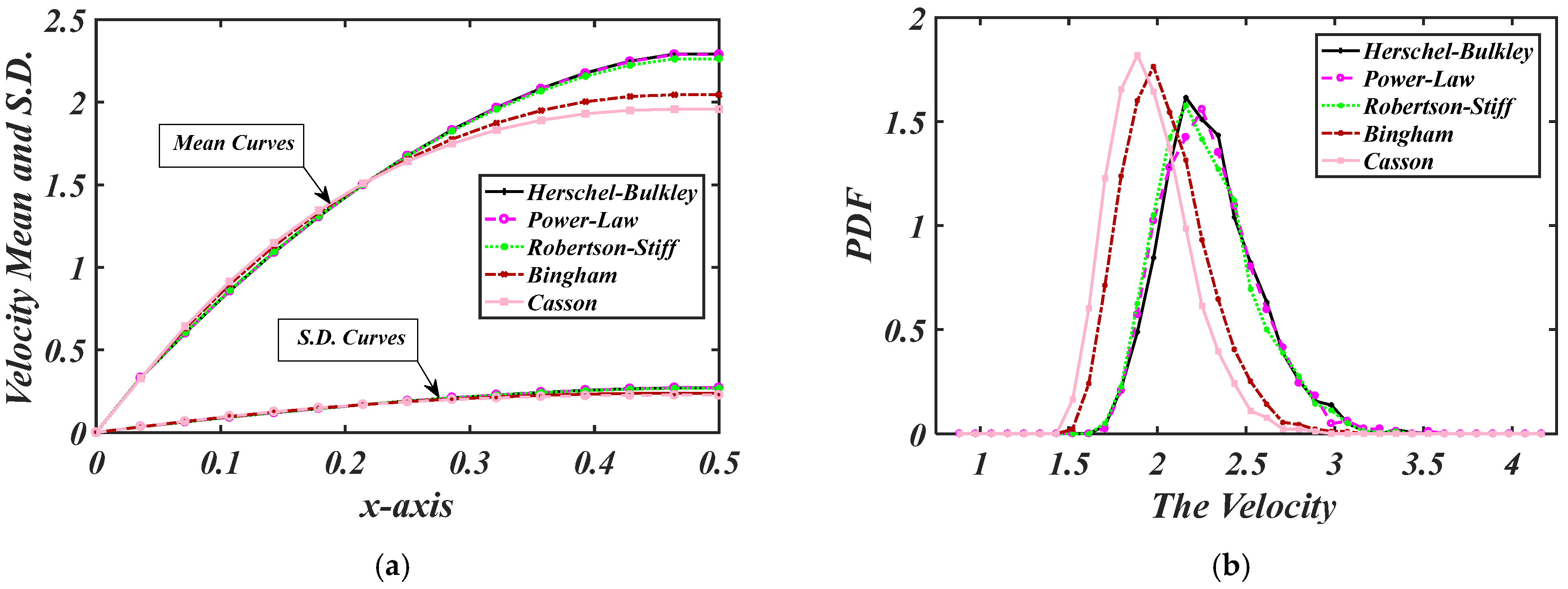
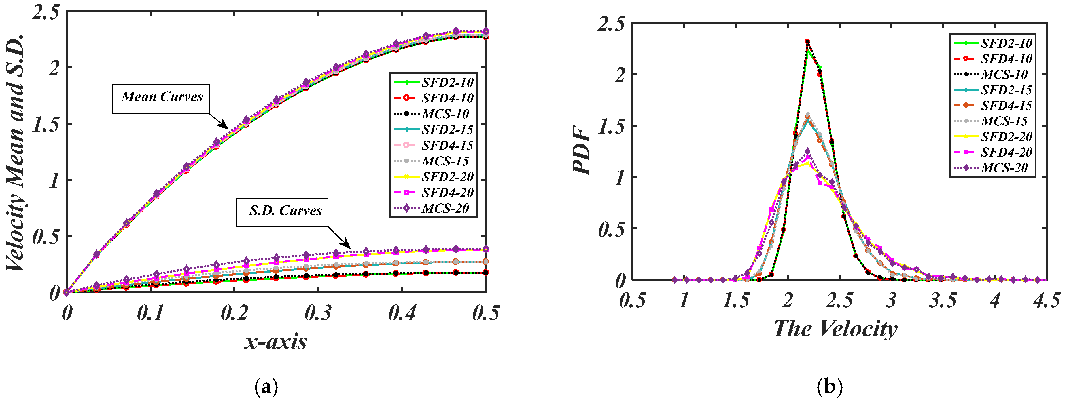
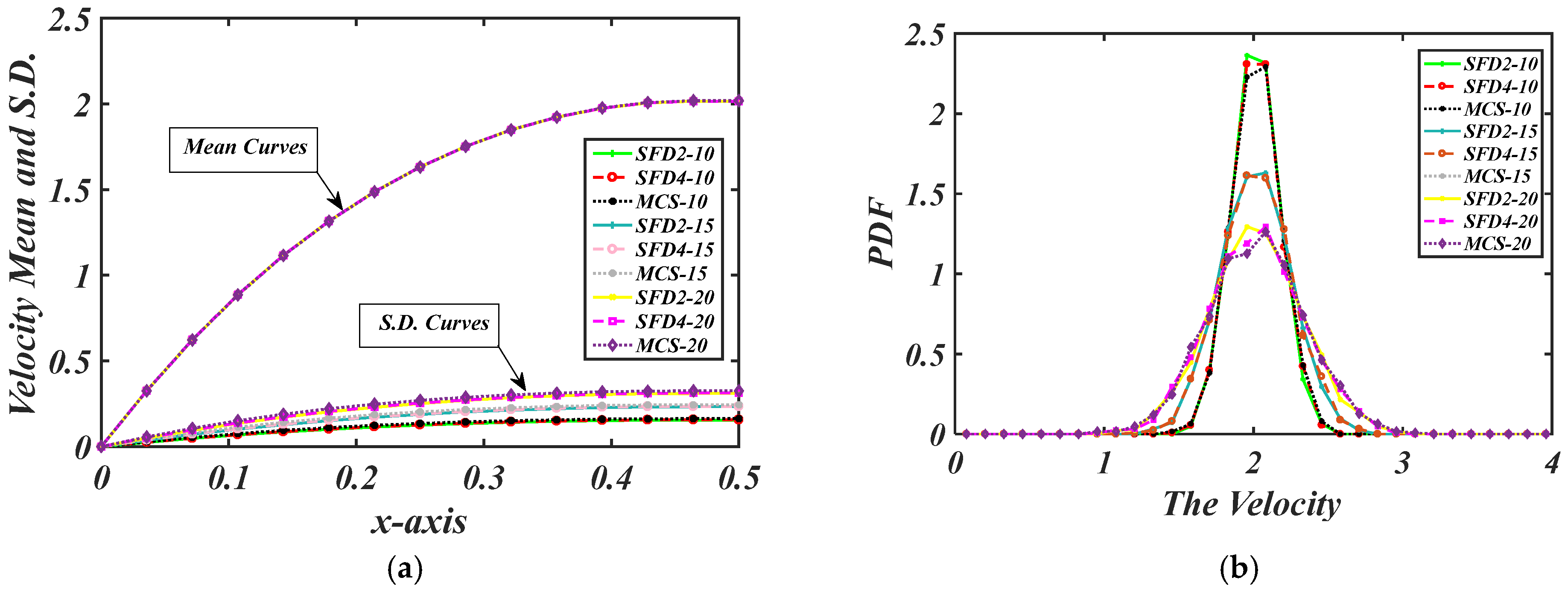
5.3. Comparative Stochastic Analysis of Five Non-Newtonian Fluid Models
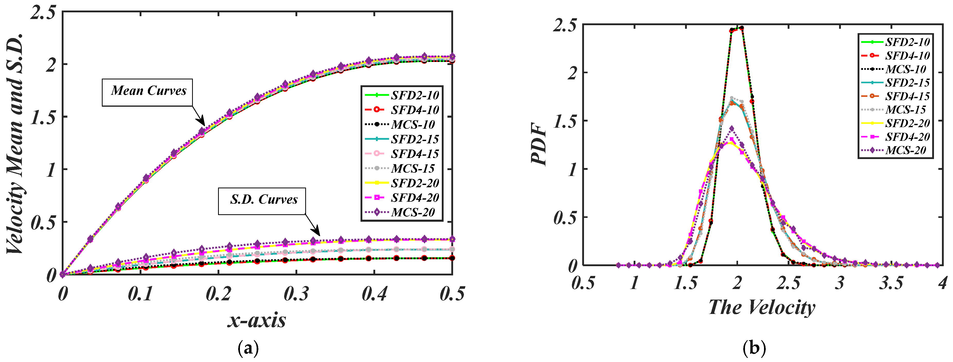
5.4. Analysis of the Applied Solution Methods
6. Conclusions
Author Contributions
Funding
Data Availability Statement
Conflicts of Interest
Abbreviations
| Aspect ratio | Re | Reynolds number | |
| Specific heat | S.D. | Standard deviation | |
| Hydraulic diameter | Stochastic process | ||
| Distance between two joints | Fluid temperature | ||
| Pressure gradient | Var | Variance | |
| f | Friction factor | Stochastic velocity in the Z-direction | |
| Coefficient of variation (COV) | Dimensionless shear stress | ||
| Covariance kernel | Deterministic velocity | ||
| Thermal conductivity | Maximum velocity | ||
| L | Deterministic space | Dimensionless average velocity | |
| Correlation lengths | Random variable | ||
| Consistency index | Dimensionless fluid viscosity | ||
| Approximate maximum value | Random input | ||
| Approximate minimum value | Eigen-pairs of the SP | ||
| n | Flow behavior index | Fluid viscosity | |
| Dimensionality of PC | Fluid density | ||
| Total number of PCs | Yield stress | ||
| p | Order of chaos polynomials | Chaos polynomials | |
| Approximate range | Control factor |
References
- Bird, R.B.; Armstrong, R.C.; Hassager, O. Dynamics of Polymeric Liquids, Volume 1: Fluid Mechanics; Wiley: New York, NY, USA, 1987. [Google Scholar]
- Ostwald, W. On the velocity function of viscosity in disperse systems. Kolloid-Zeitschrift 1925, 36, 99–117. [Google Scholar] [CrossRef]
- Bingham, E.C. Fluidity and Plasticity; McGraw-Hill: New York, NY, USA, 1922. [Google Scholar]
- Casson, N. A flow equation for pigment-oil suspensions of the printing ink type. In Rheology of Disperse Systems; Pergamon Press: Oxford, UK, 1959; pp. 84–104. [Google Scholar]
- Tanner, R.I. Engineering Rheology, 2nd ed.; OUP: Oxford, UK, 2000. [Google Scholar]
- Crochet, M.J.; Davies, A.R.; Walters, K. Numerical Simulation of Non-Newtonian Flow; Elsevier: Amsterdam, The Netherlands, 1984. [Google Scholar]
- Schechter, R.S. On the steady flow of non-Newtonian fluids in cylindrical coordinates. AIChE J. 1961, 7, 445–448. [Google Scholar] [CrossRef]
- Gao, S.X.; Hartnett, J.P. Non-Newtonian fluid laminar flow and forced convection heat transfer in rectangular ducts. Int. Commun. Heat Mass Transf. 1992, 19, 673–686. [Google Scholar] [CrossRef]
- Hanks, R.W. The laminar-turbulent transition for fluids with a yield stress. AIChE J. 1963, 9, 306–309. [Google Scholar] [CrossRef]
- Frigaard, I.A.; Nouar, C. On the usage of viscosity regularisation methods for visco-plastic fluid flow computation. J. Non-Newton. Fluid Mech. 2005, 127, 1–26. [Google Scholar] [CrossRef]
- Chaturani, P.; Samy, R.P. Pulsatile flow of Casson’s fluid through stenosed arteries with applications to blood flow. Biorheology 1986, 23, 499–511. [Google Scholar] [CrossRef] [PubMed]
- Bixapathi, S.; Babu, A.B. Casson fluid flow of rotating magneto-convection in a vertical porous medium. Phys. Fluids 2025, 37, 014125. [Google Scholar] [CrossRef]
- Ren, Z.; Liu, H.; Li, L.; Wang, Y.; Sun, Q. On the effects of rheological behavior on landslide motion and tsunami hazard for the Baiyun Slide in the South China Sea. Landslides 2023, 20, 1599–1616. [Google Scholar] [CrossRef]
- Oberkampf, W.L.; DeLand, S.M.; Rutherford, B.M.; Diegert, K.V.; Alvin, K.F. Error and uncertainty in modeling and simulation. Reliab. Eng. Syst. Saf. 2002, 75, 333–357. [Google Scholar] [CrossRef]
- Amirdjanova, A. Topics in Stochastic Fluid Dynamics: A Vorticity Approach; University of North Carolina: Chapel Hill, NC, USA, 2000. [Google Scholar]
- Zirbel, C.L. Stochastic Flows: Dispersion of a Mass Distribution and Lagrangian Observations of a Random Field; Princeton University: Princeton, NJ, USA, 1993. [Google Scholar]
- Mikulevicius, R.; Rozovskii, B. On equations of stochastic fluid mechanics. In Stochastics in Finite and Infinite Dimensions; Birkhäuser: Boston, MA, USA, 2001; pp. 285–302. [Google Scholar] [CrossRef]
- Breuer, H.P.; Petruccione, F. A stochastic approach to computational fluid dynamics. Contin. Mech. Therm. 1992, 4, 247–267. [Google Scholar] [CrossRef]
- Benth, F.E.; Gjerde, J. Numerical solution of the pressure equation for fluid flow in a stochastic medium. In Stochastic Analysis and Related Topics VI; Birkhäuser: Boston, MA, USA, 1998; pp. 175–186. [Google Scholar] [CrossRef]
- Xiu, D.; Karniadakis, G.E. Modeling uncertainty in flow simulations via generalized polynomial chaos. J. Comput. Phys. 2003, 187, 137–167. [Google Scholar] [CrossRef]
- Prieto, J.L. Stochastic particle level set simulations of buoyancy-driven droplets in non-Newtonian fluids. J. Non-Newton. Fluid Mech. 2015, 226, 16–31. [Google Scholar] [CrossRef]
- Sochi, T. Deterministic and stochastic algorithms for resolving the flow fields in ducts and networks using energy minimization. Int. J. Mod. Phys. C 2016, 27, 1650036. [Google Scholar] [CrossRef]
- De, S.; Kuipers, J.A.M.; Peters, E.A.J.F.; Padding, J.T. Viscoelastic flow simulations in random porous media. J. Non-Newton. Fluid Mech. 2017, 248, 50–61. [Google Scholar] [CrossRef]
- Bedrossian, J.; Blumenthal, A.; Punshon-Smith, S. Lagrangian stochastic models with applications in turbulent transport. J. Fluid Mech. 2020, 898, A25. [Google Scholar] [CrossRef]
- Guadagnini, A.; Porta, G.M.; Riva, M.; Janetti, E.B. Quantification of uncertainties of fracture permeability via mud loss information and inverse stochastic modeling. In Proceedings of the 81st EAGE Conference and Exhibition, London, UK, 3–6 June 2019; EAGE: Houten, The Netherlands, 2019. [Google Scholar] [CrossRef]
- Galal, O.H. Stochastic velocity modeling of magneto-hydrodynamics non-Darcy flow between two stationary parallel plates. Alex. Eng. J. 2021, 60, 4191–4201. [Google Scholar] [CrossRef]
- Galal, O.H. Stochastic Velocity Assessment of Robertson-Stiff Fluids in Rectangular Ducts under Uncertain Parameters and Boundary Conditions. J. Appl. Comput. Mech. 2025. [Google Scholar] [CrossRef]
- Galal, O.H.; Alruwaili, E. Uncertainty Quantification of Herschel–Bulkley Fluids in Rectangular Ducts Due to Stochastic Parameters and Boundary Conditions. Axioms 2025, 14, 492. [Google Scholar] [CrossRef]
- Rinkens, A.; Verhoosel, C.V.; Jaensson, N.O. Uncertainty quantification for the squeeze flow of generalized Newtonian fluids. J. Non-Newton. Fluid Mech. 2023, 322, 105154. [Google Scholar] [CrossRef]
- Rezaeiravesh, S.; Vinuesa, R.; Schlatter, P. An uncertainty-quantification framework for assessing accuracy, sensitivity, and robustness in computational fluid dynamics. Comput. Methods Appl. Mech. Eng. 2022, 390, 114467. [Google Scholar] [CrossRef]
- Knio, O.M.; Le Maître, O.P. Uncertainty propagation in CFD using polynomial chaos decomposition. Fluid Dyn. Res. 2006, 38, 616–640. [Google Scholar] [CrossRef]
- Gunzburger, M.; Iliescu, T.; Mohebujjaman, M.; Schneier, M. An evolve-filter-relax stabilized reduced-order stochastic collocation method for the time-dependent Navier–Stokes equations. SIAM/ASA J. Uncertain. Quantif. 2019, 7, 1162–1193. [Google Scholar] [CrossRef]
- Terasawa, Y.; Yoshida, N. Stochastic power law fluids: Existence and uniqueness of weak solutions. Ann. Appl. Probab. 2011, 21, 1827–1859. [Google Scholar] [CrossRef]
- Breit, D. Existence Theory for Stochastic Power-Law Fluids. J. Math. Fluid Mech. 2015, 17, 295–326. [Google Scholar] [CrossRef]
- Kan, Z.; Wang, J.; Zhang, J.; Yang, Z.; Wen, S. Dynamics analysis of a nonlinear system with Bingham model under stochastic excitation. J. Low Freq. Noise Vib. Act. Control. 2025, 44, 39–53. [Google Scholar] [CrossRef]
- Nawaz, Y.; Arif, M.S.; Nazeer, A.; Abbasi, J.N.; Abodayeh, K. A two-stage reliable computational scheme for stochastic unsteady mixed convection flow of Casson nanofluid. Int. J. Numer. Methods Fluids 2024, 96, 719–737. [Google Scholar] [CrossRef]
- Ali, B.; Liu, S.; Jubair, S.; Khalifa, H.A.E.W.; Abd El-Rahman, M. Exploring the impact of Hall and ion slip effects on mixed convective flow of Casson fluid Model: A stochastic investigation through non-Fourier double diffusion theories using ANNs techniques. Therm. Sci. Eng. Prog. 2023, 46, 102237. [Google Scholar] [CrossRef]
- Galal, O.H. A proposed stochastic finite difference approach based on homogeneous chaos expansion. J. Appl. Math. 2013, 2013, 950469. [Google Scholar] [CrossRef]
- Lemieux, C. Using Quasi–Monte Carlo in Practice. In Monte Carlo and Quasi-Monte Carlo Sampling; Springer: New York, NY, USA, 2009; pp. 143–176. [Google Scholar] [CrossRef]
- Ghanem, R.G.; Spanos, P.D. Stochastic Finite Elements: A Spectral Approach; Dover: Mineola, NY, USA, 2003. [Google Scholar]
- Chapra, S.C.; Canale, R.P. Numerical Methods for Engineers, 6th ed.; McGraw-Hill: New York, NY, USA, 2011. [Google Scholar]
- The MathWorks Inc. MATLAB Version: 9.13.0 (R2022b); The MathWorks Inc.: Natick, MA, USA, 2022. [Google Scholar]
- Syrjälä, S. Finite-element analysis of fully developed laminar flow of power-law non-Newtonian fluid in a rectangular duct. Int. Commun. Heat Mass Transfer. 1995, 22, 549–557. [Google Scholar] [CrossRef]
- Tehrani, A.; Cliffe, A.; Hodder, M.H.; Young, S.; Lee, J.; Stark, J.; Seale, S. Alternative drilling fluid weighting agents: A comprehensive study on ilmenite and hematite. In SPE/IADC Drilling Conference Proceedings; SPE: The Hague, The Netherlands, 2014; pp. 222–239. [Google Scholar] [CrossRef]
- Fadl, A.M.; Abdou, M.I.; El-Sayed Ahmed, H.; Wahab Gaber, M.A. Delaminated iron ore (hematite-Barite) as alternative weighting agent to Barite in petroleum drilling fluids engineering operations and mechanism study. Am. Shams Eng. J. 2020, 11, 1317–1337. [Google Scholar] [CrossRef]














| α | 1 | 0.50 | ||||
|---|---|---|---|---|---|---|
| n | 1.00 | 0.80 | 0.50 | 1.00 | 0.80 | 0.50 |
| Gao and Hartnett [8] | 14.229 | 9.918 | 5.723 | 15.551 | 10.658 | 6.002 |
| Syrjala [43] | 14.22708 | 9.91546 | 5.72140 | 15.54806 | 10.65524 | 5.99867 |
| Present study | 14.22894 | 9.94518 | 5.75781 | 15.55180 | 10.71018 | 6.05171 |
| |Difference| (%) | 0.013073 | 0.299734 | 0.636383 | 0.024077 | 0.515601 | 0.88416 |
| Case | Method of Solution | |||||||
|---|---|---|---|---|---|---|---|---|
| Case I (Uncertainty Viscosity) | SFD2-10 | 2.2680 | 1.0061 | 0.1743 | 0.0778 | 1.8392 | 2.9547 | 1.1155 |
| SFD4-10 | 2.2691 | 1.0066 | 0.1747 | 0.0779 | 1.8405 | 2.9784 | 1.1379 | |
| MCS-10 | 2.2695 | 1.0068 | 0.1750 | 0.0780 | 1.8250 | 3.0176 | 1.1925 | |
| SFD2-15 | 2.2860 | 1.0141 | 0.2696 | 0.1193 | 1.7171 | 3.4363 | 1.7193 | |
| SFD4-15 | 2.2885 | 1.0152 | 0.2706 | 0.1197 | 1.7193 | 3.4824 | 1.7632 | |
| MCS-15 | 2.2898 | 1.0158 | 0.2721 | 0.1203 | 1.6680 | 3.6517 | 1.9837 | |
| SFD2-20 | 2.3126 | 1.0259 | 0.3754 | 0.1643 | 1.6516 | 4.0313 | 2.3797 | |
| SFD4-20 | 2.3173 | 1.0280 | 0.3778 | 0.1650 | 1.6502 | 4.1104 | 2.4602 | |
| MCS-20 | 2.3206 | 1.0294 | 0.3844 | 0.1677 | 1.5365 | 4.6661 | 3.1296 | |
| Case II (Uncertainty Pressure gradient) | SFD2-10 | 2.2543 | 1.0000 | 0.1744 | 0.0783 | 1.7074 | 2.8052 | 1.0978 |
| SFD4-10 | 2.2543 | 1.0000 | 0.1763 | 0.0792 | 1.6544 | 2.8111 | 1.1566 | |
| MCS-10 | 2.2559 | 1.0007 | 0.1835 | 0.0823 | 1.6150 | 2.8186 | 1.2036 | |
| SFD2-15 | 2.2543 | 1.0000 | 0.2616 | 0.1174 | 1.4340 | 3.0807 | 1.6467 | |
| SFD4-15 | 2.2543 | 1.0000 | 0.2645 | 0.1188 | 1.3545 | 3.0895 | 1.7350 | |
| MCS-15 | 2.2568 | 1.0011 | 0.2753 | 0.1235 | 1.2954 | 3.1008 | 1.8054 | |
| SFD2-20 | 2.2543 | 1.0000 | 0.3488 | 0.1566 | 1.1606 | 3.3562 | 2.1955 | |
| SFD4-20 | 2.2543 | 1.0000 | 0.3527 | 0.1584 | 1.0546 | 3.3679 | 2.3133 | |
| MCS-20 | 2.2576 | 1.0015 | 0.3671 | 0.1646 | 0.9758 | 3.3830 | 2.4072 |
| Case | Method of Solution | |||||||
|---|---|---|---|---|---|---|---|---|
| Case I (Uncertainty Viscosity) | SFD2-10 | 2.0280 | 1.0059 | 0.1536 | 0.0757 | 1.6486 | 2.6317 | 0.9831 |
| SFD4-10 | 2.0287 | 1.0063 | 0.1538 | 0.0757 | 1.6493 | 2.6377 | 0.9884 | |
| MCS-10 | 2.0292 | 1.0065 | 0.1538 | 0.0757 | 1.6358 | 2.6686 | 1.0328 | |
| SFD2-15 | 2.0434 | 1.0128 | 0.2373 | 0.1160 | 1.5392 | 3.0530 | 1.5137 | |
| SFD4-15 | 2.0453 | 1.0137 | 0.2379 | 0.1162 | 1.5407 | 3.0665 | 1.5259 | |
| MCS-15 | 2.0466 | 1.0143 | 0.2387 | 0.1166 | 1.4960 | 3.1979 | 1.7018 | |
| SFD2-20 | 2.0663 | 1.0241 | 0.3300 | 0.1596 | 1.4790 | 3.5716 | 2.0925 | |
| SFD4-20 | 2.0698 | 1.0267 | 0.3315 | 0.1600 | 1.4778 | 3.5975 | 2.1197 | |
| MCS-20 | 2.0726 | 1.0272 | 0.3359 | 0.1619 | 1.3788 | 4.0195 | 2.6407 | |
| Case II (Uncertainty Pressure gradient) | SFD2-10 | 2.0161 | 1.0000 | 0.1548 | 0.0767 | 1.5301 | 2.5051 | 0.9750 |
| SFD4-10 | 2.0161 | 1.0000 | 0.1562 | 0.0774 | 1.4876 | 2.5060 | 1.0183 | |
| MCS-10 | 2.0174 | 1.0006 | 0.1625 | 0.0805 | 1.4538 | 2.5182 | 1.0644 | |
| SFD2-15 | 2.0161 | 1.0000 | 0.2322 | 0.1151 | 1.2871 | 2.7496 | 1.4625 | |
| SFD4-15 | 2.0161 | 1.0000 | 0.2343 | 0.1161 | 1.2234 | 2.7509 | 1.5275 | |
| MCS-15 | 2.0181 | 1.0010 | 0.2437 | 0.1207 | 1.1727 | 2.7693 | 1.5966 | |
| SFD2-20 | 2.0161 | 1.0000 | 0.3096 | 0.1534 | 1.0441 | 2.9941 | 1.9500 | |
| SFD4-20 | 2.0161 | 1.0000 | 0.3123 | 0.1548 | 0.9592 | 2.9959 | 2.0367 | |
| MCS-20 | 2.0187 | 1.0007 | 0.3250 | 0.1609 | 0.8916 | 3.0204 | 2.1288 |
| Case | Method of Solution | |||||||
|---|---|---|---|---|---|---|---|---|
| Case I (Uncertainty Viscosity) | SFD2-10 | 1.9003 | 1.0050 | 0.1468 | 0.0752 | 1.5871 | 2.5269 | 0.9398 |
| SFD4-10 | 1.9510 | 1.0054 | 0.1470 | 0.0753 | 1.5875 | 2.5270 | 0.9395 | |
| MCS-10 | 1.9515 | 1.0056 | 0.1469 | 0.0752 | 1.5745 | 2.5551 | 0.9806 | |
| SFD2-15 | 1.9557 | 1.0134 | 0.2257 | 0.1148 | 1.4749 | 2.9147 | 1.4398 | |
| SFD4-15 | 1.9573 | 1.0142 | 0.2262 | 0.1149 | 1.4759 | 2.9172 | 1.4413 | |
| MCS-15 | 1.9585 | 1.0148 | 0.2267 | 0.1151 | 1.4335 | 3.0357 | 1.6021 | |
| SFD2-20 | 1.9866 | 1.0237 | 0.3151 | 0.1585 | 1.4233 | 3.4220 | 1.9987 | |
| SFD4-20 | 1.9896 | 1.0253 | 0.3164 | 0.1589 | 1.4221 | 3.4300 | 2.0079 | |
| MCS-20 | 1.9922 | 1.0266 | 0.3200 | 0.1605 | 1.3276 | 3.8088 | 2.4811 | |
| Case II (Uncertainty Pressure gradient) | SFD2-10 | 1.9299 | 1.0000 | 0.1484 | 0.0765 | 1.4726 | 2.4080 | 0.9354 |
| SFD4-10 | 1.9299 | 1.0000 | 0.1497 | 0.0771 | 1.4337 | 2.4073 | 0.9736 | |
| MCS-10 | 1.9311 | 1.0006 | 0.1556 | 0.0802 | 1.4019 | 2.4212 | 1.0193 | |
| SFD2-15 | 1.9299 | 1.0000 | 0.2216 | 0.1142 | 1.2336 | 2.6301 | 1.3964 | |
| SFD4-15 | 1.9299 | 1.0000 | 0.2234 | 0.1151 | 1.1754 | 2.6290 | 1.4536 | |
| MCS-15 | 1.9317 | 1.0009 | 0.2324 | 0.1196 | 1.1281 | 2.6498 | 1.5217 | |
| SFD2-20 | 1.9299 | 1.0000 | 0.2969 | 0.1530 | 1.0062 | 2.8770 | 1.8707 | |
| SFD4-20 | 1.9299 | 1.0000 | 0.2993 | 0.1542 | 0.9283 | 2.8756 | 1.9472 | |
| MCS-20 | 1.9323 | 1.0013 | 0.3113 | 0.1602 | 0.8648 | 2.9034 | 2.0386 |
| Case | Model | |||||||
|---|---|---|---|---|---|---|---|---|
| Case I (Uncertainty Viscosity) | Herschel–Bulkley [28] | 2.3054 | 1.0152 | 0.2729 | 0.1199 | 1.7115 | 3.4200 | 1.7085 |
| Power-law | 2.2885 | 1.0152 | 0.2706 | 0.1197 | 1.7193 | 3.4824 | 1.7632 | |
| Robertson–Stiff [27] | 2.2627 | 1.0151 | 0.2671 | 0.1194 | 1.7017 | 3.6421 | 1.9404 | |
| Bingham | 2.0453 | 1.0145 | 0.2379 | 0.1162 | 1.5407 | 3.0665 | 1.5259 | |
| Casson | 1.9573 | 1.0142 | 0.2262 | 0.1149 | 1.4759 | 2.9172 | 1.4413 | |
| Case II (Uncertainty Pressure gradient) | Herschel–Bulkley [28] | 2.2709 | 1.0000 | 0.2667 | 0.1190 | 1.3892 | 3.1893 | 1.8001 |
| Power-law | 2.2543 | 1.0000 | 0.2645 | 0.1188 | 1.3545 | 3.0895 | 1.7350 | |
| Robertson–Stiff [27] | 2.2291 | 1.0000 | 0.2613 | 0.1185 | 1.2493 | 3.1102 | 1.8608 | |
| Bingham | 2.0161 | 1.0000 | 0.2343 | 0.1161 | 1.2234 | 2.7509 | 1.5275 | |
| Casson | 1.9299 | 1.0000 | 0.2234 | 0.1151 | 1.1754 | 2.6290 | 1.4536 |
Disclaimer/Publisher’s Note: The statements, opinions and data contained in all publications are solely those of the individual author(s) and contributor(s) and not of MDPI and/or the editor(s). MDPI and/or the editor(s) disclaim responsibility for any injury to people or property resulting from any ideas, methods, instructions or products referred to in the content. |
© 2025 by the authors. Licensee MDPI, Basel, Switzerland. This article is an open access article distributed under the terms and conditions of the Creative Commons Attribution (CC BY) license (https://creativecommons.org/licenses/by/4.0/).
Share and Cite
Alruwaili, E.; Galal, O.H. Uncertainty Propagation for Power-Law, Bingham, and Casson Fluids: A Comparative Stochastic Analysis of a Class of Non-Newtonian Fluids in Rectangular Ducts. Mathematics 2025, 13, 3030. https://doi.org/10.3390/math13183030
Alruwaili E, Galal OH. Uncertainty Propagation for Power-Law, Bingham, and Casson Fluids: A Comparative Stochastic Analysis of a Class of Non-Newtonian Fluids in Rectangular Ducts. Mathematics. 2025; 13(18):3030. https://doi.org/10.3390/math13183030
Chicago/Turabian StyleAlruwaili, Eman, and Osama Hussein Galal. 2025. "Uncertainty Propagation for Power-Law, Bingham, and Casson Fluids: A Comparative Stochastic Analysis of a Class of Non-Newtonian Fluids in Rectangular Ducts" Mathematics 13, no. 18: 3030. https://doi.org/10.3390/math13183030
APA StyleAlruwaili, E., & Galal, O. H. (2025). Uncertainty Propagation for Power-Law, Bingham, and Casson Fluids: A Comparative Stochastic Analysis of a Class of Non-Newtonian Fluids in Rectangular Ducts. Mathematics, 13(18), 3030. https://doi.org/10.3390/math13183030

