Next Article in Journal
Hybrid Cloud–Edge Architecture for Real-Time Cryptocurrency Market Forecasting: A Distributed Machine Learning Approach with Blockchain Integration
Next Article in Special Issue
Mathematical Modeling of Light-Powered Self-Adhesion of Peeling Strips via Abrupt Transition
Previous Article in Journal
Analysis of the Quasi-Concircular Curvature Tensor on Sequential Warped Product Manifolds
Previous Article in Special Issue
Mathematical Modeling of Signals for Weight Control of Vehicles Using Seismic Sensors
 
 
Font Type:
Arial Georgia Verdana
Font Size:
Aa Aa Aa
Line Spacing:
Column Width:
Background:
Article

The Effects of Shear Stress Memory and Variable Viscosity on Viscous Fluids Flowing Between Two Horizontal Parallel Plates

by
Dumitru Vieru
1,2,*,
Constantin Fetecau
3 and
Zulkhibri Ismail
4
1
Department of Mathematics, Saveetha School of Engineering, Saveetha Institute of Medical and Technical Sciences, Saveetha University, Chennai 602105, Tamil Nadu, India
2
Department of Theoretical Mechanics, Technical University of Iasi, 700050 Iasi, Romania
3
Academy of Romanian Scientists, 3 Ilfov, 050044 Bucharest, Romania
4
Centre for Mathematical Sciences, College of Computing and Applied Sciences, Universiti Malaysia Pahang Al-Sultan Abdullah, Lebuh Persiaran Tun Khalil Yaacob, Kuantan 26300, Pahang, Malaysia
*
Author to whom correspondence should be addressed.
Mathematics 2025, 13(18), 3043; https://doi.org/10.3390/math13183043
Submission received: 15 August 2025 / Revised: 9 September 2025 / Accepted: 18 September 2025 / Published: 21 September 2025

Abstract

This article investigates a mathematical model with the Caputo derivative for the transient unidirectional flow of an incompressible viscous fluid with pressure-dependent viscosity. The fluid flows in the spatial domain bounded by two parallel plates extended to infinity. The plates translate in their planes with time-dependent velocities, and the fluid adheres to the solid boundaries. The generalization of the model consists of formulating a fractional constitutive equation to introduce the memory effect into the mathematical model. In addition, the fluid’s viscosity is assumed to be pressure-dependent. More precisely, in this article, the viscosity is considered a power function of the vertical coordinate of the channel. Analytic solutions of the dimensionless initial and boundary value problems have been determined using the Laplace transform and Bessel equations. The inversion of Laplace transforms is conducted using both the methods of complex analysis and the Stehfest numerical algorithm. In addition, we discuss the explicit solution in some meaningful particular cases. Using numerical simulations and graphical representations, the results of the ordinary model ( α = 1 ) are compared with those of the fractional model ( 0 < α < 1 ) , highlighting the influence of the memory parameter on fluid behavior.

1. Introduction

In many fluid flow problems, the influence of gravity must be taken into account. One such example is the Benard convection problem, which exists in important flow problems in geophysics and astrophysics. It is also known that in elastodynamics or in geological fluid flows, the material moduli that characterize the fluid vary significantly with pressure. In such situations, the effects of gravity cannot be ignored a priori. In situations where the pressure range is significant, gravity effects can become pronounced; the pressure will vary along the direction in which gravity acts, and, consequently, the fluid’s viscosity will also vary significantly [1]. Since the properties of polymers depend on pressure, problems of processing polymeric materials have been intensively studied [2]. The flow of fluids with pressure-dependent viscosity between two parallel plane plates rotating about axes perpendicular to the plates, taking into account the effect of gravitational acceleration, was studied by Kannan and Rajagopal [3].
Alharbi et al. [4] investigated two-dimensional flows of a fluid with pressure-dependent viscosity through a porous structure with variable permeability. Exact solutions were obtained for a Riabouchinsky-type flow.
Vasudevaiah and Rajagopal [5] analytically studied flows of fluids with pressure-dependent viscosity in a pipe under sufficiently high pressures. The authors showed that the pressure depends logarithmically on the radial coordinate and exponentially on the axial coordinate. Bulicek et al. [6] investigated three-dimensional flows of a class of fluids with pressure- and shear-rate-dependent viscosity. The authors established the existence of a weak solution for the Cauchy problem for flows in unbounded domains. By using the perturbation method, Chen et al. [7] studied the electrokinetic flow of fluids with pressure-dependent viscosity in a nanotube. They found that pressure-dependent viscosity can enhance the magnitude of the streaming potential.
The Hele-Shaw flow of fluids whose viscosity depends on pressure, known as piezo-viscous fluids, near the tip of a sharp edge was investigated by Calusi and Palade [8] by considering both symmetric and antisymmetric two-dimensional flows. Using a procedure based on the method of separation of variables, the authors provided a general procedure to determine the pressure field of piezo-viscous fluids in Hele-Shaw flows.
Housiadas [9] studied the isothermal steady-state and pressure-driven flows of a Maxwell fluid in a straight channel and a circular tube under the assumption that the shear viscosity and the relaxation time of the fluid vary exponentially with pressure. Analytical solutions for the pressure and velocity fields were obtained by using a regular perturbation scheme with the non-dimensional pressure-viscosity coefficient as a small parameter. The author demonstrated that the pressure-dependent viscosity and relaxation time enhance the pressure gradient along the main flow direction, generate another along the wall-normal direction, and cause vertical motion of the fluid.
The mathematical modeling of physical phenomena using fractional calculus is a recent concern of researchers and has interesting applications in the description of viscoelasticity and diffusion problems [10,11,12]. By generalizing the rheological constitutive equations by replacing the integer derivative with respect to time with the fractional Caputo derivative, the memory formalism is introduced into the studied problem.
Garra and Polito [13] investigated a fractional model for the unidirectional unsteady flow of an incompressible viscous fluid with time-dependent viscosity described by the Riemann–Liouville fractional integral. The authors determined the analytical solution for the fluid velocity and investigated the influence of the memory kernel’s fractional order on the fluid motion. The transient flows of incompressible generalized upper-convected Maxwell fluids with pressure-dependent viscosity of exponential form within a rectangular channel were studied by Shah et al. [14]. The authors of this work considered memory effects by generalizing constitutive equations of Maxwell fluids in the form of fractional differential equations with the time-fractional Caputo–Fabrizio derivative. Numerical solutions for the fluid velocity and shear stress are determined using the Stehfest algorithm for the Laplace transform inversion coupled with an appropriate numerical algorithm for the Caputo–Fabrizio time-fractional derivative.
An interesting review of viscoelastic models based on fractional calculus is presented by Mainardi and Spada [15]. They analyzed fractional models in relation to relaxation and creep properties, as well as the variation in fluid viscosity. The authors of reference [15] generalized some classical mechanical models, namely the Kelvin–Voigt model, Maxwell, Zener, anti-Zener, and Burgerssi, and investigated the role of the fractional derivative order in modifying the properties of classical models related to viscosity, creep, and relaxation.
Liu and Jiang [16] developed a time-fractional coupled model to characterize the heat transfer and magneto-hydrodynamic flow of Maxwell fluids with a modified dynamic viscosity and formulated an efficient numerical algorithm suitable for the studied model.
In this paper, we analyze an uncertain unidirectional flow model of an incompressible fluid with pressure-dependent viscosity and examine the influence of stress memory. We primarily consider a generalized constitutive equation of viscous Newtonian fluids by introducing an integro-differential term that characterizes memory effects.
The proposed mathematical model introduces a rheology based on a generalized stress–strain relationship by means of integro-differential Riemann–Liouville and Caputo operators.
The flow domain is a spatial domain bounded by two horizontal, parallel flat plates extended to infinity. Both plates translate in their planes with time-dependent velocities, and the fluid does not slip on the solid boundaries.
The viscosity of the fluid is assumed to be pressure-dependent. More precisely, in this article, we consider the viscosity to be a power function of the channels’ vertical coordinate. Analytic solutions of the dimensionless initial and boundary value problems have been determined using the Laplace transform and Bessel equations. The inversion of Laplace transforms is conducted using both the methods of complex analysis and the Stehfest numerical algorithm. In addition, we discuss the explicit solution in some meaningful particular cases.
Using numerical simulations and graphical representations, the results of the ordinary model ( α = 1 ) are compared with those of the fractional model ( 0 < α < 1 ) , highlighting the influence of the memory parameter on fluid behavior.

2. Statement of the Problem

An incompressible viscous fluid fills the rectangular domain between two infinitely extended parallel horizontal plates located at distance d from each other. Let O X 1 X 2 X 3 be a Cartesian coordinate system with fundamental unit vectors E 1 ,   E 2 ,   E 3 . The unit vectors E 1 and E 2 are situated in the lower plate located in the plane X 3 = 0 . The unit vector E 3 is perpendicular to the two plates. The gravitational acceleration vector is g = g E 3 , and the flow domain is D = X 1 , X 2 , X 3 ,   X 1 , X 2 R 2 ,   X 3 [ 0 , d ] .
The Cauchy stress tensor of the viscous fluid studied in this paper is given by [1]
T = p ˜ I + Σ = p ˜ I + μ ˜ ( p ˜ ) A ,
where p ˜ is hydrostatic pressure, I is the unit tensor, A = V + V T is the first Rivlin–Ericksen tensor, and V = V i ( X 1 , X 2 , X 3 , t ˜ ) E i ,   i = 1 , 2 , 3 is the velocity vector field (the summation convention is accepted in our notations).
The function μ ˜ ( p ˜ ) in Equation (1) is the fluid viscosity, which is dependent on pressure according to the law [1,2]
μ ˜ ( p ˜ ) = μ 0 1 + λ ( p ˜ p 0 ) n ,   λ > 0 ,   n 0 ,
where μ 0 is the fluid viscosity at the reference pressure p 0 .
The continuity equation and the linear momentum balance are written as [1,6]
V i X i = 0 ,   i = 1 , 2 , 3 ,
ρ V j t ˜ + V i V j X i = p ˜ X j + Σ j i X i + f j ,   i , j = 1 , 2 , 3 ,
where ρ is the density of the fluid, and f 1 = 0 ,   f 2 = 0 ,   f 3 = ρ g ,   are the body force components.
We search for solutions of (3) and (4) of the form V = V ( X 3 ,   t ˜ ) , along with the initial and boundary conditions
V ( X 3 , 0 ) = 0 , V ( 0 , t ˜ ) = f ˜ 0 ( t ˜ ) E 1 , V ( d , t ˜ ) = f ˜ d ( t ˜ ) E 1 ,   t ˜ > 0 , p ˜ X 3 = d = p 0 ,   t ˜ > 0 ,
where f ˜ 0 ( t ˜ ) and f ˜ d ( t ˜ ) are differentiable functions and f ˜ 0 ( 0 ) = 0 , f ˜ 1 ( 0 ) = 0 .
From the above assumptions, it is easy to show that
V 1 = V 1 ( X 3 , t ˜ ) ,   V 2 = V 3 = 0 , p ˜ = ρ g ( d X 3 ) + p 0 .
Now, the initial-boundary value problem (3)–(5) reduces to
ρ V 1 ( X 3 , t ˜ ) t ˜ = Σ 13 ( X 3 , t ˜ ) X 3 , Σ 13 ( X 3 , t ˜ ) = μ ˜ ( p ˜ ) V 1 ( X 3 , t ˜ ) X 3 ,
V 1 ( X 3 , 0 ) = 0 ,   0 X 3 d , V 1 ( 0 , t ˜ ) = f ˜ 0 ( t ˜ ) ,   V 1 ( d , t ˜ ) = f ˜ d ( t ˜ ) ,   t ˜ > 0 .
By introducing the dimensionless quantities
z = X 3 d , u = V 1 V 0 , t = V 0 t ˜ d , p = p ˜ p 0 ρ d g = 1 z , τ = d Σ 13 μ 0 V 0 , R e = ρ d V 0 μ 0 , f 0 ( t ) = f ˜ 0 d t / V 0 , f 1 ( t ) = f ˜ d d t / V 0 ,
into Equations (7) and (8), we obtain the following dimensionless equations for the problem:
R e u ( z , t ) t = τ ( z , t ) z ,   τ ( z , t ) = μ ( z ) u ( z , t ) z , u ( z , 0 ) = 0 ,   0 z 1 , u ( 0 , t ) = f 0 ( t ) ,   u ( 1 , t ) = f 1 ( t ) , μ ( z ) = β ( 1 z ) + 1 n .
In the above relations, V 0 is the characteristic velocity, and Re is the Reynolds number and β = λ ρ g d .

Generalized Fractional Mathematical Model

Let us consider the mathematical model with the dimensional constitutive equation given by the following fractional differential equation:
Σ 13 ( X 3 , t ˜ ) = μ ˜ ( p ˜ ) σ 0 1 α D t ˜ 1 α C V 1 ( X 3 , t ˜ ) X 3 ,   0 < α 1 ,
where σ 0 is a material coefficient with the dimension of time and the differential operator D t ˜ α C φ ( X 3 , t ˜ ) means the time-fractional Caputo derivative operator defined by [17,18]
D t ˜ α C φ ( X 3 , t ˜ ) = t ˜ α Γ ( 1 α ) φ ( X 3 , t ˜ ) t ˜ ,   0 α < 1 ,   t ˜ > 0 , φ ( X 3 , t ˜ ) t ˜ ,   α = 1 ,   t ˜ > 0 .
The symbol “ ” signifies the convolution product.
The scaling coefficient σ 0 was introduced to ensure the dimensional homogeneity of Equation (11).
The nondimensional form of the constitutive Equation (11) is
τ ( z , t ) = σ 1 α μ ( z ) D t 1 α C u ( z , t ) z ,   0 < α 1 ,
where σ = V 0 σ 0 d .
The differential operator in Equation (13) can be written in the following equivalent form:
D t α C φ ( z , t ) = 0 t ( t s ) α Γ ( 1 α ) φ ( z , s ) s d s ,     0 < α < 1 , t > 0 .
Let us recall that the integral fractional operator is defined by
I t α φ ( z , t ) = t α 1 Γ ( α ) φ ( z , t ) = 1 Γ ( α ) 0 t ( t s ) α 1 φ ( z , s ) d s ,   α > 0 ,   t > 0 .
The Laplace transforms of convolutions (13) and (15) are
L D t α C φ ( z , t ) ( q ) = q α L φ ( z , t ) q α 1 φ ( z , 0 ) ,   0 < α 1 , L I t α φ ( z , t ) ( q ) = q α L φ ( z , t ) ,   α > 0 ,
where L φ ( z , t ) = 0 φ ( z , t ) exp ( q t ) d t = φ ( z , q ) is the Laplace transform of the function φ ( z , t ) , and q is the Laplace parameter.
Let us note that for α = 0 and φ ( z , 0 ) = 0 , the derivative defined by Equation (14) represents the function itself. Therefore, in the case of α = 1 , the generalized constitutive Equation (13) reduces to the ordinary constitutive Equation (10)2.
Using relations (13)–(16), it is easy to show that the following properties are true:
I t α D t α C φ ( z , t ) = φ ( z , t ) φ ( z , 0 ) , I t 1 α φ ( z , t ) t = D t α C φ ( z , t ) .
By using (13), the constitutive Equation (12) can be written in the following equivalent form:
τ ( z , t ) = σ 1 α Γ ( α ) μ ( z ) 0 t ( t s ) α 1 2 u ( z , s ) z s d s ,   0 < α 1 .
The constitutive equation considered in this article describes a process in which the history of the velocity gradient in the interval (0, t) influences the stress state from the moment t.
The first to consider a constitutive equation in which the stress is influenced by the history of velocity was Gerasimov [19] and he studied viscoelastic flows between two plates. An interesting discussion about the equation proposed by Gerasimov is made by Rogosin and Mainardi (see [20], Equations (10) and (11)).
On the other hand, fractional equations similar to the one proposed by us in this article can be found in articles that analyze processes by anomalous diffusion (for example [21], Equations (10.205), (10.209)).
Equation (18) clearly highlights the difference between the ordinary fluid model and the generalized model. In the ordinary model, the shear stress values at a fixed time t are given by the values of the velocity gradient, whereas in the generalized model, the shear stress values are determined not only by the velocity gradient but also by its history. The power memory kernel damps the values of the velocity gradient up to time t.

3. Solutions to the Problem

3.1. Solution of the Fractional Model

In this section, we will determine the solution of Equations (10)1 and (12), along with the initial and boundary conditions (10)3 and (10)4.
By inserting (12) into Equation (10)1, we obtain the fractional differential equation
R e u ( z , t ) t = z μ ( z ) D t 1 α C u ( z , t ) z .
Using relation (17), Equation (19) is written in the following equivalent form:
R e D t α C u ( z , t ) = z μ ( z ) u ( z , t ) z .
Applying the Laplace transform to Equation (20) and using formula (15), we obtain that the Laplace transform of the velocity field u ( z , t ) is the solution of the differential equation
μ ( z ) 2 u ( z , q ) z 2 + d μ ( z ) d z u ( z , q ) z + a ( q , α ) R e u ( r , q ) = 0
where u ( z , q ) is the Laplace transform of the function u ( z , t ) , and a ( q , α ) = q α σ α 1 .
In addition, the Laplace transform u ( z , q ) has to satisfy the boundary conditions
u ( 0 , q ) = f 0 ( q ) ,   u ( 1 , q ) = f 1 ( q ) .
By introducing the function μ ( z ) given by Equation (11) into Equation (21), we find the equation for u ( z , q ) :
β ( 1 z ) + 1 n 2 u ( z , q ) z 2 β n β ( 1 z ) + 1 n 1 u ( z , q ) z + a ( q , α ) R e u ( z , q ) = 0 .
By inserting the function u ( z , q ) = β ( 1 z ) + 1 1 n 2 U ( z , q ) , Equation (23) becomes
β ( 1 z ) + 1 2 2 U ( z , q ) z 2 β β ( 1 z ) + 1 U ( z , q ) z + a ( q , α ) R e β ( 1 z ) + 1 2 n β ( n 1 ) 2 2 U ( z , q ) = 0 .

3.1.1. The Case of n 2

Using the new variable ζ , defined as
ζ = 2 a ( q , α ) R e β ( 2 - n ) β ( 1 z ) + 1 2 n 2
and noting V ( ζ , q ) = U ζ 1 ( z ) , q , Equation (24) becomes
ζ 2 2 V ( ζ , q ) ζ 2 + ζ V ( ζ , q ) ζ + ζ 2 n 1 2 n 2 V ( ζ , q ) = 0 ,
which is a Bessel equation. The general solution of Equation (26) is given by
V ( ζ , q ) = A ( q ) J ν ( ζ ) + B ( q ) Y ν ( ζ ) ,
where
ν = n 1 2 n
and A ( q ) ,   B ( q ) are integration constants determined from the boundary conditions.
Using (25) and (27), we obtain the Laplace transform of the fluid velocity as
u ( z , q ) = β ( 1 z ) + 1 1 n 2 A ( q ) J ν b n ( q , α ) β ( 1 z ) + 1 2 n 2 + B ( q ) Y ν b n ( q , α ) β ( 1 z ) + 1 2 n 2 ,
where
b n ( q , α ) = 2 a ( q , α ) R e β ( 2 n )
By imposing the boundary conditions (19), the following expressions for the functions A ( q ) and B ( q ) are obtained:
A ( q ) = f 0 ( q ) ( β + 1 ) n 1 2 Y ν ( b n ( q , α ) ) f 1 ( q ) Y ν ( β n b n ( q , α ) ) J v ( β n b n ( q , α ) ) Y ν ( b n ( q , α ) ) J v ( b n ( q , α ) ) Y ν ( β n b n ( q , α ) ) , B ( q ) = f 0 ( q ) ( β + 1 ) n 1 2 J ν ( b n ( q , α ) ) + f 1 ( q ) J ν ( β n b n ( q , α ) ) J v ( β n b n ( q , α ) ) Y ν ( b n ( q , α ) ) J v ( b n ( q , α ) ) Y ν ( β n b n ( q , α ) ) ,   β n = ( β + 1 ) 2 n 2 .
To determine the inverse Laplace transform of function (29), we will use the residue theorem in complex analysis. First, using the relations in (31), we write function (29) in the following equivalent form:
u ( z , q ) = h ( z ) g n ( z ) ( β + 1 ) n 1 2 f 0 ( q ) × Y ν ( b n ( q , α ) ) J ν ( b n ( q , α ) g n ( z ) ) J ν ( b n ( q , α ) ) Y ν ( b n ( q , α ) g n ( z ) ) J ν ( β n b n ( q , α ) ) Y ν ( b n ( q , α ) ) J ν ( b n ( q , α ) ) Y ν ( β n b n ( q , α ) ) + h ( z ) g n ( z ) f 1 ( q ) × J ν ( β n b n ( q , α ) ) Y ν ( b n ( q , α ) g n ( z ) ) J ν ( b n ( q , α ) g n ( z ) ) Y ν ( β n b n ( q , α ) ) J ν ( β n b n ( q , α ) ) Y ν ( b n ( q , α ) ) J ν ( b n ( q , α ) ) Y ν ( β n b n ( q , α ) ) ,
where
h ( z ) = β ( 1 z ) + 1 1 / 2 ,   g n ( z ) = β ( 1 z ) + 1 2 n 2 .
For each fixed n, n 2 , we use r n k ,   k = 1 , 2 , ... , to denote the positive roots of the transcendental equation
J ν ( β n   r ) Y ν ( r ) J ν ( r ) ) Y ν ( β n   r ) = 0 .
For each fixed value of the index n , we denote by f n ( r ) the function defined by f n ( r ) = J ν ( β n r ) Y ν ( r ) J ν ( r ) Y ν ( β n r ) . The r n k , k = 1 , 2 , ... positive roots of this function are determined using the “ r o o t ( f n ( r ) , r , x n k , y n k ) “ subroutine in the MathCAD 15 software package. In the previous relation ( x n k , y n k ) is the interval that separates the root r n k .
The poles of the functions
F 1 ( z , q ) = Y ν ( b n ( q , α ) ) J ν ( b n ( q , α ) g n ( z ) ) J ν ( b n ( q , α ) ) Y ν ( b n ( q , α ) g n ( z ) ) J ν ( β n b n ( q , α ) ) Y ν ( b n ( q , α ) ) J ν ( b n ( q , α ) ) Y ν ( β n b n ( q , α ) ) = P 1 ( z , q ) A 0 ( q ) , F 2 ( z , q ) = J ν ( β n b n ( q , α ) ) Y ν ( b n ( q , α ) g n ( z ) ) J ν ( b n ( q , α ) g n ( z ) ) Y ν ( β n b n ( q , α ) ) J ν ( β n b n ( q , α ) ) Y ν ( b n ( q , α ) ) J ν ( b n ( q , α ) ) Y ν ( β n b n ( q , α ) ) = P 2 ( z , q ) A 0 ( q ) ,
are given by
q α = β 2 ( 2 n ) 2 r n k 2 4 R e σ α 1 , k = 1 , 2 , ...
namely
q n k = β 2 ( 2 n ) 2 r n k 2 4 R e σ α 1 1 α , k = 1 , 2 , ...
The residues of the functions F 1 ( z , q ) and F 2 ( z , q ) in the pole q n k ,   k = 1 , 2 , ... , are given by
R e s F j ( z , q ) ; q = q n k = P j ( z , q ) d A 0 ( q ) d q exp ( q t ) q = q n k , j = 0 , 1 ;   k = 1 , 2 , ...
By using the formulas [22,23]
J ν 1 ( z ) J ν + 1 ( z ) = 2 J ν ( z ) ,   Y ν 1 ( z ) Y ν + 1 ( z ) = 2 Y ν ( z ) , J ν 1 ( z ) + J ν + 1 ( z ) = 2 ν z J ν ( z ) ,   Y ν 1 ( z ) + Y ν + 1 ( z ) = 2 z Y ν ( z ) ,   z 0 , J ν ( z ) Y ν + 1 ( z ) J ν + 1 ( z ) Y ν ( z ) = 2 π z ,   z 0 ,
we obtain
d A 0 ( q ) d q q = q n k = α π q n k J ν ( β n r n k ) 2 J ν ( r n k ) 2 J ν ( β n r n k ) J ν ( r n k )
The calculations necessary to obtain relation (40) are presented in detail in Appendix A.
Therefore,
R e s F 1 ( z , q ) ; q = q n k = π q n k α J ν ( β n r n k ) J ν ( r n k ) exp ( q n k t ) J ν ( β n r n k ) 2 J ν ( r n k ) 2 × Y ν ( r n k ) J ν ( r n k g n ( z ) ) J ν ( r n k ) Y ν ( r n k g n ( z ) ) , R e s F 2 ( z , q ) ; q = q n k = π q n k α J ν ( β n r n k ) J ν ( r n k ) exp ( q n k t ) J ν ( β n r n k ) 2 J ν ( r n k ) 2 × J ν ( β n r n k ) Y ν ( r n k g n ( z ) ) J ν ( r n k g n ( z ) ) Y ν ( β n r n k ) .
The inverse Laplace transform of function (32) is given by
u ( z , t ) = h ( z ) g n ( z ) ( β + 1 ) n 1 2 k = 1 π q n k α J ν ( β n r n k ) J ν ( r n k ) f 0 ( t ) exp ( q n k t ) J ν ( β n r n k ) 2 J ν ( r n k ) 2 × Y ν ( r n k ) J ν ( r n k g n ( z ) ) J ν ( r n k ) Y ν ( r n k g n ( z ) ) + h ( z ) g n ( z ) k = 1 π q n k α J ν ( β n r n k ) J ν ( r n k ) f 1 ( t ) exp ( q n k t ) J ν ( β n r n k ) 2 J ν ( r n k ) 2 × J ν ( β n r n k ) Y ν ( r n k g n ( z ) ) J ν ( r n k g n ( z ) ) Y ν ( β n r n k ) .
In the above equation, the notation " " denotes the convolution operator, namely φ ( t ) ψ ( t ) = 0 t φ ( t τ ) ψ ( τ ) d τ .
In the following, we also present a numerical algorithm for determining the values of function (29) in the real domain. Based on the algorithm formulated by Stehfest [24], the values of the inverse Laplace transform of the function u ( z , q ) are given by the relation
u ( z , t ) ln ( 2 ) t j = 1 2 p ( 1 ) j + p i = j + 1 2 min ( j , p ) i p ( 2 i ) ! ( p i ) ! i ! ( i 1 ) ! ( j 1 ) ! ( 2 i j ) ! u z , j ln ( 2 ) t
where p is a strictly positive integer number, min ( j , p ) = 1 2 j + p j p , and x denotes the integer part of the real number x .
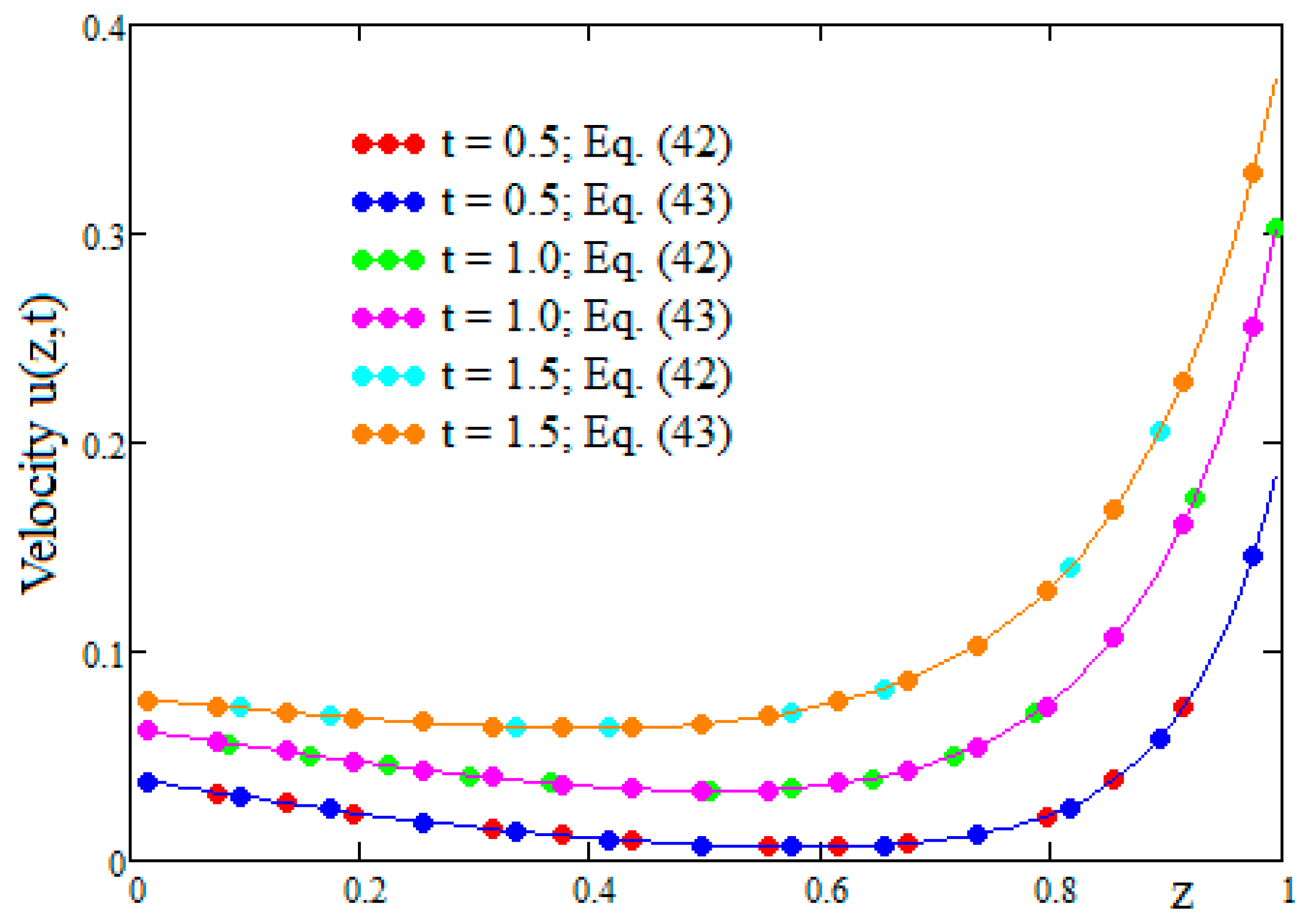
The values of the u ( z , t ) function determined with expressions (42) and (43) were used to draw the curves in Figure 1. Very good agreement is observed between the values obtained with the two expressions of velocity u ( z , t ) .

3.1.2. The Case of n = 2

For n = 2 , Equation (20) becomes
β ( 1 z ) + 1 2 2 u ( z , q ) z 2 2 β β ( 1 z ) + 1 u ( z , q ) z + a ( q , α ) R e u ( z , q ) = 0 .
By replacing the variable z with the new variable ξ , defined as
ξ = ln ( β ( 1 z ) + 1 ) ,
Equation (44) can be written as a differential equation with constant coefficients, namely
2 V ( ξ , q ) ξ 2 + V ( ξ , q ) ξ + a ( q , α ) R e β 2 V ( ξ , q ) = 0 ,
where V ( ξ , q ) = u β 1 ( β + 1 exp ( ξ ) , q .
Integrating Equation (46) and returning to the initial variable, we obtain the general solution of Equation (44), given by
u ( z , q ) = β ( 1 z ) + 1 1 / 2 C 1 ( q ) β ( 1 z ) + 1 φ ( q , α ) + C 2 ( q ) β ( 1 z ) + 1 φ ( q , α ) ,
where
φ ( q , α ) = 1 2 β β 2 4 a ( q , α ) R e .
By imposing boundary conditions (19), we find the following integration constants:
C 1 ( q , α ) = f 0 ( q ) ( β + 1 ) 1 2 f 1 ( q ) ( β + 1 ) φ ( q , α ) ( β + 1 ) φ ( q , α ) ( β + 1 ) φ ( q , α ) , C 2 ( q , α ) = f 0 ( q ) ( β + 1 ) 1 2 + f 1 ( q ) ( β + 1 ) φ ( q , α ) ( β + 1 ) φ ( q , α ) ( β + 1 ) φ ( q , α ) .
Even though the inverse Laplace transform of function (47) could be obtained with the methods of complex analysis, its form is too complicated to be useful for numerical simulations. For this reason, we prefer to perform numerical simulations in this case using the algorithm given by Equation (43).

4. The Particular Case of Ordinary Fluids (The Fractional Parameter α = 1 )

In this section, we will customize the solutions obtained in the previous section so that we can compare the solutions presented in this article with other previously published solutions for similar problems.
When the α fractional parameter is equal to 1, the generalized constitutive Equation (12) reduces to the ordinary one (10)2. Therefore, our solution (42) becomes
u ( z , t ) = π β 2 ( 2 n ) 2 4 R e h ( z ) g n ( z ) ( β + 1 ) n 1 2 k = 1 r n k 2 J ν ( β n r n k ) J ν ( r n k ) f 0 ( t ) exp ( q n k t ) J ν ( r n k ) 2 J ν ( β n r n k ) 2 × Y ν ( r n k ) J ν ( r n k g n ( z ) ) J ν ( r n k ) Y ν ( r n k g n ( z ) ) + π β 2 ( 2 n ) 2 4 R e h ( z ) g n ( z ) k = 1 r n k 2 J ν ( β n r n k ) J ν ( r n k ) f 1 ( t ) exp ( q n k t ) J ν ( r n k ) 2 J ν ( β n r n k ) 2 × J ν ( β n r n k ) Y ν ( r n k g n ( z ) ) J ν ( r n k g n ( z ) ) Y ν ( β n r n k ) , q n k = β 2 ( 2 n ) 2 r n k 2 4 R e .
The solution given by Equation (50) is equivalent to that obtained by Rajagopal et al. (see [1], Equation (27)).
If n = 2 , our solution given by Equation (47) is equivalent to those given by Rajagopal et al. (see Equation (30) from [1]) and Fetecau and Agop (see Equations (41) and (42) from [24]).
If the fluid viscosity depends linearly on the pressure, for n = 1 , our solution given by Equation (50) reduces to that obtained by Fetecau and Bridges (see Equation (37) from [25]).
The curves in Figure 2 were drawn to highlight the equivalence of the solution given by Equation (37) in reference [25] to our solution given by Equation (50) for n = 1 .
Let us also specify that if the viscosity depends on the pressure according to the power law with the index n = 4 / 3 , then our solution (50) becomes equivalent to that given by Equation (27) in reference [26].

5. Numerical Results and Discussion

In this article, we study the flows of a fluid in a domain determined by two parallel plates extended to infinity under the assumption that the fluid’s viscosity depends on pressure as a power function. The plates translate in their planes with time-dependent velocities, and the fluid does not slip on the two plates. A novelty of this article is that we consider a fluid model whose rheological equation includes the shear stress memory phenomenon. The constitutive equation is formulated using the Caputo fractional derivative and has the property that when the α fractional parameter is equal to 1, it reduces to the well-known equation of Newtonian fluids.
Using appropriate transforms of the variable, we showed that for the power function index n 2 , the differential equation determining the flow velocity is equivalent to a Bessel equation in the Laplace domain. The fluid velocity in the real domain was determined using both analytical methods from complex analysis and the Stehfest algorithm for the numerical inversion of Laplace transforms.
The numerical simulations and graphical representations aimed to highlight the effects of the fractional parameter on fluid behavior. Comparing the results corresponding to the values 0 < α < 1 with those corresponding to the case α = 1 highlights the significant differences between the two rheologies.
Figure 3a,b show contour plots of the velocity u(z,t) when z [ 0 , 1 ] and t [ 0 , 2.5 ] for two values of the fractional parameter α , namely, α = 0.3 and α = 1 . From these two figures, essential differences can be observed in the fluid motion modeled with and without the memory formalism. First, the areas corresponding to the maximum velocity (orange color) are significantly different in the two cases. This happens because the kernel of the fractional derivative damps the velocity gradient.
Let us mention that the velocities of the two plates considered in our analysis tend to become equal for large values of time t, and therefore, the smoothing of the fluid velocity in the time domain will be achieved. This is evident in Figure 3b. For t > 2.2 , the fluid velocity is the same at any position in the channel. This smoothing of flow velocity values is delayed by the memory effects introduced by fractional rheology, as seen in Figure 3a.
Figure 3c,d show the velocity profiles u ( z , t ) at different times for the fractional parameter values α = 0.3 and α = 1 . The curves in these figures show the same properties illustrated by Figure 3a,b. For example, in Figure 3d, the curve corresponding to the time value t = 2 is almost parallel to the horizontal axis, while the corresponding curve in Figure 3c does not have this property. The curves in Figure 3d show an attenuation of the fluid velocity compared to those in Figure 3c.
Contour plots and velocity profiles u ( z , t ) for z [ 0 , 1 ] , α [ 0 , 1 ] , and two time t values are shown in Figure 4a–d. As expected, the fluid located in the area close to the plate in the z = 1 plane moves very slowly because the velocity of this plate has small values for small time t values. These figures highlight the damping of the fluid motion due to the memory effect.
The curves in Figure 5 were drawn in order to highlight the influence of the β pressure parameter on the fluid velocity. The curves were drawn for the fractional parameter α = 0.5 and for three values of time t and of the pressure parameter α = 0.5 . It can be observed that for the analyzed case, the velocity values increase with the pressure parameter β .
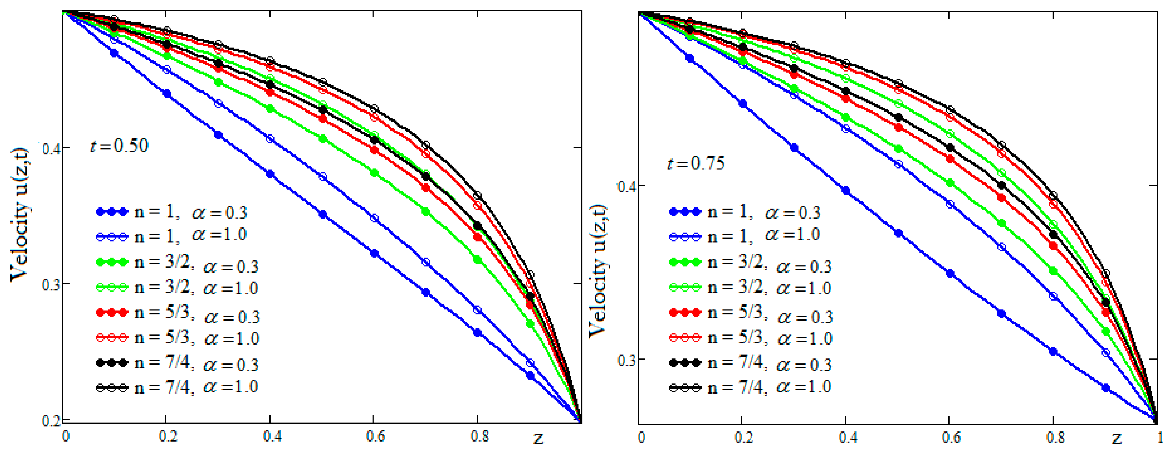
The influence of the power-law index of viscosity on fluid motion is highlighted by the curves in Figure 6. These curves were constructed for two values of the fractional parameter α , namely, α = 0.3 and α = 1 , and for two values of time t, t = 0.5 and t = 0.75 . Increasing the values of the parameter n causes an increase in the values of the fluid velocity for both the fluid with fractional rheology and the Newtonian fluid. As we have seen in the previous figures, the fluid with fractional rheology moves more slowly than the Newtonian fluid. This is because the velocity gradient is damped by the fractional derivative kernel.

6. Conclusions

This article presents an analytical study of the flow of a fluid with pressure-dependent viscosity in the form of a power law in a rectangular domain using a constitutive equation based on Caputo fractional derivatives.
The mathematical model studied in this paper includes the memory phenomenon in the fluid’s behavior.
The analytical solution for the fluid’s dimensionless velocity was determined in the general case for the coefficient characterizing the pressure dependence of viscosity.
By particularizing our solution, we were able to compare it with previously published solutions for a Newtonian fluid.
The fluid with fractional rheology moves more slowly than the Newtonian fluid. This is because in the considered rheological model, the kernel of the fractional derivative plays an essential role in damping the velocity gradient.

Author Contributions

Conceptualization, D.V. and C.F.; methodology, D.V. and C.F.; software, D.V. and Z.I.; validation, D.V., C.F. and Z.I.; formal analysis, D.V.; investigation, D.V., C.F. and Z.I.; resources, D.V. and Z.I.; data curation, D.V., C.F. and Z.I.; writing—original draft preparation, D.V. and Z.I.; writing—review and editing, D.V., Z.I. and C.F.; visualization, D.V. and Z.I.; supervision, D.V., C.F. and Z.I.; project administration, D.V. All authors have read and agreed to the published version of the manuscript.

Funding

This research received no external funding.

Data Availability Statement

The original contributions presented in this study are included in the article. Further inquiries can be directed to the corresponding author.

Conflicts of Interest

The authors declare no conflicts of interest.

Appendix A

Using the definition of function A 0 ( q ) and first two relation (39), we obtain
d A 0 ( q ) d q q = q n k = α β n b n ( q , α ) 4 q J ν 1 ( β n b n ( q , α ) ) Y ν ( b n ( q , α ) ) J ν ( b n ( q , α ) ) Y ν 1 ( β n b n ( q , α ) ) J ν + 1 ( β n b n ( q , α ) ) Y ν ( b n ( q , α ) ) J ν ( b n ( q , α ) ) Y ν + 1 ( β n b n ( q , α ) ) q = q n k + α b n ( q , α ) 4 q J ν ( β n b n ( q , α ) ) Y ν 1 ( b n ( q , α ) ) J ν 1 ( b n ( q , α ) ) Y ν ( β n b n ( q , α ) ) J ν ( β n b n ( q , α ) ) Y ν + 1 ( b n ( q , α ) ) J ν + 1 ( b n ( q , α ) ) Y ν ( β n b n ( q , α ) ) q = q n k
A direct calculation based on the second and third series of relations (39) and on relation (34) leads to the equality
d A 0 ( q ) d q q = q n k = α β n b n ( q , α ) 4 q 4 J ν ( b n ( q , α ) ) π β n b n ( q , α ) J ν ( β n b n ( q , α ) ) q = q n k + α b n ( q , α ) 4 q 4 J ν ( β n b n ( q , α ) ) π b n ( q , α ) J ν ( b n ( q , α ) ) q = q n k = α π q J ν 2 ( β n b n ( q , α ) ) J ν 2 ( ( q , α ) ) J ν ( β n b n ( q , α ) ) J ν ( b n ( q , α ) ) q = q n k

References

  1. Rajagopal, K.R.; Saccomandi, G.; Vergori, L. Unsteady flows of fluids with pressure dependent viscosity. J. Math. Anal. Appl. 2013, 404, 362–372. [Google Scholar] [CrossRef]
  2. Jones Parry, E.; Tabor, D. Pressure dependence of the shear modulus of various polymers. J. Mater. Sci. 1974, 9, 289–292. [Google Scholar] [CrossRef]
  3. Kannan, K.; Rajagopal, K.R. Flows of fluids with pressure dependent viscosities between rotating parallel plates. In New Trends in Mathematical Physics; Fergola, P., Gentile, M., Eds.; World Scientific: Singapore, 2005. [Google Scholar]
  4. Alharbi, S.O.; Alderson, T.L.; Hamdan, M.H. Riabouchinsky flow of a pressure-dependent viscosity fluid in porous media. Asian J. Appl. Sci. 2016, 4, 637–651. [Google Scholar]
  5. Vasudevaiah, M.; Rajagopal, K.R. On fully developed flows of fluids with a pressure dependent viscosity in a pipe. Appl. Math. 2005, 50, 341–353. [Google Scholar] [CrossRef][Green Version]
  6. Bulicek, M.; Majdoub, M.; Malek, J. Unsteady flows of fluids with pressure dependent viscosity in unbounded domains. Nonlinear Anal. Real World Appl. 2010, 11, 3968–3983. [Google Scholar] [CrossRef][Green Version]
  7. Chen, X.; Jian, Y.; Xie, Z. Electrokinetic flow of fluids with pressure dependent viscosity in a nanotube. Phys. Fluids. 2021, 33, 122002. [Google Scholar] [CrossRef]
  8. Calusi, B.; Palade, L.I. Modeling of a fluid with pressure-dependent viscosity in Hele-Shaw flow. Modeling 2024, 5, 1490–1504. [Google Scholar] [CrossRef]
  9. Housiadas, K.D. Internal viscoelastic flows for fluids with exponential type pressure-dependent viscosity and relaxation time. J. Rheol. 2015, 59, 769–791. [Google Scholar] [CrossRef]
  10. Mainardi, F. Fractional Calculus and Waves in Linear Viscoelasticity: An Introduction to Mathematical Models; World Scientific: Singapore, 2010. [Google Scholar] [CrossRef]
  11. Hristov, J. New perspectives of the Lambert-Widder transform: Singular non-local operators with exponential memory. Progr. Fract. Differ. Appl. 2025, 11, 547–584. [Google Scholar] [CrossRef]
  12. Hristov, J. Constitutive fractional modeling. In Mathematical Modeling: Principle and Theory; Dutta, H., Ed.; AMS Series Contemporary Mathematics; AMS Publication: Providence, RI, USA, 2023; Volume 786, pp. 37–140. [Google Scholar] [CrossRef]
  13. Garra, R.; Polito, F. Fractional calculus modelling for unsteady unidirectional flow of incompressible fluids with time-dependent viscosity. Commun. Nonlin. Sci. Numer. Simul. 2012, 17, 5073–5078. [Google Scholar] [CrossRef]
  14. Shah, N.A.; Chung, J.D.; Vieru, D.; Fetecau, C. Unsteady flows of Maxwell fluids with shear rate memory and pressure-dependent viscosity in a rectangular channel. Chaos Solitons Fractals 2021, 148, 111078. [Google Scholar] [CrossRef]
  15. Mainardi, F.; Spada, G. Creep, relaxation and viscosity properties for basic fractional models in rheology. Eur. Phys. J. Special Topics 2011, 193, 133–160. [Google Scholar] [CrossRef]
  16. Liu, Y.; Jiang, M. Magnetohydrodynamic analysis and fast calculation for fractional Maxwell fluid with adjusted dynamic viscosity. Magnetochemistry 2024, 10, 72. [Google Scholar] [CrossRef]
  17. Kilbas, A.A.; Srivastava, H.M.; Trujillo, J.J. Theory and Applications of Fractional Differential Equations. North Holl. Math. Stud. 2006, 204, 1–523. [Google Scholar]
  18. Sikora, B. Remarks on the Caputo fractional derivative. MINUT 2023, 5, 76–84. [Google Scholar]
  19. Gerasimov, A. Generalization of linear laws of deformation and its application to problems with internal friction. Prikl. Math. I Mekhanika 1948, 12, 251–260. (In Russian) [Google Scholar]
  20. Rogosin, S.; Mainardi, F. George William Scott Blair-the pioneer of fractional calculus in rheology. Comm. Appl. Ind. Math. 2014, 6, e681. [Google Scholar] [CrossRef]
  21. Hristov, J. Derivatives with non-singular kernels from the Caputo-Fabrizio definition and beyond: Appraising analysis with emphasis on diffusion models. In Frontiers in Fractional Calculus; Bhalekar, S., Ed.; Bentham Science Publishers: Oak Park, IL, USA, 2017; Volume I, pp. 270–342. [Google Scholar] [CrossRef]
  22. Watson, G.N. A Treatise on the Theory of Bessel Functions, 2nd ed.; Cambridge University Press: Cambridge, UK, 1966. [Google Scholar]
  23. Andrews, L.C. Special Functions of Mathematics for Engineers, 2nd ed.; McGrawHill: New York, NY, USA, 1992; pp. 237–284. [Google Scholar]
  24. Fetecau, C.; Agop, M. Exact solutions for oscillating motions of some fluids power-law dependence of viscosity on the pressure. Ann. Acad. Rom. Sci. Ser. Math. Appl. 2020, 12, 295–311. [Google Scholar] [CrossRef]
  25. Fetecau, C.; Bridges, C. Analytical solutions for some unsteady flows of fluids with linear dependence of viscosity on the pressure. Inverse Probl. Sci. Eng. 2020, 29, 378–395. [Google Scholar] [CrossRef]
  26. Fetecau, C.; Vieru, D. Exact solutions for unsteady motion between parallel plates of some fluids with power-law dependence of viscosity on the pressure. Appl. Eng. Sci. 2020, 1, 100003. [Google Scholar] [CrossRef]
Figure 1. Coincidence of velocity profiles given by Equations (42) and (43) for n = 3 / 2 ,   α = 1 ,   β = 5 ,   Re = 5 and f 0 ( t ) = 0.1 ( 1 e t ) ,   f 1 ( t ) = 0.5 ( 1 e t ) .
Figure 1. Coincidence of velocity profiles given by Equations (42) and (43) for n = 3 / 2 ,   α = 1 ,   β = 5 ,   Re = 5 and f 0 ( t ) = 0.1 ( 1 e t ) ,   f 1 ( t ) = 0.5 ( 1 e t ) .
Mathematics 13 03043 g001
Figure 2. Profiles of the velocity given by Equation (37) in [25] and Equation (50) in the present paper for n = 1 ,   β = 2 ,   Re = 5 and f 0 ( t ) = 0.1 ( 1 e t ) ,   f 1 ( t ) = 0 .
Figure 2. Profiles of the velocity given by Equation (37) in [25] and Equation (50) in the present paper for n = 1 ,   β = 2 ,   Re = 5 and f 0 ( t ) = 0.1 ( 1 e t ) ,   f 1 ( t ) = 0 .
Mathematics 13 03043 g002
Figure 3. Contour plot and profiles of velocity u ( z , t ) for n = 3 / 2 ,   β = 2 ,   Re = 5 ,   f 0 ( t ) = 0.5 ,   f 1 ( t ) = 0.5 ( 1 e t ) ,   α = 0.3 , σ = 0.2 , as well as α = 1 . (a) Contour plot of the velocity u(z,t) for α = 0.3 ; (b) Contour plot of the velocity u(z,t) for α = 1.0 ; (c) Velocity profiles for α = 0.3 ; (d) Velocity profiles for α = 1.0 .
Figure 3. Contour plot and profiles of velocity u ( z , t ) for n = 3 / 2 ,   β = 2 ,   Re = 5 ,   f 0 ( t ) = 0.5 ,   f 1 ( t ) = 0.5 ( 1 e t ) ,   α = 0.3 , σ = 0.2 , as well as α = 1 . (a) Contour plot of the velocity u(z,t) for α = 0.3 ; (b) Contour plot of the velocity u(z,t) for α = 1.0 ; (c) Velocity profiles for α = 0.3 ; (d) Velocity profiles for α = 1.0 .
Mathematics 13 03043 g003
Figure 4. Contour plot and profiles of velocity u ( z , t ) for n = 3 / 2 ,   β = 2 ,   Re = 5 ,   f 0 ( t ) = 0.5 ,   f 1 ( t ) = 0.5 ( 1 e t ) ,   t = 0.25 , σ = 0.2 as well as t = 1 . (a) Contour plot of the velocity u(z,t) for t = 0.25 ; (b) Contour plot of the velocity u(z,t) for t = 1.0 ; (c) Velocity profiles for t = 0.25 ; (d) Velocity profiles for t = 1.0 .
Figure 4. Contour plot and profiles of velocity u ( z , t ) for n = 3 / 2 ,   β = 2 ,   Re = 5 ,   f 0 ( t ) = 0.5 ,   f 1 ( t ) = 0.5 ( 1 e t ) ,   t = 0.25 , σ = 0.2 as well as t = 1 . (a) Contour plot of the velocity u(z,t) for t = 0.25 ; (b) Contour plot of the velocity u(z,t) for t = 1.0 ; (c) Velocity profiles for t = 0.25 ; (d) Velocity profiles for t = 1.0 .
Mathematics 13 03043 g004
Figure 5. Influence of the β parameter on the fluid velocity for n = 3 / 2 ,   α = 0.5 ,   Re = 5 ,   f 0 ( t ) = 0.5 ,   f 1 ( t ) = 0.5 ( 1 e t ) and for different values of time t.
Figure 5. Influence of the β parameter on the fluid velocity for n = 3 / 2 ,   α = 0.5 ,   Re = 5 ,   f 0 ( t ) = 0.5 ,   f 1 ( t ) = 0.5 ( 1 e t ) and for different values of time t.
Mathematics 13 03043 g005
Figure 6. The influence of the n parameter on the fluid velocity for β = 6 ,   Re = 5 ,   f 0 ( t ) = 0.5 ,   f 1 ( t ) = 0.5 ( 1 e t ) .
Figure 6. The influence of the n parameter on the fluid velocity for β = 6 ,   Re = 5 ,   f 0 ( t ) = 0.5 ,   f 1 ( t ) = 0.5 ( 1 e t ) .
Mathematics 13 03043 g006
Disclaimer/Publisher’s Note: The statements, opinions and data contained in all publications are solely those of the individual author(s) and contributor(s) and not of MDPI and/or the editor(s). MDPI and/or the editor(s) disclaim responsibility for any injury to people or property resulting from any ideas, methods, instructions or products referred to in the content.

Share and Cite

MDPI and ACS Style

Vieru, D.; Fetecau, C.; Ismail, Z. The Effects of Shear Stress Memory and Variable Viscosity on Viscous Fluids Flowing Between Two Horizontal Parallel Plates. Mathematics 2025, 13, 3043. https://doi.org/10.3390/math13183043

AMA Style

Vieru D, Fetecau C, Ismail Z. The Effects of Shear Stress Memory and Variable Viscosity on Viscous Fluids Flowing Between Two Horizontal Parallel Plates. Mathematics. 2025; 13(18):3043. https://doi.org/10.3390/math13183043

Chicago/Turabian Style

Vieru, Dumitru, Constantin Fetecau, and Zulkhibri Ismail. 2025. "The Effects of Shear Stress Memory and Variable Viscosity on Viscous Fluids Flowing Between Two Horizontal Parallel Plates" Mathematics 13, no. 18: 3043. https://doi.org/10.3390/math13183043

APA Style

Vieru, D., Fetecau, C., & Ismail, Z. (2025). The Effects of Shear Stress Memory and Variable Viscosity on Viscous Fluids Flowing Between Two Horizontal Parallel Plates. Mathematics, 13(18), 3043. https://doi.org/10.3390/math13183043

Note that from the first issue of 2016, this journal uses article numbers instead of page numbers. See further details here.

Article Metrics

Back to TopTop