Q-Function-Based Diagnostic and Spatial Dependence in Reparametrized t-Student Linear Model
Abstract
1. Introduction
2. Materials and Methods
2.1. The t-Student Spatial Linear Model
2.2. Maximum Likelihood Estimation
- ,
- , , .
- ,
- ,
- where for , , and .
2.3. Iterative Algorithm
- step: Define an initial shot to the parameter to be estimated , in what . In this study, we choose to define the initial parameters and , obtaining them in a regression model with a normal distribution, and is fixed and defined for all iterations, which will later be chosen by the cross-Validation criterion () and Trace () presented in the selection of the parameter of form section.
- step: We calculate the following Equations from the initial parameters obtained from the step:, in which is fixed on the initial shot.,,,,,,where is the covariance function that depends on the exponential, Gaussian, or Matérn family models, where is introduced by [9]. Verify that these equations calculated in the step are being considered as initials where .
- step: from this moment, we will update the parameters to where . Consider the following procedures:
- step: Updating the linear parameters and of , through the linear system (9):where the matrix of order , with elements and a vector of order with elements , where correspond to , , , to the vector and .
- step: Getting from the steps , we update , which will be used to update the parameter , by the expression given in Equation (10) by:
- step: the iteration ends, defining , obtained by updating step and step . From apply the convergence criterion that is defined for this algorithm: if as and are fixed, only verify the convergence to and () or stop and define , otherwise return to the step. Having and constant tolerance. In general, typical tolerance values are and , respectively.
2.4. Asymptotic Standard Error Estimation
2.5. Selection of the Parameter of Form
2.6. QQ-Plot
2.7. Influence Diagnostics
2.8. Global Influence
2.8.1. Global Influence Based on the Likelihood
2.8.2. Global Influence Based on the Q-Function
2.9. Local Influence Diagnostics
2.9.1. Likelihood Displacement Diagnostics
2.9.2. Q-Function Based Diagnostics
2.10. Generalized Leverage
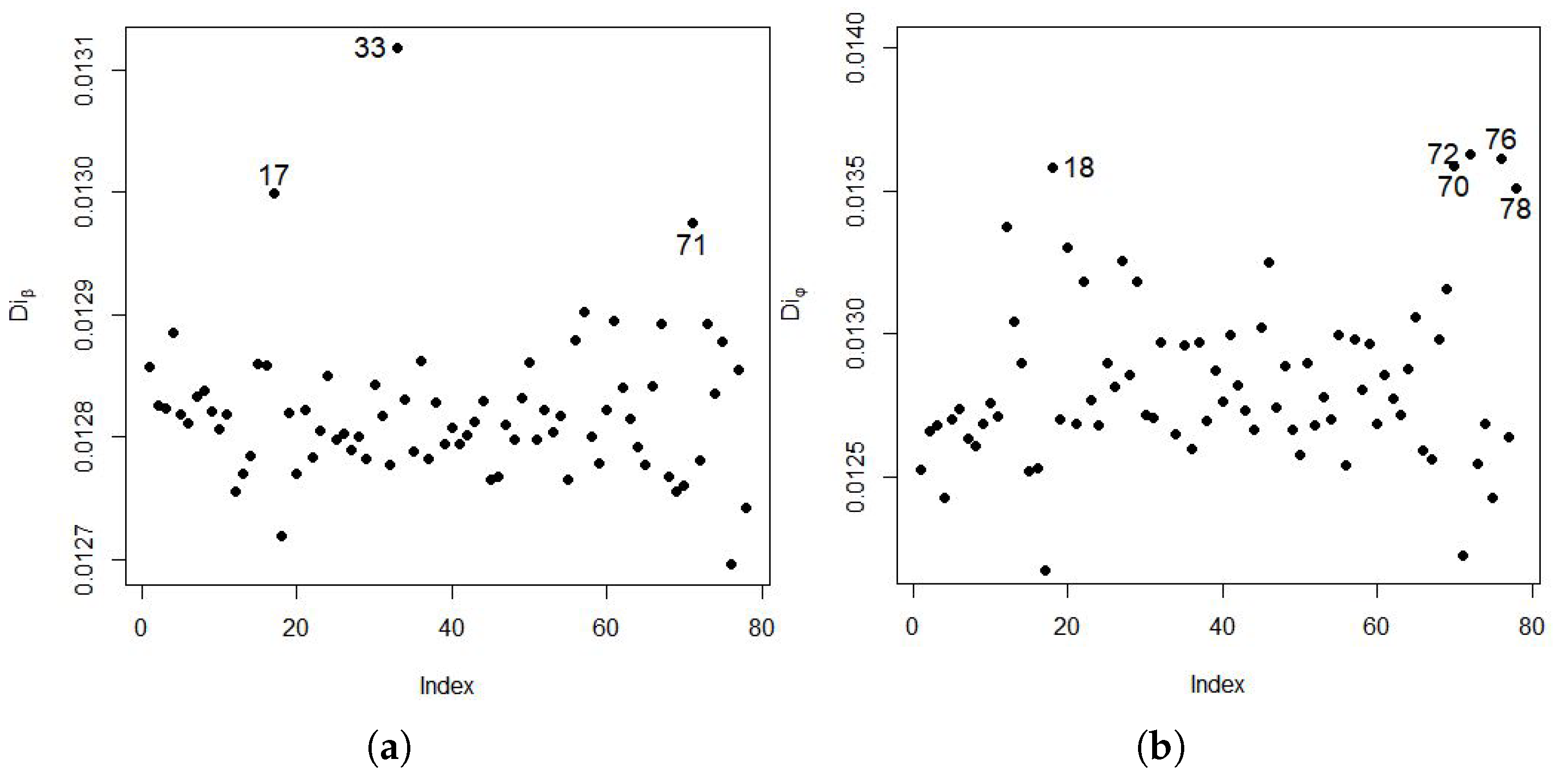
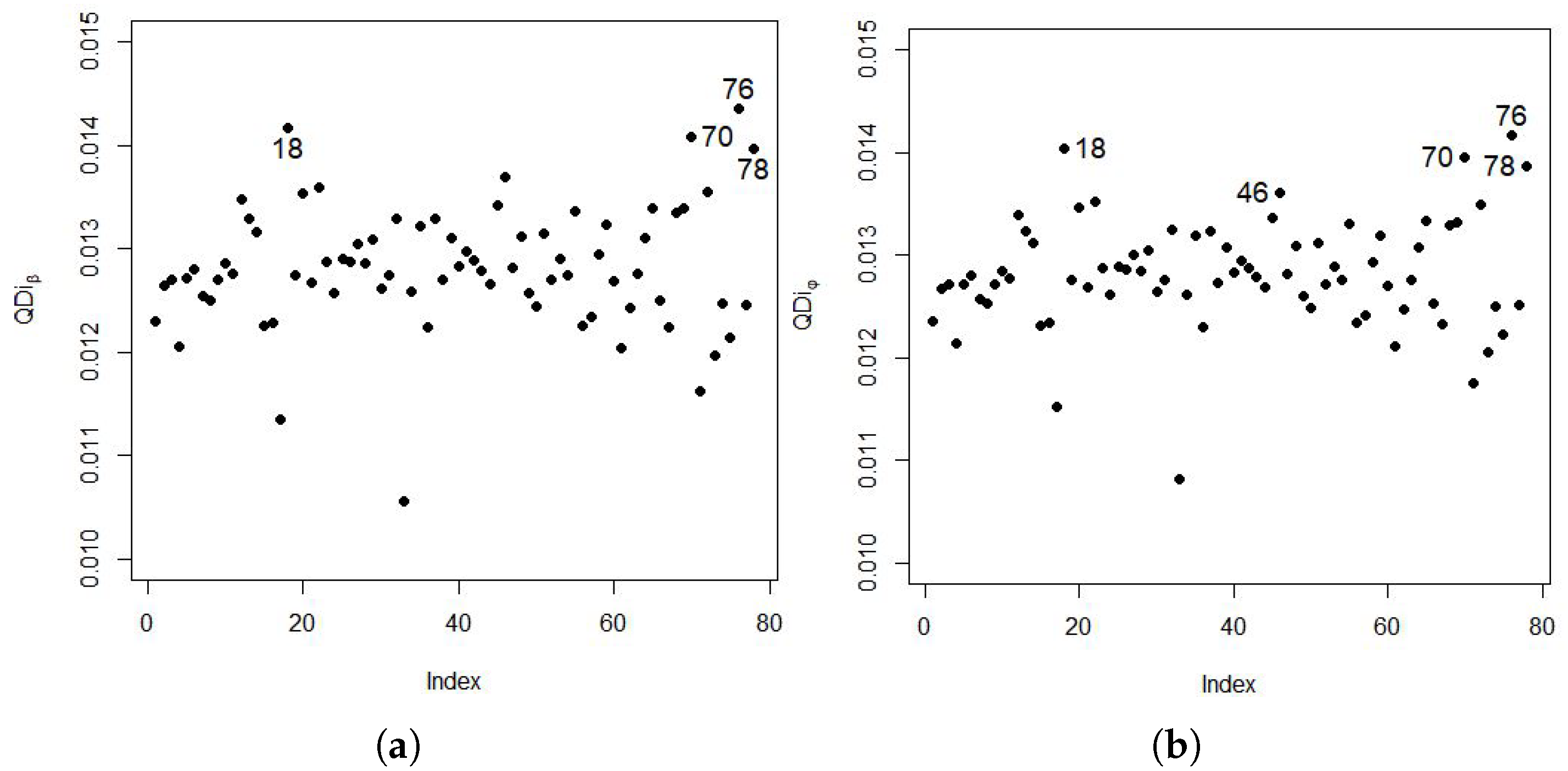
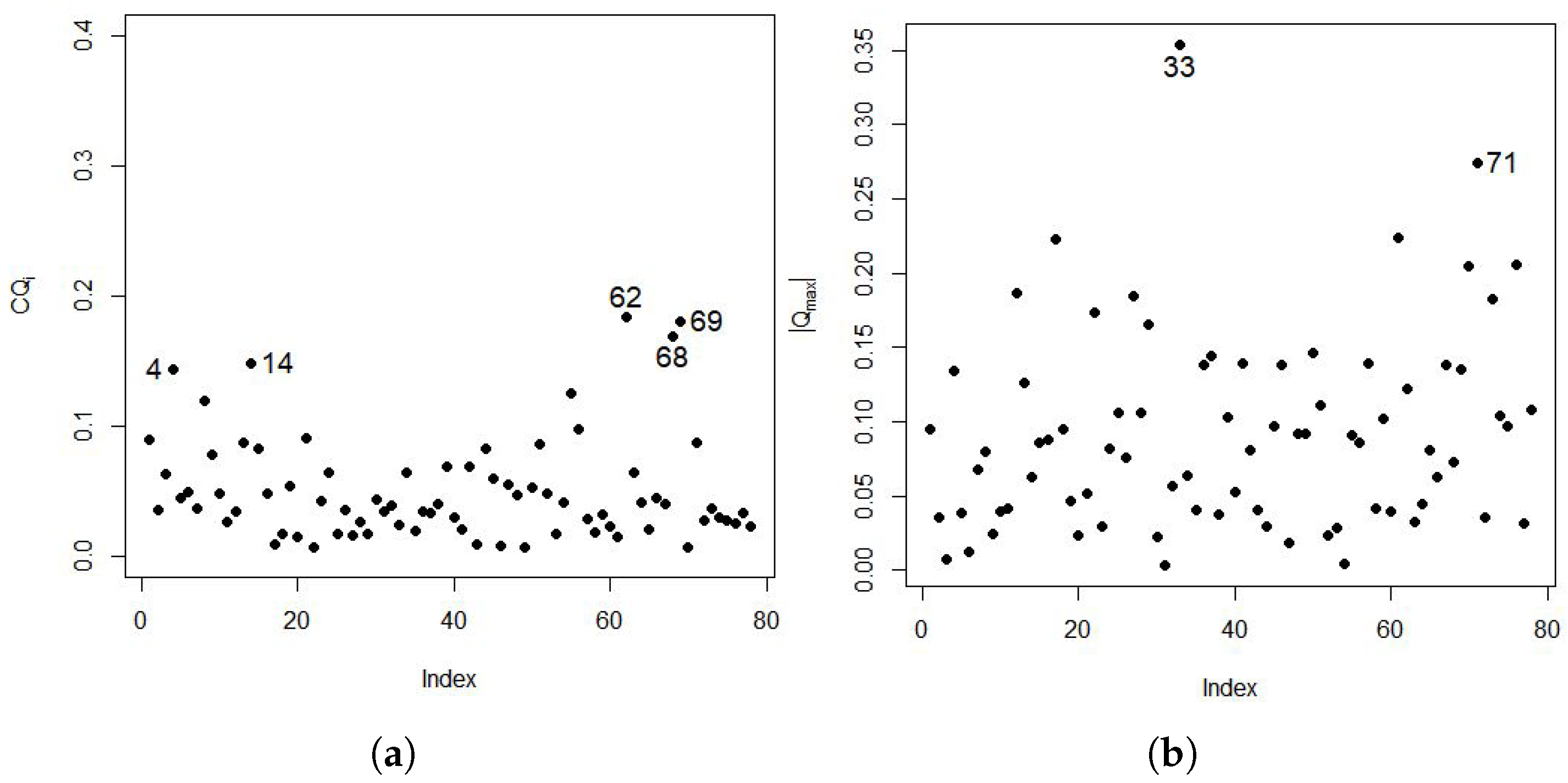
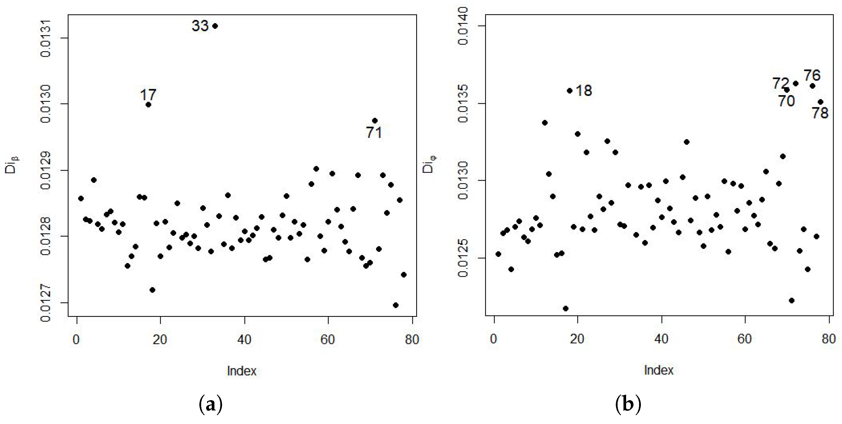
3. Results
Application to Real Data Set
4. Discussion
5. Conclusions
Author Contributions
Funding
Data Availability Statement
Acknowledgments
Conflicts of Interest
Abbreviations
| AG | Global accuracy |
| CV | cross-validation criterion |
| DMUs | Differentiated management units |
| K | Potassium |
| Model parameter Matérn | |
| Kp | Kappa |
| ML | Maximum likelihood |
| n | Number of observations |
| OM | Organic matter |
| P | Phosphorus |
| pH | Hydrogen potential |
| Prod | Productivity |
| T | Tau |
| Tr | Trace |
References
- Galea, M.; Bolfarine, H.; Vilcalabra, F. Influence diagnostics for the structural errors-in-variables model under the Student-t distribution. J. Appl. Stat. 2002, 29, 1191–1204. [Google Scholar] [CrossRef]
- Galea, M.; de Castro, M. Robust inference in a linear functional model with replications using the t distribution. J. Multivar. Anal. 2017, 160, 134–145. [Google Scholar] [CrossRef]
- Martínez, S.; Giraldo, R.; Leiva, V. Birnbaum–Saunders functional regression models for spatial data. Stoch. Environ. Res. Risk Assess. 2019, 33, 1765–1780. [Google Scholar] [CrossRef]
- Ordoñez, J.A.; Prates, M.O.; Matos, L.A.; Lachos, V.H. Objective Bayesian analysis for spatial Student-t regression models. J. Spat. Sci. 2020. [Google Scholar] [CrossRef]
- Lange, K.L.; Little, R.J.A.; Taylor, J.M.G. Robust statistical modeling using the t distribution. JASA 1989, 84, 881–896. [Google Scholar] [CrossRef]
- Uribe-Opazo, M.A.; De Bastiani, F.; Galea, M.; Schemmer, R.C.; Assumpção, R.A.B. Appropriate perturbation scheme for the covariance matrix of a t-Student spatial linear model. Spat. Stat. 2021, 41, 100481. [Google Scholar] [CrossRef]
- Richetti, J.; Uribe-Opazo, M.A.; De Bastiani, F.; Johann, J.S. Techniques for detection of influencing points in regionalized continuous variables. Eng. Agríc. 2016, 36, 152–165. [Google Scholar] [CrossRef]
- Osorio, F.; Paula, G.A.; Galea, M. Assessment of local influence in elliptical linear models with longitudinal structure. Comput. Stat. Data Anal. 2007, 51, 4354–4368. [Google Scholar] [CrossRef]
- Uribe-Opazo, M.A.; Borssoi, J.A.; Galea, M. Influence diagnostics in Gaussian spatial linear models. J. Appl. Stat. 2012, 39, 615–630. [Google Scholar] [CrossRef]
- De Bastiani, F.; Galea, M.; Cysneiros, A.H.M.A.; Uribe-Opazo, M.A. Gaussian spatial linear models with repetitions: An application to soybean productivity. Spat. Stat. 2017, 21, 319–335. [Google Scholar] [CrossRef]
- De Bastiani, F.; Uribe-Opazo, M.A.; Galea, M.; Cysneiros, A.H.M.A. Case-deletion diagnostics for spatial linear mixed models. Spat. Stat. 2018, 28, 284–303. [Google Scholar] [CrossRef]
- Lachos, V.H.; Matos, L.A.; Barbosa, T.S.; Garay, A.M.; Dey, D.K. Influence diagnostics in spatial models with censored response. Environmetrics 2017, 28, e2464. [Google Scholar] [CrossRef]
- Zhu, H.; Lee, S.; Wei, B.; Zhou, J. Case-Deletion Measures for Models with Incomplete Data. Biometrika 2001, 88, 727–737. [Google Scholar] [CrossRef]
- Osorio, F. MVT: Estimation and Testing for the Multivariate t-Distribution. R Package Version 0.3-8. 2023. Available online: https://CRAN.R-project.org/package=MVT (accessed on 1 August 2024).
- Mardia, K.V.; Marshall, R.J. Maximum likelihood estimation of models for residual covariance in spatial regression. Biometrika 1984, 71, 135–146. [Google Scholar] [CrossRef]
- Stein, M.L. Interpolation of Spatial Data: Some Theory for Kriging; Springer Science & Business Media: Berlin/Heidelberg, Germany, 2012; pp. 1–249. [Google Scholar]
- Acosta, J.; Osorio, F.; Vallejos, R. Effective sample size for line transect sampling models with an application to marine macroalgae. J. Agric. Biol. Environ. Stat. 2016, 21, 407–425. [Google Scholar] [CrossRef]
- Waller, L.A.; Gotway, C.A. Applied Spatial Statistics for Public Health Data; John Wiley & Sons: Hoboken, NJ, USA, 2004; p. 368. [Google Scholar]
- Magnus, J.R.; Neudecker, H. Matrix Differential Calculus with Applications in Statistics and Econometrics; John Wiley & Sons: Hoboken, NJ, USA, 2019; p. 479. [Google Scholar]
- Zellner, A. Bayesian and non-Bayesian analysis of the regression model with multivariate Student-t error terms. JASA 1976, 71, 400–405. [Google Scholar] [CrossRef]
- De Bastiani, F.; Cysneiros, A.H.L.A.; Uribe-Opazo, M.A.; Galea, M. Influence diagnostics in elliptical spatial linear models. Test 2015, 4, 322–340. [Google Scholar] [CrossRef]
- Kano, Y.; Berkane, M.A.; Bentler, M. Statistical inference based on pseudo-maximum likelihood estimators in elliptical populations. JASA 1993, 88, 135–143. [Google Scholar]
- Matérn, B. Spatial Variation; Lecture Notes in Statistics; Springer: Berlin/Heidelberg, Germany, 1986; Volume 36. [Google Scholar]
- Dalposso, G.H.; Uribe-Opazo, M.A.; Johann, J.A.; Galea, M.; De Bastiani, F. Gaussian spatial linear model of soybean yield using bootstrap methods. Eng. Agríc. 2018, 38, 110–116. [Google Scholar] [CrossRef]
- Almeida, A.; Loy, A.; Hofnann, H. ggplo2 compatible quanttile-quantile plots in R. R J. 2018, 10, 248–261. [Google Scholar]
- Wickham, H. ggplot2. Wiley Interdiciplinary Rev. Stat. 2011, 3, 180–185. [Google Scholar] [CrossRef]
- Cook, R.D.; Weisberg, S. Residuals and Influence in Regression; Chapman and Hall: New York, NY, USA, 1982. [Google Scholar]
- Chatterjee, S.; Hadi, A.S. Sensitivity Analysis in Linear Regression; John Wiley & Sons: Hoboken, NJ, USA, 1986; p. 327. [Google Scholar]
- Christensen, R.; Johnson, W.; Pearson, L.M. Brediction diagnostics for spatial linear models. Biometrika 1992, 79, 583–591. [Google Scholar] [CrossRef]
- Pan, J.; Fei, Y.; Foster, P. Case-deletion diagnostics for linear mixed models. Technometrics 2014, 56, 269–281. [Google Scholar] [CrossRef][Green Version]
- Cook, R.D. Detection of influential observation in linear regression. Technometrics 1977, 19, 15–18. [Google Scholar] [CrossRef]
- Zhu, H.; Lee, S. Local influence for incomplete data models. J. R. Stat. Soc. B Stat. Methodol. 2001, 63, 11–126. [Google Scholar] [CrossRef]
- Cook, R.D. Assessment of local influence. J. R. Stat. Soc. B Methodol. 1986, 48, 133–155. [Google Scholar] [CrossRef]
- Zhu, H.; Ibrahim, J.G.; Lee, S.; Zhang, H. Perturbation selection and influence measures in local influence analysis. Ann. Stat. 2007, 35, 2565–2588. [Google Scholar] [CrossRef]
- Verbeke, G.; Molenberghs, G. Linear Mixed Models for Longitudinal Data; Springer Science & Business Media: Berlin/Heidelberg, Germany, 2009. [Google Scholar]
- Poon, W.Y.; Poon, Y.S. Conformal normal curvature and assessment of local influence. Stat. Methol. 1999, 61, 51–61. [Google Scholar] [CrossRef]
- Hoaglin, D.C.; Welsch, R.E. The hat matrix in regression and ANOVA. Ann. Stat. 1978, 32, 17–22. [Google Scholar] [CrossRef]
- St Laurent, R.T.; Cook, R.D. Leverage and superleverage in nonlinear regression. JASA 1992, 87, 985–990. [Google Scholar] [CrossRef]
- Wei, X.; Samarabandu, J.; Devdhar, R.S.; Siegel, A.J.; Acharya, R.; Berezney, R. Segregation of transcription and replication sites into higher order domains. Science 1998, 281, 1502–1505. [Google Scholar] [CrossRef] [PubMed]
- Anderson, J.R. A Land Use and Land Cover Classification System for Use with Remote Sensor Data; US Government Printing Office: Washinton, DC, USA, 1976; p. 964.
- Krippendorff, K. Content Analysis: An Introduction to Its Methodology; Sage Publications: Thousand Oaks, CA, USA, 1980. [Google Scholar]
- De Bastiani, F.; Uribe-Opazo, M.A.; Dalposso, G.H. Comparison of maps of spatial variability of soil resistance to penetration constructed with and without covariables using a spatial linear model. Eng. Agríc. 2012, 32, 393–404. [Google Scholar] [CrossRef]








| Prod | P | K | pH | OM | |
|---|---|---|---|---|---|
| n | 78 | 78 | 78 | 78 | 78 |
| Average | 2.37 | 19.19 | 0.31 | 4.82 | 50.63 |
| Minimum | 1.87 | 3.40 | 0.10 | 4.20 | 38.62 |
| Maximum | 3.18 | 58.60 | 0.67 | 6.10 | 66.37 |
| Median | 2.33 | 16.90 | 0.28 | 4.75 | 50.81 |
| 0.5 | ||||||||
| 1.0 | ||||||||
| 1.5 | ||||||||
Disclaimer/Publisher’s Note: The statements, opinions and data contained in all publications are solely those of the individual author(s) and contributor(s) and not of MDPI and/or the editor(s). MDPI and/or the editor(s) disclaim responsibility for any injury to people or property resulting from any ideas, methods, instructions or products referred to in the content. |
© 2025 by the authors. Licensee MDPI, Basel, Switzerland. This article is an open access article distributed under the terms and conditions of the Creative Commons Attribution (CC BY) license (https://creativecommons.org/licenses/by/4.0/).
Share and Cite
Uribe-Opazo, M.A.; Schemmer, R.C.; De Bastiani, F.; Galea, M.; Assumpção, R.A.B.; Maltauro, T.C. Q-Function-Based Diagnostic and Spatial Dependence in Reparametrized t-Student Linear Model. Mathematics 2025, 13, 3035. https://doi.org/10.3390/math13183035
Uribe-Opazo MA, Schemmer RC, De Bastiani F, Galea M, Assumpção RAB, Maltauro TC. Q-Function-Based Diagnostic and Spatial Dependence in Reparametrized t-Student Linear Model. Mathematics. 2025; 13(18):3035. https://doi.org/10.3390/math13183035
Chicago/Turabian StyleUribe-Opazo, Miguel A., Rosangela C. Schemmer, Fernanda De Bastiani, Manuel Galea, Rosangela A. B. Assumpção, and Tamara C. Maltauro. 2025. "Q-Function-Based Diagnostic and Spatial Dependence in Reparametrized t-Student Linear Model" Mathematics 13, no. 18: 3035. https://doi.org/10.3390/math13183035
APA StyleUribe-Opazo, M. A., Schemmer, R. C., De Bastiani, F., Galea, M., Assumpção, R. A. B., & Maltauro, T. C. (2025). Q-Function-Based Diagnostic and Spatial Dependence in Reparametrized t-Student Linear Model. Mathematics, 13(18), 3035. https://doi.org/10.3390/math13183035

