Next Issue
Volume 16, March
Previous Issue
Volume 16, January
 
 

Minerals, Volume 16, Issue 2 (February 2026) – 107 articles

Cover Story (view full-size image): A seafloor geological survey of the Tosa Megamullion was conducted by the crewed submersible Shinkai 6500 during the YK23-10S cruise. The Tosa Megamullion, located in the Shikoku Basin of the Philippine Sea, is a well-exposed oceanic core complex formed during the early stage of back-arc basin spreading. Dive observations and sampling revealed exposures of mantle peridotites and lower crustal gabbros along detachment fault surfaces, providing direct evidence of large-scale lithospheric extension and exhumation. Microstructural and petrological analyses indicate high-temperature mylonitic deformation of peridotites, followed by localized brittle deformation and hydrothermal alteration during exhumation. These findings improve our understanding of oceanic core complex evolution and mantle exhumation beneath back-arc spreading centers. This study was supported by The University of Tokyo. View this paper
  • Issues are regarded as officially published after their release is announced to the table of contents alert mailing list.
  • You may sign up for e-mail alerts to receive table of contents of newly released issues.
  • PDF is the official format for papers published in both, html and pdf forms. To view the papers in pdf format, click on the "PDF Full-text" link, and use the free Adobe Reader to open them.
Order results
Result details
Section
Select all
Export citation of selected articles as:
20 pages, 7139 KB  
Article
Detrital Zircon Trace Elements, U-Pb Geochronology and Its Geological Significance of the “Huoshan Sandstone” in Xiweikou Area of the Eastern Margin of Ordos Basin
by Chenglong Wang, Chengqian Tan, Chuang Zhang, Xue Zhou and Liangliang Wang
Minerals 2026, 16(2), 225; https://doi.org/10.3390/min16020225 - 23 Feb 2026
Viewed by 655
Abstract
Determining the age and origin of the “Huoshan Sandstone” holds significant geological implications for the stratigraphic division and correlation of Precambrian sequences in the North China Craton, provenance analysis, reconstruction of tectonic–sedimentary patterns, and paleogeographic settings restoration. This paper investigates the petrology, zircon [...] Read more.
Determining the age and origin of the “Huoshan Sandstone” holds significant geological implications for the stratigraphic division and correlation of Precambrian sequences in the North China Craton, provenance analysis, reconstruction of tectonic–sedimentary patterns, and paleogeographic settings restoration. This paper investigates the petrology, zircon U-Pb dating, Hf isotopes analysis, and zircon microzonation geochemistry of the “Huoshan Sandstone”. The “Huoshan Sandstone” is grayish-white, light gray, light yellow, purplish-red quartzitic sandstone and quartz sandstone, with a quartz content ranging from 85.5% to 97.8%. The quartz grains exhibit relatively straight contact edges, characteristic of low-grade metamorphosed quartzite. The protolith of the “Huoshan Sandstone” is a medium-grained quartz sandstone with dominant grain sizes of 0.30~0.50 mm, exhibiting well-rounded to subrounded grains and highly developed siliceous cementation characterized by secondary overgrowth. The zircon Th/U ratio confirms that the zircons in the “Huoshan Sandston” are mainly magmatic zircons. Most zircons exhibit extreme HREE enrichment and left-sloping REE patterns, and show significant positive Ce anomalies (Ce/Ce* of 1.06~290.68) and negative Eu anomalies (Eu/Eu* of 0.065~0.61). The age range of zircon 207Pb/206Pb is 1770 ± 20~2732 ± 16 Ma, and there are two obvious peaks at 1800 and 2500 Ma in the U-Pb age frequency histogram, the age of the intersection point on the concordia line is 2521 ± 31 Ma, and the age of the intersection point on the lower part of the line is 1829 ± 22 Ma. These two ages correspond to the timing of Neoarchean TTG gneiss formation through oceanic crust partial melting in the central North China Craton, and the ~1.85 Ga Paleoproterozoic thermal metamorphic event recorded in the Zhongtiao Group of the same region, respectively. The maximum depositional age of the “Huoshan Sandstone”, constrained by the youngest detrital zircon U-Pb ages at 1770 ± 20 Ma, indicates that its sedimentation occurred after 1770 ± 20 Ma (Late Late Paleoproterozoic). Furthermore, as it underlies the red shales of the Cambrian Mantou Formation as a distinct tectonic layer, it must have formed prior to the deposition of the Cambrian Mantou Formation. In addition, in situ Lu-Hf isotopic analyses of these zircons yielded two-stage model ages, mainly between 2.5 and 2.8 Ga, suggesting the provenance to be the Precambrian basement of the Zhongtiao Mountain region in the central North China Craton. It is inferred that the Precambrian strata in the Zhongtiao Mountain area were involved in the process of subduction, collage, and collision of the two continental blocks of the eastern and western parts of the North China Craton, and further confirmation is provided that the final collision of the two continental blocks to form the central orogenic belt occurred in the late Palaeoproterozoic. Full article
(This article belongs to the Section Mineral Geochemistry and Geochronology)
Show Figures

Figure 1

15 pages, 3671 KB  
Article
REE Distribution in Lake Van Stromatolites: Detrital vs. Authigenic Signature
by Bilge Sasmaz, Marianna Cangemi, Ygor Oliveri and Ahmet Sasmaz
Minerals 2026, 16(2), 224; https://doi.org/10.3390/min16020224 - 23 Feb 2026
Viewed by 465
Abstract
Lake Van (Eastern Turkey), the world’s largest soda lake, represents a unique geochemical environment characterized by high alkalinity (pH about 9.7) and a complex hydrochemistry, driven by deep hydrothermal input and extreme evaporative processes. This article evaluates mineralogy, minor elements, and Rare Earth [...] Read more.
Lake Van (Eastern Turkey), the world’s largest soda lake, represents a unique geochemical environment characterized by high alkalinity (pH about 9.7) and a complex hydrochemistry, driven by deep hydrothermal input and extreme evaporative processes. This article evaluates mineralogy, minor elements, and Rare Earth Element (REE) geochemistry of coastal stromatolites from 11 sites, to discriminate between endogenous chemical signals and terrigenous contamination. Results identify two distinct lithological groups: a chemically pure authigenic end-member (CaCO3 > 85%), overprinted by a significant siliciclastic detrital contribution, rich in SiO2, Al2O3, and Fe2O3. Authigenic samples successfully preserve the primary hydrothermal signature, exhibiting marked Heavy Rare Earth Element (HREE) enrichment and superchondritic Y/Ho ratios (=35), inherited from the stability of dissolved dicarbonate complexes, such as [REE(CO3)2], which favor HREE solubility and uptake into the carbonate lattice. Conversely, the significant detrital contribution is highlighted by a robust correlation between REE and lithogenic proxies (Al-Si-Fe). Furthermore, the non-CHARAC behavior observed in Y/Ho and Zr/Hf twin pairs effectively distinguishes biogenic-chemical precipitation from detrital inputs. These results highlight the effectiveness of REE geochemistry as a proxy to filter out lithogenic overprints and accurately isolate the primary hydrochemical record of carbonate stromatolites. Full article
(This article belongs to the Section Mineral Geochemistry and Geochronology)
Show Figures

Graphical abstract

17 pages, 5271 KB  
Article
Assessment of Potentially Toxic Element (PTE) Contamination, Source Apportionment and Use of Lead (Pb) Isotope Signatures in Sediments of a Transboundary River
by Mehmet Yavuz Hüseyinca
Minerals 2026, 16(2), 223; https://doi.org/10.3390/min16020223 - 23 Feb 2026
Viewed by 398
Abstract
The Tunca River is a transboundary watercourse between Türkiye and Bulgaria. It is the longest tributary of the Meriç River System (MRS) and joins the Meriç River in Türkiye after flowing through Bulgarian territory. In this study, the concentrations of Potentially Toxic Elements [...] Read more.
The Tunca River is a transboundary watercourse between Türkiye and Bulgaria. It is the longest tributary of the Meriç River System (MRS) and joins the Meriç River in Türkiye after flowing through Bulgarian territory. In this study, the concentrations of Potentially Toxic Elements (PTEs), including As, Cd, Co, Cr, Cu, Hg, Mn, Ni, Pb, Sb, and Zn, as well as lead (Pb) isotope compositions, in sediments from the Turkish section of the Tunca River were investigated. Contamination levels and ecological risk status were evaluated using single and integrated indices and Sediment Quality Guidelines (SQGs). According to the Geoaccumulation Index (Igeo), Enrichment Factor (EF), and Contamination Factor (Cf) values, As, Cd, Mn, and Pb exhibit moderate to considerable levels of contamination. Pollution Load Index (PLI) and Modified Degree of Contamination (mCdeg) values indicate that pollution from total metal loads locally reaches moderate to high levels. PTE concentrations were below Threshold Effect Concentration (TEC) values, suggesting a low probability of adverse biological effects. However, the Potential Ecological Risk Index (PERI) values indicate locally moderate to high ecological risk of total metal loads. Geostatistical analyses suggest that Cd, Co, Cr, Cu, Hg, Ni, Pb, and Zn are of geogenic origin, whereas As, Sb, and Mn are associated with anthropogenic sources. The 206Pb/207Pb ratios in the sediments range from 1.18 to 1.25, while the 208Pb/206Pb ratios vary between 2.07 and 2.22. These values deviate slightly from natural isotopic signatures, suggesting anthropogenic influence on Pb concentrations. Full article
(This article belongs to the Section Environmental Mineralogy and Biogeochemistry)
Show Figures

Figure 1

19 pages, 15723 KB  
Article
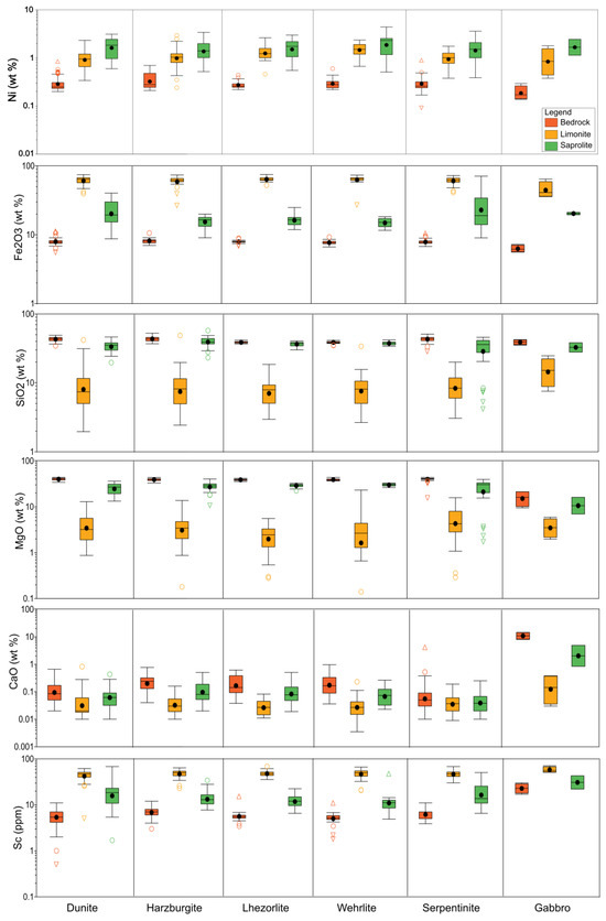
Petrology and Geochemistry of Scandium in Wailukum Ni Laterites, East Halmahera, Indonesia
by Abdul Bari, Mega Fatimah Rosana, Euis Tintin Yuningsih, Ade Kadarusman, Rubima Aisha Yulman, Muhammad Chandra R. M. and Thaha Rizal Ulhaque
Minerals 2026, 16(2), 222; https://doi.org/10.3390/min16020222 - 22 Feb 2026
Viewed by 520
Abstract
The Wailukum area in North Maluku Province, Indonesia, is an ultramafic rock complex with a high degree of serpentinization. The mineral composition of ultramafic and mafic rocks strongly influences the distribution and enrichment of scandium (Sc) during lateritization. In this study, we aim [...] Read more.
The Wailukum area in North Maluku Province, Indonesia, is an ultramafic rock complex with a high degree of serpentinization. The mineral composition of ultramafic and mafic rocks strongly influences the distribution and enrichment of scandium (Sc) during lateritization. In this study, we aim to analyze three types of geological materials in a lateritic profile that contains Sc, specifically bedrock, saprolite, and limonite, in terms of element distribution, mineral composition, and rock identification. We used the analytical methods of petrography, X-ray diffraction (XRD), X-Ray Fluorescence (XRF), and Inductively Coupled Plasma–Optical Emission Spectroscopy (ICP-OES). The results show that Sc in bedrock is mainly associated with clinopyroxene minerals such as augite and diopside. In saprolite, Sc content decreases due to higher mobility but remains partly associated with clinopyroxene, and in limonite zone, Sc reaches maximum enrichment. Among rock types, gabbro contains the highest absolute Sc concentration (23.25 ppm in bedrock and up to 58.5 ppm in limonite), while wehrlite records the greatest enrichment ratio, with a 9.18-fold increase from bedrock to limonite. By contrast, gabbro shows the lowest enrichment ratio (2.52-fold) despite its high initial Sc content. These patterns indicate that Sc enrichment is controlled by clinopyroxene as the primary host in bedrock, affecting its relative stability during weathering. Full article
Show Figures

Figure 1

21 pages, 1810 KB  
Perspective
A Mechanistic Framework Linking Climate Forcing, Microbial Transformation, and Sedimentary Carbon Sinks in Deep-Time Oceans
by Jingxuan Zhang, Xi Zhang, Tingshan Zhang and Hao Huang
Minerals 2026, 16(2), 221; https://doi.org/10.3390/min16020221 - 22 Feb 2026
Viewed by 502
Abstract
The ocean constitutes the largest actively exchangeable carbon reservoir in Earth’s surface system, with the ocean–atmosphere system functioning as an integrated entity that modulates atmospheric CO2 concentrations over geological timescales. While carbonate and organic-rich sedimentary carbon sinks have been the subject of [...] Read more.
The ocean constitutes the largest actively exchangeable carbon reservoir in Earth’s surface system, with the ocean–atmosphere system functioning as an integrated entity that modulates atmospheric CO2 concentrations over geological timescales. While carbonate and organic-rich sedimentary carbon sinks have been the subject of extensive research, their synergistic roles in long-term carbon–climate feedback loops, as well as the degree to which microbial mediation links ocean hydrographic states to basin-scale carbon sequestration efficiency, remain poorly synthesized. Here, we develop a mechanistic framework comprising five intercoupled components: (1) driving factors (tectonic–climatic forcing and anthropogenic analogs); (2) ocean state controls (basin restriction, water column stratification, and redox conditions); (3) microbial processes (microbial carbon pump-mediated transformation of dissolved organic carbon and the modulating influence of microbial carbonate formation); (4) sedimentary carbon sinks (carbonate platforms versus organic-rich shales underpinning organo-mineral stabilization); and (5) Earth system feedback expressions (e.g., carbon isotope excursions and sustained perturbations in atmospheric CO2 levels). This framework is validated across three contrasting sedimentary basins, including the Western Tethys rift basins, the Cambrian South China platform system, and the Toarcian Lower Saxony restricted basin, and via three falsifiable propositions. Converging evidence from these case studies corroborates three key conclusions: (1) basin restriction and diminished water mass renewal foster water column stratification and hypoxic/anoxic conditions, thereby enhancing organic carbon preservation (P1); (2) the tectonic and depositional setting of a basin modulates the relative predominance of carbonate and organic carbon sinks (P2); and (3) post-extinction anachronistic facies record amplified microbial control over carbon burial pathways (P3). By emphasizing the context dependence of carbon sequestration processes and the significance of organo-mineral stabilization alongside particulate organic carbon export, this synthesis provides a transferable analytical framework for interpreting deep-time carbon cycle transitions and for contextualizing the impacts of modern ocean warming and deoxygenation on natural carbon sinks. Full article
(This article belongs to the Special Issue Element Enrichment and Gas Accumulation in Black Rock Series)
Show Figures

Graphical abstract

28 pages, 25216 KB  
Article
ASTER Remote Sensing Satellite Imagery for Regional Mineral Mapping in the McMurdo Dry Valleys, South Victoria Land, Antarctica
by Khurram Riaz, Amin Beiranvand Pour, Jabar Habashi, Aidy M Muslim, Iman Masoumi, Ali Moradi Afrapoli, Mazlan Hashim, Kamyar Mehranzamir and Farshid Sattari
Minerals 2026, 16(2), 220; https://doi.org/10.3390/min16020220 - 22 Feb 2026
Viewed by 923
Abstract
The McMurdo Dry Valleys (DVs) of South Victoria Land, Antarctica, constitute the largest ice-free region on the continent and one of Earth’s most Mars-analog environments. Their hyper-arid polar desert conditions offer a unique setting for investigating surface weathering and mineralogical processes under extreme [...] Read more.
The McMurdo Dry Valleys (DVs) of South Victoria Land, Antarctica, constitute the largest ice-free region on the continent and one of Earth’s most Mars-analog environments. Their hyper-arid polar desert conditions offer a unique setting for investigating surface weathering and mineralogical processes under extreme climates. This study presents the first regional-scale mapping of alteration and crystalline weathering minerals across the McMurdo DVs. It uses Advanced Spaceborne Thermal Emission and Reflection Radiometer (ASTER) multispectral data; visible and near-infrared (VNIR) and shortwave infrared (SWIR) bands were analyzed through a Spectral Hourglass Workflow, endmember extraction, and spectral unmixing with Matched Filtering (MF) and Constrained Energy Minimization (CEM). Inter-algorithm consistency analysis between MF and CEM yielded 78.83% overall agreement with a Kappa coefficient of 0.75, indicating strong methodological consistency in mineral discrimination using ASTER VNIR+SWIR data. It should be noted that this agreement reflects internal algorithmic robustness rather than independent geological validation. Geological reliability is instead supported by documented field observations, lithological map comparisons, and spectral correspondence with the USGS spectral library. Validation employed documented field observations, lithological maps, and the USGS spectral library. Results reveal distinct spatial distributions of hematite-limonite/goethite, jarosite, kaolinite/smectite-illite-pyrophyllite-alunite, muscovite, hydrous silica/sericite/jarosite/hematite, epidote/chlorite, and calcite, closely associated with lithological units and unconsolidated deposits in Taylor, Wright, Victoria, and McKelvey Valleys. An inter-algorithm consistency check achieved 78.83% overall accuracy with a Kappa coefficient of 0.75, underscoring the robustness of ASTER VNIR+SWIR data for Antarctic mineral discrimination despite localized spectral mixing. Beyond refining the geological understanding of the McMurdo DVs, these results establish ASTER as an effective tool for regional mineralogical mapping in inaccessible polar terrains. The findings further strengthen the role of the Dry Valleys as a terrestrial analog for Mars, where similar mineralogical assemblages and spectral ambiguities have been observed, thereby contributing to both Antarctic geoscience and planetary exploration frameworks. Full article
(This article belongs to the Section Mineralogy Beyond Earth)
Show Figures

Figure 1

11 pages, 470 KB  
Article
Machine Learning-Based Prediction of Boron Desorption in Acidic Tea-Growing Soils
by Fatih Gökmen
Minerals 2026, 16(2), 219; https://doi.org/10.3390/min16020219 - 22 Feb 2026
Viewed by 631
Abstract
In acidic tea soil, boron (B) adsorption and desorption processes are dominated by the complex relationship between soil acidity, mineralogy, and organic matter. This study investigated B adsorption–desorption behavior in five acidic tea soils (pH 3.8–5.6) collected from the Eastern Black Sea region [...] Read more.
In acidic tea soil, boron (B) adsorption and desorption processes are dominated by the complex relationship between soil acidity, mineralogy, and organic matter. This study investigated B adsorption–desorption behavior in five acidic tea soils (pH 3.8–5.6) collected from the Eastern Black Sea region of Türkiye and evaluated the potential of machine learning (ML) algorithms to predict B desorption. Laboratory batch experiments were conducted using five initial B concentrations, and adsorption data were interpreted using the Langmuir isotherm model. Adsorption experiments indicated that B interacted with Fe/Al-oxide-containing clay minerals, which had low but favorable binding affinity, as indicated by Langmuir maximum adsorption capacities (Qmax) ranging from 46.5 to 181.8 mg kg−1. Desorption experiments revealed a high degree of reversibility, particularly in soils with lower adsorption capacities, ensuring potential B leaching. To capture the governing B desorption, six machine learning (ML) algorithms—Extreme Gradient Boosting (XGBoost), Random Forest (RF), Support Vector Regression (SVR), Gaussian Process Regression (GP), Elastic Net Regression (EN), and Multivariate Adaptive Regression Splines (MARS)—were trained on 75 data points. Among the tested models, Elastic Net showed the highest predictive accuracy (R2 = 0.735). This model does not replace adsorption experiments. It offers a within-assay determination of desorption given measured adsorption, which may reduce the requirement for separate desorption equilibration and analyses. Permutation importance analysis identified B_ads as the dominant predictor of B desorption, with smaller contributions from pH_ads and EC_ads. The results demonstrate that integrating laboratory experiments with machine learning provides an effective framework for predicting B mobility in acidic tea soils, offering a parameterized experimental framework for describing boron desorption behavior in acidic tea soils. Full article
(This article belongs to the Special Issue Clays in Soil Science and Soil Chemistry)
Show Figures

Figure 1

17 pages, 2572 KB  
Article
The Role of Clinopyroxene on the Rheology of Dry Olivine–Clinopyroxene Aggregates
by Xiaodong Zheng, Zhexuan Jiang, Jianfeng Li and Maoshuang Song
Minerals 2026, 16(2), 218; https://doi.org/10.3390/min16020218 - 20 Feb 2026
Viewed by 385
Abstract
To investigate the influence of a second-phase mineral on the rheology of mantle peridotite, we conducted high-temperature deformation experiments on dry olivine–clinopyroxene (Ol-Cpx) aggregates. Cylindrical samples were manufactured using hot-isostatic pressing techniques, with Ol as the matrix phase and [...] Read more.
To investigate the influence of a second-phase mineral on the rheology of mantle peridotite, we conducted high-temperature deformation experiments on dry olivine–clinopyroxene (Ol-Cpx) aggregates. Cylindrical samples were manufactured using hot-isostatic pressing techniques, with Ol as the matrix phase and Cpx added at volume fractions of fCpx = 0.1, 0.3, and 0.5. Deformation experiments were performed in a Paterson gas-medium apparatus at a confining pressure of ~300 MPa, temperatures ranging from 1423 to 1523 K, and strain rates of ~5 × 10−6 s−1, ~1 × 10−5 s−1, ~2 × 10−5 s−1, and ~5 × 10−5 s−1. The stress exponents (n = 3.4–4.3) for two-phase aggregates are comparable to those reported for both pure Ol and pure Cpx, indicating that dislocation creep remains the dominant deformation mechanism. Increasing Cpx content does not induce a transition of dominant mechanism but leads to a slight decrease in activation energy, consistent with predictions from two-phase rheological models and reflecting the increasing contribution of Cpx to bulk deformation. Normalized flow stresses fall between the Ol and Cpx end-members within the Taylor–Sachs bounds, indicating moderate strain partitioning between phases. Aggregates with fCpx = 0.5 show slightly reduced strength and lower effective stress exponents. This is attributed to enhanced dynamic recrystallization, which triggers grain-size reduction and thereby increases the contribution of diffusion-assisted deformation, even though dislocation creep remains the dominant mechanism. These results suggest that under dry conditions, Cpx primarily modulates the rheology of olivine-rich aggregates through microstructural evolution and strain partitioning rather than by altering the dominant deformation mechanism. Full article
Show Figures

Figure 1

24 pages, 15635 KB  
Article
New Insights into the Xiongbaxi–Yalongri Cu-W(-Mo) Deposit (Tibet): Scheelite Geochemistry and Machine Learning Constraints on Ore-Forming Fluid Evolution and Genetic Type
by Qinggong Li, Jinshu Zhang, Jianhui Wu, Xiaojia Jiang and Bei Pang
Minerals 2026, 16(2), 217; https://doi.org/10.3390/min16020217 - 20 Feb 2026
Viewed by 469
Abstract
The Zhunuo ore district, at the western end of the Gangdese porphyry Cu belt, hosts significant Cu mineralization and newly recognized W mineralization dominated by scheelite. However, the genetic relationship between scheelite and porphyry mineralization, and the evolution of ore-forming fluids remain poorly [...] Read more.
The Zhunuo ore district, at the western end of the Gangdese porphyry Cu belt, hosts significant Cu mineralization and newly recognized W mineralization dominated by scheelite. However, the genetic relationship between scheelite and porphyry mineralization, and the evolution of ore-forming fluids remain poorly constrained. To address this, scheelite samples from multiple locations were analyzed for major elements (EMPA), in situ trace elements (LA-ICP-MS), and internal textures (cathodoluminescence, CL). These data, combined with machine learning methods, were used to determine scheelite genetic types and reconstruct fluid evolution. REE patterns and CL textures reveal three scheelite generations in Yalongri (early Sch I c, middle Sch I b, late Sch I a), two in Zhigunong (early Sch II a, late Sch II b), and one in Xiongbaxi (Sch III). Low Na (0–329 ppm) and Nb (3.9–39 ppm) relative to high ΣREE + Y-Eu (16–3857 ppm), indicate that the dominant substitution mechanism is 3Ca2+ = 2REE3+ + □Ca (□Ca = Ca vacancy). δEu values > 1 in Sch I a, Sch I b, Sch II a, and Sch II b indicate reducing fluids, whereas δEu < in Sch I c and Sch III reflects oxidizing conditions. Variations in REE, Mo, and Sr contents suggest that ore-forming fluids in Yalongri evolved from oxidizing to reducing conditions, with late-stage scheelite undergoing dissolution–reprecipitation. Zhigunong records two reducing stages: an early REE-rich-Mo-poor stage and a later REE-poor-Mo-rich stage. Xiongbaxi records a single oxidizing, REE-rich, Mo-rich stage. Scheelite exhibits low-to-moderate Sr/Mo ratios (0.02–6.10), consistent with a magmatic–hydrothermal origin, and relatively uniform Y/Ho ratios (12–59) indicating stable crystallization conditions. A Random Forest model classifies scheelite into orogenic, porphyry, skarn, and greisen types. Overall, the results indicate that ore-forming fluids evolved from oxidizing to reducing conditions, favoring metal transport and enrichment. Integrated geochemical and machine learning evidence suggest, strong potential for porphyry-type Cu-W(-Mo) mineralization in Yalongri and Zhigunong, and skarn-type W-Mo mineralization in Xiongbaxi, providing important guidance for future exploration in the western Gangdese metallogenic belt. Full article
(This article belongs to the Topic Big Data and AI for Geoscience)
Show Figures

Graphical abstract

30 pages, 7851 KB  
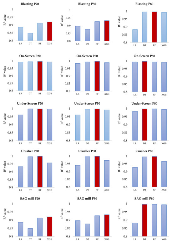
Article
Integrating Machine Learning and Simulation for Integrated Mine-to-Mill Flowsheet Modelling: A Meta-Modelling Framework
by Pouya Nobahar, Chaoshui Xu and Peter Dowd
Minerals 2026, 16(2), 216; https://doi.org/10.3390/min16020216 - 20 Feb 2026
Viewed by 553
Abstract
The growing global demand for mineral resources is challenging mining operations to maintain productivity while processing lower-grade ores and increasingly complex deposits. This study presents an integrated framework that leverages machine learning (ML) and high-fidelity simulation to model and support scenario-based decision-making for [...] Read more.
The growing global demand for mineral resources is challenging mining operations to maintain productivity while processing lower-grade ores and increasingly complex deposits. This study presents an integrated framework that leverages machine learning (ML) and high-fidelity simulation to model and support scenario-based decision-making for the blasting–crushing–SAG (Semi-Autogenous Grindin) milling chain using a calibrated flowsheet. Using publicly available data from the Barrick Cortez Mine (Nevada, USA), more than three million operational scenarios were generated using the Integrated Extraction Simulator (IES) to capture system variability and sensitivity. Machine learning meta-models, built using Random Forest and XGBoost methods, were trained on the simulated data and achieved coefficients of determination (R2) exceeding 0.90 across all key outputs, including P20, P50, P80, and mass flow rates at different operational stages. The meta-models accurately reproduced plant-scale behaviour while reducing computational requirements by several orders of magnitude compared with full-scale simulations. SHapley Additive exPlanations (SHAP) analysis revealed that blast-hole diameter, explosive energy parameters, screen cut-size, crusher feed characteristics, and SAG mill operating conditions are the dominant factors impacting downstream particle size distributions. The proposed framework enables near-real-time evaluation of “what-if” operational scenarios and provides transparent, quantitative decision-support for integrated mine-to-mill optimisation. Full article
(This article belongs to the Section Mineral Processing and Extractive Metallurgy)
Show Figures

Figure 1

23 pages, 5126 KB  
Article
S-O Stable Isotopes and Geological Considerations of Ba–Sr Deposits from Neuquén Basin, Northwest Patagonia, Argentina
by Raúl E. de Barrio, Clemente Recio, Ricardo O. Etcheverry, Francisco Javier Rios, Miguel A. Del Blanco and Eduardo A. Domínguez
Minerals 2026, 16(2), 215; https://doi.org/10.3390/min16020215 - 20 Feb 2026
Viewed by 454
Abstract
Jurassic–Cretaceous marine–continental carbonate–evaporitic sequences in the Neuquén Basin of Argentina host numerous stratabound Ba–Sr deposits. Mineralization (Sr–barite, Ba–celestine, and minor Pb–Zn–Cu–Fe sulphides) occurs as bedding parallel lenses and crosscutting veins. The stratiform mineralization is formed by replacements of carbonate and gypsum beds and [...] Read more.
Jurassic–Cretaceous marine–continental carbonate–evaporitic sequences in the Neuquén Basin of Argentina host numerous stratabound Ba–Sr deposits. Mineralization (Sr–barite, Ba–celestine, and minor Pb–Zn–Cu–Fe sulphides) occurs as bedding parallel lenses and crosscutting veins. The stratiform mineralization is formed by replacements of carbonate and gypsum beds and often exhibits typical zebra textures. Dissolution processes associated with Neogene regional uplift produced karstic cavities where a new generation of barite was deposited. Regionally, W to E distribution of carbonates/evaporites and that of Ba–Sr deposits is coincidental. Lower Cretaceous Sr–Ba deposits are spatially related to large N-S reverse faulting, frequently limited to the eastern limb of the folded structures. Average δ18O and δ34S of stratiform and crosscutting vetiform mineralization do not differ significantly, suggesting a common source of sulphate and cations. Deposits spatially linked to areas with magmatic activity and those that are not have similar isotopic values, compatible with bacterial and/or thermochemical reduction of contemporaneous seawater sulphate, although sulphides only occur in deposits with evidence of nearby magmatic activity. Thermal convection of basinal brines leached metals from the Mesozoic sedimentary pile; Ba and Sr were extracted from siliciclastic and carbonate rocks, and sulphur from evaporite layers. Fluids related to Tertiary magmatism helped producing an epithermal mineral association composed of barite, quartz, adularia, and minor sulphides/sulphosalts hosted by veins. Arroyo Nuevo mine (Ba) is different, as it seems to be the product of hydrothermal SedEx deposition onto the anoxic seafloor. Full article
(This article belongs to the Section Mineral Geochemistry and Geochronology)
Show Figures

Graphical abstract

22 pages, 7946 KB  
Article
Control of Sedimentary Environment on Pore Structure and Its Evolution of the Lower Carboniferous Shale in the Yaziluo Rift Trough, Dianqiangui Basin
by Xianglin Chen, Luchuan Zhang, Qiuchen Xu, Dishi Shi, Ruihan Ma, Yibo Li, Haichuan Ma and Zhiyuan Li
Minerals 2026, 16(2), 214; https://doi.org/10.3390/min16020214 - 19 Feb 2026
Viewed by 301
Abstract
A breakthrough has been achieved in shale gas exploration of the Lower Carboniferous Shale in the Yaziluo Rift Trough, Dianqiangui Basin, with Well SY-1 yielding a daily gas production of 1.1 × 104 m3. To clarify the main controls and [...] Read more.
A breakthrough has been achieved in shale gas exploration of the Lower Carboniferous Shale in the Yaziluo Rift Trough, Dianqiangui Basin, with Well SY-1 yielding a daily gas production of 1.1 × 104 m3. To clarify the main controls and evolutionary patterns of shale pore structure, shale samples from different sedimentary environments were analyzed using TOC content, X-ray diffraction (XRD), low-pressure gas adsorption (CO2 and N2), and field emission-scanning electron microscopy (FE-SEM). The results show that shale from the basin sedimentary environment (BSE) exhibits the highest TOC, is dominated by siliceous minerals (quartz + feldspar), and contains minor carbonate minerals (calcite + dolomite). Shale from the upper slope sedimentary environment (USSE) has the lowest TOC and is rich in carbonate minerals. The lower slope sedimentary environment (LSSE) shows intermediate compositions. From BSE to USSE, pore volume and specific surface area decrease, while fracture development increases. A quantitative model for volumes of organic pores, clay mineral-associated pores, and brittle mineral-associated pores was established. Organic pores dominate in BSE shale (65.42%), followed by clay mineral-associated and brittle mineral-associated pores, while inorganic pores dominate in USSE shale (63%). Pore structure in BSE and LSSE is primarily controlled by TOC content, with pore volume and surface area increasing with TOC content, while mesopore development is influenced by organic matter type and mineral compositions. In USSE, pore structure is mainly governed by inorganic minerals, with clay minerals promoting pore volume and surface area development, whereas brittle minerals facilitate the preservation of macropores. Evolutionary models of pore development were established for these distinct sedimentary environments. Full article
Show Figures

Figure 1

21 pages, 2951 KB  
Article
Evaluating SWIR Spectral Data and Random Forest Models for Copper Mineralization Discrimination in the Zhunuo Porphyry Deposit
by Jiale Cao, Lifang Wang, Xiaofeng Liu and Song Wu
Minerals 2026, 16(2), 213; https://doi.org/10.3390/min16020213 - 19 Feb 2026
Viewed by 432
Abstract
In recent years, with the widespread application of shortwave infrared (SWIR) spectroscopy in mineral identification and hydrothermal alteration studies, an increasing number of studies have attempted to integrate SWIR spectral data with machine learning approaches to fully exploit mineralization-related discriminative information embedded in [...] Read more.
In recent years, with the widespread application of shortwave infrared (SWIR) spectroscopy in mineral identification and hydrothermal alteration studies, an increasing number of studies have attempted to integrate SWIR spectral data with machine learning approaches to fully exploit mineralization-related discriminative information embedded in high-dimensional spectral datasets. In this study, the Zhunuo porphyry copper deposit in Tibet was selected as the research target. SWIR drill core spectral data were systematically acquired, and a random forest (RF) machine learning model was applied to full-band SWIR spectra (1300–2500 nm) to conduct integrated analyses of copper grade regression and mineralization discrimination. A total of 2140 drill core samples were measured, with three replicate measurements per sample, yielding 6420 spectra. After standardized preprocessing and interpolation resampling, a unified spectral feature dataset was constructed for regression and classification analyses. SWIR spectral data are characterized by a large number of bands, strong inter-band correlations, and relatively limited sample sizes; under such conditions, model generalization ability and stability become critical factors in method selection. Based on ensemble learning, the random forest model constructs multiple decision trees and aggregates their predictions through voting or averaging, effectively reducing model variance and mitigating overfitting, and is therefore well suited for high-dimensional, small-sample, and highly correlated geological spectral datasets. In porphyry copper systems, the spectral characteristics of hydrothermal alteration minerals and mineralization intensity commonly exhibit complex nonlinear relationships, which can be effectively captured by random forest models without requiring predefined functional forms. The regression results indicate that accurate quantitative prediction of copper grade based solely on SWIR spectral data remains limited. In contrast, when a threshold-based binary classification was introduced using an industrial cutoff grade of 0.2% Cu, the model achieved an overall accuracy of 75%, an F1 score of 0.69, and an area under the ROC curve (AUC) of 0.80, demonstrating strong mineralization discrimination capability and stability. Overall, the integration of SWIR spectroscopy with machine learning methods provides an efficient, reliable, and geologically interpretable technical approach for early-stage exploration and detailed drill core interpretation in porphyry copper deposits. Full article
Show Figures

Figure 1

29 pages, 30907 KB  
Article
Mineral Geochemistry of Sulfides and Oxides and Its Implications for Ore-Forming Mechanisms in the Northeast Saveh Epithermal System, Central Urumieh–Dokhtar Magmatic Arc, Iran
by Mohammad Goudarzi, Hassan Zamanian, Urs Klötzli, Alireza Almasi, Sara Houshmand-Manavi and Jiranan Homnan
Minerals 2026, 16(2), 212; https://doi.org/10.3390/min16020212 - 19 Feb 2026
Viewed by 560
Abstract
We have investigated the major- and trace-element composition of hydrothermal pyrite, magnetite, and Ti-magnetite, and of the principal Cu-minerals chalcopyrite and chalcocite, to constrain ore-forming processes in the northeastern Saveh district (central Urumieh–Dokhtar magmatic arc, Iran). Our data provide new constraints on the [...] Read more.
We have investigated the major- and trace-element composition of hydrothermal pyrite, magnetite, and Ti-magnetite, and of the principal Cu-minerals chalcopyrite and chalcocite, to constrain ore-forming processes in the northeastern Saveh district (central Urumieh–Dokhtar magmatic arc, Iran). Our data provide new constraints on the magmatic–hydrothermal evolution and subsequent hydrothermal–supergene modification of the ore system. Ti-magnetites hosted in monzodioritic intrusions are enriched in Ti–V–Al, plot below the magnetite–ulvöspinel join and record high crystallization temperatures (<500 °C) under relatively low oxygen fugacity. By contrast, magnetite from silica-rich hydrothermal veins is Fe-rich with very low TiO2; it formed at intermediate temperatures (~200–300 °C) under higher fO2 and is markedly depleted in Ti and V compared with the intrusive oxides. Textures and oxide systematics (Al + Mn vs. Ti + V; V/Ti–Fe) document repeated hydrothermal pulses, Fe2+ leaching and element redistribution during cooling and fluid–rock interaction. Geochemical trends indicate progressive evolution from a magmatic fluid to later meteoric water overprint, with increasing As contents reflecting cooling and mixing with meteoric waters. Vertical elemental zoning suggests that most samples represent mid- to deep-level sections of the epithermal system. Elevated Cu contents (up to 0.95 wt.%) highlight pyrite as a significant Cu host. Co/Ni ratios between 1 and 10 further corroborate a magmatic–hydrothermal origin. Chalcopyrite is the principal economic Cu carrier at Northeast Saveh. Replacement follows a temperature- and fluid-controlled pathway (chalcopyrite → covellite → chalcocite). At lower temperatures (<~200 °C) replacement proceeds more slowly, producing chalcocite/digenite under prolonged reaction conditions. Chalcocite commonly occurs as thin replacement rims and fracture fills that concentrate remobilized copper. Collectively, the investigated oxide and sulfide proxies provide robust discriminants for separating magmatic versus hydrothermal domains and for vectoring toward higher-temperature feeders and zones of remobilized copper. Full article
(This article belongs to the Special Issue Igneous Rocks and Related Mineral Deposits)
Show Figures

Graphical abstract

21 pages, 24958 KB  
Article
Geophysical Prospection of Tin (Sn) Mineralization in the Eastern Belt, Peninsular Malaysia
by Mohd Hariri Arifin, Azlan Shah Nerwan Shah, Hussein Ahmed Hasan Zaid, Nor Shahidah Mohd Nazer, Sia Hok Kiang, Mohd Amir Asyraf Sulaiman, Muhammad Khairel Izzuan Ismail, Zulaika Farhani Salehudin, Muhammad Hasiib Mansor, Muhammad Taqiuddin Zakaria and Mohd Basril Iswadi Basori
Minerals 2026, 16(2), 211; https://doi.org/10.3390/min16020211 - 19 Feb 2026
Viewed by 799
Abstract
Integrated Electrical Resistivity Imaging (ERI) and Induced Polarization (IP) studies were performed to identify potential tin (Sn) mineralization prospects in the Eastern Tin Belt of Peninsular Malaysia. A total of 23 profiles were obtained utilizing a Schlumberger configuration, generating resistivity and chargeability sections [...] Read more.
Integrated Electrical Resistivity Imaging (ERI) and Induced Polarization (IP) studies were performed to identify potential tin (Sn) mineralization prospects in the Eastern Tin Belt of Peninsular Malaysia. A total of 23 profiles were obtained utilizing a Schlumberger configuration, generating resistivity and chargeability sections employed to delineate weathering structures, lithological connections, and structurally regulated anomalies. ERI models consistently delineate a three-tier subsurface structure consisting of conductive soil/alluvial deposits (5–300 Ωm), weathered bedrock (300–1500 Ωm), and resistive fresh bedrock (>1500 Ωm), featuring undulating basement relief beneath floodplain layers. IP data indicate localized, often pronounced chargeability anomalies (~5–40 ms; locally reaching ~50 ms), interpreted as corridors influenced by fractures and veins, especially when they align with significant resistivity contrasts at metamorphic–granitic boundaries and intrusive contacts. The integration of fence diagrams in the alluvial-over-granite zone reveals laterally consistent chargeability peaks at the alluvial–bedrock interface, suggesting enduring subsurface conduits. XRF examination of quartz-vein samples verifies Sn enrichment (599–717 ppm), corroborating a granite-related vein/alteration hypothesis and indicating possible isolated greisenized zones within the weathered granite. The integrated ERI–IP analysis identifies priority targets for subsequent trenching and borehole drilling to verify an anomaly’s origins and evaluate Sn grade and continuity. Full article
(This article belongs to the Section Mineral Exploration Methods and Applications)
Show Figures

Figure 1

21 pages, 6127 KB  
Article
A Sensor-Based Magnetite Ore Sorting System Integrating Empirical Mode Decomposition and Convolutional Neural Network
by Yankui Ren, Yan Yang, Jipeng Wang, Chunrong Pan, Fenglian Yuan, Weiqian Chen and Jianzhao Wang
Minerals 2026, 16(2), 210; https://doi.org/10.3390/min16020210 - 19 Feb 2026
Viewed by 429
Abstract
To address the challenge of poor separation performance exhibited by conventional magnetic separation equipment when processing coarse-grained, low-grade magnetite ore, this paper proposes a novel ore recognition method that integrates empirical mode decomposition (EMD) with a convolutional neural network (CNN). First, the original [...] Read more.
To address the challenge of poor separation performance exhibited by conventional magnetic separation equipment when processing coarse-grained, low-grade magnetite ore, this paper proposes a novel ore recognition method that integrates empirical mode decomposition (EMD) with a convolutional neural network (CNN). First, the original signal undergoes standardization to suppress sensor baseline drift. Then, it is decomposed by using EMD to obtain a series of intrinsic mode functions (IMFs). Subsequently, based on scaling exponents and kurtosis values, IMFs containing significant feature information are selected and fused, resulting in a reconstructed signal with substantially reduced noise. To preserve effective features, the absolute values of the reconstructed signal are taken, followed by normalization and dimensional transformation to convert it into a two-dimensional matrix format, thereby constructing training, validation, and test sets. Finally, a CNN is designed and optimized to automatically extract discriminative features from the preprocessed samples, enabling accurate classification of magnetite ore grades. Experimental results demonstrate that the proposed comprehensive identification method achieves effective and stable classification performance across different ore grades. Specifically, the implementation of standardization and EMD-based denoising has been demonstrated to enhance the accuracy of CNNs in recognizing diverse ores. Full article
Show Figures

Figure 1

16 pages, 990 KB  
Article
Effects of Seawater and Collector Magnetization on Chalcopyrite Flotation
by Qingmei Jia, Tong Zhang, Fengjiu Li and Weizhi Wang
Minerals 2026, 16(2), 209; https://doi.org/10.3390/min16020209 - 19 Feb 2026
Viewed by 412
Abstract
Seawater flotation is increasingly adopted to reduce freshwater demand; however, its complex ionic environment often deteriorates sulfide mineral floatability and necessitates effective regulation strategies. In this work, seawater magnetization and collector magnetization were evaluated as two independent treatment routes affecting chalcopyrite flotation, and [...] Read more.
Seawater flotation is increasingly adopted to reduce freshwater demand; however, its complex ionic environment often deteriorates sulfide mineral floatability and necessitates effective regulation strategies. In this work, seawater magnetization and collector magnetization were evaluated as two independent treatment routes affecting chalcopyrite flotation, and their impacts on flotation performance and interfacial properties were quantified. Pure-mineral flotation tests were conducted at pH 8 using butyl xanthate as the collector and pine oil as the frother, with magnetic field strength and magnetization duration varied in a controlled manner. Both flotation recovery and interfacial responses exhibited a distinct parameter-window behavior, rather than a monotonic enhancement. Under magnetized seawater conditions, chalcopyrite recovery increased from 80.45% to 92.7% at 200 mT and 8 min, while magnetized collector treatment under identical conditions produced a stronger enhancement, yielding a maximum recovery of 96.5%. Contact-angle measurements demonstrated an increase in chalcopyrite surface hydrophobicity within the effective magnetization range, whereas zeta-potential measurements revealed a positive shift toward less negative values, indicating weakened electrostatic repulsion in the seawater system. The consistent trends among flotation recovery, surface wettability, and surface electrical properties suggest that magnetization influences chalcopyrite floatability by modifying the balance between hydrophobic surface stabilization and electrostatic interactions, thereby highlighting an effective operating window for seawater flotation systems. Full article
(This article belongs to the Special Issue Advances in Process Mineralogy)
Show Figures

Figure 1

21 pages, 18066 KB  
Article
Timing and Tectonic Setting of the Zhaguopu Pegmatite-Type Li-Be-Nb-Ta Deposit, Western Himalaya: Implications for Post-Collisional Rare-Metal Metallogeny
by Gen Chen, Haiquan Li, Hao Chen and Xingkai Huang
Minerals 2026, 16(2), 208; https://doi.org/10.3390/min16020208 - 19 Feb 2026
Cited by 1 | Viewed by 524
Abstract
The Himalayan metallogenic belt is a globally significant province for leucogranites and pegmatites. Recent exploration has yielded major breakthroughs in the exploration of pegmatite-type Li-Be-Nb-Ta rare-metal deposits within its eastern segment. Discoveries such as the Qiongjiagang and Lhozhag deposits underscore the region’s substantial [...] Read more.
The Himalayan metallogenic belt is a globally significant province for leucogranites and pegmatites. Recent exploration has yielded major breakthroughs in the exploration of pegmatite-type Li-Be-Nb-Ta rare-metal deposits within its eastern segment. Discoveries such as the Qiongjiagang and Lhozhag deposits underscore the region’s substantial mineralization potential. In contrast, the western Himalayan segment remains comparatively underexplored. This study presents the geology and geochronology of the newly identified Zhaguopu Li-Be-Nb-Ta deposit in the Gyirong area, providing critical new insights. The deposit is centered on the Gyirong granite dome, which features a core of tourmaline-bearing leucogranite surrounded by a peripheral zone of beryl-bearing pegmatites and vein- to lens-shaped spodumene pegmatites, all hosted within metamorphosed sandstone, slate, and marble. The largest individual spodumene pegmatite vein exceeds 400 m in length, with thicknesses ranging from 0.5 to 4 m and a cumulative thickness surpassing 50 m. Principal ore minerals include spodumene, beryl, and columbite-group minerals. U-Pb geochronology of zircon, monazite, and columbite-group minerals from the leucogranite and pegmatite units constrains the rare-metal mineralization to a tight interval of 25–23 Ma, contemporaneous with the Qiongjiagang and Lhozhag deposits. Whole-rock geochemical data define a coherent fractional crystallization sequence from tourmaline granite through beryl pegmatite to spodumene pegmatite, characterized by increasing SiO2 and peraluminosity, and extreme depletion in Ba, Sr, Eu and Nb/Ta ratios. This geochemical trend underscores the critical role of extreme magmatic differentiation in rare-metal enrichment. Field relationships and these coeval ages strongly support a genetic model in which the mineralized pegmatites originated from the extreme fractional crystallization of a common, cogenetic magmatic suite. The timing of this mineralization event correlates precisely with the post-collisional extension of the Himalayan orogen and the activity of the Southern Tibet Detachment System. We conclude that the interplay between this large-scale tectonism and magmatic differentiation is the fundamental driver for rare-metal enrichment. The discovery of the Zhaguopu deposit highlights the significant and previously underestimated potential for major pegmatite-type rare-metal deposits in the western Himalayan belt. Full article
(This article belongs to the Section Mineral Deposits)
Show Figures

Figure 1

15 pages, 1890 KB  
Article
Sulphate-Chloride Leaching of Chalcopyrite: Process Optimization and Predictive Computational Modeling Using Gaussian Process Regression
by Mohammadreza AziziKasin, Hiva Samadian, Ali Emami Kerdabadi and Behzad Shahbazi
Minerals 2026, 16(2), 207; https://doi.org/10.3390/min16020207 - 18 Feb 2026
Viewed by 383
Abstract
Chalcopyrite leaching in sulfuric acid with chloride-based oxidizing agents (NaCl, NaClO, NaClO3) was investigated to optimize copper recovery. The influence of sulfuric acid concentration, chloride concentration, and temperature on copper dissolution was systematically evaluated through experimental tests. A Gaussian Process Regression [...] Read more.
Chalcopyrite leaching in sulfuric acid with chloride-based oxidizing agents (NaCl, NaClO, NaClO3) was investigated to optimize copper recovery. The influence of sulfuric acid concentration, chloride concentration, and temperature on copper dissolution was systematically evaluated through experimental tests. A Gaussian Process Regression (GPR) model was developed to predict copper recovery, integrating experimental data with Partial Rank Correlation Coefficient (PRCC) analysis to assess the impact of key variables. The results showed that NaClO and NaClO3 significantly improved copper recovery, with NaClO3 achieving nearly 100% copper recovery in under 30 min at higher temperatures. Maximum recovery of 45.5% was achieved with NaCl at 1 M concentration, 3 M H2SO4, and 80 °C. The GPR model demonstrated superior predictive accuracy, achieving RMSE = 4.0028 and R2 = 0.99, outperforming Support Vector Machine Regression (SVMR) and Ensemble Regression (ER) models. The GPR model accurately predicted recovery under conditions not tested experimentally, providing a robust tool for process optimization. The results confirm the effectiveness of chloride-based oxidizers in enhancing copper dissolution and demonstrate the practical application of GPR for optimizing leaching conditions, ensuring maximum copper recovery in hydrometallurgical processes. Full article
(This article belongs to the Section Mineral Processing and Extractive Metallurgy)
Show Figures

Figure 1

27 pages, 1784 KB  
Review
From Waste to Resource: Critical Mineral Recovery and Environmental Impact Mitigation in Copper Smelting Slag
by Aleksandar N. Nikoloski, Pritam Singh and Tina Chanda Phiri
Minerals 2026, 16(2), 206; https://doi.org/10.3390/min16020206 - 17 Feb 2026
Viewed by 863
Abstract
Copper and cobalt are critically important metals for the transition to renewable energy and various aspects of modern life. Their production from primary sources, ores, necessitates metallurgical separation from the unwanted host materials, resulting in the generation of a huge amount of waste. [...] Read more.
Copper and cobalt are critically important metals for the transition to renewable energy and various aspects of modern life. Their production from primary sources, ores, necessitates metallurgical separation from the unwanted host materials, resulting in the generation of a huge amount of waste. Copper smelting slag is one of these metallurgical wastes, with 39 million tonnes of slag generated and discarded globally each year. These massive amounts of slag occupy a considerable and growing land footprint, often close to residential areas, and present a hazard that potentially releases contaminants into the environment. On the other hand, they also represent a material that often contains a significant residual amount of valuable copper and cobalt. To better understand and address the challenge of reducing the adverse impacts of the waste, as well as the possible commercial opportunity the contained critical metals present, this study reviews global smelting slag production over the last 25 years, its composition, and technical reprocessing options. A summary of the chemical and mineralogical characterization of the copper slag from diverse research is thus provided, as well as a comprehensive overview of the processing strategies for metal recovery from copper slag, such as flotation, pyrometallurgy, and hydrometallurgy. The study demonstrates that a huge amount of smelting slag has been produced, with great variation and complexity, which represents a major potential resource for cobalt and copper metals. The chemical and mineralogical composition of smelting slag varies from location to location, depending on the properties of the feed concentrate, type of fluxes, furnace type, and cooling rates employed during and after the smelting processes. The overview of the production trends and reprocessing techniques shows that while some notable effective options exist or are emerging, further research is needed into the reprocessing of smelting slag waste in order to create economic value, improve energy efficiency in metal production, increase critical metal supply, and reduce negative environmental impacts. Full article
Show Figures

Figure 1

21 pages, 6402 KB  
Article
Carbonate Platform Evolution of the Meiji Atoll in the Southern South China Sea Since the Late Miocene
by Yuru Zhao, Yun Luo, Yunfeng Zhang, Gang Li, Jody M. Webster, Weihai Xu and Wen Yan
Minerals 2026, 16(2), 205; https://doi.org/10.3390/min16020205 - 17 Feb 2026
Viewed by 593
Abstract
The stratigraphic evolution of low-latitude carbonate platforms, highly sensitive to sea-level changes, is often poorly constrained due to limited core data and discontinuous depositional records. This study elucidates the evolution of the Meiji Atoll, a representative low-latitude platform in the southern South China [...] Read more.
The stratigraphic evolution of low-latitude carbonate platforms, highly sensitive to sea-level changes, is often poorly constrained due to limited core data and discontinuous depositional records. This study elucidates the evolution of the Meiji Atoll, a representative low-latitude platform in the southern South China Sea (SCS), since the late Miocene, using the reef-penetrating core (Well NK1) from Nansha Island. By integrating facies analysis, sequence stratigraphy, and geochemical proxies, we identified two third-order sequences (SQ1 and SQ2), each comprising transgressive (TST) and highstand (HST) systems tracts. Geochemical data indicate that TSTs were associated with enhanced upwelling and nutrient availability, fostering algal productivity, while HSTs were marked by subaerial exposure. The overall retrogradational stacking pattern of the atoll reflects a dominant control by long-term sea-level rise, superimposed by eustatic fluctuations. Our findings confirm that eustatic sea-level variations were a primary factor controlling the stratigraphic architecture and development of Cenozoic low-latitude carbonate systems. Full article
Show Figures

Figure 1

16 pages, 2201 KB  
Article
Recovery of Fine Hydrated Cement from the Cementitious Waste for Circular Cement Production by Selective Grinding
by Bruna C. D. Rametta, Valdir M. Pereira, Maurício G. Bergerman, Luís Marcelo Tavares and Sérgio C. Angulo
Minerals 2026, 16(2), 204; https://doi.org/10.3390/min16020204 - 17 Feb 2026
Viewed by 466
Abstract
The construction industry is one of the largest contributors to global waste generation, ranking among the top producers of solid waste worldwide. Within the context of construction and demolition waste (CDW), the cementitious fraction stands out as the only component capable of capturing [...] Read more.
The construction industry is one of the largest contributors to global waste generation, ranking among the top producers of solid waste worldwide. Within the context of construction and demolition waste (CDW), the cementitious fraction stands out as the only component capable of capturing atmospheric carbon dioxide (CO2) and as a viable source of supplementary cementitious material (SCM), thereby mitigating the environmental impacts associated with the anthropogenic CO2 emissions of cement production. This study aims to evaluate the potential of low-energy grinding to enrich the cement paste content in cementitious waste fines. Various grinding conditions were investigated, including different energy levels, ball loads and ball diameters, while maintaining a constant mill filling. The chemical composition in the size fractions, both before and after selective grinding, was determined using X-ray fluorescence. The results indicated that autogenous grinding was not effective because it produced only a small mass fraction of fines (<0.15 mm). The combination of 40 mm and 6.3 mm steel balls yielded the best performance in the conditions tested herein, promoting the migration of cement paste from the coarse fraction to the sand and fine fractions (<4.8 mm); however, the enrichment of cement in the finest fraction (<0.15 mm) remained limited. Full article
Show Figures

Figure 1

18 pages, 17330 KB  
Article
Lithofacies Identification and Gas-Bearing Potential Evaluation of Shallow Shale Gas in China: A Case Study of the Wufeng-Longmaxi Formations, Northern Guizhou
by Peiyan Li, Jiliang Yu, Ming Xie, Dan Lu, Gangquan Li, Xuan Chen, Deqiang Sun and Yuhao Deng
Minerals 2026, 16(2), 203; https://doi.org/10.3390/min16020203 - 16 Feb 2026
Cited by 1 | Viewed by 1764
Abstract
Gas-bearing potential in marine shales is governed by lithofacies-scale mineralogical heterogeneity and its coupling with organic-matter enrichment. We analyzed 40 core samples from the Lower Silurian Longmaxi Formation in the Zheng’an area, northern Guizhou (wells AD-2, AD-3, and AD-4), using whole-rock XRD, total [...] Read more.
Gas-bearing potential in marine shales is governed by lithofacies-scale mineralogical heterogeneity and its coupling with organic-matter enrichment. We analyzed 40 core samples from the Lower Silurian Longmaxi Formation in the Zheng’an area, northern Guizhou (wells AD-2, AD-3, and AD-4), using whole-rock XRD, total organic carbon (w(TOC) %), and in situ gas content (cm3/g). A normalized quartz–clay–carbonate ternary diagram was applied to classify samples into siliceous shale (S), clay-rich shale (CM), calcareous shale (C), and mixed shale (M), and further into subfacies (e.g., S-1, S-2, and CM-1). Most samples plotted within the siliceous–clay transition field. Against this compositional background, w(TOC) mainly ranged from 4% to 6%, with the 4%–5% bin accounting for 57.5%; well AD-4 showed a relatively stable distribution, whereas wells AD-2 and AD-3 exhibited stronger vertical variability. In situ gas content varied systematically with lithofacies: CM displayed higher and more concentrated values (maximum 4.78 cm3/g), whereas S was more dispersed, with persistently low values in the continuous S-2 interval (minimum 0.15 cm3/g). Favorable intervals were associated with the continuous development of CM-1 and S-1, whereas S-2 required interval-specific assessment under an overall low-carbonate background. Full article
Show Figures

Figure 1

30 pages, 7636 KB  
Article
Advanced Resource Modelling and Agile Scenario Generation for Mineral Exploration at the Cu-Au (Mo-Ag) San Antonio–Potrerillos District, Chile
by Julian M. Ortiz, Sebastián Avalos, Paula Larrondo, Ximena Prieto, Nicolás Avalos, Bernabé Lopez, Javier Santibañez, Mónica Vukasovic, Nelson Cortés and Jaime Díaz
Minerals 2026, 16(2), 202; https://doi.org/10.3390/min16020202 - 14 Feb 2026
Viewed by 1037
Abstract
Agile and flexible resource modelling is essential for informed decision-making in early-stage mineral project assessment, and in more advanced stages, particularly when compared with conventional deterministic geological modelling and single-estimate resource evaluations. This study presents a case of rapid scenario generation to view, [...] Read more.
Agile and flexible resource modelling is essential for informed decision-making in early-stage mineral project assessment, and in more advanced stages, particularly when compared with conventional deterministic geological modelling and single-estimate resource evaluations. This study presents a case of rapid scenario generation to view, interpret and test the impact of alternative geological and modelling assumptions, including the definition of geological domains, geological interpretation, grade estimation within domains, and the associated uncertainty. The workflows are implemented in Annapurna™ Resource, a cloud-native geostatistical platform designed to support agile, advanced, and multivariate modelling workflows. Focusing on the multi-commodity San Antonio–Potrerillos district, we demonstrate how rapid model construction enables the systematic evaluation of geological and statistical assumptions, contrasting deterministic estimates with probabilistic outcomes and testing their impact on estimated grades and tonnage under multiple scenarios for five elements: copper (Cu), molybdenum (Mo), gold (Au), silver (Ag), and arsenic (As). The approach provides quantitative measures of model reliability, identifies areas of high uncertainty, and supports the prioritization of new drilling to improve geological knowledge, exploration targeting, and resource classification. This case study highlights the value of fast-turnaround, probabilistic modelling not as a replacement for traditional resource reporting, but as a decision-support framework that enhances understanding of the geology, tests the sensitivity of assumptions, and accelerates learning throughout exploration and into operations. The main results suggest that additional drilling can be strategically placed to reduce the geological uncertainty derived from comparing the current interpretation with the probabilistic model built with indicator kriging. Furthermore, this has relevance in reducing the risk in the assessment of the metal content in each area of the deposit. Sensitivity analysis performed over key parameters of the estimation suggests that outliers’ treatment is the most impactful step during estimation. With current technological tools, it is possible to maintain a live resource model, which can be continuously updated to assess the impact of new data and decisions in near real time. Full article
(This article belongs to the Special Issue Geostatistical Methods and Practices for Specific Ore Deposits)
Show Figures

Figure 1

23 pages, 4268 KB  
Article
Enhanced Rougher Recovery of Ultrafine Molybdenum Tailings Using a Novel Pilot-Scale Turbulent Micro-Vortex Mineralizer
by Yande Chao, Zhiyang Li, Juntao Chen, Hao Xue, Jianguo Yang, Bin Lin, Bolong Zhang, Haijun Zhang and Hainan Wang
Minerals 2026, 16(2), 201; https://doi.org/10.3390/min16020201 - 14 Feb 2026
Viewed by 460
Abstract
Constrained by the low grade and poor floatability of the run-of-mine ore, the beneficiation of porphyry-type copper–molybdenum sulfide ores generates large quantities of molybdenum tailings, leading to significant environmental risks and resource losses and necessitating urgent recovery and reutilization. In this study, a [...] Read more.
Constrained by the low grade and poor floatability of the run-of-mine ore, the beneficiation of porphyry-type copper–molybdenum sulfide ores generates large quantities of molybdenum tailings, leading to significant environmental risks and resource losses and necessitating urgent recovery and reutilization. In this study, a representative sample of molybdenum tailings with a Mo grade of 0.354% was investigated to analyze its process mineralogy. The results show that molybdenite predominantly exists as fine, flaky particles intimately intergrown with quartz, pyrite, and aluminosilicate minerals, exhibiting an extremely low degree of liberation and an overall ultrafine particle size. Laboratory flotation tests show that the flotation kinetics conform to a first-order model; however, a considerable amount of molybdenum remains in the tailings, indicating that the mineralization process needs to be intensified. Through structural optimization and confined-space design, a vortex-based mineralization reactor was developed. Computational fluid dynamics simulations demonstrate that the mineralizer can generate flow fields with high turbulence intensity and dissipation rates and can induce high-energy, small-scale micro-vortices. On this basis, a semi-industrial rougher flotation system was established by coupling the developed mineralizer with a flotation column. Under optimized operating conditions, namely a feed pressure of 0.06 MPa and an impeller frequency of 20 Hz, single-stage treatment of the tailings produced molybdenum concentrates with a grade of 1.90% and a recovery of 81.29%, while the Mo grade of the tailings was reduced to 0.08%. The results are markedly superior to those obtained using a conventional laboratory flotation cell, demonstrating a substantial enhancement in mineralization efficiency and molybdenum recovery. The proposed approach, therefore, provides a practical reference for the flotation recovery of molybdenum tailings as well as other micro-fine, low-grade metal tailings. Full article
(This article belongs to the Special Issue Kinetic Characterization and Its Applications in Mineral Processing)
Show Figures

Figure 1

11 pages, 2162 KB  
Article
Assessment of a Novel Switchable Frother, TransfoamerTM, to Improve Flotation Performance at Caserones Concentrator
by Nicolas Miranda, Freddy Alcorta, Ricardo Rubio, Juan Pablo Vergara-Meruane and Miguel Maldonado Saavedra
Minerals 2026, 16(2), 200; https://doi.org/10.3390/min16020200 - 14 Feb 2026
Viewed by 472
Abstract
Frother chemistry strongly influences gas dispersion, froth stability, water recovery, and selectivity in flotation circuits; however, conventional frothers may exhibit excessive persistence and partitioning under alkaline conditions, impairing downstream cleaning performance. This study evaluates a novel switchable frother chemistry (TransfoamerTM) designed [...] Read more.
Frother chemistry strongly influences gas dispersion, froth stability, water recovery, and selectivity in flotation circuits; however, conventional frothers may exhibit excessive persistence and partitioning under alkaline conditions, impairing downstream cleaning performance. This study evaluates a novel switchable frother chemistry (TransfoamerTM) designed to achieve the benefits of strong frothing in the rougher stage while reducing the selectivity losses associated with high frother concentrations in the cleaner stages. Laboratory column tests, batch flotation experiments, and an industrial evaluation at the Caserones concentrator were conducted to characterize frother behavior in terms of gas holdup, foam height, water carrying rate, and persistence. The results showed that the TransfoamerTM behaved as a strong frother under mildly alkaline conditions, providing gas dispersion comparable to conventional strong frothers. As pH increased, a distinct switching behavior was observed, characterized by reduced gas holdup, foam height, water recovery, and persistence, in contrast to traditional alcohol- and polyglycol-type frothers. Batch flotation tests and plant trials confirmed that combining MIBC with TransformerTM T-100 improved rougher copper recovery without compromising circuit selectivity. Full article
Show Figures

Figure 1

27 pages, 13749 KB  
Article
Impurity-like Photoelectron Activity of Natural Silicates: Multiscale Analysis Through Spectroscopic Characterization and Electrochemical Responses
by Taixi He and Chengmin Huang
Minerals 2026, 16(2), 199; https://doi.org/10.3390/min16020199 - 14 Feb 2026
Viewed by 575
Abstract
Observations of photoelectric conversion in Fe- and Mn-rich semiconductor mineral coatings highlight their potential role in the origin of life and the evolution of environmental conditions. However, natural silicate minerals, which make up most of the Earth’s crust, are generally considered wide-bandgap insulators [...] Read more.
Observations of photoelectric conversion in Fe- and Mn-rich semiconductor mineral coatings highlight their potential role in the origin of life and the evolution of environmental conditions. However, natural silicate minerals, which make up most of the Earth’s crust, are generally considered wide-bandgap insulators and are not expected to exhibit a photoelectric effect. In this study, we experimentally confirm measurable impurity-like photoelectron activity in natural silicate minerals and explore possible regulatory mechanisms. We show that electron-active elements (e.g., structural Fe and Ti) and lattice defects in minerals such as pyroxene and mica can reduce the optical gap (Eopt) to below ~4.13 eV, producing small photocurrents ranging from 0.010 to 0.114 μA/cm2 on ITO substrates (background signal excluded). The structural types of these minerals—chain, island, layer, and framework—may influence their photoelectric responses by affecting electron transport pathways. Notably, light wavelength strongly controls both the photoelectric relative activity (PRA = 3–10 for silicates) and the decay kinetics (0.002–0.021 s−1) of minerals. Visible light (400–800 nm) markedly enhances photocurrent densities in low-bandgap minerals such as limonite (Eopt = 2.11 eV). In contrast, ultraviolet light (UVB, 300 nm) enhances photoelectric responses in high-bandgap minerals, including feldspar and quartz (Eopt = 4.31 and 6.08 eV, respectively). Multivariate statistical analysis further indicates that elemental composition governs spectroscopic features that influence photoelectric behavior. Among these, Fe, Al, Si, and Ti are identified as key regulatory elements. These results provide new insights into the role of natural silicates in photoelectron-driven environmental and geological processes and highlight the potential of silicate-based materials for solar energy conversion applications. Full article
Show Figures

Graphical abstract

20 pages, 8710 KB  
Article
Early Silurian Slab Break-Off and Crustal Reworking in the Southern Central Asian Orogenic Belt: Insights from Liuyuan A-Type Granites
by Yande Liu, Yang Yang, Xijun Liu, Pengde Liu, Xiao Liu, Yujia Song, Rongguo Hu, Zhihan Bai, Peng Lu, Yao Xiao and Gang Chen
Minerals 2026, 16(2), 198; https://doi.org/10.3390/min16020198 - 13 Feb 2026
Viewed by 453
Abstract
The southern Central Asian Orogenic Belt (CAOB) underwent a major Early Paleozoic tectonic transition, yet its timing and mechanisms remain unclear. We present zircon U-Pb-Hf, whole-rock geochemical, and Sr–Nd isotopic data for newly identified Early Silurian (ca. 439–431 Ma) granitoids from the Liuyuan [...] Read more.
The southern Central Asian Orogenic Belt (CAOB) underwent a major Early Paleozoic tectonic transition, yet its timing and mechanisms remain unclear. We present zircon U-Pb-Hf, whole-rock geochemical, and Sr–Nd isotopic data for newly identified Early Silurian (ca. 439–431 Ma) granitoids from the Liuyuan area of the southern Beishan Orogenic Belt. These high-silica, high-K calc-alkaline intrusions not only show arc-like trace-element patterns but also display elevated Ga/Al ratios and enriched Sr–Nd isotopic compositions ((87Sr/86Sr)i = 0.7158–0.7189; εNd(t) = −4.6 to −3.9), consistent with aluminous A2-type granites derived mainly from ancient crust. Their heterogeneous zircon εHf(t) values (−6.3 to +3.7) suggest a minor, localized input from mantle-derived mafic magmas superimposed on the dominant crustal signature. Integrating regional metamorphic constraints, we interpret this magmatism to have formed during the transition from oceanic subduction to incipient collision/continent involvement and subsequent post-subduction extension, plausibly triggered by slab break-off at the slab root (ocean–continent transition). Slab-window-related asthenospheric inflow and localized thermal perturbation could have promoted high-temperature crustal melting and facilitated Early Silurian crustal reworking in the southern CAOB. Full article
Show Figures

Figure 1

21 pages, 8358 KB  
Article
Influence and Mechanism of Vanadium, Nickel, and Molybdenum Bioleaching from Black Shale by Energy Substrates
by Yuanhang Lu, Jiankang Wen, Xiaolan Mo, Xinlong Yang, He Shang, Xue Liu, Jianzhi Sun and Hongying Yang
Minerals 2026, 16(2), 197; https://doi.org/10.3390/min16020197 - 13 Feb 2026
Viewed by 326
Abstract
Black shale represents a distinctive and critical mineral resource in China, harboring approximately 90% of the nation’s recoverable vanadium reserves while concurrently containing abundant strategic metal elements such as nickel and molybdenum. However, the complex occurrence states of vanadium, nickel, and molybdenum within [...] Read more.
Black shale represents a distinctive and critical mineral resource in China, harboring approximately 90% of the nation’s recoverable vanadium reserves while concurrently containing abundant strategic metal elements such as nickel and molybdenum. However, the complex occurrence states of vanadium, nickel, and molybdenum within black shale pose significant challenges to their efficient extraction. Conventional metallurgical processes—including calcination-leaching and hydrometallurgical leaching—primarily target vanadium recovery, exhibiting limited efficiency for comprehensive utilization of valuable metals. Against the backdrop of green metallurgy and carbon neutrality objectives, bioleaching techniques have garnered extensive research attention. This study developed a specialized consortium of ore-leaching microorganisms, designated WZ-Q, tailored to the mineralogical characteristics of black shale, demonstrating effective leaching capabilities for vanadium, nickel, and molybdenum. Furthermore, the enhancing effects of Fe2+, elemental sulfur (S0), and pyrite as energy substrates on bioleaching efficiency were investigated. Upon incorporating these energy materials, maximum leaching efficiencies reached 66.5% for vanadium, 82.5% for nickel, and 29.7% for molybdenum. Analysis through leaching process monitoring and multi-characterization of both raw ore and residues revealed that supplemental energy substrates intensify shifts in solution potential and pH, thereby promoting elemental oxidation and mineral decomposition. Nevertheless, critical impediments to leaching efficiency include the encapsulation of target elements within silicate matrices and incomplete dissolution of oxidized species. Subsequent research should prioritize methodologies to intensify silicate mineral dissolution and enhance the release of oxidized compounds during microbial leaching processes. Full article
(This article belongs to the Section Mineral Processing and Extractive Metallurgy)
Show Figures

Figure 1

46 pages, 114721 KB  
Article
Ag-Cu-Fe-Zn-Cd-As-Sb Mobilization in the Upper Part of the Oselské Pásmo Lode—An Unknown Story in the Evolution of Kutná Hora Ore District, Czech Republic
by Richard Pažout, Zdeněk Dolníček, Jiří Sejkora and Veronika Štědrá
Minerals 2026, 16(2), 196; https://doi.org/10.3390/min16020196 - 13 Feb 2026
Viewed by 642
Abstract
Kutná Hora ore district, one of the largest historical silver deposits in Central Europe, consists of nine major lodes with Pb-Zn-Ag mineralization hosted by high-grade basement rocks of the Kutná Hora Crystalline Complex in central part of the Bohemian Massif. We conducted a [...] Read more.
Kutná Hora ore district, one of the largest historical silver deposits in Central Europe, consists of nine major lodes with Pb-Zn-Ag mineralization hosted by high-grade basement rocks of the Kutná Hora Crystalline Complex in central part of the Bohemian Massif. We conducted a detailed electron-microprobe study of a previously unknown ore mineralization from the uppermost level of the Muzejní důl mine, which is a medieval mine located within the Ag-richest Oselské pásmo Lode, in the southern part of the ore district. An unusual nature of this ore mineralization, which originated during three respective stages, was found. The early stage comprises the hypogene mineralization commonly occurring in the southern part of the district, composed of pyrite, arsenopyrite, Fe,Mn-enriched sphalerite, galena, and (keno)argentotetrahedrite-(Fe) hosted in quartz and siderite-rhodochrosite gangue. The second stage was characterized by the corrosion of early vein fill followed by the crystallization of a specific suite of ore minerals anomalously enriched in Ag, Cu, Zn, Cd, As, and Sb, including galena, Cd-enriched and Fe-poor sphalerite, greenockite, bornite, Ag,As,Sb,Mn-bearing chalcopyrite, silver, gold, stephanite, As,Cu-bearing pyrargyrite, Ag-Cu- and Sb-As-bearing polybasite-pearceite group minerals and a suite of tetrahedrite-group minerals, the latter showing wide variations in Ag-Cu, Sb-As, and Fe-Zn-Cd contents. The origin of the second-stage mineralization is interpreted in hydrothermal remobilization of ore metals and metaloids from the early ore mineralization, which was mediated by surficial fluids characterized by elevated redox potential. The third stage comprises acanthite and probably also Ag-Cu minerals (stromeyerite, jalpaite, and mckinstryite), Cu-S phases (covellite, spionkopite, geerite), and an Ag-Cu-Hg mineralization. This late mineralization was likely related to the pre-Cretaceous weathering of the apical part of the ore deposit and to the associated supergene enrichment of deeper parts of the ore zone by descending Ag,Cu-bearing waters. Full article
(This article belongs to the Special Issue Mineralogy and Geochemistry of Polymetallic Ore Deposits)
Show Figures

Figure 1

Previous Issue
Next Issue
Back to TopTop