Petrology and Geochemistry of Scandium in Wailukum Ni Laterites, East Halmahera, Indonesia
Abstract
1. Introduction
2. Materials and Methods
3. Results
3.1. Mineralogy Observations
3.1.1. Petrographic Analysis
3.1.2. XRD Analysis
3.1.3. XRD Data Application in Mapping the Ultramafic Complex
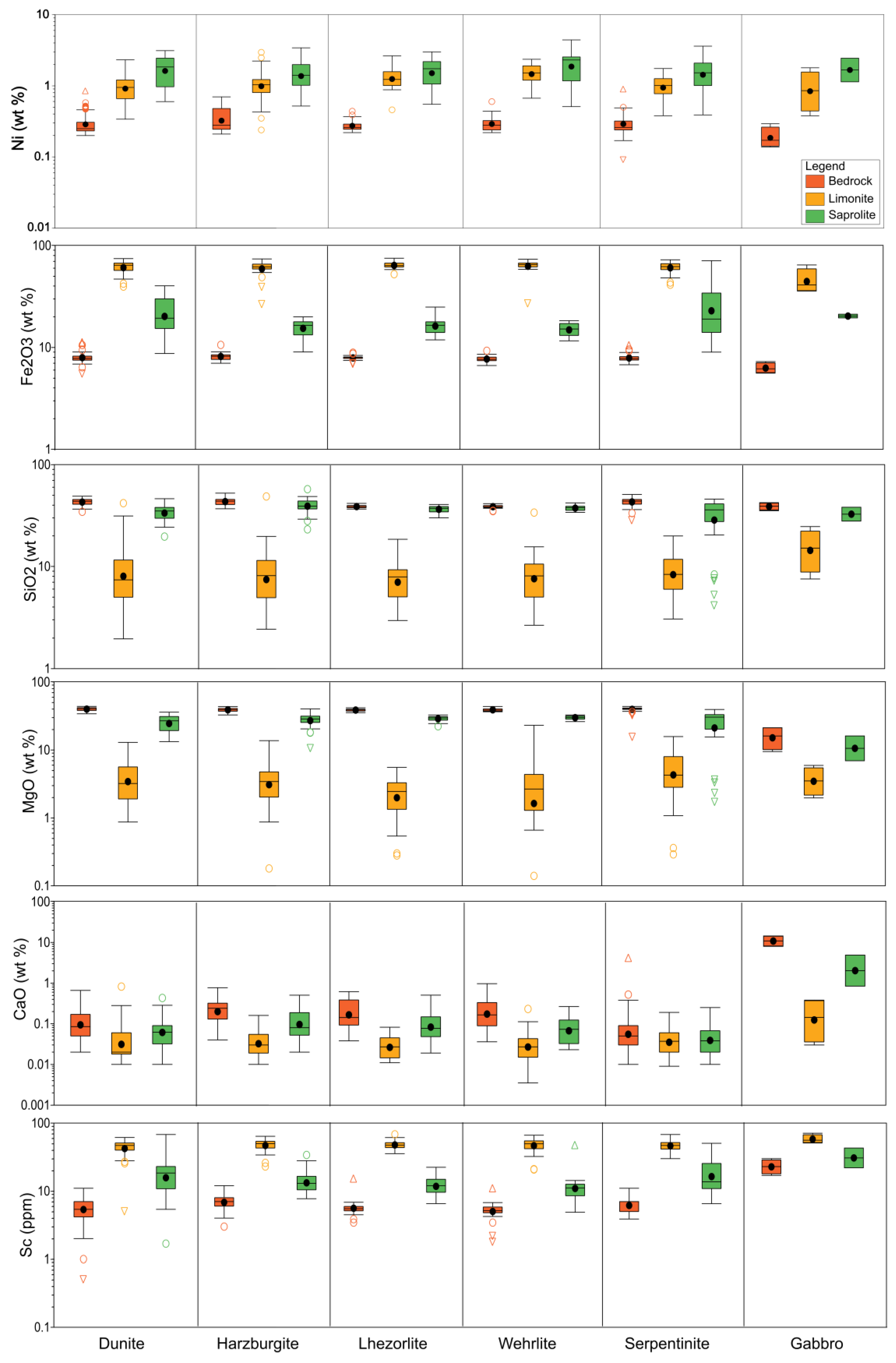
3.2. Bulk Geochemistry
4. Discussion
4.1. The Importance of Protolith for Scandium Concentration
4.2. Scandium Enrichment in Laterization Process
4.3. Implication for the Exploration in Wailukum Area
5. Conclusions
Author Contributions
Funding
Data Availability Statement
Acknowledgments
Conflicts of Interest
Appendix A

References
- Iain, S.M.; Chassé, M. Scandium. In Encyclopedia of Geochemistry. Encyclopedia of Earth Sciences Series; White, W., Ed.; Springer International Publishing: Cham, Switzerland, 2016; pp. 1–4. [Google Scholar]
- Williams-Jones, A.E.; Vasyukova, O.V. The economic geology of scandium, the runt of the rare earth element litter. Econ. Geol. 2018, 113, 973–988. [Google Scholar] [CrossRef]
- Kempe, U.; Wolf, D. Anomalously high Sc contents in ore minerals from Sn–W deposits: Possible economic significance and genetic implications. Ore Geol. Rev. 2006, 28, 103–122. [Google Scholar] [CrossRef]
- Onggang, S.; Maulana, A.; Irfan, U.R. Preliminary Study of Scandium Enrichment in Lateritic Profile from Weathered Ultramafic Rock in Lapaopao Area Kolaka Regency of Southeast Sulawesi. IOP Conf. Ser. Earth Environ. Sci. 2021, 921, 012040. [Google Scholar] [CrossRef]
- Teitler, Y.; Cathelineau, M.; Ulrich, M.; Ambrosi, J.P.; Munoz, M.; Sevin, B. Petrology and geochemistry of scandium in New Caledonian Ni-Co laterites. J. Geochem. Explor. 2019, 196, 131–155. [Google Scholar] [CrossRef]
- Chassé, M.; Griffin, W.L.; O’Reilly, S.Y.; Calas, G. Scandium speciation in a world-class lateritic deposit. Geochem. Perspect. Lett. 2016, 3, 105–114. [Google Scholar] [CrossRef]
- Maulana, A.; Sanematsu, K.; Sakakibara, M. An overview on the possibility of scandium and REE occurrence in Sulawesi, Indonesia. Indones. J. Geosci. 2016, 3, 139–147. [Google Scholar] [CrossRef]
- Stueber, A.M.; Goles, G.G. Abundances of Na, Mn, Cr, Sc and Co in ultramafic rocks. Geochim. Cosmochim. Acta 1967, 31, 75–93. [Google Scholar] [CrossRef]
- Hall, R. Neogene History of Collision in The Halmahera Region, Indonesia. In Proceedings of the Indonesian Petroleum Association 27th Annual Convention; Indonesian Petroleum Association: Jakarta, Indonesia, 2000; pp. 487–493. [Google Scholar]
- Darman, H. An Outline of the Geology of Indonesia. Lereng Nusantara. 2000. Available online: https://books.google.com/books?hl=en&lr=&id=NyqDDwAAQBAJ&oi=fnd&pg=PP2&dq=Sukamto+et+al.,+1981+dalam+Darman+%26+Sidi,+2000&ots=UgvtDwCwqG&sig=M7u40Y5bu4x-wBCDlYz8jeBygww (accessed on 23 November 2025).
- Antam. Annual report—Nickel Laterite Exploration in East Halmahera, North Maluku, Indonesia. Internal report. 2023; (Unpublished manuscript). [Google Scholar]
- Apandi TSudana, D. Geologic Map of the Ternate Quadrangle, North Maluku; Geological Research and Development Centre: Bandung, Indonesia, 1980. [Google Scholar]
- Streckeisen, A. To each plutonic rock its proper name. Earth-Sci. Rev. 1976, 12, 1–33. [Google Scholar] [CrossRef]
- Sufriadin; Widodo, S.; Jaya, A.; Azman. The effect of heating on mineral and chemical composition of saprolite ore from Latowu area, North Kolaka regency of Southeast Sulawesi, Indonesia. In AIP Conference Proceedings; AIP Publishing LLC: Melville, NY, USA, 2022; Volume 2543, p. 050006. [Google Scholar]
- El Mendili, Y.; Chateigner, D.; Orberger, B.; Gascoin, S.; Bardeau, J.F.; Petit, S.; Duee, C.; Le Guen, M.; Pilliere, H. Combined XRF, XRD, SEM-EDS, and Raman analyses on serpentinized harzburgite (nickel laterite mine, New Caledonia): Implications for exploration and geometallurgy. ACS Earth Space Chem. 2019, 3, 2237–2249. [Google Scholar] [CrossRef]
- Marsh, E.E.; Anderson, E.D.; Gray, F. Ni-Co Laterites: A Deposit Model; US Department of the Interior: Denver, CO, USA; US Geological Survey: Reston, VA, USA, 2011.
- Wang, Z.; Li, M.Y.H.; Liu, Z.R.R.; Zhou, M.F. Scandium: Ore deposits, the pivotal role of magmatic enrichment and future exploration. Ore Geol. Rev. 2021, 128, 103906. [Google Scholar] [CrossRef]
- Chassé, M.; Griffin, W.L.; O’Reilly, S.Y.; Calas, G. Australian laterites reveal mechanisms governing scandium dynamics in the critical zone. Geochim. Cosmochim. Acta 2019, 260, 292–310. [Google Scholar] [CrossRef]
- Qin, H.B.; Yang, S.; Tanaka, M.; Sanematsu, K.; Arcilla, C.; Takahashi, Y. Scandium immobilization by goethite: Surface adsorption versus structural incorporation. Geochim. Cosmochim. Acta 2021, 294, 255–272. [Google Scholar] [CrossRef]
- Goldich, S.S. A study in rock-weathering. J. Geol. 1938, 46, 17–58. [Google Scholar] [CrossRef]
- Shepherd, K.; Namur, O.; Toplis, M.J.; Devidal, J.L.; Charlier, B. Trace element partitioning between clinopyroxene, magnetite, ilmenite and ferrobasaltic to dacitic magmas: An experimental study on the role of oxygen fugacity and melt composition. Contrib. Mineral. Petrol. 2022, 177, 90. [Google Scholar] [CrossRef]
- Hoatson, D.M.; Jaireth, S.; Miezitis, Y. The Major Rare-Earth-Element Deposits of Australia: Geological Setting, Exploration, and Resources; Geoscience Australia: Canberra, Australia, 2011.
- Nie, A.G.; Sun, J.; Zhang, M. Analysis of forming conditions and genesis of Sazi independent scandium deposit in Qinglong, Guizhou Province. J. Guizhou Univ. 2018, 35, 31–36. [Google Scholar]










| Rock Groups | Laterite Zone | Sample Quantity | Average Composition | |||||
|---|---|---|---|---|---|---|---|---|
| Scandium (ppm) | Ni (wt%) | Fe2O3 (wt%) | SiO2 (wt%) | MgO (wt%) | CaO (wt%) | |||
| Dunite | Limonite | 42 | 44.55 | 0.98 | 49.14 | 9.60 | 4.66 | 0.06 |
| Saprolite | 34 | 18.95 | 1.77 | 18.13 | 33.13 | 24.86 | 0.08 | |
| Bedrock | 68 | 5.83 | 0.30 | 6.55 | 43.25 | 40.08 | 0.12 | |
| Harzburgite | Limonite | 38 | 47.86 | 1.11 | 36.75 | 9.25 | 4.00 | 0.04 |
| Saprolite | 28 | 14.29 | 1.55 | 9.51 | 39.67 | 26.97 | 0.14 | |
| Bedrock | 45 | 7.03 | 0.34 | 4.96 | 43.45 | 39.18 | 0.24 | |
| Lherzolite | Limonite | 25 | 48.28 | 1.31 | 63.98 | 7.75 | 2.53 | 0.03 |
| Saprolite | 25 | 12.09 | 1.69 | 16.48 | 36.51 | 28.92 | 0.11 | |
| Bedrock | 25 | 5.26 | 0.28 | 7.89 | 38.72 | 38.69 | 0.23 | |
| Wehrlite | Limonite | 29 | 46.89 | 1.51 | 63.48 | 8.97 | 3.21 | 0.04 |
| Saprolite | 26 | 12.27 | 2.08 | 15.20 | 37.35 | 29.82 | 0.08 | |
| Bedrock | 26 | 5.81 | 0.30 | 7.74 | 38.64 | 38.97 | 0.25 | |
| Serpentinite | Limonite | 40 | 48.05 | 0.99 | 41.41 | 9.33 | 5.76 | 0.06 |
| Saprolite | 33 | 19.28 | 1.55 | 22.62 | 31.27 | 24.92 | 0.05 | |
| Bedrock | 61 | 6.33 | 0.32 | 5.56 | 42.12 | 38.96 | 0.17 | |
| Gabbro | Limonite | 2 | 58.50 | 0.57 | 45.67 | 15.65 | 3.76 | 0.20 |
| Saprolite | 4 | 32.50 | 1.04 | 20.32 | 33.02 | 11.53 | 2.86 | |
| Bedrock | 4 | 23.25 | 0.11 | 6.30 | 38.93 | 16.01 | 11.16 | |
| Dunite | Harzburgite | ||||
| Bedrock | Saprolite | Limonite | Bedrock | Saprolite | Limonite |
| 5.83 ppm | 18.95 ppm | 44.55 ppm | 7.03 ppm | 14.29 ppm | 47.86 ppm |
| S/B | L/S | L/B | S/B | L/S | L/B |
| 3.25 | 2.35 | 7.64 | 2.03 | 3.35 | 6.81 |
| Wehrlite | Lherzolite | ||||
| Bedrock | Saprolite | Limonite | Bedrock | Saprolite | Limonite |
| 5.26 ppm | 12.09 ppm | 48.28 ppm | 5.81ppm | 12.27 ppm | 46.89 ppm |
| S/B | L/S | L/B | S/B | L/S | L/B |
| 2.30 | 3.99 | 9.18 | 2.11 | 3.82 | 8.07 |
| Serpentinite | Gabbro | ||||
| Bedrock | Saprolite | Limonite | Bedrock | Saprolite | Limonite |
| 6.33 ppm | 19.28 ppm | 48.05 ppm | 23.25 ppm | 32.5 ppm | 58.5 ppm |
| S/B | L/S | L/B | S/B | L/S | L/B |
| 3.05 | 2.49 | 7.59 | 1.40 | 1.80 | 2.52 |
Disclaimer/Publisher’s Note: The statements, opinions and data contained in all publications are solely those of the individual author(s) and contributor(s) and not of MDPI and/or the editor(s). MDPI and/or the editor(s) disclaim responsibility for any injury to people or property resulting from any ideas, methods, instructions or products referred to in the content. |
© 2026 by the authors. Licensee MDPI, Basel, Switzerland. This article is an open access article distributed under the terms and conditions of the Creative Commons Attribution (CC BY) license.
Share and Cite
Bari, A.; Rosana, M.F.; Yuningsih, E.T.; Kadarusman, A.; Yulman, R.A.; R. M., M.C.; Ulhaque, T.R. Petrology and Geochemistry of Scandium in Wailukum Ni Laterites, East Halmahera, Indonesia. Minerals 2026, 16, 222. https://doi.org/10.3390/min16020222
Bari A, Rosana MF, Yuningsih ET, Kadarusman A, Yulman RA, R. M. MC, Ulhaque TR. Petrology and Geochemistry of Scandium in Wailukum Ni Laterites, East Halmahera, Indonesia. Minerals. 2026; 16(2):222. https://doi.org/10.3390/min16020222
Chicago/Turabian StyleBari, Abdul, Mega Fatimah Rosana, Euis Tintin Yuningsih, Ade Kadarusman, Rubima Aisha Yulman, Muhammad Chandra R. M., and Thaha Rizal Ulhaque. 2026. "Petrology and Geochemistry of Scandium in Wailukum Ni Laterites, East Halmahera, Indonesia" Minerals 16, no. 2: 222. https://doi.org/10.3390/min16020222
APA StyleBari, A., Rosana, M. F., Yuningsih, E. T., Kadarusman, A., Yulman, R. A., R. M., M. C., & Ulhaque, T. R. (2026). Petrology and Geochemistry of Scandium in Wailukum Ni Laterites, East Halmahera, Indonesia. Minerals, 16(2), 222. https://doi.org/10.3390/min16020222

