Previous Issue
Volume 17, December-1
 
 
water-logo

Journal Browser

Journal Browser

Water, Volume 17, Issue 24 (December-2 2025) – 20 articles

  • Issues are regarded as officially published after their release is announced to the table of contents alert mailing list.
  • You may sign up for e-mail alerts to receive table of contents of newly released issues.
  • PDF is the official format for papers published in both, html and pdf forms. To view the papers in pdf format, click on the "PDF Full-text" link, and use the free Adobe Reader to open them.
Order results
Result details
Section
Select all
Export citation of selected articles as:
18 pages, 15647 KB  
Article
Numerical Assessment of the Long-Term Dredging Impacts on Channel Evolution in the Middle Huai River
by Jin Ni, Hui Zhang, Kai Cheng, Haitian Lu and Peng Wu
Water 2025, 17(24), 3466; https://doi.org/10.3390/w17243466 (registering DOI) - 6 Dec 2025
Abstract
Large-scale dredging in the middle Huai River has induced complex geomorphic responses that compromise the long-term stability of river regulation infrastructure. To evaluate these impacts, a one-dimensional numerical model was employed, calibrated and validated using field measurements and physical modeling, to simulate 30-year [...] Read more.
Large-scale dredging in the middle Huai River has induced complex geomorphic responses that compromise the long-term stability of river regulation infrastructure. To evaluate these impacts, a one-dimensional numerical model was employed, calibrated and validated using field measurements and physical modeling, to simulate 30-year channel evolution under both baseline and dredged scenarios. Results indicate that dredging reversed the reach-scale sediment budget from net erosion (69.80 × 104 m3) to net deposition (87.67 × 104 m3), while eliciting highly heterogeneous local responses. In the Liufangdi Reach, dredging produced a tripartite pattern: depositional amplification in the south branch of the Upper-Liufangdi Reach, an erosion-to-deposition transition in the Erdaohe Reach, and intensified erosion in the north branch of the Lower-Liufangdi Reach. The main channel accounted for over 84% of net volumetric changes, driving the observed morphological adjustments, while dredging promoted synchronization between main channel and floodplain evolution and established stable flow redistribution within branching channels. These findings indicate the importance of implementing spatially differentiated dredging strategies informed by sediment availability, offering critical guidance for reconciling flood control objectives with long-term morphological stability in engineered river systems. Full article
Show Figures

Figure 1

19 pages, 1830 KB  
Article
Spectrophotometric Polyvinyl Alcohol Detection and Validation in Wastewater Streams: From Lab to Process Control
by Michael Toni Sturm, Anika Korzin, Pieter Ronsse, Kaspar Groot Kormelinck, Erika Myers, Oleg Zernikel, Dennis Schober and Katrin Schuhen
Water 2025, 17(24), 3465; https://doi.org/10.3390/w17243465 (registering DOI) - 6 Dec 2025
Abstract
Polyvinyl alcohol (PVA) is increasingly encountered in wastewater, yet reliable quantification and effective removal remain challenging. A colorimetric method for PVA quantification was validated, demonstrating excellent linearity and recoveries of 100.6 ± 2.8%. Limits were established at a limit of detection (LOD) of [...] Read more.
Polyvinyl alcohol (PVA) is increasingly encountered in wastewater, yet reliable quantification and effective removal remain challenging. A colorimetric method for PVA quantification was validated, demonstrating excellent linearity and recoveries of 100.6 ± 2.8%. Limits were established at a limit of detection (LOD) of 1.28 mg/L and a limit of quantification (LOQ) of 1.8 mg/L. Accuracy was influenced by the PVA type, with errors reaching up to 42% due to variations in molecular weight and degree of hydrolyzation affecting the color complex. Consequently, polymer-specific calibration is advised. Analytical precision required strict temperature control and exact reaction times, and potential matrix interferences in wastewater should be assessed prior to application. PVA removal was evaluated using an AOP process based on hydrogen peroxide (H2O2) and UV-C irradiation. Increasing the H2O2/PVA ratio beyond 1:1 provided only marginal improvements, whereas increasing the UV-C dose was more impactful. A 1:1 H2O2/PVA ratio was sufficient even at PVA concentrations up to 5 g/L. Optimal UV-C doses were 7.5–12.5 kJ/m2; higher doses yielded only marginal additional removal. The colorimetric method was suitable for laboratory trials. A pilot-scale treatment of industrial wastewater applied microplastic agglomeration with organosilanes followed by granular activated carbon (GAC) treatment, which reduced PVA from an average of 24.2 mg/L to 7.4 mg/L, achieving ~65% removal, while microplastic removal reached 99.1%. Full article
(This article belongs to the Section Wastewater Treatment and Reuse)
Show Figures

Figure 1

17 pages, 1272 KB  
Article
Unravelling Metabolic Pathways and Evaluating Process Performances in Anaerobic Digestion of Livestock Manures
by Hangbae Jun, Rahul Kadam, Sangyeol Jo and Jungyu Park
Water 2025, 17(24), 3464; https://doi.org/10.3390/w17243464 (registering DOI) - 6 Dec 2025
Abstract
Anaerobic digestion (AD) provides significant environmental benefits by converting livestock manures, such as cattle manure (CM) and pig manure (PM), into biogas and nutrient-rich digestate, supporting circular economy principles. However, challenges arise when feedstock overload disrupts microbial balance, leading to reduced methane (CH [...] Read more.
Anaerobic digestion (AD) provides significant environmental benefits by converting livestock manures, such as cattle manure (CM) and pig manure (PM), into biogas and nutrient-rich digestate, supporting circular economy principles. However, challenges arise when feedstock overload disrupts microbial balance, leading to reduced methane (CH4) yields and process instability. This study examined the performance of AD using CM and PM with gradually increasing organic loading rates (OLR). At steady state, CH4 yields were 120.32 mL-CH4/g VS for CM and 229 mL-CH4/g VS for PM. The lower yield for CM is attributed to its high cellulose and hemicellulose content, which exceeds 50% and is difficult to degrade. In contrast, PM showed more efficient carbohydrate degradation, resulting in higher CH4 production. Key methanogens, including Methanocorpusculum, Methanosaeta, Methanosarcina, Methanobacterium, and Methanospirillum, were present in both reactors. Metagenomic analysis revealed that pathways for degrading cellulose and hemicellulose were poorly represented in CM, while PM exhibited enhanced total volatile fatty acid metabolism. This study offers valuable insights into the metabolic pathways associated with CM and PM in anaerobic digestion. Full article
Show Figures

Figure 1

19 pages, 6163 KB  
Article
Analysis of Application of Design Standards for Future Climate Change Adaptive Agricultural Reservoirs Using Cluster Analysis
by Dong-Hyuk Joo, Ra Na, Hayoung Kim, Seung-Hwan Yoo and Sang-Hyun Lee
Water 2025, 17(24), 3463; https://doi.org/10.3390/w17243463 - 5 Dec 2025
Abstract
This study aimed to assess the impact and vulnerability of climate change by classifying 26 clusters of meteorologically homogeneous regions. To determine the optimal clustering method, both K-means and Gaussian Mixture Model (GMM) clustering were analyzed using the effective storage capacity to watershed [...] Read more.
This study aimed to assess the impact and vulnerability of climate change by classifying 26 clusters of meteorologically homogeneous regions. To determine the optimal clustering method, both K-means and Gaussian Mixture Model (GMM) clustering were analyzed using the effective storage capacity to watershed area ratio. The optimal number of clusters was derived based on several evaluation metrics, including the Silhouette Score, Calinski-Harabasz Index, Akaike Information Criterion (AIC), and Bayesian Information Criterion (BIC). Ultimately, GMM clustering was identified as the optimal method, with the best clustering results obtained at k = 4 for an effective storage capacity of 100,000 to 400,000 tons and k = 5 for an effective storage capacity of 400,000 to 10,000,000 tons. Additionally, standard reservoirs applicable to agricultural production infrastructure design standards were identified based on homogeneous weather region clusters, the optimal clustering method, and centroid results. The findings of this study can serve as fundamental data for the development and revision of design standards, contributing to more climate-resilient agricultural infrastructure. Full article
Show Figures

Figure 1

17 pages, 3818 KB  
Article
Water and Soil Salinization Mechanism in the Arid Barkol Inland Basin in NW China
by Ziyue Wang, Chaoyao Zan, Yajing Zhao, Bo Xu, Rui Long, Xiaoyong Wang, Jun Zhang and Tianming Huang
Water 2025, 17(24), 3462; https://doi.org/10.3390/w17243462 - 5 Dec 2025
Abstract
Identifying the dominant mechanisms of water and soil salinization in arid and semi-arid endorheic basins is fundamental for our understanding of basin-scale water–salt balance and supports water resources management. In many inland basins, mineral dissolution, evaporation, and transpiration govern salinization, but disentangling these [...] Read more.
Identifying the dominant mechanisms of water and soil salinization in arid and semi-arid endorheic basins is fundamental for our understanding of basin-scale water–salt balance and supports water resources management. In many inland basins, mineral dissolution, evaporation, and transpiration govern salinization, but disentangling these processes remains difficult. Using the Barkol Basin in northwestern China as a representative endorheic system, we sampled waters and soils along a transect from the mountain front through alluvial fan springs and rivers to the terminal lake. We integrated δ18O–δ2H with hydrochemical analyses, employing deuterium excess (d-excess) to partition salinity sources and quantify contributions. The results showed that mineral dissolution predominated, contributing 65.8–81.8% of groundwater salinity in alluvial fan settings and ~99.7% in the terminal lake, whereas direct evapoconcentration was minor (springs and rivers ≤ 4%; lake ≤ 0.2%). Water chemistry types evolved from Ca-HCO3 in mountainous runoff, to Ca·Na-HCO3·SO4 in groundwater and groundwater-fed rivers, and finally to Na-SO4·Cl in the terminal lake. The soil profiles showed that groundwater flow and vadose-zone water–salt transport control spatial patterns: surface salinity rises from basin margins (<1 mg/g) to the lakeshore and is extremely high near the lake (23.85–244.77 mg/g). In spring discharge belts and downstream wetlands, the sustained evapotranspiration of groundwater-supported soil moisture drives surface salt accumulation, making lakeshores and wetlands into terminal sinks. The d-excess-based method can robustly separate the salinization processes despite its initial isotopic variability. Full article
Show Figures

Figure 1

17 pages, 1306 KB  
Article
Effects of Forest Thinning on Water Yield and Runoff Components in Headwater Catchments of Japanese Cypress Plantation
by Ibtisam Mohd Ghaus, Nobuaki Tanaka, Takanori Sato, Moein Farahnak, Yuya Otani, Anand Nainar, Mie Gomyo and Koichiro Kuraji
Water 2025, 17(24), 3461; https://doi.org/10.3390/w17243461 - 5 Dec 2025
Abstract
Forests play a key role in sustaining global water cycles by regulating precipitation partitioning, which in turn influences both water yield and ecosystem stability. Thinning is a silvicultural tool used to improve forest plantation productivity, but it is increasingly recognized as a means [...] Read more.
Forests play a key role in sustaining global water cycles by regulating precipitation partitioning, which in turn influences both water yield and ecosystem stability. Thinning is a silvicultural tool used to improve forest plantation productivity, but it is increasingly recognized as a means for water resource management. This study investigated hydrological changes following 40% thinning of tree density with contour-aligned log placement in paired headwater catchments of a Japanese cypress forest. Annual runoff in the treated catchment was 108.7 mm above the pre-thinning baseline in the thinning year (2020), followed by smaller increases of 99.7 mm, 43.7 mm, and 0.4 mm in 2021 to 2023, after which annual yields effectively returned to pre-thinning levels. Despite these temporary increases, peak discharge and storm quickflow metrics remained within the pre-thinning range. Flow duration curve analysis revealed a sustained enhancement of low-flow discharge and baseflow throughout the post-thinning period, indicating improved low-flow resilience without increased stormflow risk. These findings demonstrate that moderate thinning combined with contour felled logs can enhance water availability in plantation forests while maintaining flood protection. They also highlight the need for long-term, multi-site studies to test the persistence and generality of these low-flow benefits under varying forest and climate conditions. Full article
(This article belongs to the Section Hydrology)
17 pages, 1112 KB  
Article
Experimental Characterization of Water Droplet Dynamics in Sprinkler Irrigation Using High-Speed Photography
by Joseph Kwame Lewballah, Xingye Zhu, Peng Li and Alexander Fordjour
Water 2025, 17(24), 3460; https://doi.org/10.3390/w17243460 - 5 Dec 2025
Abstract
A clear understanding of water droplet formation and distribution dynamics is fundamental to improving the hydraulic performance and operational efficiency of sprinkler irrigation systems. This study presents an experimental investigation of droplet characteristics using high-speed photography under controlled laboratory conditions. The objective was [...] Read more.
A clear understanding of water droplet formation and distribution dynamics is fundamental to improving the hydraulic performance and operational efficiency of sprinkler irrigation systems. This study presents an experimental investigation of droplet characteristics using high-speed photography under controlled laboratory conditions. The objective was to analyze droplet diameter, ellipticity, frequency, and velocity at working pressures of 0.2, 0.25, and 0.3 MPa. Median droplet diameters measured at 6–8 m from the nozzle were 2.79 mm, 3.41 mm, and 3.68 mm at 0.2 MPa, with a reduction of up to 17.7% as pressure increased to 0.3 MPa. Smaller droplets were predominantly concentrated near the nozzle and decreased with radial distance, influencing water application uniformity. Morphological parameters such as uniformity (1.3), ellipticity (2.13), and circularity (0.81) were quantified. Cumulative frequency curves revealed 12% droplet fragmentation at 7–8 m under higher pressures, illustrating the dynamic nature of droplet breakup. A strong linear correlation between droplet diameter and calibrated reference diameter confirmed the reliability of the measurement technique. These findings demonstrate that high-speed photography is a robust method for droplet characterization and provides accurate, repeatable data essential for optimizing sprinkler designs to reduce water loss due to evaporation and wind drift. The study contributes to precision irrigation research by offering a detailed understanding of droplet behavior under varying operating pressures. Full article
25 pages, 803 KB  
Article
Has the Water Rights Trading Policy Improved Water Resource Utilization Efficiency?
by Pei Du, Juntao Du and Qingqing Liu
Water 2025, 17(24), 3459; https://doi.org/10.3390/w17243459 - 5 Dec 2025
Abstract
Implementing natural resource protection systems and improving regional water resource utilization efficiency are effective ways to resolve the contradiction between economic development and water resource poverty. To this end, this paper establishes a Difference-in-Difference (DID) model to analyze the impact of water rights [...] Read more.
Implementing natural resource protection systems and improving regional water resource utilization efficiency are effective ways to resolve the contradiction between economic development and water resource poverty. To this end, this paper establishes a Difference-in-Difference (DID) model to analyze the impact of water rights trading pilot policies (WET) in 271 prefecture-level cities in China from 2006 to 2023 on water resource utilization efficiency (WEE). The research results indicate that (1) WET significantly improved WEE, while confirming the robustness of this effect; (2) WET exhibit significant heterogeneity in their policy effects on WEE, reflecting pronounced differences between northern and southern cities in terms of geographical location and water resource endowment. In cities with abundant water resources, this promotional effect is even more pronounced; (3) market vitality and water conservation benefits can positively promote the impact of WET through regulatory mechanisms. Based on this, expanding the pilot cities for water rights trading policies and enhancing market vitality can effectively improve WEE and alleviate the current situation of water resource poverty in the region. Full article
(This article belongs to the Section Urban Water Management)
18 pages, 1535 KB  
Article
Study on the Synergistic Relationship Between Water and Sediment and the Response of Erosion and Deposition in the Lower Reaches of the Yellow River
by Jingye Chen, Wenli Niu and Shengqi Jian
Water 2025, 17(24), 3458; https://doi.org/10.3390/w17243458 - 5 Dec 2025
Abstract
The lower Yellow River, characterized by high sediment concentration and complex channel evolution, faces a persistent challenge of maintaining erosion–deposition balance. Using long-term hydrological and cross-sectional data (1950–2022) from seven key stations (Huayuankou–Lijin), this study established P-III frequency models for annual runoff ( [...] Read more.
The lower Yellow River, characterized by high sediment concentration and complex channel evolution, faces a persistent challenge of maintaining erosion–deposition balance. Using long-term hydrological and cross-sectional data (1950–2022) from seven key stations (Huayuankou–Lijin), this study established P-III frequency models for annual runoff (Q) and sediment discharge (S), introducing the flow–sediment frequency correlation coefficient (ζ) and the frequency relationship coefficient (λ) to quantify their synergy and erosion–deposition response. Results showed that (1) sediment discharge decreased by 91.4% at Huayuankou since the 1950s, while runoff decreased by 41.5%; (2) the flow–sediment synergy differed with river type—meandering (ζ ≈ 0, 69.23%) > transitional (64.39%) > wandering (59.26%); and (3) the equilibrium threshold of erosion and deposition was P(S) = (0.664–0.779) P(Q), corresponding to an incoming sediment coefficient of ~0.012 kg·s/m6. These findings quantitatively define the frequency-based synergy and threshold mechanism of flow and sediment in the lower Yellow River, providing a scientific basis for sediment regulation and channel stability management. Full article
(This article belongs to the Special Issue Advances in Hydraulic and Water Resources Research (3rd Edition))
22 pages, 4254 KB  
Article
Comparative Study on Scour Protection Methods for Pile Group Foundations Under Wave–Current Coupling
by Bowen Weng and Junliang Lu
Water 2025, 17(24), 3457; https://doi.org/10.3390/w17243457 - 5 Dec 2025
Abstract
Wave–current coupling significantly increases the vulnerability of underwater pile foundations to scour, making effective protection measures essential for waterborne structures. In this study, a group pile of a sea-crossing bridge in Zhejiang province, China, was selected as the research object, and fifteen scour [...] Read more.
Wave–current coupling significantly increases the vulnerability of underwater pile foundations to scour, making effective protection measures essential for waterborne structures. In this study, a group pile of a sea-crossing bridge in Zhejiang province, China, was selected as the research object, and fifteen scour simulations were conducted using FLOW-3D v11.2 to investigate the effects of water depth, flow velocity, and wave action on the scour characteristics of pile groups. Furthermore, the performance of two protection strategies (riprap and sacrificial piles) was comparatively analyzed. The results showed that the presence of waves altered the scour pattern, while variations in water depth influenced the scour morphology through changes in the downflow structure. Under wave–current coupling, variations in flow velocity affected the distribution of the scour depth profile. Without protection, the maximum scour occurred between the second and third rows of upstream piles, with an average scour depth exceeding 7 m. When protection measures were applied, square riprap exhibited a superior performance compared to elliptical riprap. A 2 m thick square riprap layer effectively reduced the maximum scour depth by 89%. Sacrificial piles alone provided limited protection, reducing the maximum scour depth by 25%. These findings provide valuable insights for optimizing scour protection design under complex wave–current conditions. Full article
(This article belongs to the Section Hydraulics and Hydrodynamics)
Show Figures

Figure 1

38 pages, 8057 KB  
Article
Advancing Riverine–Lacustrine Ecosystem Vulnerability Prediction Using Multi-Sensor Satellite Data, Attention-Based Deep Learning, and Evolutionary Metaheuristics
by Zhou Zheng, Xuexia Shi, Fuchu Zhang and Xinlin He
Water 2025, 17(24), 3456; https://doi.org/10.3390/w17243456 - 5 Dec 2025
Abstract
Riverine–lacustrine ecosystems in river–lake continua face increasing threats, yet conventional vulnerability maps often overlook local degradation drivers. This study presents an advanced satellite-based mapping framework using Deep Attention Networks (DANets) for accurate, interpretable vulnerability assessment. In the Ebinur Lake Basin, a representative dryland [...] Read more.
Riverine–lacustrine ecosystems in river–lake continua face increasing threats, yet conventional vulnerability maps often overlook local degradation drivers. This study presents an advanced satellite-based mapping framework using Deep Attention Networks (DANets) for accurate, interpretable vulnerability assessment. In the Ebinur Lake Basin, a representative dryland river system, we first built a satellite-derived evidence map of ecosystem stress aligned with the IPCC’s vulnerability definition. We then optimized DANets via two nature-inspired algorithms: Genetic Algorithm (GA) and Grey Wolf Optimizer (GWO). The optimized models demonstrated strong predictive capacity, explaining a large share of vulnerability variance (R2 = 0.78 for GA-DANets; R2 = 0.76 for GWO-DANets). For high/low-vulnerability discrimination, GWO-DANets was most effective and stable, with a mean AUC = 0.960 ± 0.044. Factor importance analysis identified soil organic carbon (SOC; 0.29), precipitation seasonality (0.24), and aridity (0.22) as dominant drivers. Two distinct pathways emerged: chronic degradation in arid plains, driven by low SOC and poor water retention; and acute hydrological stress in wetlands, where carbon-rich soils are sensitive to drying. This insight shifts management from uniform to targeted approaches: soil restoration in plains and water-flow protection in wetlands. By integrating metaheuristically optimized deep learning with multi-sensor satellite data, the framework offers a scalable decision-support tool for safeguarding water-dependent ecosystems. The study confirms that vulnerability in the basin follows two predictable, process-based trajectories, which can be directly linked to measurable soil and hydrological conditions. These clear patterns allow managers to prioritize interventions where they will have the greatest effect under ongoing climate pressure. Full article
(This article belongs to the Special Issue Applications of Remote Sensing and GISs in River Basin Ecosystems)
12 pages, 1603 KB  
Article
Two-Dimensional Numerical Analysis of Submerged Dike Hydrodynamics
by Xiaojie Zhang, Yachao Zhang, Yanfen Deng, Xianghuang Li and Bowen Guan
Water 2025, 17(24), 3455; https://doi.org/10.3390/w17243455 - 5 Dec 2025
Abstract
Many studies have been conducted on wave and sediment movement with submerged dikes. However, the effect of a submerged dike’s height and orientation on hydrodynamics has not been thoroughly examined from the perspective of the marine ecology impact. This paper employs a two-dimensional [...] Read more.
Many studies have been conducted on wave and sediment movement with submerged dikes. However, the effect of a submerged dike’s height and orientation on hydrodynamics has not been thoroughly examined from the perspective of the marine ecology impact. This paper employs a two-dimensional numerical model to investigate effects of submerged dike height and orientation on flow, specifically flow velocity and cross-dike flux. The findings indicate that the most significant velocity variation occurs at a distance of approximately one-fifth of the dike length (0.2 L) from the dike head, when the flow is perpendicular to the dike and parallel to the coastline. And this area as the submerged dike’s protection zone will have the least impact on the surrounding environment. The change pattern of the flow velocity with the distance apart from the submerged dike varies for different submerged dike heights. A submerged dike height of 0.7 times the water depth (0.7 H) is a dividing value. Additionally, as the orientation angle increases, the cross-dike flux rises. From the perspective of the impact on the marine ecological environment, the design angle of the submerged dike should be as small as possible. The findings establish a theoretical hydrodynamic basis that may support future integrated studies on coastal zone management. Full article
(This article belongs to the Special Issue Coastal Engineering and Fluid–Structure Interactions)
Show Figures

Figure 1

21 pages, 3147 KB  
Article
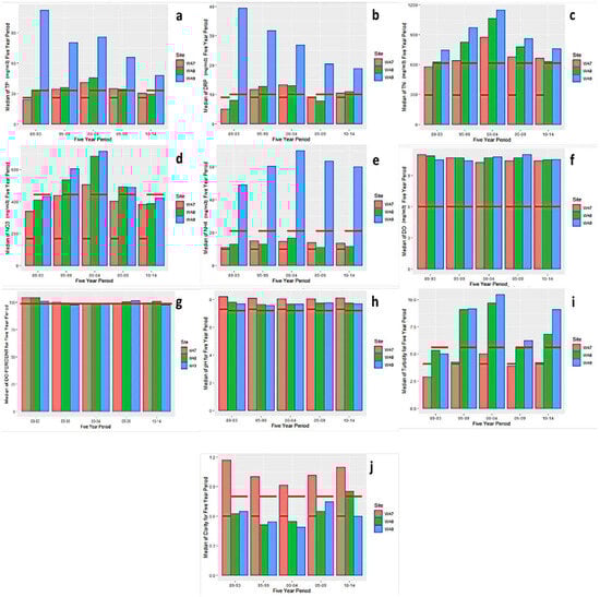
Analysis of Spatio-Temporal Characteristics of Water Quality for Ecological Water Replenishment in the Gorge Section of Yongding River
by Guannan Cui, Yihao Meng, Xiaofei Li, Zhiyao Wang, Qi Yao, Wenchao Li, Liming Dong and Linlin Xia
Water 2025, 17(24), 3454; https://doi.org/10.3390/w17243454 - 5 Dec 2025
Abstract
As one of the key water bodies in the Beijing region, the water quality of the Yongding River directly impacts the ecological security and residents’ lives in China’s capital. The national government places high importance on the ecological environment of the Yongding River [...] Read more.
As one of the key water bodies in the Beijing region, the water quality of the Yongding River directly impacts the ecological security and residents’ lives in China’s capital. The national government places high importance on the ecological environment of the Yongding River and initiated ecological water replenishment efforts in 2019. This study combines ecological water replenishment with flood season water volume segmentation, employing correlation analysis, principal component analysis, and cluster analysis to conduct an in-depth investigation of water quality monitoring data (2019–2023) from the mountain gorge section of the Yongding River. Results indicate that, temporally, the permanganate index, chemical oxygen demand, ammonia nitrogen, and total phosphorus in 2023 decreased by 7.67%, 11.75%, 38.05%, and 18.23%, respectively, compared to 2019. Spatially, water quality at the outlet of the mountain gorge section showed significant improvement compared to the inlet. Statistical analysis by period revealed that water quality during non-flood seasons without water replenishment was superior to that during non-flood seasons with replenishment, which in turn was better than during flood seasons without replenishment. This indicates relatively good original water quality in the Yongding River. Overall, the river’s water quality meets the Class III surface water environmental quality standards. Full article
Show Figures

Figure 1

20 pages, 1296 KB  
Article
Use of Ultrafiltration Membranes as Tertiary/Quaternary Treatment for Wastewater Reclamation in Municipal WWTPs
by Á. Sabina Acebrón, Julio Revert-Vercher, Pau Sanchis-Perucho, Luis Borrás and Aurora Seco
Water 2025, 17(24), 3453; https://doi.org/10.3390/w17243453 - 5 Dec 2025
Abstract
This work assesses the viability of ultrafiltration (UF) membranes as a substitution for classic tertiary technologies for municipal wastewater (MWW) treatment. UF membranes can offer efficient MWW filtration, meeting quality standards regarding solids, bacteria, viruses and emerging pollutants, such as microplastics. All of [...] Read more.
This work assesses the viability of ultrafiltration (UF) membranes as a substitution for classic tertiary technologies for municipal wastewater (MWW) treatment. UF membranes can offer efficient MWW filtration, meeting quality standards regarding solids, bacteria, viruses and emerging pollutants, such as microplastics. All of these make UF not only an attractive competitor regarding tertiary treatments but also a potential quaternary treatment according to the latest legislation. Indeed, the achieved permeate quality meets the more stringent parameters for water reuse in agriculture according to the European standard (A-type water). The UF membrane’s feasibility when used as an MWW tertiary/quaternary treatment was assessed in a semi-industrial plant with commercially available industrial membrane modules under different operating conditions: (1) transmembrane flux, (2) air sparging intensity and filtration/relaxation periodicities, (3) the concentration of solids reached in the membrane tank and (4) the efficacy of chemically enhanced backwashing (CEB) to mitigate fouling. Increasing the air intensity (around 0.25 m3 m−2 h−1), increasing the solids concentration (3–4 g L−1) and using acid chemicals for backwashing at low concentrations but high periodicities (about 25–50 ppm of HCl/citric acid at a pH of 2.5 once or twice every 15 days) displayed great effectiveness in minimizing fouling, which was found to be mainly reversible. Thanks to the stablished conditions, semi-industrial UF membrane filtration was possible for more than 30 days when operating at relatively high transmembrane fluxes (21.5 LMH), achieving an average transmembrane pressure of around 120 mbar with an extremely low fouling growth rate of 0.024 mbar d−1. Full article
Show Figures

Figure 1

5 pages, 1029 KB  
Correction
Correction: Tenebe et al. Multi-Dimensional Surface Water Quality Analyses in the Manawatu River Catchment, New Zealand. Water 2023, 15, 2939
by Imokhai T. Tenebe, Jason P. Julian, PraiseGod C. Emenike, Nathaniel Dede-Bamfo, Omeje Maxwell, Samuel E. Sanni, Eunice O. Babatunde and Darlan D. Alves
Water 2025, 17(24), 3452; https://doi.org/10.3390/w17243452 - 5 Dec 2025
Abstract
In the original publication [...] Full article
Show Figures

Figure 4

25 pages, 3145 KB  
Article
Modeling the Effect of Nature-Based Solutions in Reducing Soil Erosion with InVEST ® SDR: The Carapelle Case Study
by Ossama M. M. Abdelwahab, Giovanni Francesco Ricci, Addolorata Maria Netti, Anna Maria De Girolamo and Francesco Gentile
Water 2025, 17(24), 3451; https://doi.org/10.3390/w17243451 - 5 Dec 2025
Abstract
Soil erosion threatens agricultural sustainability and water quality in Mediterranean watersheds, necessitating effective Nature-Based Solutions (NBSs) for mitigation. This study applied the InVEST Sediment Delivery Ratio (SDR) model to assess erosion patterns and evaluate NBS effectiveness in the Carapelle watershed (506 km2 [...] Read more.
Soil erosion threatens agricultural sustainability and water quality in Mediterranean watersheds, necessitating effective Nature-Based Solutions (NBSs) for mitigation. This study applied the InVEST Sediment Delivery Ratio (SDR) model to assess erosion patterns and evaluate NBS effectiveness in the Carapelle watershed (506 km2). The SDR model was calibrated and validated using measured sediment yield data from 2007 and 2008. Model validation achieved a 4.3% deviation from observed data after parameter optimization. Four NBS scenarios were evaluated: contour farming (CF), no-tillage (NT), cover crops (CCs), and combined practices (Comb). Baseline soil loss varied from 2.43 t ha−1 yr−1 (2007) to 3.88 t ha−1 yr−1 (2008), with sediment export ranging from 0.86 to 1.30 t ha−1 yr−1. NT demonstrated the highest individual effectiveness, reducing sediment export by 72.2% on average. The Comb approach (NT + CCs) achieved a superior performance with a 75.9% sediment export reduction and a 70.5% soil loss reduction. Spatial analysis revealed that high-retention zones were concentrated in forest and shrubland, while agricultural zones showed the greatest potential for NBS implementation. NBSs significantly enhance sediment retention services in Mediterranean agricultural watersheds. The InVEST SDR model proves to be effective for watershed-scale assessment. The results provide actionable guidance for sustainable land management and soil conservation policy in erosion-prone Mediterranean environments. Full article
(This article belongs to the Special Issue Soil Erosion and Sedimentation by Water)
Show Figures

Figure 1

22 pages, 4293 KB  
Article
Immobilized Sinirhodobacter sp. 1C5-22 for Multi-Metal Bioremediation: Molecular Resistance Mechanisms and Operational Validation in Industrial Wastewater Systems
by Yue Qiao, Xiaojun Huang, Si Chen, Zuye Zhang, Ying Xu, Xiaorui Zhang, Runmei Jia, Song Zhang, Wenting Lin, Xian Jiao, Huirong Chen, Zhipeng Guo, Xiao Ye, Zefeng Wu and Zhongmei Lin
Water 2025, 17(24), 3450; https://doi.org/10.3390/w17243450 - 5 Dec 2025
Abstract
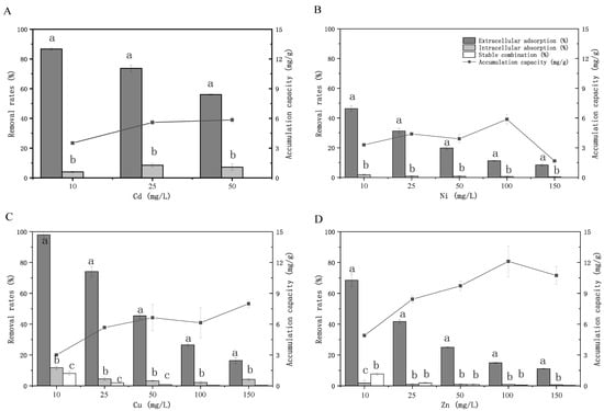
A novel heavy metal-resistant bacterium with significant bioremediation capabilities, Sinirhodobacter sp. 1C5-22 was isolated from moderately polluted Shenzhen Futian mangrove rhizosphere sediments. This strain showed exceptional tolerance (MIC ≥ 600 mg/L for Cu/Zn; > 500 mg/L for Ni). Analyses revealed distinct metal-specific distribution [...] Read more.
A novel heavy metal-resistant bacterium with significant bioremediation capabilities, Sinirhodobacter sp. 1C5-22 was isolated from moderately polluted Shenzhen Futian mangrove rhizosphere sediments. This strain showed exceptional tolerance (MIC ≥ 600 mg/L for Cu/Zn; > 500 mg/L for Ni). Analyses revealed distinct metal-specific distribution strategies: Cd and Ni were predominantly bound extracellularly (>80%); Cu was bound intracellularly (~60%); and Zn exhibited balanced partitioning. Integrated omics analysis identified a molecular defense mechanism coordinated by the CreB transcriptional regulator. This Adsorption–Sequestration–Efflux (ASE) system integrates extracellular polymer binding, periplasmic sequestration via stable metal-binding proteins, and efflux pump activity, resolving the apparent adsorption-tolerance paradox at elevated concentrations. For bioremediation applications, we developed a polyvinyl alcohol–sodium alginate immobilized consortium (PVA-SA 1C5-22). The engineered agent displayed significantly enhanced biosorption capacity compared to free cells and effectively mitigated heavy metal-induced oxidative damage, evidenced by stabilized malondialdehyde levels. It demonstrated robust reusability, maintaining high metal enrichment across five adsorption–desorption cycles in multi-metal wastewater with efficient HCl-driven desorption (55–70%). Critically, it achieved stable nickel removal performance (~20% adsorption, >50% desorption) from authentic electroplating wastewater (1850 mg/L Ni2+) through successive multiple cycles. Our integrated approach bridges microbial ecology and environmental biotechnology, establishing this immobilized system as a highly sustainable strategy for complex industrial effluent remediation. Full article
Show Figures

Figure 1

19 pages, 1915 KB  
Article
Building a Generalized Pre-Training Model to Predict River Water-Level from Radar Rainfall
by Futo Ueda, Hiroto Tanouchi, Nobuyuki Egusa and Takuya Yoshihiro
Water 2025, 17(24), 3449; https://doi.org/10.3390/w17243449 - 5 Dec 2025
Abstract
In our previous work, we proposed a river water-level prediction method using deep learning, incorporating radar rainfall data in place of water-level and rainfall stations upstream of the prediction point. By introducing a newly defined flow distance matrix, transfer learning becomes available, i.e., [...] Read more.
In our previous work, we proposed a river water-level prediction method using deep learning, incorporating radar rainfall data in place of water-level and rainfall stations upstream of the prediction point. By introducing a newly defined flow distance matrix, transfer learning becomes available, i.e., even when data at the prediction point is scarce, accurate water-level predictions are made using inundation data from other rivers. However, this approach requires pre-selecting rivers that behave similarly to the prediction point for training, making it laborious to build prediction models for multiple rivers. Furthermore, the previous study only performed predictions for a single river, raising uncertainty about whether the method is applicable to water-level prediction for other rivers with different conditions. In this paper, we construct a generalized river water-level prediction model commonly applicable to multiple Japanese rivers by using inundation data from all Japanese Class-A rivers (the major river systems managed by the government) for pre-training, rather than only the rivers similar to the prediction site. Through evaluation, we showed that pre-training using all Class-A rivers yields higher prediction accuracy than pre-training using similar rivers across multiple rivers with varying conditions. This demonstrates that using all Class-A rivers for pre-training enables the construction of a generalized river water-level prediction model applicable to a wide range of rivers. Full article
Show Figures

Figure 1

27 pages, 7755 KB  
Article
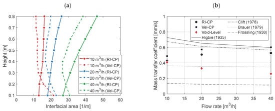
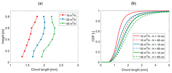
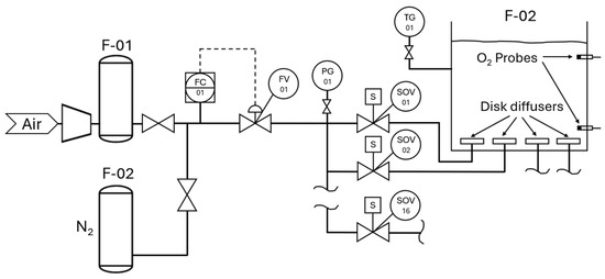
Characterization of a Multi-Diffuser Fine-Bubble Aeration Reactor: Influence of Local Parameters and Hydrodynamics on Oxygen Transfer
by Oscar Prades-Mateu, Guillem Monrós-Andreu, Delia Trifi, Jaume Luis-Gómez, Salvador Torró, Raúl Martínez-Cuenca and Sergio Chiva
Water 2025, 17(24), 3448; https://doi.org/10.3390/w17243448 - 5 Dec 2025
Abstract
Fine-bubble aeration is a core process in wastewater treatment plants (WWTPs). However, the physical mechanisms linking bubble plume hydrodynamics to oxygen transfer performance remain insufficiently quantified under configurations representative of full-scale installations. This study presents a local multi-sensor experimental characterization of a multiple [...] Read more.
Fine-bubble aeration is a core process in wastewater treatment plants (WWTPs). However, the physical mechanisms linking bubble plume hydrodynamics to oxygen transfer performance remain insufficiently quantified under configurations representative of full-scale installations. This study presents a local multi-sensor experimental characterization of a multiple bubble plume system using a 4 × 4 array of commercial membrane diffusers in a pilot-scale aeration tank (2 m3), emulating WWTP diffuser density and geometry. Airflow rate was varied to analyze its effects on mixing and oxygen transfer efficiency. The experimental methodology combines three complementary measurement approaches. Oxygen transfer performance is quantified using a dissolved oxygen probe. Liquid-phase velocity fields are then mapped using Acoustic Doppler Velocimetry (ADV). Finally, local two-phase measurements are obtained using dual-tip Conductivity Probe (CP) arrays, which provide bubble size, bubble velocity, void fraction, and Interfacial Area Concentration (IAC). Based on these observations, a zonal hydrodynamic model is proposed to describe plume interaction, wall-driven recirculation, and the formation of a collective plume core at higher airflows. Quantitatively, the results reveal a 29% reduction in Standard Oxygen Transfer Efficiency (SOTE) between 10 and 40 m3/h, driven by a 41% increase in bubble size and an 18% rise in bubble velocity. Bubble chord length also increased with height, by 33%, 19%, and 15% over 0.8 m for 10, 20, and 40 m3/h, respectively. These trends indicate that increasing airflow enhances turbulent mixing but simultaneously enlarges bubbles and accelerates their ascent, thereby reducing residence time and negatively affecting oxygen transfer. Overall, the validated multiphase datasets and mechanistic insights demonstrate the dominant role of diffuser interaction in dense layouts, supporting improved parameterization and experimental benchmarking of fine-bubble aeration systems in WWTPs. Full article
(This article belongs to the Special Issue Hydrodynamics Science Experiments and Simulations, 2nd Edition)
Show Figures

Figure 1

25 pages, 5517 KB  
Article
A 21-Year Analysis of Turbidity Variability in Cartagena Bay: Seasonal Patterns and the Influence of ENSO
by Monica Eljaiek-Urzola, Lino Augusto Sander de Carvalho, Edgar Quiñones-Bolaños, Stella Patricia Betancur-Turizo and Luiz Felipe Machado Faria de Sousa
Water 2025, 17(24), 3447; https://doi.org/10.3390/w17243447 - 5 Dec 2025
Abstract
Cartagena Bay, a coastal estuary in northern Colombia, receives significant sediment inputs from the Canal del Dique, an artificial channel with average discharge rates of 55 m3/s during the dry season and 250 m3/s during the rainy season. This [...] Read more.
Cartagena Bay, a coastal estuary in northern Colombia, receives significant sediment inputs from the Canal del Dique, an artificial channel with average discharge rates of 55 m3/s during the dry season and 250 m3/s during the rainy season. This study presents the variability of turbidity in Cartagena Bay for 21 years (2002–2022) using MODIS satellite imagery. Turbidity series were determined by using a remote sensing empirical algorithm developed for Cartagena Bay in 2024. In the present study, this algorithm was validated using MODIS data, demonstrating an adequate performance (R2 = 0.88, RMSE = 3.1, MAPE = 29.5%). Spatial and temporal turbidity patterns were analyzed for three representative months: February (dry season), July (low precipitation), and November (high rainfall). The role of the El Niño–Southern Oscillation (ENSO) on the dynamics of the Canal del Dique discharge and turbidity levels was studied through anomaly analysis and Fourier Transform Analysis (FTA). Results highlight a marked spatial variability in turbidity, with the highest turbidity levels observed near the canal mouth from April to September. FTA revealed a dominant annual cycle in turbidity and discharge, with additional semi-annual and multi-year periodicities linked to the rainfall periods and ENSO. Turbidity variability appears primarily driven by seasonal and local hydrodynamic processes, with a long-term increasing trend in turbidity. This approach can be applied to other tropical estuaries under strong fluvial influence. Full article
Show Figures

Figure 1

Previous Issue
Back to TopTop