Study on the Synergistic Relationship Between Water and Sediment and the Response of Erosion and Deposition in the Lower Reaches of the Yellow River
Abstract
1. Introduction
2. Research Data and Methods
2.1. Research Areas and Data Sources
2.2. Research Method
2.2.1. Construction of P-III Frequency Curve
2.2.2. Synergistic Index of Water and Sediment Frequency
2.2.3. Trend and Mutation Test
3. Result
3.1. Stage Characteristics of Water and Sediment Variation in the Lower Yellow River
3.2. Synergistic Law of Water and Sediment Frequency in the Lower Yellow River
3.3. Response of Water and Sediment Abundance to Water and Sediment Frequency Relationship
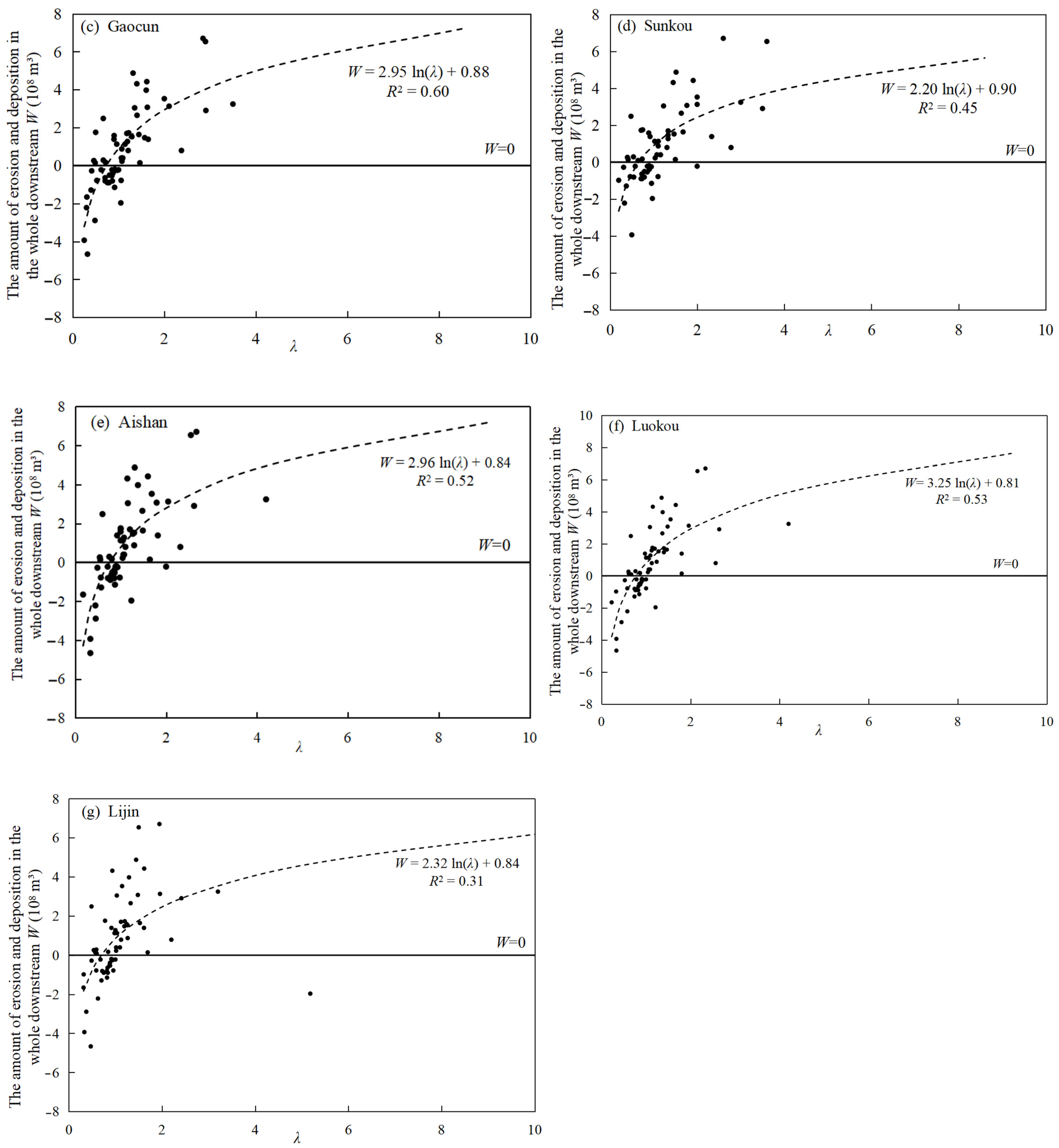
3.4. Response of Erosion and Deposition of Different River Types to the Relationship Between Water and Sediment Frequency
4. Discussion
4.1. Evolution Mechanism and Frequency Synergy Characteristics of Water–Sediment Relationship in the Lower Yellow River
4.2. The Modulation Mechanism of River Type Difference on Water–Sediment Coordination and Erosion–Deposition Response
5. Conclusions
Author Contributions
Funding
Data Availability Statement
Conflicts of Interest
References
- Feng, J.; Qin, T.; Lv, X.; Liu, S.; Wen, J.; Chen, J. Frequent drought and flood events in the Yellow River Basin, increasing future drought trends in the middle and upper reaches. Int. J. Appl. Earth Obs. Geoinf. 2025, 139, 104511. [Google Scholar] [CrossRef]
- Geng, N.; Tian, G.; Zhang, H. The spatial–temporal evolution characteristics and influencing factors of coordinated development in the Yellow River Basin: Based on the perspective of flood-sediment transport, eco-environmental, and socio-economic subsystems. Ecol. Indic. 2025, 176, 113673. [Google Scholar] [CrossRef]
- Cheng, Y.; Xia, J.; Fang, H.; Zhou, M.; Zhou, Z.; Lu, J.; Li, D.; Falconer, R.A.; Bai, Y. Modelling of Flood Risks to People’s Life and Property in the Lower Yellow River Under Different Floodplain Management Modes. Engineering 2025, 51, 240. [Google Scholar] [CrossRef]
- Tu, D.; Wang, H.; Ren, Y.; Lu, T.; Bi, N.; Wu, X.; Wang, A. Modeling of the sediment transport and deposition in the Yellow River Estuary during the water-sediment regulation scheme. Catena 2025, 251, 108806. [Google Scholar] [CrossRef]
- Yang, T.; Niu, J.; Fan, D.; Wang, D.; Miao, Y.; Wang, M.; Zheng, J.; Zhang, L.; Chen, X.; Berndtsson, R. Drivers of wind and water erosion for river sediments in a typical coarse sandy area in the middle reaches of the Yellow River. Sci. Total Environ. 2024, 955, 177039. [Google Scholar] [CrossRef] [PubMed]
- Wang, S.; Fu, B.; Liang, W.; Liu, Y.; Wang, Y. Driving forces of changes in the water and sediment relationship in the Yellow River. Sci. Total Environ. 2017, 576, 453. [Google Scholar] [CrossRef]
- Su, T.; Huang, H.Q.; Carling, P.A.; Nanson, G.C.; Zhang, M. Criticality in the evolution of river meanders in the Lower Yellow River in response to anthropogenic-induced hydrological regime shift. Geomorphology 2025, 488, 109942. [Google Scholar] [CrossRef]
- Yang, X.; Hu, Y.; Sun, Z.; Li, Y.; Xiong, H.; Li, D. Human interventions alter morphodynamics of meandering channels: Insights from decadal to pre-industrial observations in the Yangtze River. J. Hydrol. 2024, 634, 131067. [Google Scholar] [CrossRef]
- Wu, B.; Wang, G.; Xia, J.; Fu, X.; Zhang, Y. Response of bankfull discharge to discharge and sediment load in the Lower Yellow River. Geomorphology 2008, 100, 366. [Google Scholar] [CrossRef]
- Liu, Y.; Xia, J.; Zhou, M.; Cheng, Y.; Deng, S.; Miao, C. Response of braiding intensity in a braided reach of the Lower Yellow River to upstream damming. Glob. Planet. Change 2025, 253, 104911. [Google Scholar] [CrossRef]
- Li, J.; Li, H.; Wang, Y.; Liu, G.; Yang, F.; Wang, Q.; Li, D. Multi-objective synergy and competition relationship of water and sediment regulation of the Heishanxia reservoir in upstream of the Yellow River Basin. J. Hydrol. Reg. Stud. 2024, 56, 102045. [Google Scholar] [CrossRef]
- Li, W.; Qian, H.; Xu, P.; Hou, K.; Zhang, Q.; Qu, W.; Ren, W.; Chen, Y. Aeolian-fluvial interactions in the Yellow River Basin, China: Insights from sedimentary characteristics and provenance of the sedimentary sequences. J. Hydrol. 2023, 624, 129903. [Google Scholar] [CrossRef]
- Yan, Z.; Lei, H.; Gao, H.; Ma, T.; Yang, H.; Yang, D. Simulating the hydrological impacts of intensive soil and water conservation measures in the Yellow River basin using a distributed physically-based model. J. Hydrol. 2023, 625, 129936. [Google Scholar] [CrossRef]
- Qiao, S.; Yu, Y.; Wang, L.; Zhu, M.; Yang, Y. Impacts of the water-sediment regulation scheme on nutrient inputs in the Yellow River estuary and assessment of marine purification capacity. Mar. Environ. Res. 2025, 212, 107542. [Google Scholar] [CrossRef] [PubMed]
- Li, C.; Lu, Z.; Yan, D.; Zhang, J.; Dong, Z.; Ma, Q. Assessing spatiotemporal dynamics of water and land resources matching under dynamic environmental conditions in the Yellow River basin, China. J. Clean. Prod. 2025, 525, 146498. [Google Scholar] [CrossRef]
- Zhao, G.; Tian, S.; Jing, Y.; Liang, S.; Wang, W.; Chen, R.; Zhang, Y. Spatiotemporal variations in runoff and sediment load of the mainstem and major tributaries of the Yellow River Basin from the headwater to the estuary (1960–2023). J. Environ. Manag. 2025, 380, 124723. [Google Scholar] [CrossRef]
- Miao, C.; Ni, J.; Borthwick, A.G.L.; Yang, L. A preliminary estimate of human and natural contributions to the changes in water discharge and sediment load in the Yellow River. Glob. Planet. Change 2011, 76, 196. [Google Scholar] [CrossRef]
- Jiang, X.; Ming, Y.; Wang, M.; Yao, A.; Wang, X.; Gao, L. Seasonal and decadal variations in nutrients and organic carbon in the lower Huanghe River under drastically changing water-sediment regimes. J. Mar. Syst. 2025, 251, 104111. [Google Scholar] [CrossRef]
- Zhao, Y.; Hu, C.; Zhang, X.; Lv, X.; Yin, X.; Wang, Z. Response of sediment discharge to soil erosion control in the middle reaches of the Yellow River. Catena 2021, 203, 105330. [Google Scholar] [CrossRef]
- Ma, L.; Ding, D.; Wang, G.; Huang, Y.; Lv, Y.; Li, G. Analysis of the evolution of the current estuarine geomorphology of the Yellow River under 20 years of water and sediment regulation. J. Hydrol. 2025, 646, 132344. [Google Scholar] [CrossRef]
- Frihy, O.E.; Stanley, J.D. The Modern Nile Delta Continental Shelf, with an Evolving Recordof Relict Deposits Displaced and Altered by Sediment Dynamics. Geographies 2023, 3, 416–445. [Google Scholar] [CrossRef]
- Kemper, J.T.; Knox, R.; Raffae, M.; Schulz, E.; Bailey, R.; Morrison, R.R.; Wohl, E. Estimating catchment-scale sediment storage in a large River Basin, Colorado River, USA. River Res. Appl. 2024, 40, 1379–1392. [Google Scholar] [CrossRef]
- Mahmood, A.; Han, J.-C.; Ijaz, M.W.; Siyal, A.A.; Ahmad, M.; Yousaf, M. Impact of Sediment Deposition on Flood Carrying Capacity of an Alluvial Channel: A Case Study of the Lower Indus Basin. Water 2022, 14, 3321. [Google Scholar] [CrossRef]
- Rubin, D.M.; Buscombe, D.; Wright, S.A.; Topping, D.J.; Grams, P.E.; Schmidt, J.C.; Hazel, J.E.; Kaplinski, M.A.; Tusso, R. Causes of Variability in Suspended-Sand Concentration Evaluated Using Measurements in the Colorado River in Grand Canyon. J. Geophys. Res. Earth Surf. 2020, 125, e2019JF005226. [Google Scholar] [CrossRef]
- Salter, G.; Topping, D.J.; Wang, J.; Schmidt, J.C.; Yackulic, C.B.; Bair, L.S.; Mueller, E.R.; Grams, P.E. Reservoir Operational Strategies for Sustainable Sand Management in the Colorado River. Water Resour. Res. 2025, 61, e2024WR038315. [Google Scholar] [CrossRef]
- Sankey, J.B.; Caster, J.; Kasprak, A.; Fairley, H.C. The Influence of Drying on the Aeolian Transport of River-Sourced Sand. J. Geophys. Res. Earth Surf. 2022, 127, e2022JF006816. [Google Scholar] [CrossRef]
- Jin, X.; Hao, Z.; Zhang, J. Study on Runoff-Sediment Frequency Relationships in the Middle Yellow River. Int. J. Sediment Res. 2006, 6–13, (In Chinese with English Abstract). [Google Scholar] [CrossRef]
- Yan, Z.; Wang, T.; Ma, T.; Yang, D. Water-carbon-sediment synergies and trade-offs: Multi-faceted impacts of large-scale ecological restoration in the Middle Yellow River Basin. J. Hydrol. 2024, 634, 131099. [Google Scholar] [CrossRef]
- Liu, R.; Zhang, A.; Wang, Y.; Liu, Y. Driving responses and synergistic-competitive relationships within the complex multi-objective system of the Yellow River Basin. Sci. Total Environ. 2025, 997, 180222. [Google Scholar] [CrossRef] [PubMed]
- Wang, L.; Liu, L. Water-sediment synergistic relationship in the flood season in the coarse sand source regions of the loess plateau, China. J. Contam. Hydrol. 2022, 245, 103935. [Google Scholar] [CrossRef] [PubMed]
- Guo, W.; Jiao, X.; Huang, L.; Zhou, H.; Wang, B.; He, N.; Wang, H. Mechanism of water-soil-carbon synergistic evolution and its ecological restoration thresholds in watershed. J. Hydrol. Reg. Stud. 2025, 61, 102730. [Google Scholar] [CrossRef]
- Zhang, P.; Li, P.; Du, J.; Fan, Y.; Yan, W. Variations of water and sediment flux from the Yellow River estuary over decades and estuarine dynamic erosion and accumulation shifts. Reg. Stud. Mar. Sci. 2024, 77, 103605. [Google Scholar] [CrossRef]
- Tunio, I.A.; Kumar, L.; Memon, S.A.; Mahessar, A.A.; Kandhir, A.W. Sediment transport dynamics during a super flood: A case study of the 2010 super flood at the Guddu Barrage on the Indus River. Int. J. Sediment Res. 2024, 39, 683–701. [Google Scholar] [CrossRef]
- Li, X.; Gao, G.; Zhu, L.; Wang, X.; Li, H. Study on Frequency and Coordination Degree of Runoff-Sediment Relationship at Tongguan Station of the Yellow River. Yellow River 2020, 42, 47–51. Available online: https://kns.cnki.net/kcms2/article/abstract?v=dzw7IdLhHkGUoP-gAgGIrHNfKBKHlxqGszEy_8SS2ePgbFCrFhD47Wcto8pgtdAuFXl9GbzYoJXqd0DGH4mxVlPaujseGVwH9ta-OmT2AN7Wem0DIQZc5aGrjkxQlgWqEyXrBCdCAIKu_5DQr7587fyrqEJnTFdorFqauNy1ePA=&uniplatform=NZKPT (accessed on 1 December 2025). (In Chinese with English Abstract).
- Man, Y.; Yang, M.; Gou, X.; Wan, G.; Li, Y.; Wang, X. The characteristics and changes of the natural social binary water cycle in the Upper Yellow River Basin under the influence of climate change and human activities: A review. J. Hydrol. Reg. Stud. 2024, 56, 102079. [Google Scholar] [CrossRef]
- Li, H.; Ping, J.; Liu, C.; Zhang, M.; Liu, J. Changes in sediment load in the Lower Yellow River and its driving factors from 1919 to 2021. Sci. Total Environ. 2024, 946, 174012. [Google Scholar] [CrossRef]
- Han, C. Analysis of Water-Sediment Changes and Erosion-Deposition Characteristics in the Tongguan-Lijin Reach of the Yellow River. Yellow River 2025. (In Chinese with English Abstract). [Google Scholar] [CrossRef]







| River Pattern | Length of Start–Stop | Interval (km) | Channel Gradient (‰) | Bending Coefficient | Main Channel Width (m) | Control Station |
|---|---|---|---|---|---|---|
| Wandering type | Huayuankou-Gaocun | 206 | 0.25–0.18 | 1.1–1.3 | 1500–3000 | Huayuankou, Jiahetan, Gaocun |
| Transitional type | Gaocun-Aishan | 165 | 0.18–0.12 | 1.3–1.5 | 800–1500 | SunKou, AiShan |
| Bending type | Aishan-Lijin | 397 | 0.12–0.08 | 1.5–2.0 | 500–800 | Luokou, Lijin |
| Level | Extremely Wet | Relatively Wet | Normal | Relatively Dry | Extremely Dry |
|---|---|---|---|---|---|
| Factor of assurance/% | P < 12.5 | 12.5 < P < 37.5 | 37.5 < P < 62.5 | 62.5 < P < 87.5 | P > 87.5 |
| WQ range/108 m3 | WQ > 545.06 | 545.06 > WQ > 397.41 | 397.41 > WQ > 306.44 | 306.44 > WQ > 214.03 | WQ < 214.03 |
| WS range/108 t | WS > 15.06 | 15.06 > WS > 8.44 | 8.44 > WS > 4.59 | 4.59 > WS > 0.97 | WS < 0.97 |
| Station | Huayuankou | Jiahetan | Gaocun | Sunkou | Aishan | Luokou | Lijin | |
|---|---|---|---|---|---|---|---|---|
| Parameter | ||||||||
| Annual runoff | Mean Deviation (108 m3) | 372.14 | 343.68 | 345.05 | 306.54 | 332.0 | 322.48 | 284.4 |
| Coefficient of Variation (CV) | 0.4 | 0.44 | 0.44 | 0.47 | 0.5 | 0.55 | 0.64 | |
| Coefficient of Skewness (CS) | 0.92 | 0.99 | 0.88 | 1.34 | 0.91 | 0.96 | 1.18 | |
| p values | <0.05 | <0.05 | <0.01 | <0.05 | <0.01 | <0.05 | <0.05 | |
| R2 | 0.94 | 0.95 | 0.93 | 0.96 | 0.96 | 0.98 | 0.96 | |
| Annual sediment discharge | Mean Deviation (108 t) | 7.61 | 7.14 | 7.00 | 5.66 | 6.79 | 6.44 | 6.14 |
| Coefficient of Variation (CV) | 0.85 | 0.89 | 0.85 | 0.9 | 0.82 | 0.86 | 0.92 | |
| Coefficient of Skewness (CS) | 1.16 | 1.45 | 1.32 | 1.53 | 1.24 | 1.37 | 1.49 | |
| p values | <0.05 | <0.05 | <0.05 | <0.05 | <0.01 | <0.01 | <0.05 | |
| R2 | 0.94 | 0.93 | 0.99 | 0.97 | 0.97 | 0.94 | 0.96 | |
| Station | Fitting Empirical Formula | R2 | Balanced Point of Scouring and Silting |
|---|---|---|---|
| Huayuankou | W = 2.36 ln(λ) + 0.87 | 0.69 | P(S) = 0.692 P(Q), ζ = −0.21 |
| Jiahetan | W = 2.54 ln(λ) + 0.93 | 0.68 | P(S) = 0.693 P(Q), ζ = −0.20 |
| Gaocun | W = 2.95 ln(λ) + 0.88 | 0.60 | P(S) = 0.742 P(Q), ζ = −0.17 |
| Sunkou | W = 2.20 ln(λ) + 0.90 | 0.45 | P(S) = 0.664 P(Q), ζ = −0.22 |
| Aishan | W = 2.96 ln(λ) + 0.84 | 0.52 | P(S) = 0.753 P(Q), ζ = −0.16 |
| Luokou | W = 3.25 ln(λ) + 0.81 | 0.53 | P(S) = 0.779 P(Q), ζ = −0.14 |
| Lijin | W = 2.32 ln(λ) + 0.84 | 0.31 | P(S) = 0.696 P(Q), ζ = −0.20 |
Disclaimer/Publisher’s Note: The statements, opinions and data contained in all publications are solely those of the individual author(s) and contributor(s) and not of MDPI and/or the editor(s). MDPI and/or the editor(s) disclaim responsibility for any injury to people or property resulting from any ideas, methods, instructions or products referred to in the content. |
© 2025 by the authors. Licensee MDPI, Basel, Switzerland. This article is an open access article distributed under the terms and conditions of the Creative Commons Attribution (CC BY) license (https://creativecommons.org/licenses/by/4.0/).
Share and Cite
Chen, J.; Niu, W.; Jian, S. Study on the Synergistic Relationship Between Water and Sediment and the Response of Erosion and Deposition in the Lower Reaches of the Yellow River. Water 2025, 17, 3458. https://doi.org/10.3390/w17243458
Chen J, Niu W, Jian S. Study on the Synergistic Relationship Between Water and Sediment and the Response of Erosion and Deposition in the Lower Reaches of the Yellow River. Water. 2025; 17(24):3458. https://doi.org/10.3390/w17243458
Chicago/Turabian StyleChen, Jingye, Wenli Niu, and Shengqi Jian. 2025. "Study on the Synergistic Relationship Between Water and Sediment and the Response of Erosion and Deposition in the Lower Reaches of the Yellow River" Water 17, no. 24: 3458. https://doi.org/10.3390/w17243458
APA StyleChen, J., Niu, W., & Jian, S. (2025). Study on the Synergistic Relationship Between Water and Sediment and the Response of Erosion and Deposition in the Lower Reaches of the Yellow River. Water, 17(24), 3458. https://doi.org/10.3390/w17243458
