Analysis of Spatio-Temporal Characteristics of Water Quality for Ecological Water Replenishment in the Gorge Section of Yongding River
Abstract
1. Introduction
2. Materials and Methods
2.1. Overview of the Study Area
2.2. Research Methods
3. Results and Discussion
3.1. Screening of Water Quality Indicators
3.2. Analysis of Water Quality Index Characteristics
3.3. Monthly Variation Statistics of Water Quality Indicators
3.3.1. Permanganate Index and Chemical Oxygen Demand
3.3.2. Total Phosphorus, Chemical Oxygen Demand and Permanganate Index
3.3.3. The Relationship Between Ammonia Nitrogen and Other Indicators
3.4. Data Statistics on Water Quality Indicators and Water Replenishment Periods
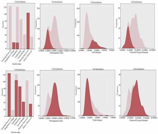
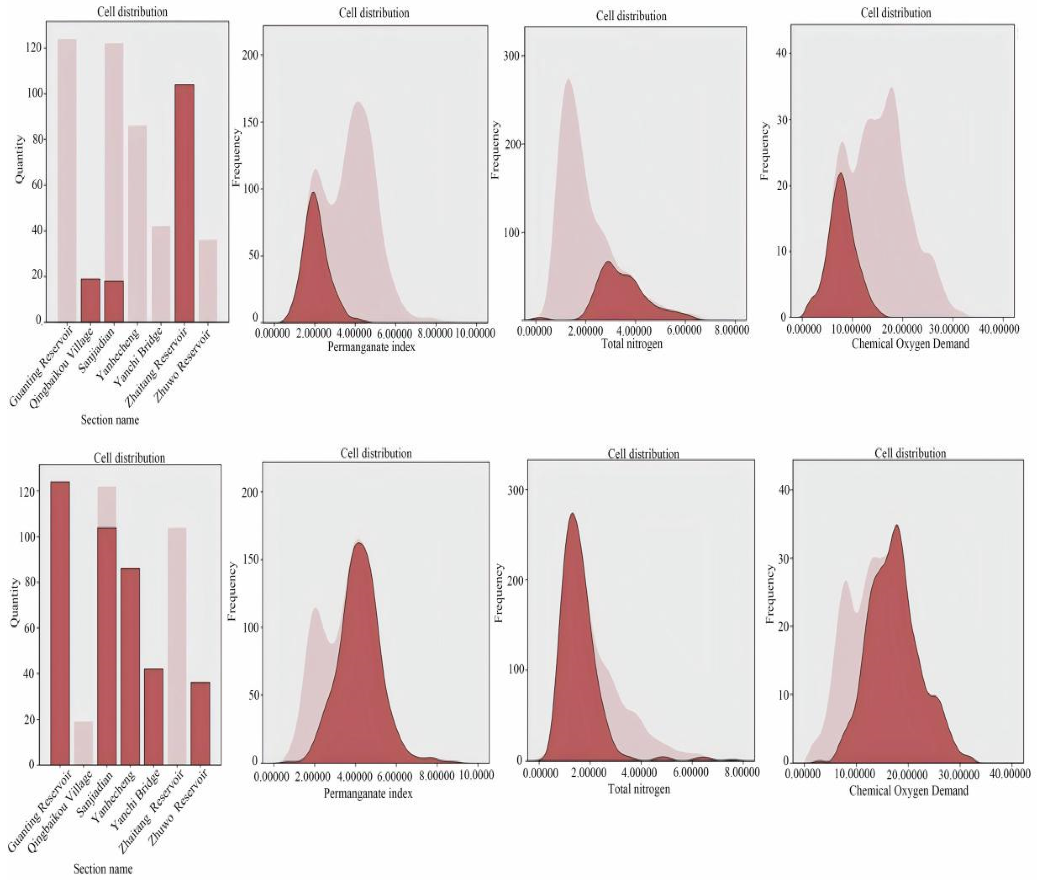
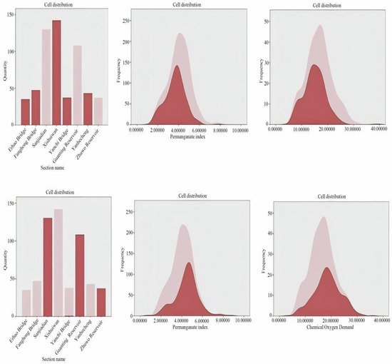
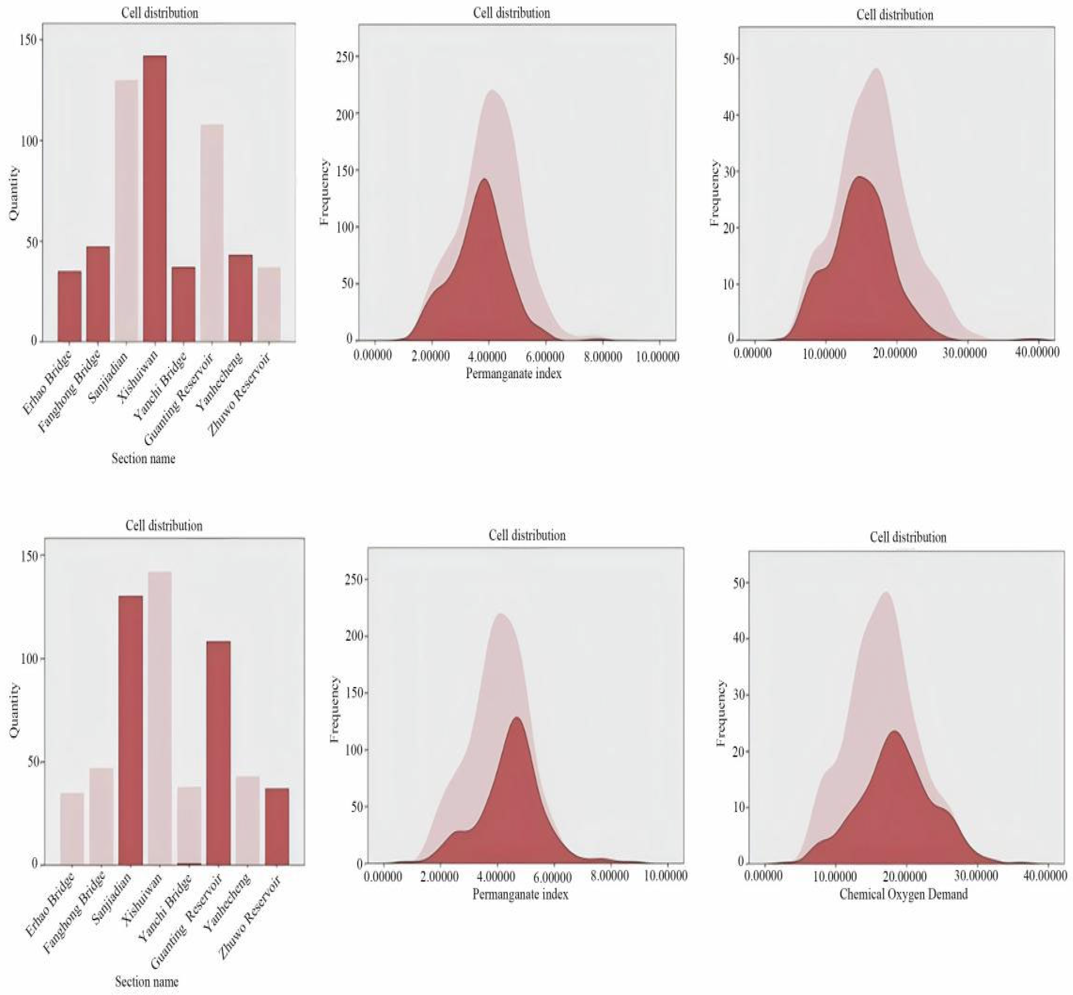
3.5. Cluster Analysis of Water Quality Indicators
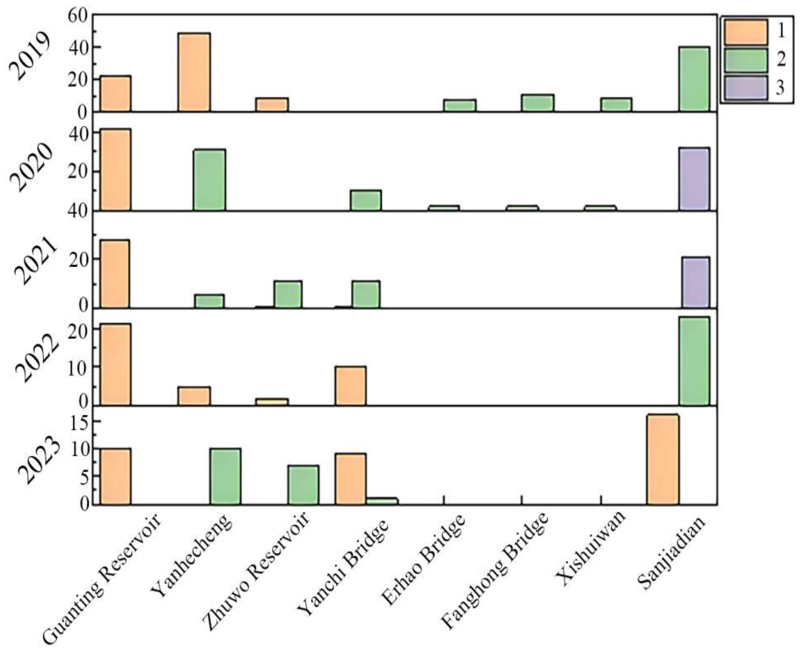
3.5.1. Cluster Analysis of the Gorge Section of the Yongding River
3.5.2. Cluster Analysis of the Main Channel of Yongding River
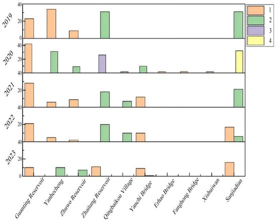
3.5.3. Annual Cluster Analysis
3.6. Principal Component Analysis
4. Conclusions and Outlook
4.1. Conslusions
- The water quality of the Yongding River generally meets Class III surface water environmental quality standards. Over time, the overall water quality shows a positive trend. In 2023, the permanganate index, chemical oxygen demand, ammonia nitrogen, and total phosphorus levels decreased by 7.67%, 11.75%, 38.05%, and 18.23%, respectively, compared to 2019. Water replenishment scheduling has yielded significant management effects in the Yongding River basin.
- Statistical analysis by period indicates that water quality during non-flood seasons without water replenishment is superior to that during replenished non-flood seasons, which in turn is better than during replenished flood seasons. This demonstrates that the Yongding River’s original water quality is relatively good, and the negative impact of non-point source pollution during flood seasons outweighs the adverse effects caused by upstream water replenishment. However, when compared with the conclusions drawn by Wang Ruiling et al. [33] based on their research in the Yellow River Delta, it is evident that in northern China, water replenishment should not be implemented indiscriminately to alleviate river flow interruptions, as it may adversely affect water quality downstream.
- Cluster analysis identified distinct water quality patterns across monitoring sites. The mountainous gorge section of the Yongding River can be divided into three zones: the upstream main channel before the Yanchi Suspension Bridge, the downstream main channel after the bridge, and the Xiaoqing River tributary. Future monitoring should prioritize the section from Guanting Reservoir to the Yanchi Suspension Bridge station. Analysis indicated that preventing water flow interruptions in the study area’s watershed and mitigating flood risks caused by water replenishment are essential for maintaining ecological resilience and regulating the natural environment within the study area.
- Unlike other indicators, total phosphorus exhibits a distinct spatial pattern, showing a marked increase from Guanting Reservoir to Yanhecheng. Analyzing its distribution over different periods reveals higher concentrations during non-supplementation and non-flood seasons compared to other periods. This indicates relatively elevated baseline total phosphorus levels in the river channel, leading to higher concentrations during these periods.
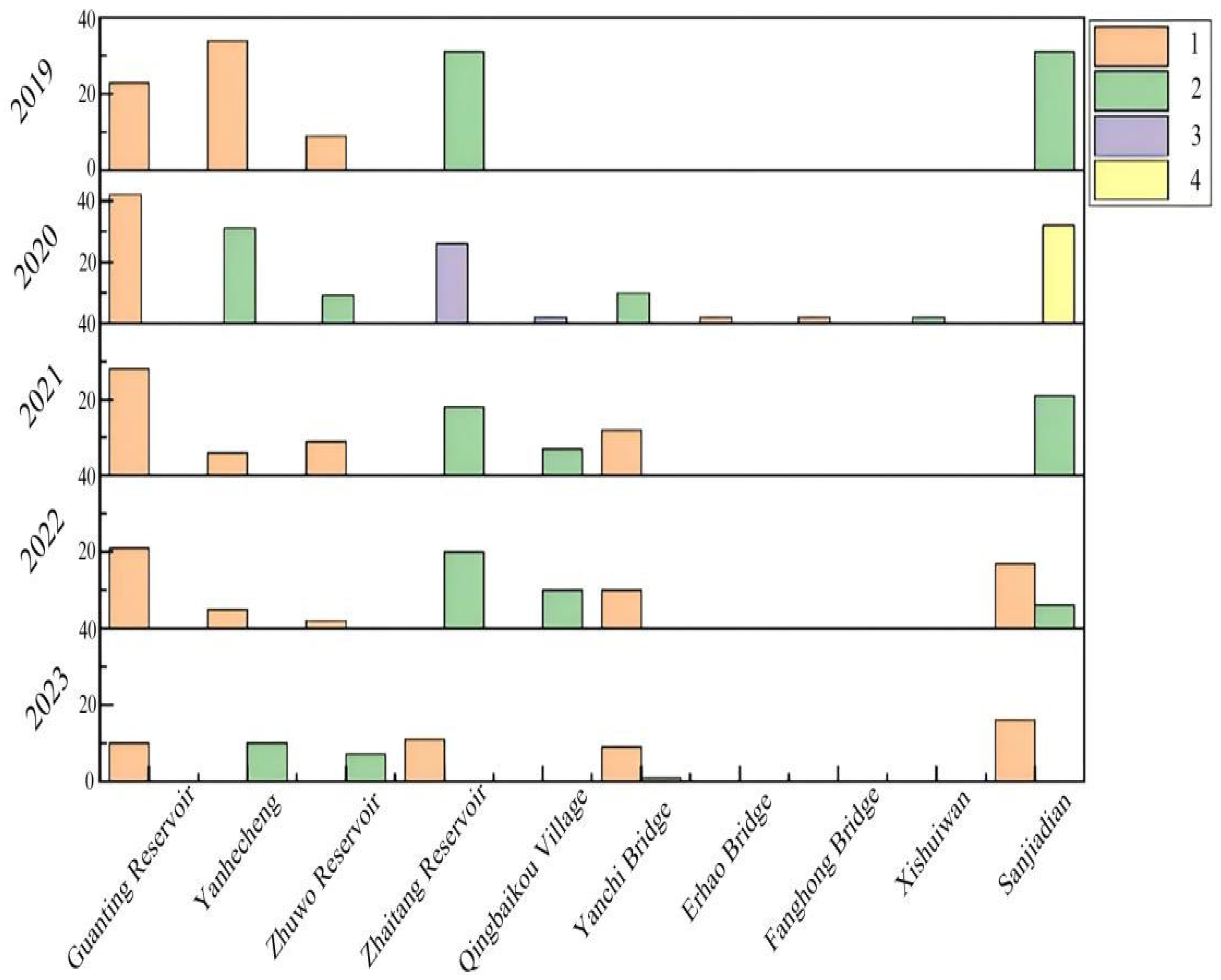
- Annual clustering results grouped the Sanjiadian site with the Xiaoqinghe sites in 2019 and 2021 into the same category, indicating markedly improved water quality at Sanjiadian during these two years.
4.2. Outlook
- This study conducted simulation analyses based solely on limited water quality indicators and recharge volume data. Due to the complex and constrained conditions in the study area, the normality tests yielded poor results, and the research data were not analyzed in conjunction with biological parameters. Further research is warranted in the future.
- Since the analysis integrated rainfall with recharge scheduling, there are few comparable references globally. There is a lack of comparison between the simulated trends and those of other typical watersheds. Further research is needed in the future.
Supplementary Materials
Author Contributions
Funding
Data Availability Statement
Conflicts of Interest
References
- Chen, L.; Ma, L.; Jiji, J.; Kong, Q.; Ni, Z.; Yan, L.; Pan, C. River Ecosystem Health Assessment Using a Combination Weighting Method: A Case Study of Beijing Section of Yongding River in China. Int. J. Environ. Res. Public Health 2022, 19, 14433. [Google Scholar] [CrossRef]
- Gong, X.Y.; Zhang, M.M.; Zhang, Y.L. Integrated Management and Ecological Restoration Practices of the Yongding River. Water Resour. Dev. Manag. 2024, 10, 60–63. [Google Scholar] [CrossRef]
- Zhang, Y.H.; Qu, X.D.; Peng, W.Q.; Zhang, M.; Zhang, H.P.; Du, L.F.; Zhang, S.-C. Health Assessment of River Ecosystems in Beijing. Environ. Sci. 2023, 44, 5478–5489. [Google Scholar] [CrossRef]
- Xu, J.X. Preliminary Study on Seasonal Rivers Caused by Human Activity. Geogr. Res. 2000, 19, 234–242. [Google Scholar]
- Ji, Y.K.; Wu, C.X.; Zhu, B.S. Reflections on Ecological Restoration in the Yongding River Basin in the New Era. Res. Water Resour. Dev. 2018, 18, 31–34. [Google Scholar] [CrossRef]
- Deng, Z.T.; Zhang, W.Q.; Han, J.; An, L.; Jiang, Z. Analysis of Water Replenishment Effectiveness in the Mountainous Section of the Yongding River. Sichuan Environ. 2023, 42, 55–61. [Google Scholar] [CrossRef]
- Chi, Y.Y.; Xu, K.P.; Wang, J.J.; Ge, R.; Zhang, L. Water Ecological Risks and Countermeasure Recommendations in the Beijing-Tianjin-Hebei Region. Environ. Impact Assess. 2019, 41, 32–35. [Google Scholar] [CrossRef]
- Gao, Y.Y.; Guo, Y.; Duan, M.Q.; Yuan, F.; Wang, Y.; Liu, Z. Impact of Ecological Water Supplementation from the Yellow River Diversion Project on Surface Water Environment in the Yongding River Basin. Jiangxi Sci. 2022, 40, 1102–1107. [Google Scholar] [CrossRef]
- Chen, J.J.; Wu, Y.; Tao, L.; Guo, J.; Xu, S.; Xi, Y.; Jing, H. Effects of Ecological Water Replenishment on Groundwater Level and Water Quality Along the Yongding River. Earth Environ. 2023, 51, 266–273. [Google Scholar] [CrossRef]
- Huang, Y.; Chen, P.; Yang, X.X. Research on Variation of Water Quality Before and After Ecological Water Supplementation in the Beijing Section of the Yongding River. Sens. Mater. 2023, 35 Pt 3, 553–561. [Google Scholar] [CrossRef]
- Tian, N.; Wen, G.C. Effect of Ecological Water Supplement on Groundwater Restoration in the Yongding River Based on Multi-Model Linkage. Water 2023, 15, 374. [Google Scholar] [CrossRef]
- Qun, M.; Ying, G.; Zhiqiang, L.; Xiaohui, T. Application of Comprehensive Water Quality Identification Index in Water Quality Assessment of River. Environ. Sci. Manag. 2011, 1, 333–337. [Google Scholar] [CrossRef]
- Zhu, L.; Li, M. The Application of Principal Component Analysis in Comprehensive Evaluation of Liaohe River Water Quality. Adv. Mater. Res. 2013, 779–780, 1596–1599. [Google Scholar] [CrossRef]
- Lee, K.H.; Kang, T.W.; Ryu, H.S.; Hwang, S.H.; Kim, K. Analysis of spatiotemporal variation in river water quality using clustering techniques: A case study in the Yeongsan River, Republic of Korea. Environ. Sci. Pollut. Res. 2020, 27, 29327–29340. [Google Scholar] [CrossRef]
- Subramaniam, P.; Ahmed, A.N.; Fai, C.M.; Malek, M.A.; Kumar, P.; Huang, Y.F.; Sherif, M.; Elshafie, A. Integrated GIS and multivariate statistical approach for spatial and temporal variability analysis for lake water quality index. Cogent Eng. 2023, 10, 30. [Google Scholar] [CrossRef]
- Garizi, A.Z.; Sheikh, V.; Sadoddin, A. Assessment of seasonal variations of chemical characteristics in surface water using multivariate statistical methods. International J. Environ. Sci. Technol. 2011, 8, 581–592. [Google Scholar] [CrossRef]
- Grzywna, A.; Bronowicka-Mielniczuk, U. Spatial and Temporal Variability of Water Quality in the Bystrzyca River Basin, Poland. Water 2020, 12, 190. [Google Scholar] [CrossRef]
- Wu, J.; Zhang, J.; Tan, W.; Lan, H.; Zhang, S.; Xiao, K.; Wang, L.; Lin, H.; Sun, G.; Guo, P. Application of Time Serial Model in Water Quality Predicting. CMC-Comput. Mater. Contin. 2022, 74, 67–82. [Google Scholar] [CrossRef]
- Pejman, A.H.; Bidhendi, G.R.N.; Karbassi, A.R.; Mehrdadi, N.; Bidhendi, M.E. Evaluation of spatial and seasonal variations in surface water quality using multivariate statistical techniques. Int. J. Environ. Sci. Technol. 2009, 6, 467–476. [Google Scholar] [CrossRef]
- Gu, X.Y.; Xu, Z.X.; Liu, L.F.; Yin, X.W.; Wang, M. Health Assessment of the Beijing North Canal River Ecosystem. Environ. Sci. 2018, 39, 12. [Google Scholar] [CrossRef]
- Guo, Q. Strategies for a resilient, sustainable, and equitable Mississippi River basin. River 2023, 2, 336–349. [Google Scholar] [CrossRef]
- Reed, T.; Mason, L.R.; Ekenga, C.C. Adapting to Climate Change in the Upper Mississippi River Basin: Exploring Stakeholder Perspectives on River System Management and Flood Risk Reduction. Environ. Health Insights 2020, 14, 1178630220984153. [Google Scholar] [CrossRef] [PubMed]
- Liu, X.; Beusen, A.H.W.; Grinsven, H.J.M.; Wang, J.; van Hoek, W.J.; Ran, X.; Mogollón, J.M.; Bouwman, A.F. Impact of groundwater nitrogen legacy on water quality. Nat. Sustain. 2024, 7, 891–900. [Google Scholar] [CrossRef]
- Dong, H.; Liu, C.Z.; Yang, F.; Bai, Y. Review of Ecological Water Replenishment Effects in the Chaobai River and Yongding River. Beijing Water Aff. 2022, 5–8. [Google Scholar] [CrossRef]
- Lu, Y.; Wu, B.; Yan, N.; Zeng, H.; Guo, Y.; Zhu, W.; Zhang, H. Method for monitoring environmental flows with high spatial and temporal resolution satellite data. Environ. Monit. Assess. 2021, 194, 13. [Google Scholar] [CrossRef]
- Yu, Y.; Ma, M.; Zheng, F.; Liu, L.; Zhao, N.; Li, X.; Yang, Y.; Guo, J. Spatio-Temporal Variation and Controlling Factors of Water Quality in Yongding River Replenished by Reclaimed Water in Beijing, North China. Water 2017, 9, 453. [Google Scholar] [CrossRef]
- Zhai, L.; Cheng, S.; Sang, H.; Xie, W.; Gan, L.; Wang, T. Remote sensing evaluation of ecological restoration engineering effect: A case study of the Yongding River Watershed, China. Ecol. Eng. 2022, 182, 106724. [Google Scholar] [CrossRef]
- Xiong, H.B.; Chen, X.; Zhang, S.S. Method for Enhancing Polluted River Water Quality Improvement Based on the MIKE11 Model. Environ. Sci. 2017, 38, 5063–5073. [Google Scholar] [CrossRef]
- Xue, W.L.; Zhu, S.S.; Zhu, M.X.; Zhu, M.; Liu, Y.; Li, L.; Su, Z.; Li, W. Analysis of Functional Changes in Carbon Storage in the Yongding River Basin Based on the FLUS-InVEST Model. Water Resour. Hydropower Eng. 2023, 54, 13–25. [Google Scholar] [CrossRef]
- Wang, H.L.; Liu, Y.F.; Ren, Y.F.; He, Y.; Wang, S.; Zhang, H.; Wang, X.; Li, Z. Analysis of Zooplankton Community Characteristics in Beijing Rivers During Autumn. Environ. Sci. 2019, 40, 3568–3576. [Google Scholar] [CrossRef]
- Yun, J.; Hao, G.Z.; Song, F.Z.; Zhen, Y.F.; Xu, L. Characteristics and Evaluation of Water Pollution in the Upper Reaches of the Yongding River. J. Hebei Inst. Archit. Eng. 2018, 36, 80–84. [Google Scholar]
- Liang, T.; Zhang, X.M.; Zhang, S. Distribution Patterns of Nitrogen, Phosphorus, and Heavy Metals in the Water Body of Guanting Reservoir and the Yongding River During the Dry Season. Adv. Geogr. Sci. 2001, 20, 341–346. [Google Scholar]
- Wang, R.L.; Lian, Y.; Huang, J.H.; Wang, X.J.; Song, S.X. Evaluation of Ecological Benefits from Wetland Water Replenishment in the Yellow River Delta. People’s Yellow River 2011, 33, 78–81+83+147. [Google Scholar]















| Indicator | Classification Limit Value (mg/L) | ||||
|---|---|---|---|---|---|
| I | II | III | IV | V | |
| Dissolved oxygen | ≥7.5 | ≥6 | ≥5 | ≥3 | ≥2 |
| Permanganate index | ≤2 | ≤4 | ≤6 | ≤10 | ≤15 |
| Chemical oxygen demand | ≤15 | ≤15 | ≤20 | ≤30 | ≤40 |
| Ammonia nitrogen | ≤0.15 | ≤0.5 | ≤1 | ≤1.5 | ≤2 |
| Total phosphorus | ≤0.02 | ≤0.1 | ≤0.2 | ≤0.3 | ≤0.4 |
| Total nitrogen | ≤0.2 | ≤0.5 | ≤1.0 | ≤1.5 | ≤2.0 |
| Copper | ≤0.01 | ≤1.0 | ≤1.0 | ≤1.0 | ≤1.0 |
| Zinc | ≤0.05 | ≤1.0 | ≤1.0 | ≤2.0 | ≤2.0 |
| Fluoride | ≤1.0 | ≤1.0 | ≤1.0 | ≤1.5 | ≤1.5 |
| Year | Non-Water Replenishment and Non-Flood Season | The Water Replenishment Period Is Not the Flood Season | Non-Water Replenishment Flood Season | Water Replenishment During the Flood Season |
|---|---|---|---|---|
| 2019 | 1.1–3.13; 10.1–12.30 | 3.14–5.30 | 6.1–9.30 | -- |
| 2020 | 1.1–3.14; 10.19–12.30 | 3.15–6.30; 10.14–10.18 | 7–10.13 | -- |
| 2021 | 10.1–12.31 | 1.1–6.30 | -- | 7.1–9.30 |
| 2022 | 1.1–3.31; 10.1–12.30 | 4.1–6.15 | 6.16–9.30 | -- |
| 2023 | 1.1–2.23; 12.15–12.30 | 2.24–6.15; 10.1–12.15 | 6.16–9.30 | -- |
| Indicator | Name | 1 | 2 | Combination |
|---|---|---|---|---|
| pH | Average value | 8.3156738 | 8.4522194 | 8.4160976 |
| Standard deviation | 0.28459321 | 0.37929524 | 0.36150189 | |
| Dissolved oxygen (mg/L) | Average value | 9.2979433 | 9.6060969 | 9.5245779 |
| Standard deviation | 2.01447424 | 2.22016320 | 2.17005848 | |
| Permanganate index (mg/L) | Average value | 2.0631206 | 4.2066327 | 3.6395872 |
| Standard deviation | 0.60349119 | 1.04340917 | 1.33850909 | |
| Chemical Oxygen Demand (mg/L) | Average value | 7.8588652 | 17.3553571 | 14.8431520 |
| Standard deviation | 2.71261790 | 4.88368775 | 6.08641831 | |
| Biochemical Oxygen demand (mg/L) | Average value | 1.4563830 | 2.2030612 | 2.0055347 |
| Standard deviation | 0.65328431 | 1.26249897 | 1.18001941 | |
| Ammonia nitrogen (mg/L) | Average value | 0.0749220 | 0.1651582 | 0.1412871 |
| Standard deviation | 0.05485905 | 0.13132127 | 0.12269390 | |
| Total phosphorus (mg/L) | Average value | 0.0150142 | 0.0328852 | 0.0281576 |
| Standard deviation | 0.00955061 | 0.01899884 | 0.01874957 | |
| Total nitrogen (mg/L) | Average value | 3.4942553 | 1.5916786 | 2.0949869 |
| Standard deviation | 1.01604713 | 0.79601190 | 1.20123129 |
| Name | Number of Cases | The Percentage in the Combination | A Percentage of the Total | |
|---|---|---|---|---|
| Clustering | 1 | 141 | 26.5% | 23.2% |
| 2 | 392 | 73.5% | 64.6% | |
| Combination | 533 | 100.0% | 87.8% | |
| The number of excluded cases | 74 | 12.2% | ||
| In total | 607 | 100.0% | ||
| Name | Number of Cases | The Percentage in the Combination | A Percentage of the Total | |
|---|---|---|---|---|
| Clustering | 1 | 276 | 47.6% | 47.3% |
| 2 | 304 | 52.4% | 52.1% | |
| Combination | 580 | 100.0% | 99.3% | |
| The number of excluded cases | 4 | 0.7% | ||
| In total | 584 | 100.0% | ||
| Indicator | Name | 1 | 2 | Combination |
|---|---|---|---|---|
| Permanganate index (mg/L) | Average value | 4.46087 | 3.6519737 | 4.036897 |
| Standard deviation | 1.123691 | 0.9599553 | 1.115993 | |
| Chemical Oxygen Demand (mg/L) | Average value | 18.52464 | 14.931579 | 16.64138 |
| Standard deviation | 5.303972 | 4.3192549 | 5.133231 | |
| Ammonia nitrogen (mg/L) | Average value | 0.167179 | 0.1329375 | 0.149232 |
| Standard deviation | 0.139171 | 0.1051607 | 0.12361 | |
| Total phosphorus (mg/L) | Average value | 0.033522 | 0.0331743 | 0.03334 |
| Standard deviation | 0.023375 | 0.0170847 | 0.020305 |
| Year | Full Cross-Section | Main River Course |
|---|---|---|
| 2019 | The water quality of Xiaoqing River and Sanjiadian is better than that of the main river. | The water quality at the outlet is good. |
| 2020 | The area behind the Yanchi Bridge is better than that in front. | The water quality in the official hall is the worst. |
| 2021 | The water quality of Xiaoqing River and Sanjiadian is better. | The water quality at the inlet is poor while that at the outlet is good. |
| 2022 | The area behind the Yanchi Broken Bridge is better than that before it. | The water quality at the outlet is good. |
| 2023 | The area behind the Yanchi Broken Bridge is better than that before it. | The midstream and downstream are superior to the entrance and superior to the midstream and upstream. |
| The Main Component Serial Number | Explain Variance | The Main Ingredient | Contribution Degree |
|---|---|---|---|
| 1 | 30.7% | Permanganate index | 0.475 |
| 2 | 13.6% | Lead | 0.606 |
| 3 | 9.6% | Copper | 0.680 |
| 4 | 7.2% | Zinc | 0.736 |
Disclaimer/Publisher’s Note: The statements, opinions and data contained in all publications are solely those of the individual author(s) and contributor(s) and not of MDPI and/or the editor(s). MDPI and/or the editor(s) disclaim responsibility for any injury to people or property resulting from any ideas, methods, instructions or products referred to in the content. |
© 2025 by the authors. Licensee MDPI, Basel, Switzerland. This article is an open access article distributed under the terms and conditions of the Creative Commons Attribution (CC BY) license (https://creativecommons.org/licenses/by/4.0/).
Share and Cite
Cui, G.; Meng, Y.; Li, X.; Wang, Z.; Yao, Q.; Li, W.; Dong, L.; Xia, L. Analysis of Spatio-Temporal Characteristics of Water Quality for Ecological Water Replenishment in the Gorge Section of Yongding River. Water 2025, 17, 3454. https://doi.org/10.3390/w17243454
Cui G, Meng Y, Li X, Wang Z, Yao Q, Li W, Dong L, Xia L. Analysis of Spatio-Temporal Characteristics of Water Quality for Ecological Water Replenishment in the Gorge Section of Yongding River. Water. 2025; 17(24):3454. https://doi.org/10.3390/w17243454
Chicago/Turabian StyleCui, Guannan, Yihao Meng, Xiaofei Li, Zhiyao Wang, Qi Yao, Wenchao Li, Liming Dong, and Linlin Xia. 2025. "Analysis of Spatio-Temporal Characteristics of Water Quality for Ecological Water Replenishment in the Gorge Section of Yongding River" Water 17, no. 24: 3454. https://doi.org/10.3390/w17243454
APA StyleCui, G., Meng, Y., Li, X., Wang, Z., Yao, Q., Li, W., Dong, L., & Xia, L. (2025). Analysis of Spatio-Temporal Characteristics of Water Quality for Ecological Water Replenishment in the Gorge Section of Yongding River. Water, 17(24), 3454. https://doi.org/10.3390/w17243454
