Journal Description
Remote Sensing
Remote Sensing
is an international, peer-reviewed, open access journal about the science and application of remote sensing technology, published semimonthly online by MDPI. The Remote Sensing Society of Japan (RSSJ) and Japan Society of Photogrammetry and Remote Sensing (JSPRS) are affiliated with Remote Sensing and their members receive discounts on the article processing charge.
- Open Access— free for readers, with article processing charges (APC) paid by authors or their institutions.
- High Visibility: indexed within Scopus, SCIE (Web of Science), Ei Compendex, PubAg, GeoRef, Astrophysics Data System, Inspec, dblp, and other databases.
- Journal Rank: JCR - Q1 (Geosciences, Multidisciplinary) / CiteScore - Q1 (General Earth and Planetary Sciences)
- Rapid Publication: manuscripts are peer-reviewed and a first decision is provided to authors approximately 24.3 days after submission; acceptance to publication is undertaken in 2.6 days (median values for papers published in this journal in the second half of 2025).
- Recognition of Reviewers: reviewers who provide timely, thorough peer-review reports receive vouchers entitling them to a discount on the APC of their next publication in any MDPI journal, in appreciation of the work done.
- Companion journal: Geomatics.
- Journal Cluster of Geospatial and Earth Sciences: Remote Sensing, Geosciences, Quaternary, Earth, Geographies, Geomatics and Fossil Studies.
Impact Factor:
4.1 (2024);
5-Year Impact Factor:
4.8 (2024)
Latest Articles
Short-Term Degradation of Aquatic Vegetation Induced by Demolition of Enclosure Aquaculture Revealed by Remote Sensing
Remote Sens. 2026, 18(3), 400; https://doi.org/10.3390/rs18030400 (registering DOI) - 24 Jan 2026
Abstract
Aquatic vegetation (AV) forms the structural and functional basis of lake ecosystems, providing irreplaceable ecological functions such as water self-purification and the sustenance of biodiversity. Under the “Yangtze River’s Great Protection Strategy”, the action of returning nets to the lake has significantly improved
[...] Read more.
Aquatic vegetation (AV) forms the structural and functional basis of lake ecosystems, providing irreplaceable ecological functions such as water self-purification and the sustenance of biodiversity. Under the “Yangtze River’s Great Protection Strategy”, the action of returning nets to the lake has significantly improved water-quality in the middle and lower reaches of the Yangtze River (MLRYR) basin. However, its ecological benefits for key biotic components, particularly AV communities, remain unclear. To address this knowledge gap, this study utilized Landsat and Sentinel-1 satellite imagery to analyze the dynamic evolution of enclosure aquaculture (EA) and AV in 25 lakes (>10 km2) within the MLRYR basin from 1989 to 2023. A U-Net deep learning model was employed to extract EA data (2016–2023), and a vegetation and bloom extraction algorithm was applied to map different AV groups (1989–2023). Results indicate that by 2023, 88% (22/25) of the lakes had completed EA removal. Over the 34-year period, floating/emergent aquatic vegetation (FEAV) exhibited fluctuating trends, while submerged aquatic vegetation (SAV) demonstrated a significant decline, particularly during the EA demolition phase (2016–2023), when its area sharply decreased from 804.8 km2 to 247.3 km2—a reduction of 69.3%. Spatial comparative analysis further confirmed that SAV degradation was substantially more severe in EA removal areas than in EA retention areas. This study demonstrates that EA demolition, while beneficial for improving water quality, exerts significant short-term negative impacts on AV. These findings highlight the urgent need for lake governance policies to shift from single-objective management toward integrated strategies that equally prioritize water-quality improvement and ecological restoration. Future efforts should enhance targeted restoration in EA removal areas through active vegetation recovery and habitat reconstruction, thereby preventing catastrophic regime shifts to phytoplankton-dominated turbid-water states in lake ecosystems.
Full article
(This article belongs to the Special Issue Water Quality Monitoring and Quantitative Analysis in Marine and Inland Areas Utilizing Remote Sensing Techniques)
Open AccessArticle
Hyperspectral Image Classification Using SIFANet: A Dual-Branch Structure Combining CNN and Transformer
by
Yuannan Gui, Lu Xu, Dongping Ming, Yanfei Wei and Ming Huang
Remote Sens. 2026, 18(3), 398; https://doi.org/10.3390/rs18030398 (registering DOI) - 24 Jan 2026
Abstract
The hyperspectral image (HSI) is rich in spectral information and has important applications in the field of ground objects classification. However, HSI data have high dimensions and variable spatial–spectral features, which make it difficult for some models to adequately extract the effective features.
[...] Read more.
The hyperspectral image (HSI) is rich in spectral information and has important applications in the field of ground objects classification. However, HSI data have high dimensions and variable spatial–spectral features, which make it difficult for some models to adequately extract the effective features. Recent studies have shown that fusing spatial and spectral features can significantly improve accuracy by exploiting multi-dimensional correlations. Based on this, this article proposes a spectral integration and focused attention network (SIFANet) with a two-branch structure. SIFANet captures the local spatial features and global spectral dependencies through the parallel-designed spatial feature extractor (SFE) and spectral sequence Transformer (SST), respectively. A cross-module attention fusion (CMAF) mechanism dynamically integrates features from both branches before final classification. Experiments on the Salinas dataset and Xiong’an hyperspectral dataset show that the overall accuracy on these two datasets is 99.89% and 99.79%, which is higher than the other models compared. The proposed method also had the lowest standard deviation of category accuracy and optimal computational efficiency metrics, demonstrating robust spatial–spectral feature integration for improved classification.
Full article
(This article belongs to the Special Issue Recent Advances in Hyperspectral Remote Sensing: Theories, Technologies and Applications)
►▼
Show Figures

Figure 1
Open AccessTechnical Note
Airborne SAR Imaging Algorithm for Ocean Waves Oriented to Sea Spike Suppression
by
Yawei Zhao, Yongsheng Xu, Yanlei Du and Jinsong Chong
Remote Sens. 2026, 18(3), 397; https://doi.org/10.3390/rs18030397 (registering DOI) - 24 Jan 2026
Abstract
Synthetic aperture radar (SAR) is widely used in the field of ocean remote sensing. However, SAR images are usually affected by sea spikes, which appear as strong echo and azimuth defocus characteristics. The texture features of ocean waves in SAR images are submerged
[...] Read more.
Synthetic aperture radar (SAR) is widely used in the field of ocean remote sensing. However, SAR images are usually affected by sea spikes, which appear as strong echo and azimuth defocus characteristics. The texture features of ocean waves in SAR images are submerged by sea spikes, making them weak or even invisible. This seriously affects the further applications of SAR technology in ocean remote sensing. To address this issue, an airborne SAR imaging algorithm for ocean waves oriented to sea spike suppression is proposed in this paper. The non-stationary characteristics of sea spikes are taken into account in the proposed algorithm. The SAR echo data is transformed into the time–frequency domain by short-time Fourier transform (STFT). And the echo signals of sea spikes are suppressed in the time–frequency domain. Then, the ocean waves are imaged in focus by applying focus settings. In order to verify the effectiveness of the proposed algorithm, airborne SAR data was processed using the proposed algorithm, including SAR data with completely invisible waves and other data with weakly visible waves under sea spike influence. Through analyzing the ocean wave spectrum and imaging quality, it is confirmed that the proposed algorithm can significantly suppress sea spikes and improve the texture features of ocean waves in SAR images.
Full article
(This article belongs to the Special Issue Microwave Remote Sensing on Ocean Observation)
Open AccessArticle
Tiny Object Detection via Normalized Gaussian Label Assignment and Multi-Scale Hybrid Attention
by
Shihao Lin, Li Zhong, Si Chen and Da-Han Wang
Remote Sens. 2026, 18(3), 396; https://doi.org/10.3390/rs18030396 (registering DOI) - 24 Jan 2026
Abstract
The rapid development of Convolutional Neural Networks (CNNs) has markedly boosted the performance of object detection in remote sensing. Nevertheless, tiny objects typically account for an extremely small fraction of the total area in remote sensing images, rendering existing IoU-based or area-based evaluation
[...] Read more.
The rapid development of Convolutional Neural Networks (CNNs) has markedly boosted the performance of object detection in remote sensing. Nevertheless, tiny objects typically account for an extremely small fraction of the total area in remote sensing images, rendering existing IoU-based or area-based evaluation metrics highly sensitive to minor pixel deviations. Meanwhile, classic detection models face inherent bottlenecks in efficiently mining discriminative features for tiny objects, leaving the task of tiny object detection in remote sensing images as an ongoing challenge in this field. To alleviate these issues, this paper proposes a tiny object detection method based on Normalized Gaussian Label Assignment and Multi-scale Hybrid Attention. Firstly, 2D Gaussian modeling is performed on the feature receptive field and the actual bounding box, using Normalized Bhattacharyya Distance for precise similarity measurement. Furthermore, a candidate sample quality ranking mechanism is constructed to select high-quality positive samples. Finally, a Multi-scale Hybrid Attention module is designed to enhance the discriminative feature extraction of tiny objects. The proposed method achieves 25.7% and 27.9% AP on the AI-TOD-v2 and VisDrone2019 datasets, respectively, significantly improving the detection capability of tiny objects in complex remote sensing scenarios.
Full article
(This article belongs to the Topic Computer Vision and Image Processing, 3rd Edition)
►▼
Show Figures

Figure 1
Open AccessArticle
Ground-Based Doppler Asymmetric Spatial Heterodyne Interferometer: Instrument Performance and Thermospheric Wind Observations
by
Zhenqing Wen, Di Fu, Guangyi Zhu, Dexin Ren, Xiongbo Hao, Hengxiang Zhao, Jiuhou Lei, Yajun Zhu and Yutao Feng
Remote Sens. 2026, 18(3), 395; https://doi.org/10.3390/rs18030395 (registering DOI) - 24 Jan 2026
Abstract
The thermosphere serves as a pivotal region for Sun–Earth interactions, and thermospheric winds are of great scientific importance for deepening insights into atmospheric dynamics, climate formation mechanisms, and space environment evolution. This study designed and developed a Ground-based Doppler Asymmetric Spatial Heterodyne Interferometer
[...] Read more.
The thermosphere serves as a pivotal region for Sun–Earth interactions, and thermospheric winds are of great scientific importance for deepening insights into atmospheric dynamics, climate formation mechanisms, and space environment evolution. This study designed and developed a Ground-based Doppler Asymmetric Spatial Heterodyne Interferometer (GDASHI). Targeting the nightglow of the oxygen atomic red line (OI 630.0 nm), this instrument enables high-precision observation of thermospheric winds. The GDASHI was deployed at Gemini Astronomical Manor (26.7°N, 100.0°E), and has obtained one year of nighttime meridional and zonal wind data. To verify the reliability of GDASHI-derived winds, a collocated observation comparison was performed against the Dual-Channel Optical Interferometer stationed at Binchuan Station (25.6°N, 100.6°E), Yunnan. The winds of the two instruments are basically consistent in both their diurnal variation trends and amplitudes. Further Deming regression and correlation analysis were conducted for the two datasets, with the meridional and zonal winds yielding fitting slopes of 0.808 and 0.875 and correlation coefficients of 0.754 and 0.771, respectively. An uncertainty analysis of the inter-instrument comparison was also carried out, incorporating instrumental measurement uncertainties, instrumental parameter errors, and small-scale perturbations induced by observational site differences; the synthesized total uncertainties of zonal and meridional winds are determined to be 20.24 m/s and 20.77 m/s, respectively. This study not only verifies the feasibility and reliability of GDASHI for ground-based thermospheric wind detection but also provides critical observational support for analyzing the spatiotemporal variation characteristics of mid-low latitude thermospheric wind fields and exploring their underlying physical mechanisms.
Full article
(This article belongs to the Section Atmospheric Remote Sensing)
Open AccessArticle
An Earth Observation Data-Driven Investigation of Algal Blooms in Utah Lake: Statistical Analysis of the Effects of Turbidity and Water Temperature
by
Kaylee B. Tanner, Anna C. Cardall, Jacob B. Taggart and Gustavious P. Williams
Remote Sens. 2026, 18(3), 394; https://doi.org/10.3390/rs18030394 (registering DOI) - 24 Jan 2026
Abstract
We analyzed six years (2019–2025) of Sentinel-2 and Moderate Resolution Imaging Spectroradiometer (MODIS) imagery to quantify how turbidity and water temperature relate to algal blooms in Utah Lake. We generated satellite-derived estimates of chlorophyll-a (chl-a), turbidity, and surface temperature at 600 randomly distributed
[...] Read more.
We analyzed six years (2019–2025) of Sentinel-2 and Moderate Resolution Imaging Spectroradiometer (MODIS) imagery to quantify how turbidity and water temperature relate to algal blooms in Utah Lake. We generated satellite-derived estimates of chlorophyll-a (chl-a), turbidity, and surface temperature at 600 randomly distributed sample points. Using generalized least squares models, we found that temperature and turbidity explain only a small fraction of the variance in chl-a (temperature coefficients 0.02–0.03; turbidity coefficients −0.18–0.42), and the strength and sign of correlations vary by location. Despite weak linear correlations, we identified a strong nonlinear pattern: 94% of intense bloom events (chl-a > 87 µg/L) occurred when turbidity was below 120 Nephelometric Turbidity Units (NTU), indicating that blooms more often form under low-turbidity conditions. We also found that the first mild blooms of the season (chl-a > 34 µg/L) typically occurred five days after the largest short-term temperature increase (3–12 °C/day) at a given location, but only when blooms first appeared in April. These results suggest that Utah Lake blooms may be light-limited, with turbidity constraining algal growth that would otherwise occur in response to high nutrient levels, while temperature spikes influence early-season bloom initiation. Our findings have direct implications for monitoring and management strategies that target algal blooms on Utah Lake.
Full article
(This article belongs to the Section Remote Sensing in Geology, Geomorphology and Hydrology)
►▼
Show Figures

Figure 1
Open AccessArticle
Simultaneous Hyperspectral and Radar Satellite Measurements of Soil Moisture for Hydrogeological Risk Monitoring
by
Kalliopi Karadima, Andrea Massi, Alessandro Patacchini, Federica Verde, Claudia Masciulli, Carlo Esposito, Paolo Mazzanti, Valeria Giliberti and Michele Ortolani
Remote Sens. 2026, 18(3), 393; https://doi.org/10.3390/rs18030393 (registering DOI) - 24 Jan 2026
Abstract
Emerging landslides and severe floods highlight the urgent need to analyse and support predictive models and early warning systems. Soil moisture is a crucial parameter and it can now be determined from space with a resolution of a few tens of meters, potentially
[...] Read more.
Emerging landslides and severe floods highlight the urgent need to analyse and support predictive models and early warning systems. Soil moisture is a crucial parameter and it can now be determined from space with a resolution of a few tens of meters, potentially leading to the continuous global monitoring of landslide risk. We address this issue by determining the volumetric water content (VWC) of a testbed in Southern Italy (bare soil with significant flood and landslide hazard) through the comparison of two different satellite observations on the same day. In the first observation (Sentinel-1 mission of the European Space Agency, C-band Synthetic Aperture Radar (SAR)), the back-scattered radar signal is used to determine the VWC from the dielectric constant in the microwave range, using a time-series approach to calibrate the algorithm. In the second observation (hyperspectral PRISMA mission of the Italian Space Agency), the short-wave infrared (SWIR) reflectance spectra are used to calculate the VWC from the spectral weight of a vibrational absorption line of liquid water (wavelengths 1800–1950 nm). As the main result, we obtained a Pearson’s correlation coefficient of between the VWC values measured with the two techniques and a separate ground-truth confirmation of absolute VWC values in the range of 0.10–0.30 within . This overlap validates that both SAR and hyperspectral data can be well calibrated and mapped with 30 m ground resolution, given the absence of artifacts or anomalies in this particular testbed (e.g., vegetation canopy or cloud presence). If hyperspectral data in the SWIR range become more broadly available in the future, our systematic procedure to synchronise these two technologies in both space and time can be further adapted to cross-validate the global high-resolution soil moisture dataset. Ultimately, multi-mission data integration could lead to quasi-real-time hydrogeological risk monitoring from space.
Full article
(This article belongs to the Special Issue Remote Sensing in Geomatics (Second Edition))
►▼
Show Figures

Figure 1
Open AccessArticle
Quantitative Analysis of Lightning Rod Impacts on the Radiation Pattern and Polarimetric Characteristics of S-Band Weather Radar
by
Xiaopeng Wang, Jiazhi Yin, Fei Ye, Ting Yang, Yi Xie, Haifeng Yu and Dongming Hu
Remote Sens. 2026, 18(3), 392; https://doi.org/10.3390/rs18030392 - 23 Jan 2026
Abstract
Lightning rods, while essential for protecting weather radars from direct lightning strikes, act as persistent non-meteorological scatterers that can interfere with signal transmission and reception and thereby degrade detection accuracy and product quality. Existing studies have mainly focused on X-band and C-band systems,
[...] Read more.
Lightning rods, while essential for protecting weather radars from direct lightning strikes, act as persistent non-meteorological scatterers that can interfere with signal transmission and reception and thereby degrade detection accuracy and product quality. Existing studies have mainly focused on X-band and C-band systems, and robust, measurement-based quantitative assessments for S-band dual-polarization radars remain scarce. In this study, a controllable tilting lightning rod, a high-precision Far-field Antenna Measurement System (FAMS), and an S-band dual-polarization weather radar (SAD radar) are jointly employed to systematically quantify lightning-rod impacts on antenna electromagnetic parameters under different rod elevation angles and azimuth configurations. Typical precipitation events were analyzed to evaluate the influence of the lightning rods on dual-polarization parameters. The results show that the lightning rod substantially elevates sidelobe levels, with a maximum enhancement of 4.55 dB, while producing only limited changes in the antenna main-beam azimuth and beamwidth. Differential reflectivity () is the most sensitive polarimetric parameter, exhibiting a persistent positive bias of about 0.24–0.25 dB in snowfall and mixed-phase precipitation, while no persistent azimuthal anomaly is evident during freezing rain; the co-polar correlation coefficient () is only marginally affected. Collectively, these results provide quantitative, far-field evidence of lightning-rod interference in S-band dual-polarization radars and provide practical guidance for more reasonable lightning-rod placement and configuration, as well as useful references for -oriented polarimetric quality-control and correction strategies.
Full article
(This article belongs to the Section Engineering Remote Sensing)
Open AccessArticle
Ecological Change in Minnesota’s Carbon Sequestration and Oxygen Release Service: A Multidimensional Assessment Using Multi-Temporal Remote Sensing Data
by
Donghui Shi
Remote Sens. 2026, 18(3), 391; https://doi.org/10.3390/rs18030391 - 23 Jan 2026
Abstract
Carbon sequestration and oxygen release (CSOR) are core regulating functions of terrestrial ecosystems. However, regional assessments often fail to (i) separate scale-driven high supply from per-area efficiency, (ii) detect structural instability and degradation risk from long-term trajectories, and (iii) provide evidence that is
[...] Read more.
Carbon sequestration and oxygen release (CSOR) are core regulating functions of terrestrial ecosystems. However, regional assessments often fail to (i) separate scale-driven high supply from per-area efficiency, (ii) detect structural instability and degradation risk from long-term trajectories, and (iii) provide evidence that is comparable across units for management prioritization. Using Minnesota, USA, we integrated satellite-derived net primary productivity (NPP; 1998–2021) with a Quantity–Intensity–Structure (Q–I–S) framework to quantify CSOR, detect trends and change points (Mann–Kendall and Pettitt tests), map spatial clustering and degradation risk (Exploratory Spatial Data Analysis, ESDA), and attribute natural and human drivers (principal component regression and GeoDetector). CSOR increased overall from 1998 to 2021, with a marked shift around 2013 from a slight, variable decline to sustained recovery. Spatially, CSOR showed a persistent north–south gradient, with higher and improving services in northern Minnesota and lower, more degraded services in the south; persistent degradation was concentrated in a central high-risk belt. The Q–I–S framework also revealed inconsistencies between total supply and condition, identifying high-supply yet degrading areas and low-supply areas with recovery potential that are not evident from the totals alone. Climate variables primarily controlled CSOR quantity and structure, whereas human factors more strongly influenced intensity; the interactions of the two further shaped observed patterns. These results provide an interpretable and transferable basis for diagnosing degradation and prioritizing restoration under long-term environmental change.
Full article
(This article belongs to the Special Issue Ecological Change with Multi-Scale Spatial-Temporal Remote Sensing Data)
Open AccessSystematic Review
Remote Sensing of Woody Plant Encroachment: A Global Systematic Review of Drivers, Ecological Impacts, Methods, and Emerging Innovations
by
Abdullah Toqeer, Andrew Hall, Ana Horta and Skye Wassens
Remote Sens. 2026, 18(3), 390; https://doi.org/10.3390/rs18030390 - 23 Jan 2026
Abstract
Globally, grasslands, savannas, and wetlands are degrading rapidly and increasingly being replaced by woody vegetation. Woody Plant Encroachment (WPE) disrupts natural landscapes and has significant consequences for biodiversity, ecosystem functioning, and key ecosystem services. This review synthesizes findings from 159 peer-reviewed studies identified
[...] Read more.
Globally, grasslands, savannas, and wetlands are degrading rapidly and increasingly being replaced by woody vegetation. Woody Plant Encroachment (WPE) disrupts natural landscapes and has significant consequences for biodiversity, ecosystem functioning, and key ecosystem services. This review synthesizes findings from 159 peer-reviewed studies identified through a PRISMA-guided systematic literature review to evaluate the drivers of WPE, its ecological impacts, and the remote sensing (RS) approaches used to monitor it. The drivers of WPE are multifaceted, involving interactions among climate variability, topographic and edaphic conditions, hydrological change, land use transitions, and altered fire and grazing regimes, while its impacts are similarly diverse, influencing land cover structure, water and nutrient cycles, carbon and nitrogen dynamics, and broader implications for ecosystem resilience. Over the past two decades, RS has become central to WPE monitoring, with studies employing classification techniques, spectral mixture analysis, object-based image analysis, change detection, thresholding, landscape pattern and fragmentation metrics, and increasingly, machine learning and deep learning methods. Looking forward, emerging advances such as multi-sensor fusion (optical– synthetic aperture radar (SAR), Light Detection and Ranging (LiDAR)–hyperspectral), cloud-based platforms including Google Earth Engine, Microsoft Planetary Computer, and Digital Earth, and geospatial foundation models offer new opportunities for scalable, automated, and long-term monitoring. Despite these innovations, challenges remain in detecting early-stage encroachment, subcanopy woody growth, and species-specific patterns across heterogeneous landscapes. Key knowledge gaps highlighted in this review include the need for long-term monitoring frameworks, improved socio-ecological integration, species- and ecosystem-specific RS approaches, better utilization of SAR, and broader adoption of analysis-ready data and open-source platforms. Addressing these gaps will enable more effective, context-specific strategies to monitor, manage, and mitigate WPE in rapidly changing environments.
Full article
(This article belongs to the Special Issue Remote Sensing Tools for Monitoring Vegetation and Enhancing Biodiversity Conservation Strategies)
Open AccessArticle
Salient Object Detection for Optical Remote Sensing Images Based on Gated Differential Unit
by
Mingsi Sun, Ting Lan, Wei Wang and Pingping Liu
Remote Sens. 2026, 18(3), 389; https://doi.org/10.3390/rs18030389 - 23 Jan 2026
Abstract
►▼
Show Figures
Salient object detection in optical remote sensing images has attracted extensive research interest in recent years. However, CNN-based methods are generally limited by local receptive fields, while ViT-based methods suffer from common defects in noise suppression, channel selection, foreground-background distinction, and detail enhancement.
[...] Read more.
Salient object detection in optical remote sensing images has attracted extensive research interest in recent years. However, CNN-based methods are generally limited by local receptive fields, while ViT-based methods suffer from common defects in noise suppression, channel selection, foreground-background distinction, and detail enhancement. To address these issues and integrate long-distance contextual dependencies, we introduce GDUFormer, an ORSI-SOD detection method based on the ViT backbone and Gated Differential Units (GDU). Specifically, the GDU consists of two key components—Full-Dimensional Gated Attention (FGA) and Hierarchical Differential Dynamic Convolution (HDDC). FGA consists of two branches aimed at filtering effective features from the information flow. The first branch focuses on aggregating spatial local information under multiple receptive fields and filters the local feature maps via a grouping mechanism. The second branch imitates the Vision Mamba to acquire high-level reasoning and abstraction capabilities, enabling weak channel filtering. HDDC primarily utilizes distance decay and hierarchical intensity difference capture mechanisms to generate dynamic kernel spatial weights, thereby facilitating the convolution kernel to fully mix long-range contextual dependencies. Among these, the intensity difference capture mechanism can adaptively divide hierarchies and allocate parameters according to kernel size, thus realizing varying levels of difference capture in the kernel space. Extensive quantitative and qualitative experiments demonstrate the effectiveness and rationality of GDUFormer and its internal components.
Full article

Figure 1
Open AccessArticle
A Few-Shot Object Detection Framework for Remote Sensing Images Based on Adaptive Decision Boundary and Multi-Scale Feature Enhancement
by
Lijiale Yang, Bangjie Li, Dongdong Guan and Deliang Xiang
Remote Sens. 2026, 18(3), 388; https://doi.org/10.3390/rs18030388 - 23 Jan 2026
Abstract
Given the high cost of acquiring large-scale annotated datasets, few-shot object detection (FSOD) has emerged as an increasingly important research direction. However, existing FSOD methods face two critical challenges in remote sensing images (RSIs): (1) features of small targets within remote sensing images
[...] Read more.
Given the high cost of acquiring large-scale annotated datasets, few-shot object detection (FSOD) has emerged as an increasingly important research direction. However, existing FSOD methods face two critical challenges in remote sensing images (RSIs): (1) features of small targets within remote sensing images are incompletely represented due to extremely small-scale and cluttered backgrounds, which weakens discriminability and leads to significant detection degradation; (2) unified classification boundaries fail to handle the distinct confidence distributions between well-sampled base classes and sparsely sampled novel classes, leading to ineffective knowledge transfer. To address these issues, we propose TS-FSOD, a Transfer-Stable FSOD framework with two key innovations. First, the proposed detector integrates a Feature Enhancement Module (FEM) leveraging hierarchical attention mechanisms to alleviate small target feature attenuation, and an Adaptive Fusion Unit (AFU) utilizing spatial-channel selection to strengthen target feature representations while mitigating background interference. Second, Dynamic Temperature-scaling Learnable Classifier (DTLC) employs separate learnable temperature parameters for base and novel classes, combined with difficulty-aware weighting and dynamic adjustment, to adaptively calibrate decision boundaries for stable knowledge transfer. Experiments on DIOR and NWPU VHR-10 datasets show that TS-FSOD achieves competitive or superior performance compared to state-of-the-art methods, with improvements up to 4.30% mAP, particularly excelling in 3-shot and 5-shot scenarios.
Full article
(This article belongs to the Special Issue Advances in Imaging Radar Signal Processing, Target Feature Extraction and Recognition)
Open AccessArticle
Interpretable Deep Learning for Forecasting Camellia oleifera Yield in Complex Landscapes by Integrating Improved Spectral Bloom Index and Environmental Parameters
by
Tong Shi, Shi Cao, Xia Lu, Lina Ping, Xiang Fan, Meiling Liu and Xiangnan Liu
Remote Sens. 2026, 18(3), 387; https://doi.org/10.3390/rs18030387 - 23 Jan 2026
Abstract
►▼
Show Figures
Camellia oleifera, a woody oil crop unique to China, plays a crucial role in alleviating the global pressure of edible oil supply and maintaining ecological security. However, it remains challenging to accurately forecast Camellia oleifera yield in complex landscapes using only remote
[...] Read more.
Camellia oleifera, a woody oil crop unique to China, plays a crucial role in alleviating the global pressure of edible oil supply and maintaining ecological security. However, it remains challenging to accurately forecast Camellia oleifera yield in complex landscapes using only remote sensing data. The aim of this study is to develop an interpretable deep learning model, namely Shapley Additive Explanations–guided Attention–long short-term memory (SALSTM), for estimating Camellia oleifera yield by integrating an improved spectral bloom index and environmental parameters. The study area is located in Hengyang City in Hunan Province. Sentinel-2 imagery, meteorological observation from 2019 to 2023, and topographic data were collected. First, an improved spectral bloom index (ISBI) was constructed as a proxy for flowering density, while average temperature, precipitation, accumulated temperature, and wind speed were selected to represent environmental regulation variables. Second, a SALSTM model was designed to capture temporal dynamics from multi-source inputs, in which the LSTM module extracts time-dependent information and an attention mechanism assigns time-step-wise weights. Feature-level importance derived from SHAP analysis was incorporated as a guiding prior to inform attention distribution across variable dimensions, thereby enhancing model transparency. Third, model performance was evaluated using root mean square error (RMSE) and coefficient of determination (R2). The result show that the constructed SALSTM model achieved strong predictive performance in predicting Camellia oleifera yield in Hengyang City (RMSE = 0.5738 t/ha, R2 = 0.7943). Feature importance analysis results reveal that ISBI weight > 0.26, followed by average temperature and precipitation from flowering to fruit stages, these features are closely associated with C. oleifera yield. Spatially, high-yield zones were mainly concentrated in the central–southern hilly regions throughout 2019–2023, In contrast, low-yield zones were predominantly distributed in the northern and western mountainous areas. Temporally, yield hotspots exhibited a gradual increasing while low-yield zones showed mild fluctuations. This framework provides an effective and transferable approach for remote sensing-based yield estimation of flowering and fruit-bearing crops in complex landscapes.
Full article

Figure 1
Open AccessArticle
A Few-Shot Optical Classification Approach for Meteorological Lightning Monitoring: Leveraging Frame Difference and Triplet Network
by
Mengmeng Xiao, Yulong Yan, Qilin Zhang, Yan Liu, Xingke Pan, Bingzhe Dai and Chunxu Duan
Remote Sens. 2026, 18(3), 386; https://doi.org/10.3390/rs18030386 - 23 Jan 2026
Abstract
►▼
Show Figures
To address the challenges of scarce labeled samples, strong instantaneity, and variable morphology in lightning optical classification—issues that traditional methods struggle to handle efficiently and often require extensive manual intervention—we propose a frame difference triplet network (FD-TripletNet) tailored for few-shot lightning recognition. The
[...] Read more.
To address the challenges of scarce labeled samples, strong instantaneity, and variable morphology in lightning optical classification—issues that traditional methods struggle to handle efficiently and often require extensive manual intervention—we propose a frame difference triplet network (FD-TripletNet) tailored for few-shot lightning recognition. The lightning optical dataset used in this study was collected from two observation stations over six months, comprising 459 video samples that include lightning events with diverse morphologies (e.g., branched, spherical) and non-lightning events prone to misclassification (e.g., strong light interference, moving objects). Considering the critical feature of lightning—abrupt single-frame changes—we introduce adjacent frame difference matrices as model input to explicitly capture transient brightness variations, reducing noise from static backgrounds. To enhance discriminative ability in few-shot scenarios, the model leverages Triplet Loss to compact intra-class features and separate inter-class features, combined with a dynamic sample matching strategy to focus on challenging cases. The experimental results show that FD-TripletNet achieves a classification accuracy of 94.8% on the dataset, outperforming traditional methods and baseline deep learning models. It effectively reduces the False Negative Rate (FNR) to 3.2% and False Positive Rate (FPR) to 7.4%, successfully distinguishing between lightning and non-lightning events, thus providing an efficient solution for real-time lightning monitoring in meteorological applications.
Full article

Figure 1
Open AccessArticle
Moho Fold Structure Beneath the East China Sea and Its Tectonic Implications
by
Hangtao Yu, Chuang Xu, Mingming Wen and Chunhong Wu
Remote Sens. 2026, 18(3), 385; https://doi.org/10.3390/rs18030385 - 23 Jan 2026
Abstract
Moho fold structures provide critical insights into the tectonic evolution of the East China Sea. However, previous models exhibit substantial uncertainties, primarily resulting from the unaccounted gravitational effects of crustal sources and insufficient constraints on inversion parameters. In this study, we applied wavelet
[...] Read more.
Moho fold structures provide critical insights into the tectonic evolution of the East China Sea. However, previous models exhibit substantial uncertainties, primarily resulting from the unaccounted gravitational effects of crustal sources and insufficient constraints on inversion parameters. In this study, we applied wavelet multi-scale analysis and the power spectrum method to remove crustal contributions, combined with an improved Bott’s method to achieve robust hyperparameter estimations. The Moho topographic model obtained through this method exhibits a significantly enhanced accuracy, with a root mean square deviation from seismic control points reduced by approximately 30% compared to other models. The resulting Moho fold structure reveals three key findings: (1) The South China Block has undergone vertical stress that forced the mantle to subduct. (2) In the northeastern and central parts of the Ryukyu Arc, vertical subduction forces are dominant. In the southwestern part of the Ryukyu Arc, vertical subduction forces are in balance with another force associated with mantle upwelling. (3) There is no interplate stress beneath the Okinawa Trough, and its crustal thinning may have been influenced by upwelling in the mantle.
Full article
(This article belongs to the Section Satellite Missions for Earth and Planetary Exploration)
►▼
Show Figures

Figure 1
Open AccessArticle
SWOT Observations of Bimodal Seasonal Submesoscale Processes in the Kuroshio Large Meander
by
Xiaoyu Zhao and Yanjiang Lin
Remote Sens. 2026, 18(3), 384; https://doi.org/10.3390/rs18030384 - 23 Jan 2026
Abstract
Wide-swath satellite altimetry from the Surface Water and Ocean Topography (SWOT) mission provides an unprecedented opportunity to directly observe kilometer-scale ocean dynamics in two dimensions. In this study, we identify an atypical bimodal seasonal cycle of submesoscale processes in the Kuroshio Large Meander
[...] Read more.
Wide-swath satellite altimetry from the Surface Water and Ocean Topography (SWOT) mission provides an unprecedented opportunity to directly observe kilometer-scale ocean dynamics in two dimensions. In this study, we identify an atypical bimodal seasonal cycle of submesoscale processes in the Kuroshio Large Meander (KLM) region south of Japan using SWOT observations during 2023–2025. Submesoscale eddy kinetic energy (EKE) displays a pronounced winter maximum (December–January) as expected for midlatitude oceans, but also a distinct secondary maximum in late summer (August–September) that coincides with the Northwest Pacific typhoon season. SWOT-based eddy statistics reveal that cyclonic and anticyclonic eddies exhibit enhanced occurrence and intensity in winter and late summer. MITgcm LLC4320 outputs demonstrate that the late-summer EKE peak is primarily driven by typhoons, which rapidly deepen the mixed layer and intensify frontal gradients, leading to an intensification of submesoscale eddies. The Kuroshio path further modulates this response. During the KLM state, buoyancy gradients and mixed-layer available potential energy are amplified, allowing storm forcing to generate strong submesoscale activity. Together, typhoon forcing and current-path variability modify the traditionally winter-dominated submesoscale regime. These findings highlight the unique capability of SWOT to resolve submesoscale processes in western boundary currents during extreme weather events.
Full article
(This article belongs to the Special Issue Advances of Ocean Circulation and Air-Sea Interaction Using Remote Sensing Techniques)
►▼
Show Figures

Figure 1
Open AccessArticle
Long-Term Dynamics and Transitions of Surface Water Extent in the Dryland Wetlands of Central Asia Using a Hybrid Ensemble–Occurrence Approach
by
Kanchan Mishra, Hervé Piégay, Kathryn E. Fitzsimmons and Philip Weber
Remote Sens. 2026, 18(3), 383; https://doi.org/10.3390/rs18030383 - 23 Jan 2026
Abstract
Wetlands in dryland regions are rapidly degrading under the combined effects of climate change and human regulation, yet long-term, seasonally resolved assessments of surface water extent (SWE) and its dynamics remain scarce. Here, we map and analyze seasonal surface water extent (SWE) over
[...] Read more.
Wetlands in dryland regions are rapidly degrading under the combined effects of climate change and human regulation, yet long-term, seasonally resolved assessments of surface water extent (SWE) and its dynamics remain scarce. Here, we map and analyze seasonal surface water extent (SWE) over the period 2000–2024 in the Ile River Delta (IRD), south-eastern Kazakhstan, using Landsat TM/ETM+/OLI data within the Google Earth Engine (GEE) framework. We integrate multiple indices using the modified Normalized Difference Water Index (mNDWI), Automated Water Extraction Index (AWEI) variants, Water Index 2015 (WI2015), and Multi-Band Water Index (MBWI) with dynamic Otsu thresholding. The resulting index-wise binary water maps are merged via ensemble agreement (intersection, majority, union) to delineate three SWE regimes: stable (persists most of the time), periodic (appears regularly but not in every season), and ephemeral (appears only occasionally). Validation against Sentinel-2 imagery showed high accuracy F1-Score/Overall accuracy (F1/OA ≈ 0.85/85%), confirming our workflow to be robust. Hydroclimatic drivers were evaluated through modified Mann–Kendall (MMK) and Spearman’s (r) correlations between SWE, discharge (D), water level (WL), precipitation (P), and air temperature (AT), while a hybrid ensemble–occurrence framework was applied to identify degradation and transition patterns. Trend analysis revealed significant long–term declines, most pronounced during summer and fall. Discharge is predominantly controlled by stable spring SWE, while discharge and temperature jointly influence periodic SWE in summer–fall, with warming reducing the delta surface water. Ephemeral SWE responds episodically to flow pulses, whereas precipitation played a limited role in this semi–arid region. Spatially, area(s) of interest (AOI)-II/III (the main distributary system) support the most extensive yet dynamic wetlands. In contrast, AOI-I and AOI-IV host smaller, more constrained wetland mosaics. AOI-I shows persistence under steady low flows, while AOI-IV reflects a stressed system with sporadic high-water levels. Overall, the results highlight the dominant influence of flow regulation and distributary allocation on IRD hydrology and the need for ecologically timed releases, targeted restoration, and transboundary cooperation to sustain delta resilience.
Full article
(This article belongs to the Section Remote Sensing in Geology, Geomorphology and Hydrology)
►▼
Show Figures

Figure 1
Open AccessArticle
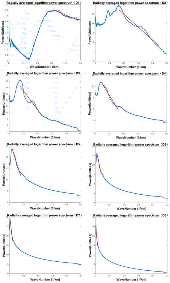
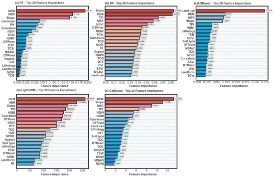
Spectral Feature Integration and Ensemble Learning Optimization for Regional-Scale Landslide Susceptibility Mapping in Mountainous Areas
by
Yun Tian, Taorui Zeng, Linfeng Wang, Gang Chen, Sihang Yang, Hao Chen and Ligang Wang
Remote Sens. 2026, 18(3), 382; https://doi.org/10.3390/rs18030382 - 23 Jan 2026
Abstract
Current research on landslide susceptibility modeling is often constrained by reliance on conventional topographic and geological features, potentially overlooking the discriminative power of surface material properties derived from multi-source remote sensing. This study aims to enhance the accuracy and reliability of susceptibility assessment
[...] Read more.
Current research on landslide susceptibility modeling is often constrained by reliance on conventional topographic and geological features, potentially overlooking the discriminative power of surface material properties derived from multi-source remote sensing. This study aims to enhance the accuracy and reliability of susceptibility assessment by innovatively integrating spectral information and advanced machine learning techniques. Focusing on Chongqing, a landslide-prone mountainous region in China, this work conducted three innovative investigations: it (i) introduced 12 spectral features into the feature set; (ii) systematically evaluated spectral features contribution, redundancy, and set completeness through feature engineering; and (iii) implemented a comprehensive Stacking ensemble framework with multiple meta-learners and enhancement strategies (Bagging and Cross-Training) to identify the optimal integration scheme. The key results show that spectral features provided a significant positive impact, boosting the AUC of tree-based ensemble models by up to 4.52%. The optimal model, a Stacking ensemble with Bagging_XGBoost as the meta-learner, achieved a superior test AUC of 0.8611, outperforming all individual base learners. Furthermore, the spatial analysis revealed a concentration of high and very high susceptibility areas in Engineering Geological Zone I, which represents approximately 38% of such areas. This study provides a replicable framework for enhancing landslide susceptibility mapping through the integration of spectral features and ensemble learning, offering a scientific basis for targeted risk management and mitigation planning in complex mountainous terrains.
Full article
(This article belongs to the Special Issue Multiplatform and Multisensor Applications for Landslide Characterization and Monitoring)
►▼
Show Figures

Figure 1
Open AccessArticle
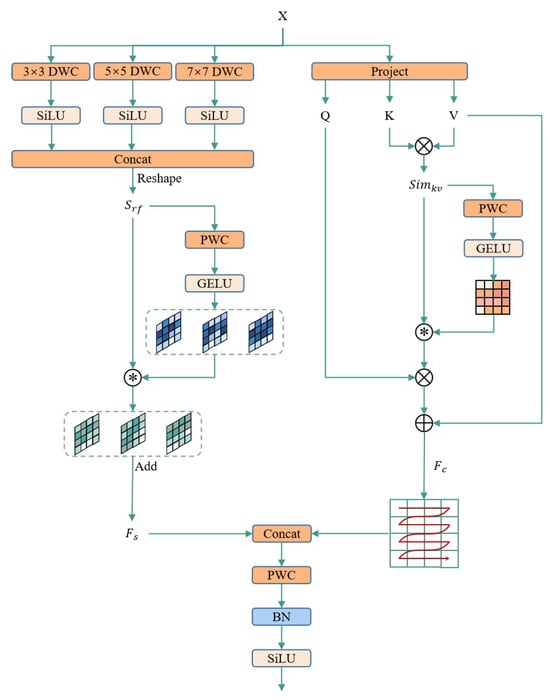
Multispectral Sparse Cross-Attention Guided Mamba Network for Small Object Detection in Remote Sensing
by
Wen Xiang, Yamin Li, Liu Duan, Qifeng Wu, Jiaqi Ruan, Yucheng Wan and Sihan Wu
Remote Sens. 2026, 18(3), 381; https://doi.org/10.3390/rs18030381 - 23 Jan 2026
Abstract
Remote sensing small object detection remains a challenging task due to limited feature representation and interference from complex backgrounds. Existing methods that rely exclusively on either visible or infrared modalities often fail to achieve both accuracy and robustness in detection. Effectively integrating cross-modal
[...] Read more.
Remote sensing small object detection remains a challenging task due to limited feature representation and interference from complex backgrounds. Existing methods that rely exclusively on either visible or infrared modalities often fail to achieve both accuracy and robustness in detection. Effectively integrating cross-modal information to enhance detection performance remains a critical challenge. To address this issue, we propose a novel Multispectral Sparse Cross-Attention Guided Mamba Network (MSCGMN) for small object detection in remote sensing. The proposed MSCGMN architecture comprises three key components: Multispectral Sparse Cross-Attention Guidance Module (MSCAG), Dynamic Grouped Mamba Block (DGMB), and Gated Enhanced Attention Module (GEAM). Specifically, the MSCAG module selectively fuses RGB and infrared (IR) features using sparse cross-modal attention, effectively capturing complementary information across modalities while suppressing redundancy. The DGMB introduces a dynamic grouping strategy to improve the computational efficiency of Mamba, enabling effective global context modeling. In remote sensing images, small objects occupy limited areas, making it difficult to capture their critical features. We design the GEAM module to enhance both global and local feature representations for small object detection. Experiments on the VEDAI and DroneVehicle datasets show that MSCGMN achieves mAP50 scores of 83.9% and 84.4%, outperforming existing state-of-the-art methods and demonstrating strong competitiveness in small object detection tasks.
Full article
(This article belongs to the Special Issue Image Fusion and Object Detection Using Multi-Modal Remote Sensing Data)
Open AccessArticle
Multi-Source Remote Sensing Data-Driven Susceptibility Mapping of Retrogressive Thaw Slumps in the Yangtze River Source Region
by
Yun Tian, Taorui Zeng, Qing Lü, Hongwei Jiang, Sihan Yang, Hang Cao and Wenbing Yu
Remote Sens. 2026, 18(3), 380; https://doi.org/10.3390/rs18030380 - 23 Jan 2026
Abstract
Despite the ecological sensitivity of the Yangtze River Source Region (YRSR), the current research critically lacks a quantified assessment of the spatial occurrence probability of Retrogressive Thaw Slumps (RTSs) in this specific high-altitude terrain. This study aims to bridge this knowledge gap by
[...] Read more.
Despite the ecological sensitivity of the Yangtze River Source Region (YRSR), the current research critically lacks a quantified assessment of the spatial occurrence probability of Retrogressive Thaw Slumps (RTSs) in this specific high-altitude terrain. This study aims to bridge this knowledge gap by establishing a robust susceptibility assessment framework to accurately model the spatial distribution and risk levels of RTSs. The innovations of this research include (i) the construction of a complete and up-to-date 2024 RTS inventory for the entire YRSR based on high-resolution optical remote sensing; (ii) the integration of time-series spectral features (e.g., vegetation and moisture trends) alongside static topographic variables to enhance the physical interpretability of machine learning models; and (iii) the application of advanced ensemble learning algorithms combined with SHAP analysis to establish a comprehensive RTS susceptibility zonation. The results reveal a rapid intensification of instability, evidenced by an 83.5% surge in RTS abundance, with the CatBoost model achieving exceptional accuracy (AUC = 0.994), and identifying that specific static topographic factors (particularly elevations between 4693 and 4812 m and north-to-east aspect) and dynamic spectral anomalies (indicated by declining vegetation vigor and increasing surface wetness) are the dominant drivers controlling RTS distribution. This study provides essential baseline data and spatial guidance for ecological conservation and engineering maintenance in the Asian Water Tower, demonstrating a highly effective paradigm for monitoring permafrost hazards under climate warming.
Full article
(This article belongs to the Special Issue Landslide Detection Using Machine and Deep Learning)
►▼
Show Figures

Figure 1
Journal Menu
► ▼ Journal Menu-
- Remote Sensing Home
- Aims & Scope
- Editorial Board
- Reviewer Board
- Topical Advisory Panel
- Photography Exhibition
- Instructions for Authors
- Special Issues
- Topics
- Sections & Collections
- Article Processing Charge
- Indexing & Archiving
- Editor’s Choice Articles
- Most Cited & Viewed
- Journal Statistics
- Journal History
- Journal Awards
- Society Collaborations
- Conferences
- Editorial Office
Journal Browser
► ▼ Journal BrowserHighly Accessed Articles
Latest Books
E-Mail Alert
News
Topics
Topic in
Agriculture, Remote Sensing, Sustainability, Water, Hydrology, Limnological Review, Earth
Water Management in the Age of Climate Change
Topic Editors: Yun Yang, Chong Chen, Hao SunDeadline: 31 January 2026
Topic in
Applied Sciences, Electronics, Informatics, JCP, Future Internet, Mathematics, Sensors, Remote Sensing
Recent Advances in Artificial Intelligence for Security and Security for Artificial Intelligence
Topic Editors: Tao Zhang, Xiangyun Tang, Jiacheng Wang, Chuan Zhang, Jiqiang LiuDeadline: 28 February 2026
Topic in
AI, BDCC, Fire, GeoHazards, Remote Sensing
AI for Natural Disasters Detection, Prediction and Modeling
Topic Editors: Moulay A. Akhloufi, Mozhdeh ShahbaziDeadline: 31 March 2026
Topic in
Land, Remote Sensing, Sensors, Applied Sciences
Recent Progress and Applications in Quantitative Remote Sensing
Topic Editors: Huawei Wan, Yu Wang, Hongmin Zhou, Longhui LuDeadline: 30 April 2026
Conferences
Special Issues
Special Issue in
Remote Sensing
Remote Sensing-Based Assessments in the Forest Fire Disturbance Continuum
Guest Editor: José Manuel Fernández-GuisuragaDeadline: 28 January 2026
Special Issue in
Remote Sensing
Remote Sensing for Landscape Dynamics
Guest Editors: Peipei Wang, Wei Han, Yuanyuan Zhao, Xinqi ZhengDeadline: 30 January 2026
Special Issue in
Remote Sensing
Recent Advances and Future Vision for Remote Sensing of Cultural and Natural Heritage
Guest Editors: Athanasios V. Argyriou, Dante AbateDeadline: 30 January 2026
Special Issue in
Remote Sensing
Innovative Remote Sensing Methods and Applications for Smart Cities
Guest Editors: Tingting Xu, Biao He, Jay GaoDeadline: 30 January 2026
Topical Collections
Topical Collection in
Remote Sensing
Google Earth Engine Applications
Collection Editors: Lalit Kumar, Onisimo Mutanga
Topical Collection in
Remote Sensing
Sentinel-2: Science and Applications
Collection Editors: Clement Atzberger, Jadu Dash, Olivier Hagolle, Jochem Verrelst, Quinten Vanhellemont, Jordi Inglada, Tuomas Häme
Topical Collection in
Remote Sensing
Feature Papers for Section Environmental Remote Sensing
Collection Editor: Magaly Koch
Topical Collection in
Remote Sensing
Discovering A More Diverse Remote Sensing Discipline
Collection Editors: Karen Joyce, Meghan Halabisky, Cristina Gómez, Michelle Kalamandeen, Gopika Suresh, Kate C. Fickas




