Collective Auger Decay of 4d−2 Double Inner-Shell Vacancy in Xe
Abstract
1. Introduction
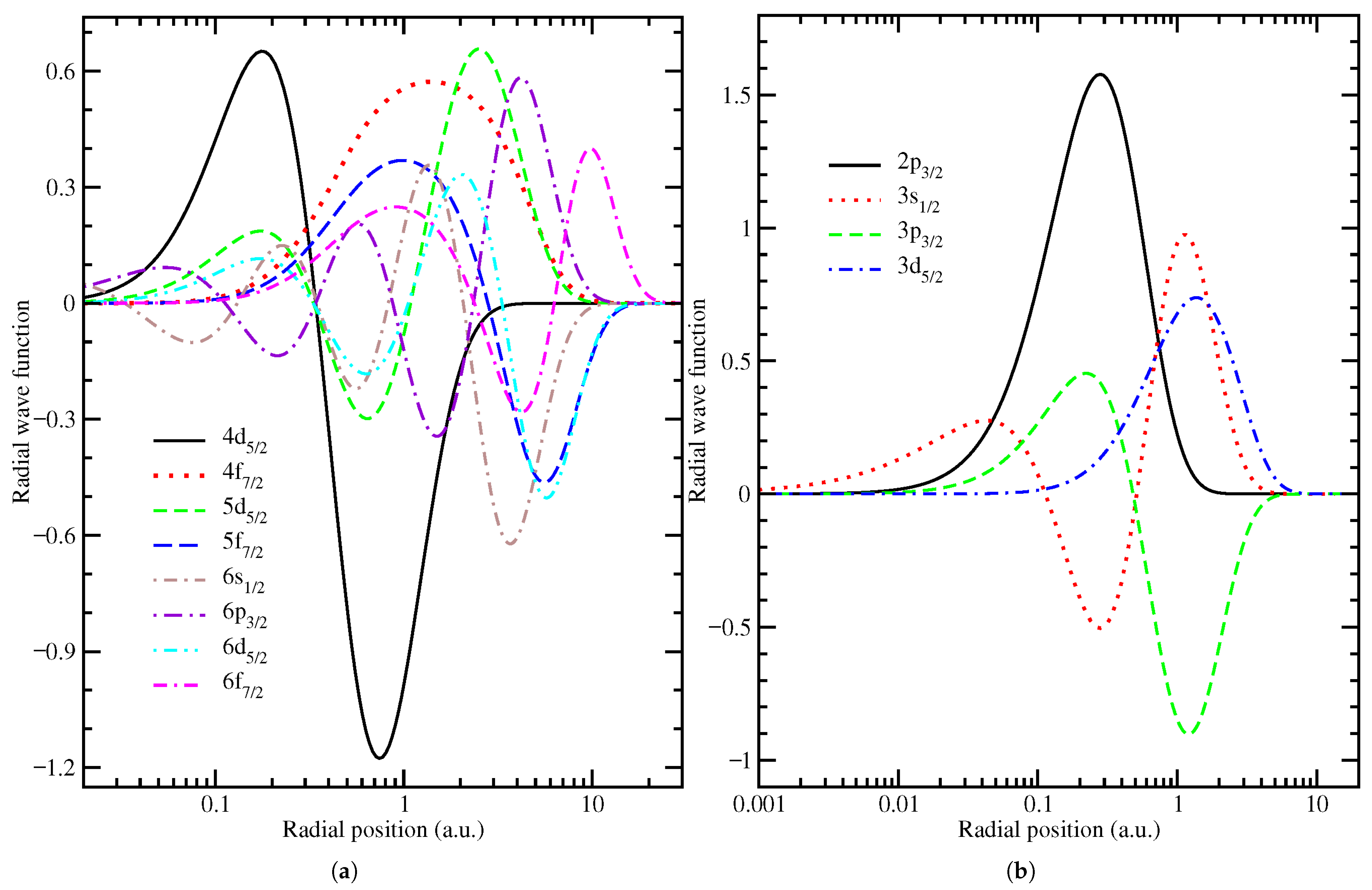
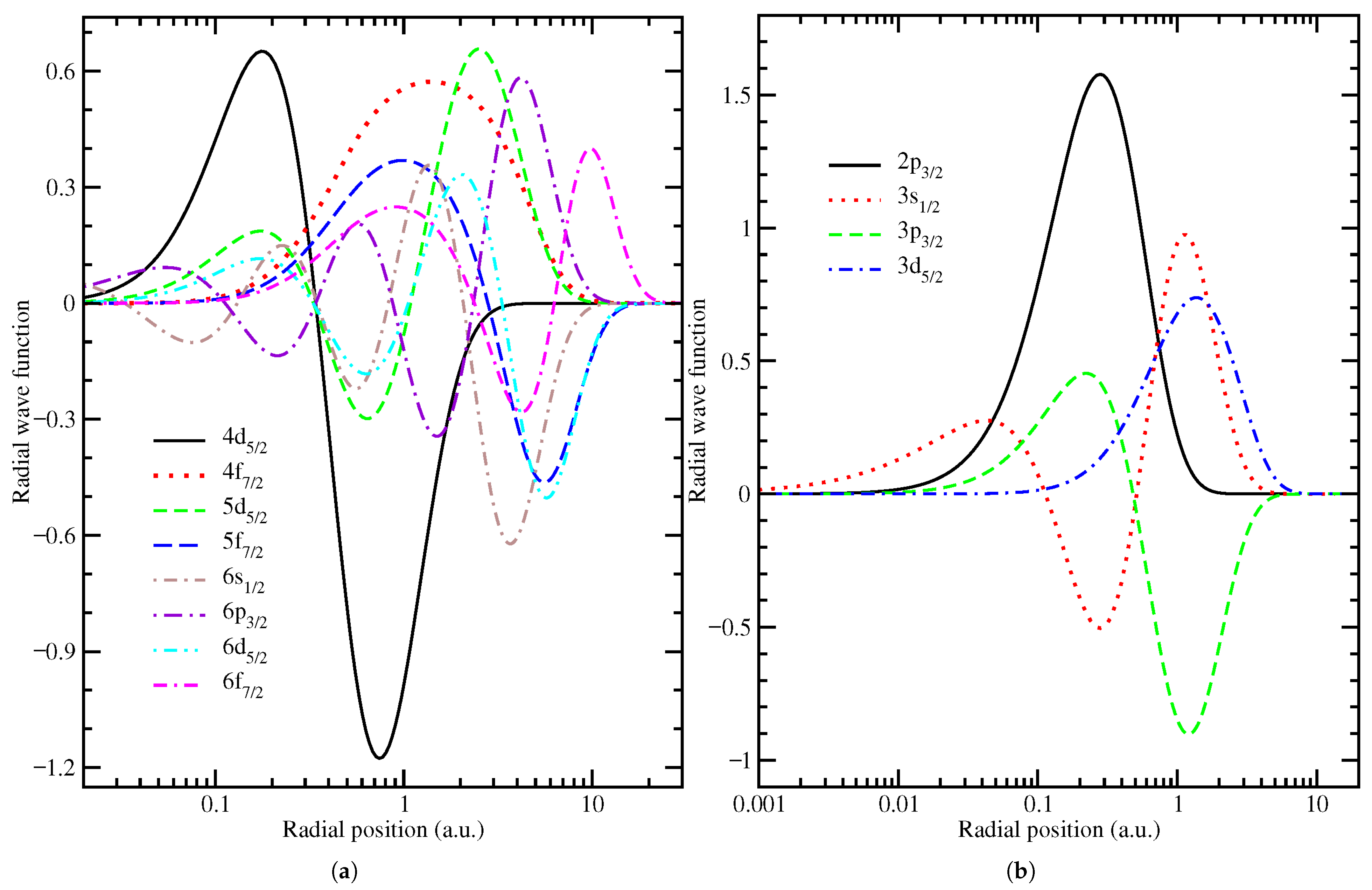
2. Results
3. Theoretical Methods
4. Conclusions
Author Contributions
Funding
Data Availability Statement
Conflicts of Interest
References
- Carlson, T.A. Photoelectron and Auger Spectroscopy; Plenum Press: New York, NY, USA, 1975. [Google Scholar]
- Carlson, T.A.; Krause, M.O. Experimental evidence for double electron emission in an Auger process. Phys. Rev. Lett. 1965, 14, 390–393. [Google Scholar] [CrossRef]
- Krause, M.O.; Vestal, M.L.; Johnston, W.H.; Carlson, T.A. Readjustment of the neon atom ionized in the K shell by X rays. Phys. Rev. 1964, 133, A385–A390. [Google Scholar] [CrossRef]
- Viefhaus, J.; Cvejanovic, S.; Langer, B.; Lischke, T.; Prümper, G.; Rolles, D.; Golovin, A.V.; Grum-Grzhimailo, A.N.; Kabachnik, N.M.; Becker, U. Energy and angular distributions of electrons emitted by direct double Auger decay. Phys. Rev. Lett. 2004, 92, 083001. [Google Scholar] [CrossRef]
- Namba, S.; Hasegawa, N.; Nishikino, M.; Kawachi, T.; Kishimoto, M.; Sukegawa, K.; Tanaka, M.; Ochi, Y.; Takiyama, K.; Nagashima, K. Enhancement of double Auger decay probability in xenon clusters irradiated with a soft-X-ray laser pulse. Phys. Rev. Lett. 2007, 99, 043004. [Google Scholar] [CrossRef]
- Guillemin, R.; Sheinerman, S.; Bomme, C.; Journel, L.; Marin, T.; Marchenko, T.; Kushawaha, R.K.; Trcera, N.; Piancastelli, M.N.; Simon, M. Ultrafast dynamics in postcollision interaction after multiple Auger decays in argon 1s photoionization. Phys. Rev. Lett. 2012, 109, 013001. [Google Scholar] [CrossRef] [PubMed]
- Zhang, P.; Trester, J.; Ueda, K.; Han, M.; Balčiūnas, T.; Wörner, H.J. Time-Resolved Multielectron Coincidence Spectroscopy of Double Auger-Meitner Decay Following Xe 4d Ionization. Phys. Rev. Lett. 2024, 132, 083201. [Google Scholar] [CrossRef]
- Müller, A.; Borovik, A., Jr.; Buhr, T.; Hellhund, J.; Holste, K.; Kilcoyne, A.L.D.; Klumpp, S.; Martins, M.; Ricz, S.; Viefhaus, J.; et al. Observation of a four-electron Auger process in near-K-edge photoionization of singly charged carbon ions. Phys. Rev. Lett. 2015, 114, 013002. [Google Scholar] [CrossRef]
- Zeng, J.L.; Liu, P.F.; Xiang, W.J.; Yuan, J.M. Level-to-level and total probability for Auger decay including direct double processes of Ar 2p−1 hole states. Phys. Rev. A 2013, 87, 033419. [Google Scholar] [CrossRef]
- Liu, L.P.; Li, Y.J.; Gao, C.; Zeng, J.L. Dominance of Double Processes in Complete Auger Decay of Rb+(3d−1). Phys. Rev. A 2020, 101, 012507. [Google Scholar] [CrossRef]
- Liu, P.F.; Zeng, J.L.; Yuan, J.M. A practical theoretical formalism for atomic multielectron processes: Direct multiple ionization by a single auger decay or by impact of a single electron or photon. J. Phys. B At. Mol. Opt. Phys. 2018, 51, 075202. [Google Scholar] [CrossRef]
- Fang, L.; Hoener, M.; Gessner, O.; Tarantelli, F.; Pratt, S.T.; Kornilov, O.; Buth, C.; Gühr, M.; Kanter, E.P.; Bostedt, C.; et al. Double core-hole production in N2: Beating the Auger clock. Phys. Rev. Lett. 2010, 105, 083005. [Google Scholar] [CrossRef] [PubMed]
- Lablanquie, P.; Penent, F.; Palaudoux, J.; Andric, L.; Selles, P.; Carniato, S.; Bučar, K.; Žitnik, M.; Huttula, M.; Eland, J.H.D.; et al. Properties of hollow molecules probed by single-photon double ionization. Phys. Rev. Lett. 2011, 106, 063003. [Google Scholar] [CrossRef]
- Tamasaku, K.; Nagasono, M.; Iwayama, H.; Shigemasa, E.; Inubushi, Y.; Tanaka, T.; Tono, K.; Togashi, T.; Sato, T.; Katayama, T.; et al. Double core-hole creation by sequential attosecond photoionization. Phys. Rev. Lett. 2013, 111, 043001. [Google Scholar] [CrossRef]
- Frasinski, L.J.; Zhaunerchyk, V.; Mucke, M.; Squibb, R.J.; Siano, M.; Eland, J.H.D.; Linusson, P.; van der Meulen, P.; Salén, P.; Thomas, R.D.; et al. Dynamics of hollow atom formation in intense X-Ray pulses probed by partial covariance mapping. Phys. Rev. Lett. 2013, 111, 073002. [Google Scholar] [CrossRef]
- Nakano, M.; Penent, F.; Tashiro, M.; Grozdanov, T.P.; Žitnik, M.; Carniato, S.; Selles, P.; Andric, L.; Lablanquie, P.; Palaudoux, J.; et al. Single photon K−2 and K−1K−1 double core ionization in C2H2n (n=1–3), CO, and N2 as a potential new tool for chemical analysis. Phys. Rev. Lett. 2013, 110, 163001. [Google Scholar] [CrossRef]
- Kolorenč, P.; Averbukh, V.; Feifel, R.; Eland, J. Collective relaxation processes in atoms, molecules and clusters. J. Phys. B 2016, 49, 082001. [Google Scholar] [CrossRef]
- Berrah, N.; Fang, L.; Murphy, B.; Osipov, T.; Ueda, K.; Kukk, E.; Feifel, R.; van der Meulen, P.; Salén, P.; Schmidt, H.T.; et al. Double-core-hole spectroscopy for chemical analysis with an intense X-ray femtosecond laser. Proc. Natl. Acad. Sci. USA 2011, 108, 16912–16915. [Google Scholar] [CrossRef]
- Salén, P.; van der Meulen, P.; Schmidt, H.T.; Thomas, R.D.; Larsson, M.; Feifel, R.; Piancastelli, M.N.; Fang, L.; Murphy, B.; Osipov, T.; et al. Experimental verification of the chemical sensitivity of two-site double core-hole states formed by an X-Ray free-electron laser. Phys. Rev. Lett. 2012, 108, 153003. [Google Scholar] [CrossRef]
- Bostedt, C.; Bozek, J.D.; Bucksbaum, P.H.; Coffee, R.N.; Hastings, J.B.; Huang, Z.; Lee, R.W.; Schorb, S.; Corlett, J.N.; Denes, P.; et al. Ultra-fast and ultra-intense X-ray sciences: First results from the Linac Coherent Light Source free-electron laser. J. Phys. B At. Mol. Opt. Phys. 2013, 46, 164003. [Google Scholar] [CrossRef]
- Rosmej, F.B.; Lee, R.W. Hollow ion emission driven by pulsed intense X-ray fields. Europhys. Lett. 2007, 77, 24001. [Google Scholar] [CrossRef]
- Cryan, J.P.; Glownia, J.M.; Andreasson, J.; Belkacem, A.; Berrah, N.; Blaga, C.I.; Bostedt, C.; Bozek, J.; Buth, C.; DiMauro, L.F.; et al. Auger electron angular distribution of double core-hole states in the molecular reference frame. Phys. Rev. Lett. 2010, 105, 083004. [Google Scholar] [CrossRef]
- Gao, C.; Zeng, J.L.; Yuan, J.M. Single- and double-core-hole ion emission spectroscopy of transient neon plasmas produced by ultraintense X-ray laser pulses. J. Phys. B At. Mol. Opt. Phys. 2016, 49, 044001. [Google Scholar] [CrossRef]
- Afrosimov, V.V.; Gordeev, Y.S.; Zinov’ev, A.N.; Rasulov, D.K.; Shergin, A.P. Observation of new types of Auger transitions in atoms with two internal vacancies. JETP Lett. 1975, 21, 249–251. [Google Scholar]
- Moretto-Capelle, P.; Bordenave-Montesquieu, A.; BenoitCattin, P.; Andriamonje, S.; Andr, H. Two and three electron Auger transitions in collisions of highly-charged ions with surfaces. Z. Phys. D 1991, 21, S347–S348. [Google Scholar] [CrossRef]
- Folkerts, L.; Das, J.; Bergsma, S.; Morgenstern, R. Three-electron Auger processes observed in collisions of bare ions on a metal surface. Phys. Lett. A 1992, 163, 73–76. [Google Scholar] [CrossRef]
- Lee, I.; Wehlitz, R.; Becker, U.; Amusia, M.Y. Evidence for a new class of many-electron Auger transitions in atoms. J. Phys. B 1993, 26, L41–L46. [Google Scholar] [CrossRef]
- De Filippo, E.; Lanzano, G.; Rothard, H.; Volant, C. Three-electron Auger process from beam-foil excited multiply charged ions. Phys. Rev. Lett. 2008, 100, 233202. [Google Scholar] [CrossRef] [PubMed]
- Eland, J.H.D.; Squibb, R.J.; Mucke, M.; Zagorodskikh, S.; Linusson, P.; Feifel, R. Direct observation of three-electron collective decay in a resonant Auger process. New J. Phys. 2015, 17, 122001. [Google Scholar] [CrossRef]
- Žitnik, M.; Püuttner, R.; Goldsztejn, G.; Bucar, K.; Kavčič, M.; Mihelič, A.; Marchenko, T.; Guillemin, R.; Journel, L.; Travnikova, O.; et al. Two-to-one Auger decay of a double L vacancy in argon. Phys. Rev. A 2016, 93, 021401(R). [Google Scholar] [CrossRef]
- Mailhiot, M.; Jänkälä, K.; Huttula, M.; Patanen, M.; Bucar, K.; Žitnik, M.; Cubaynes, D.; Holzmeier, F.; Feifel, R.; Ceolin, D.; et al. Multielectron coincidence spectroscopy of the Ar2+ (2p−2) double-core-hole decay. Phys. Rev. A 2023, 107, 063108. [Google Scholar] [CrossRef]
- Ivanov, L.N.; Safronova, U.I.; Senashenko, V.S.; Viktorov, D.S. The radiationless decay of excited states of atomic systems with two K-shell vacancies. J. Phys. B 1978, 11, L175–L179. [Google Scholar] [CrossRef]
- Simons, R.L.; Kelly, H.P.; Bruch, R. Decay rates of Li I 2s22p and 2s22s. Phys. Rev. A 1979, 19, 682–688. [Google Scholar] [CrossRef]
- Amusia, M.Y.; Lee, I.S. Correlated decay of two vacancies in atoms. J. Phys. B 1991, 24, 2617–2627. [Google Scholar] [CrossRef]
- Marques, J.P.; Parente, F.; Indelicato, P.; Desclaux, J.P. Estimation of the ratio of double and single Auger transition rates for the L shell of Kr, Nb and Gd. J. Phys. B 1998, 31, 2897–2907. [Google Scholar] [CrossRef]
- Feifel, R.; Eland, J.H.D.; Squibb, R.J.; Mucke, M.; Zagorodskikh, S.; Linusson, P.; Tarantelli, F.; Kolorenč, P.; Averbukh, V. Ultrafast molecular three-electron Auger decay. Phys. Rev. Lett. 2016, 116, 073001. [Google Scholar] [CrossRef]
- Hikosaka, Y.; Fritzsche, S. Amplified collective Auger decay of double inner-shell vacancy in Xe. Phys. Rev. Lett. 2025, 134, 103001. [Google Scholar] [CrossRef] [PubMed]
- Li, Y.J.; Liu, L.P.; Gao, C.; Zeng, J.L.; Yuan, J.M. Auger decay including direct double processes of K-shell hollow states of Ne+ and the related hypersatellite radiative transitions. J. Electron Spectrosc. Relat. Phenom. 2018, 226, 26–32. [Google Scholar] [CrossRef]
- Fan, X.H.; Li, Y.J.; Liu, P.F.; Gao, C.; Wang, X.W.; Zeng, J.L. Auger decay and natural lifetime widths of single and double K-shell vacancy states of Al4+-Al11+ ions. J. Phys. B At. Mol. Opt. Phys. 2018, 51, 175001. [Google Scholar] [CrossRef]
- Zeng, J.L.; Li, Y.J.; Liu, P.F.; Gao, C.; Yuan, J.M. Single and double K-shell resonant photoionization and Auger decay of 1s → 2p excited states of O+-O4+. Astron. Astrophys. 2017, 605, A32. [Google Scholar] [CrossRef][Green Version]
- Zeng, J.L.; Huang, Y.H.; Deng, A.H.; Gao, C.; Hou, Y.; Yuan, J.M. Plasma environmental effect on Auger electron spectroscopy of an ion embedded in a dense plasma. Phys. Rev. A 2025, 112, 023115. [Google Scholar] [CrossRef]
- Fushitani, M.; Sasaki, Y.; Matsuda, A.; Fujise, H.; Kawabe, Y.; Hashigaya, K.; Owada, S.; Togashi, T.; Nakajima, K.; Yabashi, M.; et al. Multielectron-Ion Coincidence Spectroscopy of Xe in Extreme Ultraviolet Laser Fields: Nonlinear Multiple Ionization via Double Core-Hole States. Phys. Rev. Lett. 2020, 124, 193201. [Google Scholar] [CrossRef] [PubMed]
- Fukuzawa, H.; Son, S.-K.; Motomura, K.; Mondal, S.; Nagaya, K.; Wada, S.; Liu, X.-J.; Feifel, R.; Tachibana, T.; Ito, Y.; et al. Deep Inner-Shell Multiphoton Ionization by Intense X-Ray Free-Electron Laser Pulses. Phys. Rev. Lett. 2013, 110, 173005. [Google Scholar] [CrossRef] [PubMed]
- Hikosaka, Y.; Lablanquie, P.; Penent, F.; Kaneyasu, T.; Shigemasa, E.; Eland, J.H.D.; Aoto, T.; Ito, K. Double Photoionization into Double Core-Hole States in Xe. Phys. Rev. Lett. 2007, 98, 183002. [Google Scholar] [CrossRef]
- Bjorneholm, O.; Sundin, S.; Svensson, S.; Marinho, R.R.T.; de Brito, A.N.; Gelmukhanov, F.; Agren, H. Femtosecond dissociation of the core-excited HCl monitored by frequency detuning. Phys. Rev. Lett. 1997, 79, 3150–3153. [Google Scholar] [CrossRef]
- Turner, N.H.; Schreifels, J.A. Surface Analysis: X-ray Photoelectron Spectroscopy and Auger Electron Spectroscopy. Anal. Chem. 2000, 72, 99R–110R. [Google Scholar] [CrossRef]
- Gessner, O.; Guhr, M. Monitoring ultrafast chemical dynamics by time-domain X-ray photo- and Auger-electron spectroscopy. Acc. Chem. Res. 2016, 49, 138–145. [Google Scholar] [CrossRef]
- Piancastelli, M.N.; Goldsztejn, G.; Marchenko, T.; Guillemin, R.; Kushawaha, R.K.; Journel, L.; Carniato, S.; Rueff, J.-P.; Ceolin, D.; Simon, M. Core-hole-clock spectroscopies in the tender X-ray domain. J. Phys. B 2014, 47, 124031. [Google Scholar] [CrossRef]
- Miteva, T.; Kryzhevoi, N.V.; Sisourat, N.; Nicolas, C.; Pokapanich, W.; Saisopa, T.; Songsiriritthigul, P.; Rattanachai, Y.; Dreuw, A.; Wenzel, J.; et al. The all-seeing eyes of resonant Auger electron spectroscopy: A study on Aqueous solution using tender X-rays. J. Phys. Chem. Lett. 2018, 9, 4457–4462. [Google Scholar] [CrossRef]
- Vinko, S.M.; Ciricosta, O.; Preston, T.R.; Rackstraw, D.S.; Brown, C.R.D.; Burian, T.; Chalupsky, J.; Cho, B.I.; Chung, H.-K.; Engelhorn, K.; et al. Investigation of femtosecond collisional ionization rates in a solid-density aluminium plasma. Nat. Commun. 2015, 6, 6397. [Google Scholar] [CrossRef]
- van den Berg, Q.Y.; Fernandez-Tello, E.V.; Burian, T.; Chalupsky, J.; Chung, H.-K.; Ciricosta, O.; Dakovski, G.L.; Hajkova, V.; Hollebon, P.; Juha, L.; et al. Clocking femtosecond collisional dynamics via resonant X-ray spectroscopy. Phys. Rev. Lett. 2018, 120, 055002. [Google Scholar] [CrossRef]
- Gu, M.F. The Flexible Atomic Code. Can. J. Phys. 2008, 86, 675–689. [Google Scholar] [CrossRef]
- Pindzola, M.S.; Griffin, D.C. Double Auger processes in the electron-impact ionization of lithiumlike ions. Phys. Rev. A 1987, 36, 2628–2635. [Google Scholar] [CrossRef] [PubMed]


| Energy (eV) | Auger Decay Rate (s−1) | Auger Width (meV) | |||||||||||
|---|---|---|---|---|---|---|---|---|---|---|---|---|---|
| No. | Level Designation | Full CI | A | B | C | Full CI | A | B | C | Full CI | A | B | C |
| 1 | 118.13 | 119.47 | 117.61 | 118.75 | 1.218 [14] | 1.805 [14] | 1.388 [14] | 1.255 [14] | 80 | 119 | 91 | 82 | |
| 2 | 119.65 | 121.20 | 119.32 | 120.30 | 1.855 [14] | 1.783 [14] | 1.971 [14] | 1.908 [14] | 122 | 117 | 130 | 125 | |
| 3 | 119.89 | 121.29 | 119.38 | 120.51 | 1.445 [14] | 1.819 [14] | 1.641 [14] | 1.526 [14] | 95 | 120 | 108 | 100 | |
| 4 | 121.42 | 122.80 | 120.91 | 122.05 | 1.803 [14] | 1.785 [14] | 1.930 [14] | 1.873 [14] | 119 | 118 | 126 | 123 | |
| 5 | 122.27 | 123.71 | 121.74 | 122.69 | 2.318 [14] | 1.746 [14] | 2.157 [14] | 2.237 [14] | 152 | 115 | 142 | 147 | |
| 6 | 122.50 | 123.95 | 121.99 | 123.18 | 1.869 [14] | 1.764 [14] | 1.933 [14] | 1.902 [14] | 123 | 116 | 127 | 125 | |
| 7 | 123.18 | 124.60 | 122.68 | 123.89 | 1.682 [14] | 1.710 [14] | 1.843 [14] | 1.765 [14] | 111 | 113 | 121 | 116 | |
| 8 | 123.38 | 124.72 | 122.87 | 124.11 | 2.086 [14] | 1.773 [14] | 1.979 [14] | 2.006 [14] | 137 | 117 | 130 | 132 | |
| 9 | 129.19 | 130.65 | 128.65 | 130.92 | 2.827 [14] | 1.678 [14] | 2.429 [14] | 2.698 [14] | 186 | 110 | 160 | 178 | |
| Initial | Auger Final Level | Auger Electron Energy (eV) | Rate (s−1) |
|---|---|---|---|
| 1 | 30.39 | 2.246 [12] | |
| 30.13 | 4.189 [12] | ||
| 29.73 | 3.319 [12] | ||
| 28.12 | 4.402 [12] | ||
| 27.95 | 8.523 [12] | ||
| 27.34 | 6.437 [12] | ||
| 27.27 | 7.588 [12] | ||
| 27.16 | 2.509 [12] | ||
| 23.98 | 5.180 [12] | ||
| 16.45 | 3.337 [12] | ||
| 16.42 | 4.362 [12] | ||
| 15.45 | 2.904 [12] | ||
| 15.20 | 3.872 [12] | ||
| 12.52 | 2.697 [12] | ||
| 12.14 | 2.529 [12] | ||
| All Auger decay channels | 1.218[14] | ||
| 9 | 83.08 | 2.549 [12] | |
| 38.34 | 4.900 [12] | ||
| 36.58 | 6.393 [12] | ||
| 36.51 | 9.761[12] | ||
| 35.41 | 7.207 [12] | ||
| 35.04 | 1.087[13] | ||
| 33.33 | 1.979[13] | ||
| 25.25 | 2.992 [12] | ||
| 24.66 | 1.131 [13] | ||
| 24.31 | 4.422 [12] | ||
| 23.21 | 1.747 [13] | ||
| 23.14 | 8.394 [12] | ||
| 21.36 | 3.582 [12] | ||
| 14.59 | 3.266 [12] | ||
| 13.18 | 2.387 [12] | ||
| 10.32 | 5.551 [12] | ||
| 10.31 | 1.539 [13] | ||
| 10.15 | 5.675 [12] | ||
| 10.10 | 2.868 [12] | ||
| 8.32 | 2.832 [13] | ||
| All Auger decay channels | 2.827 [14] |
| Auger Decay Rate (s−1) | |||||||||
| Final Config. | 1 | 2 | 3 | 4 | 5 | 6 | 7 | 8 | 9 |
| 5.190 [13] | 3.110 [12] | 5.383 [13] | 5.751 [13] | 4.098 [13] | 6.014 [13] | 5.565 [13] | 6.042 [13] | 6.706 [13] | |
| 2.926 [13] | 6.536 [13] | 2.709 [13] | 2.983 [13] | 4.832 [13] | 3.127 [13] | 2.700 [13] | 3.713 [13] | 4.323 [13] | |
| 5.039 [11] | 1.789 [13] | 3.797 [13] | 3.641 [13] | 4.086 [13] | 3.665 [13] | 3.987 [13] | 4.926 [13] | ||
| 1.501 [13] | 1.485 [13] | 1.456 [13] | 7.021 [12] | 1.121 [13] | 1.193 [13] | 1.372 [13] | 7.200 [12] | ||
| 1.573 [13] | 8.089 [13] | 1.508 [13] | 1.938 [13] | 4.164 [13] | 1.902 [13] | 1.688 [13] | 3.103 [13] | 4.173 [13] | |
| 4.708 [12] | 2.023 [13] | 4.209 [12] | 4.356 [12] | 2.311 [13] | 4.078 [12] | 3.915 [12] | 6.203 [12] | 1.216 [13] | |
| 3.770 [12] | 9.142 [12] | 1.204 [13] | 1.798 [13] | 1.445 [13] | 1.116 [13] | 1.173 [13] | 2.258 [13] | ||
| 6.741 [11] | 5.575 [11] | 1.096 [12] | 4.612 [12] | ||||||
| 8.256 [11] | 7.745 [11] | 1.226 [12] | 4.335 [12] | ||||||
| Branching ratio (%) | |||||||||
| Final config. | 1 | 2 | 3 | 4 | 5 | 6 | 7 | 8 | 9 |
| 42.60 | 1.88 | 37.24 | 31.90 | 17.68 | 32.18 | 33.07 | 28.96 | 23.72 | |
| 24.01 | 36.23 | 18.74 | 16.54 | 22.33 | 16.73 | 16.04 | 17.80 | 15.29 | |
| 0.48 | 12.37 | 21.06 | 15.74 | 21.86 | 21.78 | 19.11 | 17.42 | ||
| 12.33 | 0.14 | 10.28 | 8.09 | 3.03 | 6.00 | 7.09 | 6.58 | 2.55 | |
| 12.91 | 43.60 | 10.43 | 10.75 | 17.96 | 10.18 | 14.87 | 14.76 | ||
| 3.86 | 10.90 | 2.91 | 2.416 | 9.97 | 2.18 | 2.33 | 2.97 | 4.30 | |
| 3.09 | 0.33 | 6.32 | 6.68 | 7.76 | 7.73 | 6.90 | 5.62 | 7.99 | |
| 0.21 | 0.36 | 0.36 | 0.33 | 0.53 | 1.63 | ||||
| 0.35 | 0.17 | 0.44 | 0.46 | 0.59 | 1.53 | ||||
| Auger Decay Rate (s−1) | |||||||||
| Final Config. | 1 | 2 | 3 | 4 | 5 | 6 | 7 | 8 | 9 |
| 8.995 [9] | 7.238 [9] | 8.772 [9] | 7.708 [9] | 8.637 [9] | 1.584 [10] | 2.474 [10] | |||
| 5.885 [10] | 1.156 [12] | 5.383 [10] | 4.168 [11] | 1.751 [12] | 5.571 [11] | 4.311 [10] | 8.350 [11] | 3.799 [12] | |
| 1.650 [9] | 2.873 [11] | 2.868 [9] | 5.375 [10] | 4.130 [11] | 6.449 [10] | 2.046 [10] | 1.512 [11] | 2.623 [11] | |
| 3.087 [10] | 1.705 [12] | 2.698 [10] | 2.277 [11] | 4.722 [11] | 1.451 [11] | 1.061 [11] | 9.833 [11] | 1.028 [12] | |
| 3.745 [10] | 9.847 [10] | 3.290 [10] | 6.602 [10] | 7.071 [10] | 2.338 [10] | 1.061 [11] | 3.025 [11] | ||
| 2.985 [9] | 6.492 [10] | ||||||||
| 1.978 [10] | 2.572 [11] | 2.915 [10] | 9.325 [10] | 5.398 [11] | 7.486 [10] | 3.991 [10] | 1.702 [11] | 3.910 [11] | |
| 2.961 [11] | 6.462 [10] | 4.173 [11] | 2.245 [11] | 1.597 [11] | 1.696 [11] | 1.118 [11] | 1.710 [11] | 1.387 [11] | |
| 1.616 [11] | 1.240 [11] | 1.637 [11] | 1.464 [11] | 1.398 [11] | 8.413 [10] | 1.443 [11] | |||
| 6.707 [11] | 8.313 [10] | 1.433 [12] | 1.977 [12] | 1.920 [12] | 2.338 [12] | 2.272 [12] | 2.320 [12] | 4.167 [12] | |
| All CAD channels | 1.556 [12] | 4.476 [12] | 2.340 [12] | 3.559 [12] | 6.756 [12] | 3.930 [12] | 2.910 [12] | 5.539 [12] | 1.154 [13] |
| Branching ratio (%) | |||||||||
| Final config. | 1 | 2 | 3 | 4 | 5 | 6 | 7 | 8 | 9 |
| 0.0074 | 0.0039 | 0.0061 | 0.0042 | 0.0045 | 0.0046 | 0.0094 | 0.0045 | 0.0088 | |
| 0.0483 | 0.6232 | 0.0372 | 0.2312 | 0.7548 | 0.2981 | 0.0256 | 0.4002 | 1.3435 | |
| 0.0013 | 0.1549 | 0.0020 | 0.0298 | 0.1786 | 0.0345 | 0.0121 | 0.0725 | 0.0927 | |
| 0.0253 | 0.9188 | 0.0186 | 0.1262 | 0.2037 | 0.0776 | 0.0631 | 0.4712 | 0.3637 | |
| 0.031 | 0.0228 | ||||||||
| 0.2008 | 0.0040 | 0.0664 | 0.1127 | 0.0729 | |||||
| 0.1386 | 0.0202 | 0.0517 | 0.2329 | 0.0400 | 0.0237 | 0.0815 | 0.1382 | ||
| 0.2449 | 0.2887 | 0.1245 | 0.0688 | 0.0907 | 0.0664 | 0.0819 | 0.0491 | ||
| 0.1327 | 0.0201 | 0.0908 | 0.0632 | 0.0748 | 0.0500 | 0.0445 | 0.0510 | ||
| 0.5505 | 0.9913 | 1.0965 | 0.8293 | 1.2514 | 1.3503 | 1.1120 | 1.4737 | ||
| All CAD channels | 1.2795 | 2.4128 | 1.6188 | 1.9739 | 2.9143 | 2.1031 | 1.7299 | 2.6549 | 4.0816 |
Disclaimer/Publisher’s Note: The statements, opinions and data contained in all publications are solely those of the individual author(s) and contributor(s) and not of MDPI and/or the editor(s). MDPI and/or the editor(s) disclaim responsibility for any injury to people or property resulting from any ideas, methods, instructions or products referred to in the content. |
© 2025 by the authors. Licensee MDPI, Basel, Switzerland. This article is an open access article distributed under the terms and conditions of the Creative Commons Attribution (CC BY) license (https://creativecommons.org/licenses/by/4.0/).
Share and Cite
Zeng, J.; Wang, G.; Deng, A.; Gao, C.; Yuan, J. Collective Auger Decay of 4d−2 Double Inner-Shell Vacancy in Xe. Atoms 2025, 13, 98. https://doi.org/10.3390/atoms13120098
Zeng J, Wang G, Deng A, Gao C, Yuan J. Collective Auger Decay of 4d−2 Double Inner-Shell Vacancy in Xe. Atoms. 2025; 13(12):98. https://doi.org/10.3390/atoms13120098
Chicago/Turabian StyleZeng, Jiaolong, Guoqing Wang, Aihua Deng, Cheng Gao, and Jianmin Yuan. 2025. "Collective Auger Decay of 4d−2 Double Inner-Shell Vacancy in Xe" Atoms 13, no. 12: 98. https://doi.org/10.3390/atoms13120098
APA StyleZeng, J., Wang, G., Deng, A., Gao, C., & Yuan, J. (2025). Collective Auger Decay of 4d−2 Double Inner-Shell Vacancy in Xe. Atoms, 13(12), 98. https://doi.org/10.3390/atoms13120098

