The Validity of Long Wavelength Approximation in the Evaluation of Two-Photon Decay Rate
Abstract
1. Introduction
2. Theoretical Background
2.1. Two-Photon Decay Rate Derivation
2.2. Matrix Elements in Different Gauges
2.3. Numerical Approach
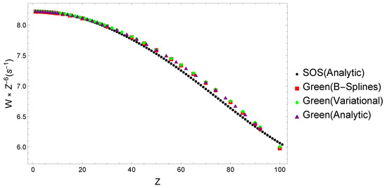
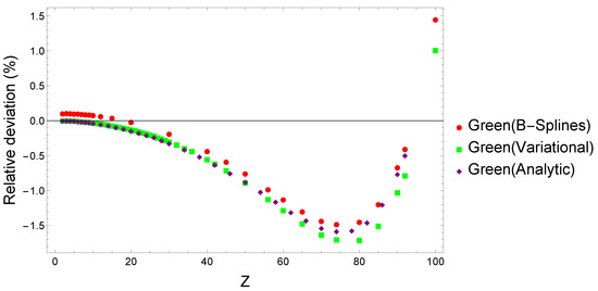
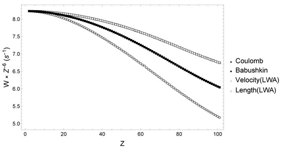
3. Results and Discussion
4. Conclusions
Author Contributions
Funding
Data Availability Statement
Conflicts of Interest
Appendix A. Dirac Orbitals
Appendix B. Extended Tables
| Ion | Rate | (LWA) | |||
|---|---|---|---|---|---|
| Babushkin | Coulomb | Length | Velocity | ||
References
- Goppert-Mayer, M. Uber elementarakte mit zwei quanten-sprungen. Ann. Phys. 1931, 401, 273. [Google Scholar] [CrossRef]
- Breit, G.; Teller, E. Metastability of Hydrogen and Helium Levels. Astrophys. J. 1940, 91, 215. [Google Scholar] [CrossRef]
- Spitzer, L., Jr.; Greenstein, J.L. Continuous Emission from Planetary Nebulae. Atrophys. J. 1951, 114, 407. [Google Scholar] [CrossRef]
- Shapiro, J.; Breit, G. Metastability of 2s States of Hydrogenic Atoms. Phys. Rev. 1959, 113, 179. [Google Scholar] [CrossRef]
- Lipeles, M.; Novick, R.; Tolk, N. Direct detection of two-photon emission from metastable state of singly ionized helium. Phys. Rev. Lett. 1965, 15, 690–693. [Google Scholar] [CrossRef]
- Artura, C.J.; Tolk, N.; Novick, R. Two-photon emission from the metastable state of singly ionized hellium. Astrophys. J. 1969, 157, L181–L186. [Google Scholar] [CrossRef]
- Novick, R. Two-photon deay of metastable hydrogenic atoms. Science 1972, 177, 367. [Google Scholar] [CrossRef]
- Schmieder, W.; Marrus, R. Two-photon decay and lifetime of the 22s1/2 state of hydrogenlike argon. Phys. Rev. Lett. 1970, 25, 1692–1694. [Google Scholar] [CrossRef]
- Marrus, R.; Schmieder, W. Forbidden decays of hydrogenlike and heliumlike argon. J. Phys. B At. Mol. Opt. Phys. 1972, 38, S707–S726. [Google Scholar] [CrossRef]
- Gould, H.; Marrus, R. Lamb shift and the lifetimes of the 22S1/2 state of hydrogenlike argon (Z=18). Phys. Rev. A 1983, 28, 2001–2025. [Google Scholar] [CrossRef]
- Dunford, R.W.; Hass, M.; Bakke, E.; Berry, H.G.; Liu, C.J.; Raphaelian, M.L.A. Lifetimes of two-photon-emitting states in heliumlike and hydrogenlike nickel. Phys. Rev. Lett. 1989, 62, 2809. [Google Scholar] [CrossRef]
- Schaffer, H.W.; Mokler, P.H.; Dunford, R.W.; Kozhuharov, C.; Kramer, A.; Ludziejewki, T.; Prinz, H.T.; Rymuza, P.; Sarkadi, L.; Stohlker, T.; et al. Measurement of the spectral distribution for the two-photon decay of the 1s2s 1S0 level in heliumlike gold. Phys. Scripta 1999, T80, 469–471. [Google Scholar] [CrossRef]
- Fritzsche, S.; Indelicato, P.; Stohlker, T. Relativistic quantum dynamics in strong fields: Photon emission from heavy, few-electron ions. J. Phys. B At. Mol. Opt. Phys. 2005, 38, S707–S726. [Google Scholar] [CrossRef][Green Version]
- Soderstorm, P.A.; Capponi, L.; Aciksoz, E.; Otsuka, T.; Tsoneva, N.; Tsunoda, Y.; Balabanski, D.L.; Pietralla, N.; Guardo, G.L.; Lattuada, D.; et al. Electromagnetic character of the competitive γγ/γ-decay from 137mBa. Nat. Commun. 2020, 11, 3242. [Google Scholar] [CrossRef]
- Freire-Fernández, D.; Korten, W.; Chen, R.J.; Litvinov, S.; Litvinov, Y.A.; Sanjari, M.S.; Weick, H.; Akinci, F.C.; Albers, H.M.; Armstrong, M.; et al. Measurement of the Isolated Nuclear Two-Photon Decay in 72Ge. Phys. Rev. Lett. 2024, 133, 022502. [Google Scholar] [CrossRef]
- Stevenson, R.M.; Young, R.J.; Atkinson, P.; Cooper, K.; Ritchie, D.A.; Shields, A.J. A semiconductor source of triggered entangled photon pairs. Nature 2006, 439, 179. [Google Scholar] [CrossRef] [PubMed]
- Chluba, J.; Sunyaev, R. Two-photon transitions in hydrogen and cosmological recombination. Astron. Astrophys. 2008, 480, 629. [Google Scholar] [CrossRef]
- Träbert, E. E1-forbidden transition rates in ions of astrophysical interest. Phys. Scr. 2014, 89, 114003. [Google Scholar] [CrossRef]
- Klarsfeld, S. Radiative decay of metastable hydrogenic atoms. Phys. Lett. A 1969, 30, 382. [Google Scholar] [CrossRef]
- Klarsfeld, S. Retardation effects in second-order radiative transitions between hydrogenic states. Lett. AI Nuovo C. 1969, 1, 682–686. [Google Scholar] [CrossRef]
- Fronsdal, C. Compton Scattering from bound electrons. Lett. AI Nuovo C. 1969, 179, 1513–1517. [Google Scholar] [CrossRef]
- Tung, J.H.; Ye, X.M.; Salamo, G.J.; Chan, F.T. Two-photon decay of hydrogenic atoms. Phys. Rev. A 1984, 30, 1175. [Google Scholar] [CrossRef]
- Florescu, V. Two-photon emission in the 3s→1s and 3d→ls transitions of hydrogenlike atoms. Phys. Rev. A 1984, 30, 2441–2448. [Google Scholar] [CrossRef]
- Cresser, J.D.; Tang, A.Z.; Salamo, G.J.; Chan, F.T. Lifetimes of excited atomic states. Phys. Rev. A 1986, 33, 1677. [Google Scholar] [CrossRef]
- Florescu, V.; Patrascu, S.; Stoican, O. Systematic study of 1s-ns and 1s-nd two-photon transitions of hydrogenlike atoms. Phys. Rev. A 1987, 36, 2155. [Google Scholar] [CrossRef]
- Florescu, V.; Schneider, I.; Mihailescu, I.N. Comment on ‘Lifetime of excited atomic states’. Phys. Rev. A 1988, 38, 2189–2191. [Google Scholar] [CrossRef] [PubMed]
- Johnson, W.R. Radiative decay rates of metastable one-electron atoms. Phys. Rev. Lett. 1972, 29, 1123–1126. [Google Scholar] [CrossRef]
- Goldman, S.P.; Drake, G.W.F. Relativistic two-photon decay rates of 2s1/2 hydrogen ions. Phys. Rev. A 1981, 24, 183–191. [Google Scholar] [CrossRef]
- Drake, G.W.F.; Goldman, S.P. Application of the discrete-basis set methods to the Dirac equation. Phys. Rev. A 1981, 23, 2093–2098. [Google Scholar] [CrossRef]
- Parpia, F.A.; Johnson, W.R. Radiative decay rates of metastable one-electron atoms. Phys. Rev. A 1982, 26, 1142–1145. [Google Scholar] [CrossRef]
- Savukov, I.M.; Derevianko, A.; Johnson, W.R. Large contributions of negative-energy states to forbidden magnetic-dipole transition amplitudes in alkali-metal atoms. Phys. Rev. Lett. 2002, 83, 2914. [Google Scholar] [CrossRef]
- Savukov, I.M.; Johnson, W.R. Two-photon E1M1 decay of 23P0 states in heavy heliumlike ions. Phys. Rev. A 2002, 66, 062507. [Google Scholar] [CrossRef]
- Jentschura, U.D. Non-uniform convergence of two-photon decay rates for excited atomic states. J. Phys. A Math. Theor. 2007, 40, F223–F227. [Google Scholar] [CrossRef]
- Jentschura, U.D.; Surzhykov, A. Relativistic calculation of the two-photon decay rate of highly excited ionic states. Phys. Rev. A 2008, 77, 042507. [Google Scholar] [CrossRef]
- Jentschura, U.D. Two-photon decays reexamined: Cascade contributions and gauge invariance. J. Phys. A Math. Theor. 2008, 41, 155307. [Google Scholar] [CrossRef]
- Jentschura, U.D.; Surzhykov, A. Virtual resonant states in two-photon decay processes: Lower-order terms, substractions, and physical interpretations. Phys. Rev. A 2009, 79, 022510. [Google Scholar] [CrossRef]
- Labzowsky, L.N.; Shoenin, A.V.; Solovyes, D.A. QED calculation of E1M1 and E1E2 transition probabilities in one-electron ions with arbitrary nuclear charge. J. Phys. B At. Mol. Opt. Phys. 2005, 38, 265–278. [Google Scholar] [CrossRef]
- Labzowsky, L.; Solovyes, D.; Plunien, G. Two-photon decay of excited levels in hydrogen: The ambiguity of the separation of cascades and pure two-photon emission. Phys. Rev. A 2009, 80, 062514. [Google Scholar] [CrossRef]
- Solovyev, D.; Dubrovich, V.; Volotka, A.V.; Labzowsky, L.; Plunien, G. Two-photon decays of highly excited states in hydrogen. J. Phys. B At. Mol. Opt. Phys. 2010, 43, 175001. [Google Scholar] [CrossRef][Green Version]
- Yerokhin, V.A.; Shabaev, J. Lamb shift of n=1 and n=2 states of hydrogenlike atoms, 1≤Z≤110. J. Phys. Chem. Ref. Data 2015, 44, 033103. [Google Scholar] [CrossRef]
- Amaro, P.; Filippo, F.; Laleh, S.; Jorge, M.; Mauro, G.; Indelicato, P.; Santos, J.P. Relativistic evaluation of the two-photon decay of the metastable 1s22s2p3P0 state in berylliumlike ions with an effective-potential model. Phys. Rev. A 2016, 93, 032502. [Google Scholar] [CrossRef]
- Surzhykov, A.; Santos, J.P.; Pedro, A.; Indelicato, P. Negative-continuum effects on the two-photon decay rates of hydrogenlike ions. Phys. Rev. A 2009, 80, 052511. [Google Scholar] [CrossRef][Green Version]
- Laughlin, C. Radiative decay of the 23 level of beryllium-like ions. Phys. Lett. A 1980, 75A, 199. [Google Scholar] [CrossRef]
- Bernhardt, D.; Brandau, C.; Kozhuharov, C.; Müller, A.; Schippers, S.; Bohm, S.; Bosch, F.; Jacobi, J.; Kieslich, S.; Knopp, H.; et al. Towards a measurement of of the 2s2p3P0→2s21S0E1M1 two photon transition rate in Be-like xenon ions. J. Phys. Conf. Ser. 2012, 388, 012007. [Google Scholar] [CrossRef]
- Vanne, V.Y.; Saenz, A. Solutions of the time-dependent Dirac equation for multiphoton ionization of highly charged hydrogenlike ions. Phys. Rev. A 2012, 85, 033411. [Google Scholar] [CrossRef]
- Avetissian, H.K.; Avchyan, B.R.; Mkrtchian, G.F. Generation of harmonics via multiphoton resnant excitation of hydrogenlike ions in an X-ray free-electron-laser field. Phys. Rev. A 2014, 90, 053812. [Google Scholar] [CrossRef]
- Ivanova, I.V.; Shabae, V.M.; Telnov, D.A.; Saenez, A. Scaling relations of the time-dependent Dirac equation describing multiphoton ionization of hydrogenlike ions. Phys. Rev. A 2018, 98, 063402. [Google Scholar] [CrossRef]
- Telnov, D.A.; Chu, S.I. Relativistic ionization dynamics of hydrogenlike ions in strong electromagnetic fields: Generalized pseudospectral method for the time-dependent Dirac equation. Phys. Rev. A 2020, 102, 063109. [Google Scholar] [CrossRef]
- Salamin, Y.I.; Hu, S.X.; Hatsagortysan, K.Z.; Keitel, C.H. Relativistic high-power laser-matter interactions. Phys. Rep. 2006, 427, 41–155. [Google Scholar] [CrossRef]
- Ivanov, I.A. Relativistic calculation of the electron-momentum shift in tunneling ionization. Phys. Rev. A 2015, 91, 043410. [Google Scholar] [CrossRef]
- Kjellson, T.; Selsto, S.; Lindroth, E. Relativistic ionization dynamics for a hydrogen atom exposed to superintense XUV laser pulses. Phys. Rev. A 2017, 95, 043403. [Google Scholar] [CrossRef]
- Telnov, D.A.; Krapivin, D.A.; Heslar, J.; Chu, S.I. Multiphoton ionization of one-electron relativistic diatomic quasimolecules in strong laser fields. J. Phys. Chem. A 2018, 122, 8026. [Google Scholar] [CrossRef] [PubMed]
- Grant, I.P. Relativistic Quantum Theory of Atoms and Molecules, 2nd ed.; Springer: New York, NY, USA, 2007. [Google Scholar]
- Zettili, N. Quantum Mechanics Concepts and Applications; John Wiley and Sons: Hoboken, NJ, USA, 2009. [Google Scholar]
- Bethe, H.A.; Salpeter, E.E. Quantum Mechanics of One- and Two-Electron Atoms, 1st ed.; Springer: Berlin/Heidelberg, Germany, 1957. [Google Scholar]






| Ion | Rate | SOS (Present) | Labzowsky et al. [37] | Surzhykov et al. [42] |
|---|---|---|---|---|
Disclaimer/Publisher’s Note: The statements, opinions and data contained in all publications are solely those of the individual author(s) and contributor(s) and not of MDPI and/or the editor(s). MDPI and/or the editor(s) disclaim responsibility for any injury to people or property resulting from any ideas, methods, instructions or products referred to in the content. |
© 2025 by the authors. Licensee MDPI, Basel, Switzerland. This article is an open access article distributed under the terms and conditions of the Creative Commons Attribution (CC BY) license (https://creativecommons.org/licenses/by/4.0/).
Share and Cite
Constantin, G.-T.; Iorga, C. The Validity of Long Wavelength Approximation in the Evaluation of Two-Photon Decay Rate. Atoms 2025, 13, 97. https://doi.org/10.3390/atoms13120097
Constantin G-T, Iorga C. The Validity of Long Wavelength Approximation in the Evaluation of Two-Photon Decay Rate. Atoms. 2025; 13(12):97. https://doi.org/10.3390/atoms13120097
Chicago/Turabian StyleConstantin, George-Tony, and Cristian Iorga. 2025. "The Validity of Long Wavelength Approximation in the Evaluation of Two-Photon Decay Rate" Atoms 13, no. 12: 97. https://doi.org/10.3390/atoms13120097
APA StyleConstantin, G.-T., & Iorga, C. (2025). The Validity of Long Wavelength Approximation in the Evaluation of Two-Photon Decay Rate. Atoms, 13(12), 97. https://doi.org/10.3390/atoms13120097

