Journal Description
Crops
Crops
is an international, peer-reviewed, open access journal on the science and technology of crops published bimonthly online by MDPI.
- Open Access— free for readers, with article processing charges (APC) paid by authors or their institutions.
- High Visibility: indexed within ESCI (Web of Science), Scopus, and other databases.
- Journal Rank: JCR - Q2 (Agronomy) / CiteScore - Q2 (Agronomy and Crop Science)
- Rapid Publication: manuscripts are peer-reviewed and a first decision is provided to authors approximately 22.4 days after submission; acceptance to publication is undertaken in 4.2 days (median values for papers published in this journal in the second half of 2025).
- Recognition of Reviewers: APC discount vouchers, optional signed peer review, and reviewer names published annually in the journal.
- Crops is a companion journal of Agriculture and Agronomy.
- Journal Cluster of Agricultural Science: Agriculture, Agronomy, Horticulturae, Soil Systems, AgriEngineering, Crops, Seeds, Grasses, Agrochemicals and AI and Precision Agriculture.
Impact Factor:
1.9 (2024);
5-Year Impact Factor:
1.9 (2024)
Latest Articles
Protective Row Covers for Management of Flea Beetles in Organic Eggplant Production in the Southeastern US
Crops 2026, 6(2), 42; https://doi.org/10.3390/crops6020042 - 2 Apr 2026
Abstract
Organic eggplant production in the United States is challenged by flea beetles, which stunt eggplant growth and reduce yield. Across four experiments between 2019 and 2024, we compared the effects of various pest management strategies on flea beetle abundance, damage, and marketable yield
[...] Read more.
Organic eggplant production in the United States is challenged by flea beetles, which stunt eggplant growth and reduce yield. Across four experiments between 2019 and 2024, we compared the effects of various pest management strategies on flea beetle abundance, damage, and marketable yield in eggplant production, focusing on row covers and organic insecticides in later years of the study. Treatments included fine-mesh row covers, organic insecticides, and untreated controls (all years); reflective plastic mulch (2019); various essential oils (2019–2020); conventional insecticide control (2019–2020); and spunbonded row covers (2019–2021). Low flea beetle pressure was observed in 2019 and 2020; consequently, experiments were moved to fields under organic management with more frequent cultivation of solanaceous crops in 2021 and 2024. Samples taken near row cover removal at flowering revealed significantly more flea beetles in the control than fine-mesh row cover treatments in 2019, 2020, and 2021. However, there were never significant differences in flea beetle abundance in samples collected at transplanting or at harvesting. Flea beetle feeding damage at flowering was significantly lower in all row cover treatments than the untreated control in 2019, 2021, and 2024 and the organic insecticide treatment in 2019 and 2021; data was not collected in 2020. There was no difference between treatments in marketable yield in 2019 and 2020; however, the marketable yields of fine-mesh row cover treatments maintained over the entire growing season were 82% and 471% higher than the organic insecticide treatments in 2021 and 2024, respectively. These results indicate that fine-mesh row covers may be a viable pest management strategy in organic eggplant production.
Full article
(This article belongs to the Special Issue Preharvest and Postharvest Biology and Preservation Technologies for Horticultural Produce)
►
Show Figures
Open AccessArticle
Biofertilization with AFERT as an Alternative to Mineral Fertilization in Sesame (Sesamum indicum L.) Cultivation
by
Jorge González Aguilera, Matheus Basto Angeli Silva, Beatriz Pisa De Andrade, Alexander Vasco Mariano Muguerrima, Fábio Steiner, Eder Pereira Neves, Alan Mario Zuffo, Tatiane Scilewski da Costa Zanatta, Carlos Genaro Morales Aranibar, Cesar Augusto Masgo Soto, María Paulina Aliaga Martínez and Luis Morales-Aranibar
Crops 2026, 6(2), 41; https://doi.org/10.3390/crops6020041 - 1 Apr 2026
Abstract
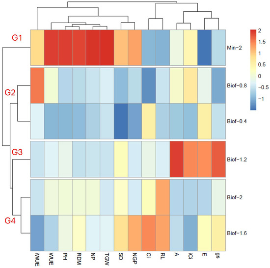
Sesame cultivation has expanded in Brazil, but ensuring plant establishment and productivity through fertilization remains a fundamental challenge. In this context, the present work aims to evaluate the effects of different doses of the biofertilizer AFERT on the growth and development of sesame
[...] Read more.
Sesame cultivation has expanded in Brazil, but ensuring plant establishment and productivity through fertilization remains a fundamental challenge. In this context, the present work aims to evaluate the effects of different doses of the biofertilizer AFERT on the growth and development of sesame plants under greenhouse conditions. The experiment was conducted in a randomized block design with six treatments and four replications. Five doses were used (2, 1.6, 1.2, 0.8, and 0.4 t ha−1 of AFERT), corresponding to different percentages of fertilization with the biofertilizer AFERT (04-14-12+hydroretainer), and, as a control, the mineral fertilizer NPK (04-14-08) was used at doses of 2 t ha−1 and 50 kg ha−1 of KCl. The variables evaluated were the internal CO2 concentration, transpiration rate, stomatal conductance, net CO2 assimilation rate, intrinsic water use efficiency, water use efficiency, instantaneous carboxylation efficiency, number of pods, plant height, stem diameter, root length, root dry mass, number of grains per plant, and total grain weight. The biofertilizer AFERT demonstrated agronomic potential for sesame cultivation, with a productive performance equivalent [number of grains per plant (84%) and total grain weight (70%)] to that of mineral fertilization regardless of the dose used. Notably, the dose corresponding to 1.2 t ha−1 promoted greater physiological efficiency, with a 36% increase in CO2 assimilation and photosynthetic activity, without improving production components.
Full article
(This article belongs to the Special Issue Soil Fertility Management in Crop Production)
►▼
Show Figures

Figure 1
Open AccessArticle
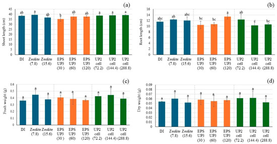
Functional Differentiation of Indigenous Nostocalean Cyanobacteria: Effects of Biomass and Extracellular Polymeric Substances on Rice Growth and Soil Properties
by
Neti Ngearnpat, Supattra Tiche, Narong Wongkantrakorn, Kritsana Duangjan, Kittiya Phinyo and Kritchaya Issakul
Crops 2026, 6(2), 40; https://doi.org/10.3390/crops6020040 - 1 Apr 2026
Abstract
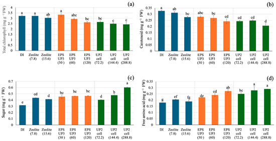
The excessive use of chemical fertilizers in rice cultivation has contributed to soil degradation, creating a need for sustainable biological alternatives. This study examined the functional diversity of three indigenous nostocalean cyanobacterial strains (UP1, UP2, and UP3) isolated from forest and paddy field
[...] Read more.
The excessive use of chemical fertilizers in rice cultivation has contributed to soil degradation, creating a need for sustainable biological alternatives. This study examined the functional diversity of three indigenous nostocalean cyanobacterial strains (UP1, UP2, and UP3) isolated from forest and paddy field ecosystems by comparing the effects of their cellular biomass and extracellular polymeric substances (EPS) on rice seedling growth and soil properties. Morphological observations and partial 16S rRNA sequence analysis indicated that strains UP1 and UP2 were affiliated with the genus Ahomia, whereas UP3 was placed within the genus Nostoc. Together, these results placed all three isolates within the heterocystous cyanobacterial order Nostocales. The strains were further characterized based on EPS production and its degree of polymerization. Seed germination and seedling vigor assays were conducted to select the most effective biomass and EPS treatments, which were subsequently evaluated in 21-day pot experiments. Fresh biomass from strain UP2 most effectively enhanced rice growth, whereas EPS from strain UP3 promoted root development. EPS application from strain UP3 significantly increased root elongation to 13.44 cm, while high biomass levels of UP2 increased total sugar and free amino acid contents, indicating distinct plant response patterns. Soil analyses revealed differential responses between biomass- and EPS-based applications, with biomass generally producing stronger effects. Biomass from all strains was associated with higher physical soil function index (PSFI) values (up to 1.35). In contrast, improvements in chemical soil function index (CSFI) were observed across treatments, with variable responses and relatively higher values recorded in biomass from strain UP3 (up to 1.24). These findings suggest strain- and form-dependent response patterns of nostocalean cyanobacteria with potential for enhancing rice growth and improving soil functionality under the controlled conditions.
Full article
(This article belongs to the Special Issue Soil Fertility Management in Crop Production)
►▼
Show Figures

Figure 1
Open AccessArticle
Repellent and Lethal Effects of Different Wavelengths of Light-Emitting Diodes (LEDs) Against Tetranychus urticae
by
Fatih Dağlı, Nurdan Topakcı, Nuri Çağlayan and Davut Karayel
Crops 2026, 6(2), 39; https://doi.org/10.3390/crops6020039 - 1 Apr 2026
Abstract
►▼
Show Figures
The two-spotted spider mite, Tetranychus urticae Koch, is a major agricultural pest that causes economic losses in the cultivation of most crops worldwide. Pesticide resistance and the phase-out of many active pesticidal substances have accelerated research into alternative methods for pest management. The
[...] Read more.
The two-spotted spider mite, Tetranychus urticae Koch, is a major agricultural pest that causes economic losses in the cultivation of most crops worldwide. Pesticide resistance and the phase-out of many active pesticidal substances have accelerated research into alternative methods for pest management. The effects of light-emitting diodes (LEDs) on plants, as well as their potential use in pest management, have attracted the attention of researchers for the last 25 years. In this study, the repellent effects of UV-A, blue, and red LEDs on T. urticae were investigated using choice tests in laboratory conditions. The lethal effect of red LED light on adult individuals was determined by a no-choice test. Importantly, red LED caused 67.0 ± 4.5% (mean ± SE) mortality in adults in the no-choice test. Second, the UV-A LED clearly had a strong repellent effect on T. urticae in the choice tests. In the “UV-A vs. white LED” and “UV-A vs. darkness” choice tests, the egg-laying percentage in the UV-A part remained below 0.55%. Furthermore, UV-A also had a significant repellent effect on T. urticae larvae. In the choice tests, the larval ratio in the UV-A part was less than 5%. The results of laboratory experiments indicated that red and UV-A LEDs have significant lethal and repellent effects on T. urticae. Comprehensive investigations should be performed in greenhouses using different strategies to optimize how these potential effects can be used in pest management.
Full article

Figure 1
Open AccessArticle
Bacillus aryabhattai Improves Agronomic Performance and Water Use Efficiency of Common Bean Under Deficit Irrigation Levels
by
Ana L. P. Oliveira, João P. Santos, Gustavo F. Silva and Fernando F. Putti
Crops 2026, 6(2), 38; https://doi.org/10.3390/crops6020038 - 30 Mar 2026
Abstract
The common bean (Phaseolus vulgaris L.) is of great food and economic importance in Brazil, but its productivity is highly affected by water deficit due to its superficial root system and short cycle. With the increase in prolonged droughts, irrigation has become
[...] Read more.
The common bean (Phaseolus vulgaris L.) is of great food and economic importance in Brazil, but its productivity is highly affected by water deficit due to its superficial root system and short cycle. With the increase in prolonged droughts, irrigation has become a solution, albeit a costly one, for small farmers. In this scenario, bioinputs, such as Bacillus aryabhattai, represent a sustainable and low-cost strategy to improve crop performance under reduced irrigation conditions. The objective of this study was to evaluate the potential of B. aryabhattai to improve the agronomic performance of the common bean under reduced irrigation levels. A greenhouse experiment was conducted in randomized blocks with a 2 × 4 factorial design (presence/absence of B. aryabhattai and four irrigation levels: 40, 60, 80, and 100% of the ETc). Agronomic and productive variables were evaluated. The results showed better performance at 80 and 100% ETc, achieving 16 and 20 g per plant−1. Inoculation increased water use efficiency by 13% and contributed to higher grain yield. It was concluded that rational irrigation management combined with the use of B. aryabhattai improves agronomic performance and water use efficiency under reduced irrigation levels.
Full article
(This article belongs to the Topic New Insights into Plant Biotic and Abiotic Stress)
►▼
Show Figures

Figure 1
Open AccessArticle
Phytochemical Profile and Evaluation of the Insecticidal Potential of Bessera elegans Root Extracts Against Melanaphis sorghi
by
Anette Guadalupe Leyva-Bello, Miguel Angel Mendoza-Catalán, Ana Elvira Zacapala-Gómez, Erubiel Toledo-Hernández, Luz Janet Tagle-Emigdio, Rodolfo Figueroa-Brito, Alejandro Zamilpa, Manases González-Cortazar, Marco Antonio Leyva-Vázquez and César Sotelo-Leyva
Crops 2026, 6(2), 37; https://doi.org/10.3390/crops6020037 - 27 Mar 2026
Abstract
►▼
Show Figures
Sorghum (Sorghum bicolor L. Moench) is one of the most important cereal crops in Mexico due to its extensive cultivation and use in human nutrition, livestock production, and the biofuel industry. However, its productivity is severely affected by the sorghum aphid, Melanaphis
[...] Read more.
Sorghum (Sorghum bicolor L. Moench) is one of the most important cereal crops in Mexico due to its extensive cultivation and use in human nutrition, livestock production, and the biofuel industry. However, its productivity is severely affected by the sorghum aphid, Melanaphis sorghi Theobald, 1904 (Hemiptera: Aphididae), a major pest of this crop. Its control relies primarily on synthetic chemical insecticides, whose intensive use has led to environmental impacts and health risks, prompting the search for more sustainable alternatives. In this study, the insecticidal activity of root extracts from Bessera elegans was evaluated against apterous adults of M. sorghi using artificial diet bioassays at different concentrations and exposure times. Chemical characterization of the extracts and the active fraction was carried out using high-performance liquid chromatography (HPLC) and gas chromatography coupled to mass spectrometry (GC–MS). The methanolic extract exhibited the lowest LC50 value (2562 ppm), indicating the highest insecticidal potency, while the acetone extract achieved the highest maximum mortality (98%) at the highest tested concentration. Fractionation of the methanolic extract allowed the identification of fraction BeF1 as the most active, with 94% mortality at 1000 ppm. Chemical characterization indicated a predominance of polyphenolic secondary metabolites, mainly flavonoids and lignans. These results highlight the potential of B. elegans as a natural alternative for the integrated management of the sorghum aphid.
Full article

Graphical abstract
Open AccessArticle
Exploring Molecular Markers Associated with Crumbly in Rubus idaeus L.
by
Melissa Y. Oliveira, Teresa Valdiviesso, Francisco Rosado Luz, Amílcar Duarte, Pedro Brás de Oliveira and Ana Rita Varela
Crops 2026, 6(2), 36; https://doi.org/10.3390/crops6020036 - 23 Mar 2026
Abstract
The raspberry (Rubus idaeus L.), an economically important crop, is affected by the crumbly fruit disorder, a malformation that leads to fruit disintegration at harvest due to poor drupelet cohesion. Despite previous efforts to identify genetic determinants of this phenotype, its complex
[...] Read more.
The raspberry (Rubus idaeus L.), an economically important crop, is affected by the crumbly fruit disorder, a malformation that leads to fruit disintegration at harvest due to poor drupelet cohesion. Despite previous efforts to identify genetic determinants of this phenotype, its complex inheritance and strong environmental component have limited the development of robust predictive markers. This study assessed the behavior and transferability of previously reported SSR and SNP markers associated with crumbly fruit across plants from a diverse panel of 34 R. idaeus cultivars, including in adjacent genomic regions not screened previously. Phenotyping was based on multi-season fruit performance and drupelet cohesion, and genetic variation was analysed using PCR-based genotyping within a multilocus approach. Consistent clustering patterns were observed across multiple SSR and SNP loci, suggesting a reproducible association between these genomic regions and the crumbly phenotype. Overall, the results support a multilocus genetic architecture underlying crumbly fruit, but also demonstrate that previously reported markers are not universally transferable across genetic backgrounds. These findings highlight the importance of integrated, population-aware marker validation to enable more reliable implementation of marker-assisted strategies in raspberry breeding programs.
Full article
(This article belongs to the Topic Vegetable Breeding, Genetics and Genomics, 2nd Volume)
►▼
Show Figures

Figure 1
Open AccessArticle
Crystal Formation in Solanum lycopersicum L. Leaves Under Antibiotic Stress Reduced by Non-Thermal Plasma Treated Water
by
Marius Cicirma, Aurora Daniela Neagoe, Mirela Nedelescu, Adrian Ionascu, Marius Dumitru, George Dinca and Sergiu Emil Georgescu
Crops 2026, 6(2), 35; https://doi.org/10.3390/crops6020035 - 20 Mar 2026
Abstract
►▼
Show Figures
Calcium oxalate (CaOx) crystals in plants can form naturally within their idioblasts but may also be induced by other factors, such as environmental pollution. Here, we report qualitative and semiquantitative results obtained using scanning electron microscopy (SEM) and energy-dispersive X-ray (EDX) from two
[...] Read more.
Calcium oxalate (CaOx) crystals in plants can form naturally within their idioblasts but may also be induced by other factors, such as environmental pollution. Here, we report qualitative and semiquantitative results obtained using scanning electron microscopy (SEM) and energy-dispersive X-ray (EDX) from two experiments in which tomato seedlings were moderately irrigated with Sulfamethoxazole (SMX) and Amoxicillin (AMX) solutions (0.25 mM). Abundant prismatic CaOx co-crystals appeared on the leaf surface induced by these two antibiotics compared to the distilled water (DW) control. Applying a non-thermal plasma (NTP) treatment for 20 min (T20) to the SMX initial solution led to a dramatic suppression of these crystals, with a shift toward spherical structures. Furthermore, the investigation into the composition of both crystal types, indicated different percentual levels of O, C, Ca, K, Mg, S, and Mn as main constituent minerals involved in crystal formation. However, crystal morphology was affected by each applied experimental condition, while detecting their constituent elements depended on their mineral homogeneity at the micro- or macro-field scales. Although both antibiotics induced crystal formation and T20 phenotypically reduced the abundance of the acicular–prismatic crystals by removing the effects of SMX, their mode of action has not yet been clarified.
Full article

Figure 1
Open AccessReview
A Global Bibliometric Analysis of Legume–Non-Legume Intercropping Research (1986–2025)
by
Carmelo Mosca, Noemi Tortorici, Simona Aprile, Antonio Giovino, Teresa Tuttolomondo and Nicolò Iacuzzi
Crops 2026, 6(2), 34; https://doi.org/10.3390/crops6020034 - 17 Mar 2026
Abstract
Over the past few decades, legume-based intercropping has emerged as a strategic agronomic practice to enhance the sustainability and resilience of agro-ecosystems, thanks to its ability to perform biological nitrogen fixation and store soil organic carbon. The present study, given the growing recognition
[...] Read more.
Over the past few decades, legume-based intercropping has emerged as a strategic agronomic practice to enhance the sustainability and resilience of agro-ecosystems, thanks to its ability to perform biological nitrogen fixation and store soil organic carbon. The present study, given the growing recognition of agroecological practices, aims to analyze through a global bibliometric analysis the research conducted between 1986 and 2025 on legume–non-legume intercropping, with particular emphasis on its ecological and agronomic benefits. The investigation, carried out according to the PRISMA protocol on the Scopus database, selected 167 original English-language articles, excluding reviews, conference proceedings, modeling studies, and meta-analyses. China and India are identified as the most productive countries. Co-occurrence and bibliographic coupling analyses highlight thematic clusters centered on soil fertility, microbial communities, productivity, and the mitigation of environmental impact. Furthermore, management practices such as integrated rotations, cover crops, and agroforestry systems amplify the benefits in terms of carbon accumulation and resilience to adverse climate conditions. The distribution of publications by journal highlights the centrality of journals such as Agriculture, Ecosystems & Environment and Plant and Soil. Overall, the data confirm the crucial role of intercropping as a pillar of the agroecological transition, underscoring the need for policies and research programs capable of amplifying its global adoption. The findings of this study may guide future interdisciplinary research and evidence-based policy decisions aimed at optimizing the design of resilient intercropping systems, tailored to address the challenges posed by climate change and the growing demands of global food security.
Full article
(This article belongs to the Special Issue Diversified Cropping Systems: Current Research and Future Perspectives)
►▼
Show Figures

Figure 1
Open AccessArticle
Sustainable Management of Vineyards with Intercropping Systems of Cereals with Pea Under Mediterranean Conditions
by
Paschalis Papakaloudis, Andreas Michalitsis, Efstratios Deligiannis and Christos Dordas
Crops 2026, 6(2), 33; https://doi.org/10.3390/crops6020033 - 16 Mar 2026
Abstract
Viticulture is a notable economic activity in the Mediterranean basin, and the inter-row area is managed through tillage, which has several disadvantages and can lead to soil erosion. Also, there has been an increased trend in utilizing cover crops in vineyards, as they
[...] Read more.
Viticulture is a notable economic activity in the Mediterranean basin, and the inter-row area is managed through tillage, which has several disadvantages and can lead to soil erosion. Also, there has been an increased trend in utilizing cover crops in vineyards, as they provide several ecosystem services. The objective of our experiment was to study the growth and yield of monocrops of triticale, barley and pea, and their intercrops when they were grown in a Mediterranean vineyard. The results show that pea–triticale and pea–barley intercropping systems exhibited higher or earlier peaks in leaf area index (up to 180%) than monocultures, indicating complementary canopy structures that improved light interception. Intercrops consistently produced higher biomass, with triticale–pea yielding up to 11.63 t ha−1, though grain yield was more variable and sensitive to environmental stresses during reproductive stages. The indices that were determined showed the significant advantage of the intercrops compared to the monocrops. Also, intercrops showed higher environmental resource use efficiency, as measured with Radiation Use Efficiency (RUE) and Water Use Efficiency (WUE), compared to the monocrops. The present study demonstrates that cereal–legume intercropping in vineyards can increase biomass, grain production, and environmental resource use efficiency and can be used for sustainable intensification in Mediterranean cropping systems.
Full article
(This article belongs to the Special Issue Diversified Cropping Systems: Current Research and Future Perspectives)
►▼
Show Figures

Graphical abstract
Open AccessArticle
Adaptability and Stability Analyses for Marketable Bulb Yield of Adapted Semi-Arid Tropical Onion Hybrids
by
Lucas Silva dos Santos, Carlos Antônio Fernandes Santos, Valter Rodrigues de Oliveira, Luiz Jorge Wanderley Junior and Leonardo Silva Boiteux
Crops 2026, 6(2), 32; https://doi.org/10.3390/crops6020032 - 10 Mar 2026
Abstract
►▼
Show Figures
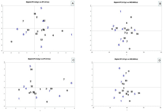
Onion (Allium cepa) is a major source of rural income in the tropical semi-arid region of Northeast Brazil. Nevertheless, local farmers still depend heavily on imported hybrid seeds. We assessed genotype-by-environment (G×E) interaction and identified broadly adapted and more phenotypically stable
[...] Read more.
Onion (Allium cepa) is a major source of rural income in the tropical semi-arid region of Northeast Brazil. Nevertheless, local farmers still depend heavily on imported hybrid seeds. We assessed genotype-by-environment (G×E) interaction and identified broadly adapted and more phenotypically stable onion hybrids originated from the Brazilian breeding program. Twelve experimental hybrids, two commercial hybrids and one open-pollinated cultivar were evaluated across eight semi-arid environments (Bahia and Pernambuco states) under a randomized complete block design with two replications. Marketable bulb yield was analyzed by combined ANOVA and by two stability approaches, Eberhart–Russell regression and AMMI biplot. In addition, marketable yield was also evaluated with a covariance adjustment using marketable stand as a covariate. Significant G×E interaction was detected, and both methods consistently highlighted two high-yielding hybrids (‘EPCEB20H037’ and ‘EHCEB21H0507’) as the ones with superior adaptation and more stable performances. These results support the use of locally developed onion hybrids to improve yield and reduce seed costs across the Brazilian semi-arid region.
Full article

Figure 1
Open AccessArticle
Comparative Analysis for Physicochemical and Pasting Characteristics of Advanced Non-Glutinous Rice Genotypes Under Irrigated Condition in Thailand
by
Tipsuda Teanthong, Panuwat Praisomrong, Yaowapha Jirakiattikul and Bhornchai Harakotr
Crops 2026, 6(2), 31; https://doi.org/10.3390/crops6020031 - 10 Mar 2026
Abstract
►▼
Show Figures
Improving grain quality alongside yield remains a primary objective in rice breeding, especially under irrigated systems in Thailand, where consumer demand for soft-textured, premium table rice continues to grow. This study evaluated physicochemical and pasting characteristics of ten advanced non-glutinous rice genotypes compared
[...] Read more.
Improving grain quality alongside yield remains a primary objective in rice breeding, especially under irrigated systems in Thailand, where consumer demand for soft-textured, premium table rice continues to grow. This study evaluated physicochemical and pasting characteristics of ten advanced non-glutinous rice genotypes compared with high- and low-amylose checks across three irrigated environments during off-season 2024. Combined ANOVA revealed highly significant genotype, environment, and genotype × environment interaction effects, with genotypes contributing up to 94.30% of total variation for key quality traits. Grain breadth and elongation rate were predominantly influenced by environmental conditions. Principal component analysis showed that PC1 and PC2 explained 72.86% of total variance, separating genotypes based on amylose-driven starch properties and paste stability. High-amylose genotypes exhibited low peak viscosity and high setback, whereas low-amylose genotypes showed greater swelling, higher breakdown, and softer pasting behavior. Selected genotypes exhibited distinct quality profiles; specifically, DS24-Inter-8 and DS24-Inter-10 combined low-to-intermediate amylose (15.09–19.73%) with high gel consistency (84.78–96.22 mm). Interestingly, DS24-Inter-4 maintained high gel consistency (97.78 mm) despite a higher amylose content (26.39%), indicating a unique soft-cooking profile for high-amylose types. In contrast, DS24-Inter-7 and DS24-Inter-9 showed typical firmer, high-amylose characteristics. These contrasting quality profiles indicate that the genotypes were suitable for different utilization purposes depending on the desired physicochemical and textural attributes. Therefore, the advanced genotypes demonstrated stable and diverse quality profiles under irrigated conditions, warranting further multi-location and multi-season evaluation.
Full article

Figure 1
Open AccessReview
Protein Hydrolyzate-Based Biostimulants in Fruit Crops: Mechanisms, Agronomic Effects, and Practical Applications
by
Ivan Dlačić, Theocharis Chatzistathis, Simone Bernobić, Marija Polić Pasković, Dean Ban, Marko Petek, Ljiljana Popović and Igor Pasković
Crops 2026, 6(2), 30; https://doi.org/10.3390/crops6020030 - 5 Mar 2026
Abstract
►▼
Show Figures
This review summarizes current scientific knowledge on the use of protein hydrolyzate-based biostimulants in fruit production through evidence mapping, cross-species comparison, and evaluation of protocol-dependent responses within an agronomic framework, centered on foliar applications and their role in sustainable production systems. Research across
[...] Read more.
This review summarizes current scientific knowledge on the use of protein hydrolyzate-based biostimulants in fruit production through evidence mapping, cross-species comparison, and evaluation of protocol-dependent responses within an agronomic framework, centered on foliar applications and their role in sustainable production systems. Research across a broad range of fruit species reports that protein hydrolyzates can significantly enhance yield, improve fruit quality, and mitigate the adverse effects of abiotic stresses such as drought and high temperatures. Treated plants often exhibit improved nutrient uptake, increased photosynthetic efficiency, and enhanced morphological traits, including better root development and vegetative growth. However, the effectiveness of these biostimulants varies depending on the fruit species, developmental stage, and application frequency, indicating the need for more tailored and crop-specific protocols. In conclusion, the literature confirms the functional role of protein hydrolyzates in enhancing resilience and productivity in fruit crops, while highlighting the need for further research to optimize their use under diverse agroecological conditions. Protocol harmonization and robust field validation will be essential for improving the reliability, interpretability, and practical relevance of future research on protein hydrolyzates in fruit production.
Full article

Figure 1
Open AccessArticle
Ultrafine Bubble Irrigation Enhances Early Growth and Antioxidant Activity of Rice Seedlings Under Nutrient-Free Conditions
by
Harshana Galahitigama, Yosuke Sawada, Kenji Kamura and Takeshi Fujino
Crops 2026, 6(2), 29; https://doi.org/10.3390/crops6020029 - 4 Mar 2026
Abstract
►▼
Show Figures
Ultrafine bubble (UFB)-enriched water promotes plant growth when nutrients are present. A key question is whether it can still encourage growth in the absence of nutrients. Therefore, this study examines how different UFB concentrations affect the early growth and development of rice seedlings
[...] Read more.
Ultrafine bubble (UFB)-enriched water promotes plant growth when nutrients are present. A key question is whether it can still encourage growth in the absence of nutrients. Therefore, this study examines how different UFB concentrations affect the early growth and development of rice seedlings under nutrient-free conditions where external nutritional application was excluded. The results showed that the examined morphological and physicochemical parameters were directly affected by the bubble concentration in the irrigation water. Higher bubble concentrations resulted in a significant increase in the fresh and dry weights of roots, primary and secondary root lengths, and specific root length. Similarly, higher bubble concentrations were also associated with greater shoot height, fresh weight, and dry weight. However, pigment concentrations were not clearly affected, except for anthocyanin. Hydrogen peroxide concentration increased proportionally with bubble concentration. Among the antioxidant enzymes assessed, peroxidase activity increased significantly with bubble concentration, whereas the other antioxidant enzymes showed no significant variation. Moreover, UFB irrigation significantly affected carbon metabolism, increasing soluble sugar content while reducing storage starch levels. In conclusion, the findings suggest that UFB-enriched irrigation can promote plant growth under nutrient-free external conditions by modulating stress-related molecules, activating antioxidant enzymes, and altering carbon metabolism.
Full article

Figure 1
Open AccessArticle
Effects of Different Heading Dates on Agronomic and Yield-Related Traits Under Salt Stress in Rice
by
Sadia Afrin, Sayuri Ito, M M Emam Ahmed, Shuto Ogino, Asami Tomita and Yoshihiko Hirai
Crops 2026, 6(2), 28; https://doi.org/10.3390/crops6020028 - 2 Mar 2026
Abstract
►▼
Show Figures
Salinity is a major abiotic stress limiting rice production worldwide. This study aims to elucidate the effects of heading date on salt tolerance in rice. Five near-isogenic lines (NILs) developed from the SL2038/Koshihikari backcross population were grown with or without salt stress. SL2038
[...] Read more.
Salinity is a major abiotic stress limiting rice production worldwide. This study aims to elucidate the effects of heading date on salt tolerance in rice. Five near-isogenic lines (NILs) developed from the SL2038/Koshihikari backcross population were grown with or without salt stress. SL2038 is a salt-tolerant line with delayed heading (~18 days) compared to the salt-sensitive background Koshihikari. The results showed that late-heading NILs produced significantly higher plant dry weight, panicle weight, percentage of filled grains, and grain weight (p < 0.05) under long-term salt stress. In Koshihikari, which exhibited delayed heading due to long-day treatment, the percentage of white heads was low, and panicle and grain weights were significantly higher under salt stress. Experiments with different sowing times indicated that late heading, such as sowing in June, resulted in higher grain weights. This is the first report to assess the impact of heading date on agronomic and yield-related traits under salt stress. In conclusion, even with a prolonged salt treatment period, heading during periods of low temperature and solar radiation results in higher grain weight under salt stress. This is proposed as one of the strategies for salt escape. These findings can be used to improve rice yield and implement crop management in salt-affected regions.
Full article

Figure 1
Open AccessArticle
Agronomic Responses of Wheat and Oat Cultivars Under Dual-Purpose and Grain Production Management Strategies
by
Liliane Severino da Silva, Alexander Coleman, Carlos C. V. García and Sarala Giri
Crops 2026, 6(2), 27; https://doi.org/10.3390/crops6020027 - 2 Mar 2026
Abstract
►▼
Show Figures
Dual-purpose (DP) crops diversify farm income, facilitating livestock and grain production. Dual-purpose wheat (Triticum aestivum L.), i.e., grazing or clipping herbage early in the season followed by grain harvest, is commonly used in the Great Plains of the United States of America
[...] Read more.
Dual-purpose (DP) crops diversify farm income, facilitating livestock and grain production. Dual-purpose wheat (Triticum aestivum L.), i.e., grazing or clipping herbage early in the season followed by grain harvest, is commonly used in the Great Plains of the United States of America (USA), but the use of DP crops, including oat (Avena sativa L.), in the southeastern USA is limited. This 2-year study assessed agronomic and nutritive value responses and grain production of one wheat (AGS 4023) and four oat (Brooks, Horizon 214, Horizon 306, and Horizon 578) cultivars under two management strategies (dual-purpose [DP, clipping for forage and subsequent grain harvest] or grain production [GP]. Treatments were arranged in a randomized complete block design with three replications. Seasonal forage accumulation ranged from 4140 to 5460 kg ha−1 yr−1 among cultivars. Greater concentration of NDF (p < 0.001) was observed in year 2 than in year 1 (46.3% vs. 40.9%, respectively), but cultivars did not differ. Crude protein concentration ranged from 18.6% to 21% among cultivars. Grain yield was greater for H578 than all other cultivars (7400 versus an average of 5100 kg DM ha−1). Grain yield reduction for DP ranged from 27 to 45% compared with GP. These results demonstrate the potential of selected cultivars (e.g., H578) for use as DP crops in the region. Recognizing some reduction in grain yield compared with GP, DP cropping increases flexibility for producers, facilitating the use of integrated crop-livestock systems that diversify income streams and enhance the circularity of agroecosystems.
Full article

Figure 1
Open AccessArticle
Performance of Five Cool-Season Turfgrass Cultivars for Fall Overseeding of Bermudagrass in Mediterranean Climate
by
Óscar Alcántara, Antonio Lidón and Diego Gómez de Barreda
Crops 2026, 6(2), 26; https://doi.org/10.3390/crops6020026 - 26 Feb 2026
Abstract
►▼
Show Figures
Autumn overseeding with cool-season turfgrass species is a widely adopted practice under Mediterranean climatic conditions to mitigate winter dormancy and loss of green color in bermudagrass (Cynodon dactylon). This study evaluated, over two consecutive winter seasons (2022–2023 and 2023–2024), the performance
[...] Read more.
Autumn overseeding with cool-season turfgrass species is a widely adopted practice under Mediterranean climatic conditions to mitigate winter dormancy and loss of green color in bermudagrass (Cynodon dactylon). This study evaluated, over two consecutive winter seasons (2022–2023 and 2023–2024), the performance of five cool-season turfgrass cultivars used for autumn overseeding on bermudagrass (‘Arden 15’) in Valencia, eastern Spain. The cultivars included Lolium multiflorum ‘Upstart’, Lolium perenne ‘CT7’ and ‘Sirtaky’, Poa pratensis ‘Liberator’, and Poa trivialis ‘Dasas’. Turf performance was assessed weekly from December to April using visual green color ratings, normalized difference vegetation index (NDVI) measured with two hand-held sensors (GreenSeeker and CropCircle), and normalized difference red edge index (NDRE). The area under the progress curve (AUPC) was calculated as an integrative indicator of turf performance over time. Winter temperature differences significantly influenced bermudagrass dormancy duration and overseeding response. Among the evaluated cultivars, ‘CT7’ consistently showed the highest winter greenness and vigor but exhibited a darker green color than bermudagrass, potentially reducing visual uniformity. The L. perenne ‘Sirtaky’ and P. pratensis ‘Liberator’ cultivars provided a closer chromatic match, although ‘Liberator’ established more slowly. The NDVI and NDRE measurements supported the visual assessments, though correlations between sensors varied among cultivars and seasons, with the GreenSeeker sensor detecting larger cultivar differences than the CropCircle sensor, particularly during colder winters. In addition, the AUPC proved to be an effective integrative metric for comparing cultivar performance over a defined period. Overall, overseeding effectively reduced winter discoloration of bermudagrass, with ‘Sirtaky’ emerging as the most balanced option for Mediterranean sports overseeding management on C. dactylon (‘Arden 15’).
Full article

Figure 1
Open AccessReview
Microbiome-Induced Effects on Root Architecture in Rice Crops: Mechanisms, Drivers, and Functional Consequences
by
Misagh Parhizkar, Manuel Esteban Lucas-Borja and Demetrio Antonio Zema
Crops 2026, 6(2), 25; https://doi.org/10.3390/crops6020025 - 25 Feb 2026
Abstract
Bacteria play an important role in addressing challenges in rice production by promoting plant growth and enhancing stress tolerance through multiple mechanisms. Different types of soil bacteria affect rice growth by improving nutrient absorption, managing stress, and enhancing root structure. The relationship between
[...] Read more.
Bacteria play an important role in addressing challenges in rice production by promoting plant growth and enhancing stress tolerance through multiple mechanisms. Different types of soil bacteria affect rice growth by improving nutrient absorption, managing stress, and enhancing root structure. The relationship between rice plants and bacteria is intricate, as these bacteria can help reduce problems like salt stress, heavy metal toxicity, and infections. This review summarises studies published up to 2025 on how bacteria influence rice roots, including aspects like root length, density, biomass, and volume. Bibliometric analysis shows an increase of over 900% in research interest after 2020, with most studies conducted under controlled conditions and limited field validation. In addition to identifying key bacterial groups such as Bacillus, Pseudomonas, Burkholderia, and Azospirillum, this review identifies research gaps related to context dependency, strain specificity, and scalability. We have also emphasised the need for multi-strain inoculation strategies, field-scale experiments, and integration of microbial selection with rice breeding. The synthesis has highlighted that bacterial strains do not simply stimulate root growth but actively reprogram rice root architecture, modulating elongation, branching, density, and surface area as a response to environmental constraints. These effects are mediated by interconnected mechanisms that include phytohormone production, nutrient solubilisation, deaminase activity, stress-related gene regulation, and microbiome-driven feedback involving root exudation. Overall, viewing bacteria as regulators of root developmental dynamics rather than simple biofertilisers provides new insights for designing climate-adapted and sustainable rice production systems.
Full article
(This article belongs to the Topic New Achievements in Gene Mining, Germplasm Innovation, Cultivation Technologies in Rice)
►▼
Show Figures

Figure 1
Open AccessArticle
Content and Composition of Essential Oils from Solidago canadensis L. and Solidago virgaurea L. Growing in Estonia
by
Ain Raal, Aleksandra Doll, Yurii Hrytsyk, Martin Lepiku and Oleh Koshovyi
Crops 2026, 6(2), 24; https://doi.org/10.3390/crops6020024 - 25 Feb 2026
Abstract
►▼
Show Figures
Common goldenrod (S. virgaurea L., Asteraceae) is recognised in traditional medicine as a folk remedy for kidney, urinary tract, and liver diseases, among others; however, its pharmaceutical potential remains largely unexplored. The pharmaceutical potential of the invasive species Canadian goldenrod (S.
[...] Read more.
Common goldenrod (S. virgaurea L., Asteraceae) is recognised in traditional medicine as a folk remedy for kidney, urinary tract, and liver diseases, among others; however, its pharmaceutical potential remains largely unexplored. The pharmaceutical potential of the invasive species Canadian goldenrod (S. canadensis L.) in Europe is also of practical interest. The aim of the study was to compare the yield and composition of essential oils (EO) of flowering tops (20 cm long) of S. canadensis and S. virgaurea. The yield of EOs, hydrodistilled from S. canadensis (8 samples) and S. virgaurea (5 samples) herbs using the European Pharmacopoeia method, ranged from 2.7 to 14.9 mL/kg. The average EO yield in both goldenrod species was similar, but the composition differed. A total of 81 constituents were identified and semiquantified by GC-MS in the EOs of both Solidago species, eight of which have been found in these species for the first time. α-Pinene, limonene, and (E)-β-ocimene were the principal compounds in S. canadensis herb EO, and α-pinene, β-pinene, β-myrcene, and α-humulene were the principal compounds in S. virgaurea EO. It contained, on average, 39 times more benzyl salicylate than the EO from S. canadensis. Also, the amounts of viridiflorol (more in S. virgaurea) or β-bourbonene and (E)-β-ocimene (more in S. canadensis) can be used as a chemical fingerprint of both goldenrod species studied. The EO compositions were largely similar, with species-related differences supported by the presence of α-muurolene in S. virgaurea and its absence in S. canadensis. The pharmaceutical potential of V. canadensis as an invasive species is not yet sufficiently clear and requires further pharmacological studies. The composition of the EO seems to support the traditional use of goldenrod in the urological field.
Full article

Figure 1
Open AccessArticle
Projection of the Irrigation Water Requirement of Forage Corn Under Climate-Change Conditions in the North of Mexico
by
Alejandro Cruz-González, Ramón Arteaga-Ramírez, Jesús Soria-Ruiz, Alejandro Ismael Monterroso-Rivas, Georgina Pérez-Rodríguez and Aracely Rojas-López
Crops 2026, 6(2), 23; https://doi.org/10.3390/crops6020023 - 24 Feb 2026
Abstract
Climate change has put the agricultural industry under enormous pressure, as rising temperatures and changing rainfall patterns are affecting crop yields and productivity. The temporal variability of the irrigation water requirement (IWR) as a function of crop evapotranspiration (ETc) and effective rainfall (Peff)
[...] Read more.
Climate change has put the agricultural industry under enormous pressure, as rising temperatures and changing rainfall patterns are affecting crop yields and productivity. The temporal variability of the irrigation water requirement (IWR) as a function of crop evapotranspiration (ETc) and effective rainfall (Peff) was analyzed for forage corn cultivation from a climate-change perspective in the “Comarca Lagunera” region, located in the north of Mexico. The time periods 1975–2016 and 2061–2080 were analyzed, the latter using the forcings of the climate-change scenario SSP5-8.5, from the meteorological data. The Peff, ETc, and IWR for the maize crop were modeled with CROPWAT software, and the Rodionov test was applied to detect points of change in the three variables mentioned above. The historical values of IWR, ETc, and Peff values for spring were estimated at 511, 571, and 57, while for summer, they were 336, 450, and 122, respectively. The climate-change scenario toward the distant horizon projects increases in IWR of 11.9% and 3.5% and in ETc of 7.7% and 0.6%, respectively, for both spring and summer agricultural cycles, as well as decreases in Peff of −30% and −12%, respectively. These results emphasize the combined impact of rising temperatures and reduced rainfall on crop water needs, a crucial factor for crop production in regions that depend on agricultural irrigation. This study provides a foundation for planning irrigation water management in anticipation of an imminent increase in demand due to erratic weather patterns in arid zones.
Full article
(This article belongs to the Topic Irrigation and Fertilization Management for Sustainable Agricultural Production)
►▼
Show Figures

Figure 1
Highly Accessed Articles
Latest Books
E-Mail Alert
News
Topics
Topic in
Agriculture, AgriEngineering, Agronomy, Applied Sciences, Automation, Crops, Robotics, Sensors
Digital Agriculture, Smart Farming and Crop Monitoring
Topic Editors: Qingting Liu, Tao Wu, Zhigang ZhangDeadline: 30 April 2026
Topic in
Agronomy, Crops, Plants
Abiotic Stress Responses in Wheat: Perspectives on Productivity and Sustainability
Topic Editors: Wenshan Guo, Jinfeng Ding, Min ZhuDeadline: 22 May 2026
Topic in
Agronomy, Crops, Foods, Plants, Agriculture, Horticulturae
Multidisciplinary Advances in Tea Science: Smart Cultivation, Digital Processing, and Health Innovation
Topic Editors: Chunwang Dong, Lin Chen, Yang LiDeadline: 30 June 2026
Topic in
Agriculture, Molecules, Plants, IJMS, Crops
Salicylic Acid as Plant Biostimulant
Topic Editors: Michael Moustakas, Julietta MoustakaDeadline: 31 August 2026
Conferences
Special Issues
Special Issue in
Crops
Soil Fertility Management in Crop Production
Guest Editors: Rafael Felippe Ratke, Juliano Magalhães Barbosa, Leandro Pereira Pacheco, Laércio Santos SilvaDeadline: 10 August 2026
Special Issue in
Crops
Diversified Cropping Systems: Current Research and Future Perspectives
Guest Editors: Fabio Luiz Checchio Mingotte, Fernando Shintate Galindo, Anderson Prates Coelho, Aguinaldo José Freitas Leal, Rilner Alves Flores, Flávio Hiroshi Kaneko, Romulo LollatoDeadline: 10 August 2026
Special Issue in
Crops
From Resistance Genes to Architecture: Mechanistic and Predictive Approaches in Crop Disease Breeding
Guest Editors: Hao Hu, Fengqun YuDeadline: 30 September 2026
Special Issue in
Crops
Molecular Marker Technology for Crop Breeding Improvement
Guest Editors: Ioana Virginia Berindean, Katalin SzaboDeadline: 31 October 2026




