Next Issue
Volume 8, December
Previous Issue
Volume 8, October
 
 

Fire, Volume 8, Issue 11 (November 2025) – 41 articles

Cover Story (view full-size image): This study presents a validated computational approach for predicting the fire-induced collapse of steel moment-resisting frames using static general and dynamic explicit analyses. The models use both beam and shell elements and are checked against real fire tests. The results show that both methods can predict critical temperature and the collapse pattern with good accuracy. The static general approach provides a smooth post-buckling response with far less computational time, offering an efficient and reliable option for performance-based structural fire design. View this paper
  • Issues are regarded as officially published after their release is announced to the table of contents alert mailing list.
  • You may sign up for e-mail alerts to receive table of contents of newly released issues.
  • PDF is the official format for papers published in both, html and pdf forms. To view the papers in pdf format, click on the "PDF Full-text" link, and use the free Adobe Reader to open them.
Order results
Result details
Section
Select all
Export citation of selected articles as:
25 pages, 3804 KB  
Article
A PINN-LSTM Model for Real-Time Gas Concentration Prediction in Mine Conveyor Belt Fires
by Peiyang Su, Jiayong Zhang and Liwen Guo
Fire 2025, 8(11), 450; https://doi.org/10.3390/fire8110450 - 20 Nov 2025
Viewed by 635
Abstract
Accurate prediction of toxic gas concentrations during conveyor-belt fires is essential for ensuring mine safety, yet the nonlinear, time-varying, and turbulent characteristics of underground environments pose significant challenges for real-time forecasting. This study proposes a Physics-Informed Neural Network–Long Short-Term Memory (PINN-LSTM) hybrid model [...] Read more.
Accurate prediction of toxic gas concentrations during conveyor-belt fires is essential for ensuring mine safety, yet the nonlinear, time-varying, and turbulent characteristics of underground environments pose significant challenges for real-time forecasting. This study proposes a Physics-Informed Neural Network–Long Short-Term Memory (PINN-LSTM) hybrid model that integrates the one-dimensional convection–diffusion equation as a physical constraint with the sequential learning capability of an LSTM. Full-scale mine tunnel combustion experiments and Fire Dynamics Simulator (FDS) numerical simulations under multiple wind speeds and distances were conducted for model training and validation. The results indicate that the proposed PINN-LSTM achieves the lowest error metrics under all test conditions. The model reduced MSE and RMSE by 70–78% and 65–73%, respectively, compared with traditional LSTM models, and by 8–12% compared with the PINN-TCN variant. The proposed PINN-LSTM achieves the lowest error under all conditions. The PINN-LSTM model has strong prediction accuracy, physical interpretability, and real-time reasoning ability, providing a reliable and physically consistent solution for intelligent gas monitoring and early warning systems in underground fire scenarios. Full article
Show Figures

Figure 1

27 pages, 11596 KB  
Article
A Study on Fire Prevention Strategies for Bamboo-Wood Frames and Natural Vegetation Roofs in Southwest China Based on FDS: A Case Study of Wengding Village, Yunnan
by Xiyao Huang, Yinghan Li and Xinyi Huang
Fire 2025, 8(11), 449; https://doi.org/10.3390/fire8110449 - 20 Nov 2025
Viewed by 790
Abstract
In Southwest China, traditional wooden buildings in historic villages commonly feature natural vegetation roofing materials, such as thatch or bamboo shingles, which are highly susceptible to fire. Existing research has primarily focused on traditional timber-frame buildings with tiled roofs, while limited attention has [...] Read more.
In Southwest China, traditional wooden buildings in historic villages commonly feature natural vegetation roofing materials, such as thatch or bamboo shingles, which are highly susceptible to fire. Existing research has primarily focused on traditional timber-frame buildings with tiled roofs, while limited attention has been given to those with natural vegetation roofs. This study, taking Wengding village in Cangyuan Wa Autonomous County, Yunnan Province, as an exemplary case, conducts a fire risk assessment and explores fire prevention strategies for buildings with bamboo-wood frames and natural vegetation roofs on the basis of Fire Dynamics Simulator (FDS): the application of fire-retardant coatings, the use of synthetic thatched roofing materials, and a combination of both. The results indicate that the strategy employing synthetic thatched roofing materials offers the best fire resistance performance. By integrating traditional fire prevention knowledge with modern technologies, this study provides a scientifically grounded reference for mitigating fire risks in historic buildings with natural vegetation roofs in China’s ethnic minority regions, aiming to enhance fire safety while preserving architectural authenticity. Full article
Show Figures

Figure 1

13 pages, 10019 KB  
Article
Mechanisms of an Eruptive Forest Fire in Subtropical Hilly Terrain: A Case Study from the 2022 Xintian Fire, Hunan Province, China
by Di Wang, Maowei Bai and Siquan Yang
Fire 2025, 8(11), 448; https://doi.org/10.3390/fire8110448 - 20 Nov 2025
Viewed by 454
Abstract
The increasing frequency of extreme wildfire behavior globally, particularly under the influence of anthropogenic climate change, poses unprecedented challenges to traditional fire management paradigms. This study presents a comprehensive, multi-dimensional case study of the catastrophic eruptive fire event that occurred in Xintian County, [...] Read more.
The increasing frequency of extreme wildfire behavior globally, particularly under the influence of anthropogenic climate change, poses unprecedented challenges to traditional fire management paradigms. This study presents a comprehensive, multi-dimensional case study of the catastrophic eruptive fire event that occurred in Xintian County, Hunan Province, China, on 17 October 2022. By integrating data on long-term ecological drought, critical synoptic-scale weather conditions, and real-time emission profiles of combustion products, we delineate the mechanistic chain leading to eruptive fire development in a subtropical evergreen broad-leaved forest region, historically considered a low-to-moderate fire risk zone. Our results demonstrate that the eruptive fire was a consequence of a critical convergence of factors: a protracted pre-conditioning drought that significantly reduced live and dead fuel moisture, a specific meteorological window characterized by extremely low relative humidity (<60%) and initially high wind speeds (peak at 16.5–17.9 m/s), and the abundant production and accumulation of flammable pyrolysis gases (e.g., CO, CH4) from the dominant Masson pine forests. The emission data pinpointed October 19th as the key tipping point, marking the transition to high-intensity combustion. This study underscores the vulnerability of subtropical forest ecosystems to eruptive fires during compound extreme events. Our findings provide a critical scientific basis for updating fire danger rating systems and early warning strategies in similar ecological regions under a changing climate. Full article
(This article belongs to the Special Issue Effects of Climate Change on Fire Danger)
Show Figures

Figure 1

20 pages, 3280 KB  
Article
Enhancing Flame Retardancy in Polypropylene Composites: A Bayesian Optimization Approach
by Eric Verret, Anthony Collin, Sophie Duquesne and Martin Stievenard
Fire 2025, 8(11), 447; https://doi.org/10.3390/fire8110447 - 17 Nov 2025
Viewed by 598
Abstract
The traditional optimization of intumescent flame-retardant polypropylene (PP) relies on large experimental campaigns that scale poorly with compositional dimensionality, limiting the systematic exploration of tradeoffs between fire performance and material economy. We present a Multi-Objective Bayesian Optimization (MOBO) workflow that couples Gaussian Process [...] Read more.
The traditional optimization of intumescent flame-retardant polypropylene (PP) relies on large experimental campaigns that scale poorly with compositional dimensionality, limiting the systematic exploration of tradeoffs between fire performance and material economy. We present a Multi-Objective Bayesian Optimization (MOBO) workflow that couples Gaussian Process (GP) surrogates with the q-Noisy Expected Hypervolume Improvement (qNEHVI) acquisition to co-optimize two competing objectives: maximize the Limiting Oxygen Index (LOI) and minimize total flame-retardant (FR) loading (wt.%). Two practical initialization strategies, Space-Filling Design and literature-guided sampling, are benchmarked, and convergence is monitored via dominated hypervolume and uncertainty calibration. Uniform design-space coverage yields faster hypervolume growth and better-calibrated uncertainty than literature seeding. Under a 20-experiment budget, the best formulation attains an LOI = 27.0 vol.% at 22.74 wt.% FR, corresponding to an estimated 8–14% efficiency gain, defined here as LOI improvement at comparable FR loadings relative to representative baselines. The recovered APP/PER stoichiometric ratios (1.69–2.26) are consistent with established intumescence mechanisms, indicating that a data-driven search can converge to physically meaningful solutions without explicit mechanistic priors. The proposed workflow provides a sample-efficient route to navigate multi-criteria design spaces in flame-retardant PP and is transferable to polymer systems in which performance, cost, and processing constraints must be balanced and exhaustive testing is impractical. Full article
Show Figures

Figure 1

14 pages, 4594 KB  
Article
Experimental Study on the Melt Dripping Behavior of Flexible Polyurethane Foam in an Oscillating Ship Cabin
by Wenfeng Shen, Zhenyu Wang, Dimeng Lai, Yujin Huang, Huanghuang Zhuang, Zhongqin Liu and Hongzhou He
Fire 2025, 8(11), 446; https://doi.org/10.3390/fire8110446 - 17 Nov 2025
Viewed by 505
Abstract
Flexible polyurethane foam (FPUF) is widely used in ship cabins yet poses significant fire hazards due to its flammability and tendency to melt and drip during combustion. While previous studies have primarily focused on dripping behavior under static conditions, the effect of oscillatory [...] Read more.
Flexible polyurethane foam (FPUF) is widely used in ship cabins yet poses significant fire hazards due to its flammability and tendency to melt and drip during combustion. While previous studies have primarily focused on dripping behavior under static conditions, the effect of oscillatory motion, typical in maritime environments, remains poorly understood. This study investigated the dripping behavior of FPUF under both static and oscillating conditions using a custom-made experimental platform simulating ship motions. The results reveal that under static conditions, side ignition leads to a higher dripping frequency than central ignition. Under oscillation, central ignition produces a greater number of drips and higher dripping frequency compared to static conditions. Although oscillation promotes the formation of smaller droplets and reduces the proportion of large-size flaming drips, the absolute number of such flaming drips increases, elevating fire spread risk. Furthermore, while oscillation frequency and amplitude have limited effects on dripping frequency, they significantly expand the dripping spread range, which increased by over 300% at 30° and 0.1 Hz compared to static conditions. These findings provide insights for improving fire risk assessment and safety design of polymeric materials in dynamic operational environments such as ships. Full article
Show Figures

Figure 1

24 pages, 7767 KB  
Article
Spatiotemporal Dynamics of Active Fire in China (2003–2024): Regional Patterns and Land Cover Associations
by Wannan Wang and Chunjiao Wang
Fire 2025, 8(11), 445; https://doi.org/10.3390/fire8110445 - 16 Nov 2025
Viewed by 728
Abstract
Fire in China, driven by both natural and anthropogenic factors, significantly influences ecological stability. This study provides a comprehensive spatiotemporal analysis of active fires across China from 2003 to 2024 using MODIS Collection 6.1 active fire and land cover products. Our results reveal [...] Read more.
Fire in China, driven by both natural and anthropogenic factors, significantly influences ecological stability. This study provides a comprehensive spatiotemporal analysis of active fires across China from 2003 to 2024 using MODIS Collection 6.1 active fire and land cover products. Our results reveal a significant national decline in fire counts since 2016, accompanied by with a marked geographical shift in hotspots from East China to Northeast China. It clarifies that croplands and savannas are the main fire-prone land covers, yet they have also experienced the most substantial decline in fire counts. East China (46.8%) and Central China (27.1%) were the largest contributors to the reduction in cropland fire counts. Temporal displacement toward nighttime straw burning was observed in East China. The decline in average fire radiative power (FRP) of daytime agricultural fires indicates that straw burning bans effectively reduced both the frequency and intensity of fires. Persistent savanna and forest fires are highly clustered in Southern China, while new emerging grassland fires are concentrated in Western China. Persistent cropland fires overlap with emerging zones in Northeast and Central China. Our study can assist in optimizing targeted fire policies and supporting better fire risk management. Full article
(This article belongs to the Section Fire Science Models, Remote Sensing, and Data)
Show Figures

Figure 1

20 pages, 1454 KB  
Article
Quantifying the Lagged Teleconnection Between the Southern Oscillation Index (SOI) and the Bushfire Danger Index
by Monzur Alam Imteaz, Afsin Islam, Iqbal Hossain and Md Jahangir Alam
Fire 2025, 8(11), 444; https://doi.org/10.3390/fire8110444 - 16 Nov 2025
Viewed by 883
Abstract
To improve preparedness and minimise losses, this paper presents the development of artificial intelligence (AI)-based forecasting models using a large-scale climate index for Victoria (Australia), which is known to be one of the most fire-prone areas in the country. Using an Artificial Neural [...] Read more.
To improve preparedness and minimise losses, this paper presents the development of artificial intelligence (AI)-based forecasting models using a large-scale climate index for Victoria (Australia), which is known to be one of the most fire-prone areas in the country. Using an Artificial Neural Network (ANN) approach, this study investigates the nonlinear relationships between SOI and the Forest Fire Danger Index (FFDI) to develop a robust predictive model. Levenberg–Marquardt optimisation through the backpropagation method was employed to train the ANN models. Based on local climate data, FFDI values were calculated for eight locations within southeast Australia, and SOI values of earlier months were correlated with the FFDI values of the later months. A total of 55 years (1965–2019) of monthly SOI and FFDI values were used to train, validate, and test the developed ANN models. The findings show that the developed models can predict future FFDI values, having correlation coefficients ranging 0.71~0.96, 0.70~0.95, and 0.75~0.93 for 1-month, 2-month, and 3-month lagged periods, respectively. As is obvious, one-month-ahead predictions were more accurate than two/three-month-ahead predictions. In general, the stations located in the eastern parts are attributed to higher prediction accuracy than stations located in the western regions, possibly due to their closer proximity to the location from where SOI originates (i.e., southern Pacific). These variations between the stations located in the eastern and western parts may partly exhibit the applicability of FFDI to different vegetation types. However, the outcomes hold potential for informing stakeholders, improving resource allocation for fire preparedness, and mitigating the devastating impacts of bushfires on communities and ecosystems. Full article
(This article belongs to the Section Fire Science Models, Remote Sensing, and Data)
Show Figures

Figure 1

34 pages, 14098 KB  
Article
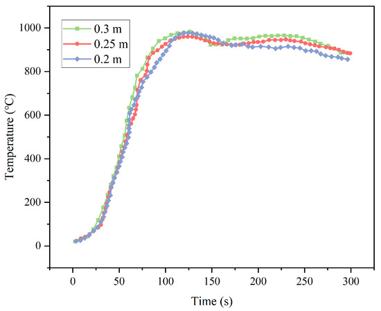
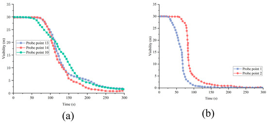
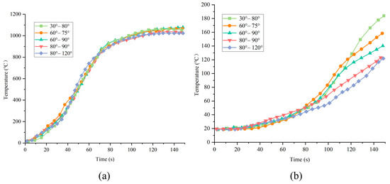
Fire Simulation and Optimization of Fire Control System in Vehicle Compartment of Ro-Ro Passenger Ship
by Yuechao Zhao, Wanzhou Chen, Jiachen Guo, Junzhong Bao, Yankun Wu, Dihao Ai and Qifei Wang
Fire 2025, 8(11), 443; https://doi.org/10.3390/fire8110443 - 14 Nov 2025
Viewed by 609
Abstract
This paper constructs a numerical simulation model for the fire and fire-fighting system of an all-electric vehicle ro-ro passenger ship to study the influence of fire characteristics and fire-fighting system layout parameters on the fire-extinguishing system. The simulation results show that the fire [...] Read more.
This paper constructs a numerical simulation model for the fire and fire-fighting system of an all-electric vehicle ro-ro passenger ship to study the influence of fire characteristics and fire-fighting system layout parameters on the fire-extinguishing system. The simulation results show that the fire can spread to the upper deck within 52 s, and the smoke will fill the main deck within 57 s. The study found that the battery capacity has a super-linear relationship with the fire hazard, and the fire thermal spread radius of a 240 Ah battery can reach 3.5 m. The high-expansion foam system has a low applicability in quickly suppressing battery fires due to its response delay and limited cooling capacity for deep-seated fires; the fire-extinguishing efficiency of fine water mist has spatial dependence: 800 µm droplets achieve effective cooling in the core area of the fire source with stronger penetrating power, while 200 µm droplets show better environmental cooling ability in the surrounding area; at the same time, the large-angle nozzles with an angle of 80–120° have a wider coverage range and perform better in overall temperature control and smoke containment than small-angle nozzles. The study also verified the effectiveness of fire curtains in forming fire compartments through physical isolation, which can reduce the heat radiation range by approximately 3 m. This research provides an innovative solution for improving the fire safety level of transporting all-electric vehicles on ro-ro passenger ships. Full article
(This article belongs to the Special Issue Fire and Explosion Prevention in Maritime and Aviation Transportation)
Show Figures

Figure 1

27 pages, 1868 KB  
Article
Performance and Emissions of Camelina Biodiesel–Jet A Blends in a Micro-Gas Turbine as a Sustainable Pathway for Aviation
by Cornel Dinu, Grigore Cican, Sibel Osman and Rares Secareanu
Fire 2025, 8(11), 442; https://doi.org/10.3390/fire8110442 - 13 Nov 2025
Viewed by 603
Abstract
This study investigates the performance, emissions, and physicochemical characteristics of a small-scale gas turbine fueled with Jet A and camelina biodiesel blends (B10, B20, and B30). The blends were characterized by slightly higher density (up to +3%), viscosity (+12–18%), and lower heating value [...] Read more.
This study investigates the performance, emissions, and physicochemical characteristics of a small-scale gas turbine fueled with Jet A and camelina biodiesel blends (B10, B20, and B30). The blends were characterized by slightly higher density (up to +3%), viscosity (+12–18%), and lower heating value (−7–9%) compared to Jet A. These fuel properties influenced the combustion behavior and overall turbine response. Experimental results showed that exhaust gas temperature decreased by 40–60 °C and specific fuel consumption (SFC) increased by 5–8% at idle, while thrust variation remained below 2% across all operating regimes. Fuel flow was reduced by 4–9% depending on the blend ratio, confirming efficient atomization despite the higher viscosity. Emission measurements indicated a 20–30% reduction in SO2 and a 10–35% increase in CO at low load, mainly due to the sulfur-free composition and lower combustion temperature of biodiesel. Transient response analysis revealed that biodiesel blends mitigated overshoot and undershoot amplitudes during load changes, improving combustion stability. Overall, the results demonstrate that camelina biodiesel–Jet A blends up to 30% ensure stable turbine operation with quantifiable environmental benefits and minimal performance penalties, confirming their suitability as sustainable aviation fuels (SAFs). Full article
(This article belongs to the Special Issue Low Carbon Fuel Combustion and Pollutant Control)
Show Figures

Figure 1

11 pages, 1719 KB  
Brief Report
Using Air Quality Alerts to Estimate Population-Based Wildfire Smoke Exposure from the 2023 Canadian Wildfire Season
by Carlyn J. Matz, Melissa E. MacDonald, Morgan Mitchell and Celine Audette
Fire 2025, 8(11), 441; https://doi.org/10.3390/fire8110441 - 13 Nov 2025
Viewed by 778
Abstract
Wildfires are a source of air pollution, which impacts air quality in proximity to and at great distances from fires. Wildfire smoke exposure is seasonal and episodic, with exposure levels and durations that can vary considerably. Exposure to wildfire smoke is associated with [...] Read more.
Wildfires are a source of air pollution, which impacts air quality in proximity to and at great distances from fires. Wildfire smoke exposure is seasonal and episodic, with exposure levels and durations that can vary considerably. Exposure to wildfire smoke is associated with numerous health effects, including an increased risk of mortality and exacerbation of respiratory diseases. In Canada, the health risks of wildfire smoke are communicated to the public via air quality (AQ) alerts, when levels of wildfire smoke are currently or are forecasted to be relatively high, posing a risk to the general population. To better understand the population at risk due to wildfire smoke, a population-based exposure metric was developed based on geolocated AQ alerts and population data. This metric, measured in person-days, quantifies the number of people at risk of experiencing adverse health effects of wildfire smoke during a given time period. Data from the 2023 wildfire season were used to evaluate the metric. The greatest numbers of person-days were associated with population centres and regions that experienced periods of prolonged, intense smoke exposure. For example, Toronto, a large population centre, had 12 days with AQ alerts issued, corresponding to 33.5 M person-days. This approach could be expanded to other environmental or extreme weather conditions. Full article
(This article belongs to the Special Issue The Impact of Wildfires on Climate, Air Quality, and Human Health)
Show Figures

Figure 1

17 pages, 2845 KB  
Article
Experimental Study on the Effects of Oxygen Concentration and Thermal Radiation on the Combustion Characteristics of Wood Plastic Composites at Low Pressure
by Wenbing Li, Xuhong Jia, Wanki Chow and Shupei Tang
Fire 2025, 8(11), 440; https://doi.org/10.3390/fire8110440 - 12 Nov 2025
Viewed by 705
Abstract
The use of artificial oxygenation to counteract the effects of hypoxia and improve living standards in high-altitude, low-oxygen settings is widespread. A recognized consequence of this intervention is that it elevates the risk of fire occurrence. In this study, we simulated a real [...] Read more.
The use of artificial oxygenation to counteract the effects of hypoxia and improve living standards in high-altitude, low-oxygen settings is widespread. A recognized consequence of this intervention is that it elevates the risk of fire occurrence. In this study, we simulated a real fire environment with low-pressure oxygen enrichment in a plateau area. A new multi-measuring apparatus was constructed by integrating an electronic control cone heater and a low-pressure oxygen enrichment combustion platform to enable the simultaneous measurement of multiple parameters. The combined effects of varying oxygen concentrations and thermal irradiance on the combustion behavior of wood plastic composites (WPCs) under specific low-pressure conditions were investigated, and alterations in crucial combustion parameters were examined and evaluated. Increasing the oxygen concentration and heat flux significantly reduced the ignition and combustion times. For instance, at 50 kW/m2, the ignition time decreased from 75 s to 16 s as the oxygen concentration increased from 21% to 35%. This effect was suppressed by higher heat fluxes. Compared with low oxygen concentrations and low thermal radiation environments, the ignition time of the material under high oxygen concentrations and high thermal radiation conditions was shortened by more than 78%, indicating that its flammability is enhanced under extreme conditions. Higher oxygen concentrations enhanced the heat feedback to the fuel surface, which accelerated pyrolysis and yielded a more compact flame with reduced dimensions and a color transition from blue-yellow to bright yellow. This intensified combustion was further manifested by an increased mass loss rate (MLR), elevated flame temperature, and a decline in residual mass percentage. The combustion of WPCs displayed distinct stage characteristics, exhibiting “double peak” features in both the MLR and flame temperature, which were attributed to the staged pyrolysis of its wood fiber and plastic components. Full article
Show Figures

Figure 1

18 pages, 3006 KB  
Article
A Forest Fire Occurrence Prediction Method for Guizhou Province, China, Based on the Ignition Component
by Guangyuan Wu, Yunlin Zhang, Aixia Luo, Jibin Ning, Lingling Tian and Guang Yang
Fire 2025, 8(11), 439; https://doi.org/10.3390/fire8110439 - 9 Nov 2025
Viewed by 785
Abstract
Guizhou Province in China exhibits a distinctive agroforestry mosaic landscape with frequent human activity in forested areas. This region experiences recurrent forest fires, characterized by significant difficulties in suppression and high risks. Research on the prediction of forest fire occurrences holds crucial practical [...] Read more.
Guizhou Province in China exhibits a distinctive agroforestry mosaic landscape with frequent human activity in forested areas. This region experiences recurrent forest fires, characterized by significant difficulties in suppression and high risks. Research on the prediction of forest fire occurrences holds crucial practical significance in terms of enhancing regional forest fire prevention capabilities. However, the current fire risk forecasting methods in the area consider only meteorological factors, neglecting firebrands and fuel conditions, which results in deviations between forecasted and actual fire occurrences. Therefore, this study proposes a novel fire occurrence prediction method that utilizes the ignition component (IC) from the National Fire Danger Rating System (NFDRS) to characterize the weather–fuel complex while integrating the firebrand occurrence probability to construct a predictive model. The applicability and accuracy of this method are also evaluated. The results show that, firstly, the probability of at least one daily forest fire occurrence in the study area can be expressed as a nonlinear function based on the IC. Secondly, as time progresses, the correlation between the forest fire occurrence probability and the IC shows a decreasing trend, although the differences across different time spans are not statistically significant. Thirdly, when a 5-year time span is adopted, the error in calculating the forest fire occurrence probability based on the IC is significantly lower than at other time spans. Finally, a predictive model for the forest fire occurrence probability based on the IC is established, where P = (100*IC)/(4.06 + IC), with a mean absolute error (MAE) of 4.83% and mean relative error (MRE) of 14.87%. Based on this research, the IC enables the calculation of forest fire occurrence probabilities, assessment of fire risk ratings, and guidance for fire preparedness and planning. This work also provides theoretical support and a methodological reference for conducting forest fire probability studies in other regions. Full article
Show Figures

Figure 1

18 pages, 1713 KB  
Article
Fine-Scale Environmental Heterogeneity Shapes Post-Fire Macrofungal Richness in a Mediterranean Relict Forest
by Celeste Santos-Silva, Bruno Natário and Ricardo Pita
Fire 2025, 8(11), 438; https://doi.org/10.3390/fire8110438 - 9 Nov 2025
Viewed by 844
Abstract
Mediterranean relict forests, including Laurisilva and other humid forest refugia, are rare and ecologically distinctive habitats often embedded in fire-prone landscapes. Understanding how these ecosystems respond to disturbance is essential for biodiversity conservation and land management under increasing fire risk. However, the effects [...] Read more.
Mediterranean relict forests, including Laurisilva and other humid forest refugia, are rare and ecologically distinctive habitats often embedded in fire-prone landscapes. Understanding how these ecosystems respond to disturbance is essential for biodiversity conservation and land management under increasing fire risk. However, the effects of fire on key components of these forests, such as macrofungi, remain poorly understood. Here, we examined how fine-scale spatial heterogeneity in fire severity, topography and vegetation shapes post-fire macrofungal communities in a Laurisilva relict forest in central Portugal. Fire severity reduced mycorrhizal richness while having negligible effects on saprotrophs, leading to shifts in the mycorrhizal-to-saprotrophic richness ratio along severity gradients. A similar shift toward saprotrophs also occurred from low to moderate–high elevations, consistent with more exposed, drier conditions at higher elevations. Aspect, topographic ruggedness, and wetness showed weaker, guild-specific associations with macrofungal richness, while vegetation cover and richness had more limited influence, possibly reflecting the complexity and vulnerability of post-fire plant–fungus interactions. Overall, these results highlight the importance of conserving humid and structurally complex environments to foster post-fire fungal diversity in relict forests. More broadly, our findings suggest that fine-scale environmental heterogeneity may help sustain relict forest resilience under intensifying wildfires and other disturbances associated with land-use and climate change. Full article
Show Figures

Figure 1

28 pages, 4285 KB  
Article
Closed-Loop Multimodal Framework for Early Warning and Emergency Response for Overcharge-Induced Thermal Runaway in LFP Batteries
by Jikai Tian, Weiwei Qi, Jiao Wang and Jun Shen
Fire 2025, 8(11), 437; https://doi.org/10.3390/fire8110437 - 7 Nov 2025
Viewed by 787
Abstract
The increasing prevalence of lithium-ion batteries in energy storage and electric transportation has led to a rise in overcharge-induced thermal runaway (TR) incidents. Particularly, the TR of Lithium Iron Phosphate (LFP) batteries demonstrates distinct evolutionary stages and multimodal hazard signals. This study investigated [...] Read more.
The increasing prevalence of lithium-ion batteries in energy storage and electric transportation has led to a rise in overcharge-induced thermal runaway (TR) incidents. Particularly, the TR of Lithium Iron Phosphate (LFP) batteries demonstrates distinct evolutionary stages and multimodal hazard signals. This study investigated the TR process of LFP batteries under various charging rates through five sets of gradient C-rate experiments, collecting multimodal data (temperature, voltage, gas, sound, and deformation). Drawing on the collected data, this study proposes a three-stage evolution model that systematically identifies key characteristic signals and tracks their progression pattern through each stage of TR. Subsequently, fusion-based models (for both single- and multi-rate scenarios) and a time-series-based LSTM model were developed to evaluate their classification accuracy and feature importance in the classification of TR stages. Results indicate that the fusion-based models offer greater generalization, while the LSTM model excels at modeling time-dependent dynamics. These models demonstrate complementary strengths, providing a comprehensive toolkit for risk assessment. Furthermore, for the severe TR stage, this study proposes an innovative three-dimensional dynamic emergency decision matrix comprising a toxicity index (TI), flammability index (FI), and visibility (V) to provide quantitative guidance for rescue operations in the post-accident phase. Ultimately, this study establishes a comprehensive, closed-loop framework for LFP battery safety, extending from multimodal signal acquisition and intelligent early warning to quantified emergency response. This framework provides both a robust theoretical basis and practical tools for managing TR risk throughout the entire battery lifecycle. Full article
Show Figures

Graphical abstract

25 pages, 15454 KB  
Article
Pilot Ignition of Ammonia Spray Using Dimethyl Ether Spray at Elevated Temperature: A Numerical Study
by Chengcheng Zhang, Qian Wang and Liming Dai
Fire 2025, 8(11), 436; https://doi.org/10.3390/fire8110436 - 7 Nov 2025
Viewed by 622
Abstract
Ammonia (NH3) is a promising zero-carbon fuel to eliminate carbon footprint while the high autoignition temperature and low combustion rate of NH3 remain challenging for practical implementation. Using dimethyl ether (DME) as pilot ignition fuel can substantially promote the reactivity [...] Read more.
Ammonia (NH3) is a promising zero-carbon fuel to eliminate carbon footprint while the high autoignition temperature and low combustion rate of NH3 remain challenging for practical implementation. Using dimethyl ether (DME) as pilot ignition fuel can substantially promote the reactivity of NH3, thus paving the way for a widespread application of NH3. In this study, the ignition process and nitrogen oxides (NOx) emissions of the NH3 liquid spray ignited by liquid DME spray were numerically investigated using Converge software. The ambient temperatures (Tamb) ranging from 900 K to 1100 K were used to mimic the in-cylinder temperature typically encountered in turbocharger engines. The effect of ammonia energy ratio (AER) and fuel injection timing was examined as well. It is found that only half of NH3 is consumed at Tamb = 900 K while 97.4% of NH3 is burned at Tamb = 1100 K. Nitric oxide (NO) and nitrogen dioxide (NO2) formation also have strong correlation with Tamb and NO2 is usually formed around the periphery of NO through these two channels HO2 + NO = NO2 + OH and NO + O(+M) = NO2(+M). Extremely high nitrous oxide (N2O, formed by NH + NO = H + N2O) and carbon monoxide (CO) are produced with the presence of abundant unburned NH3 at Tamb = 900 K. Additionally, increasing AER from 60% to 90% results in slightly declined combustion efficiency of NH3 from 98.7% to 94%. NO emission has a non-monotonical relationship with AER owing to the ‘trade-off’ relationship between HNO concentration and radical pool at varying AERs. A higher AER of 95% leads to failed ignition of NH3. Advancing DME injection not only increases combustion efficiency, but also reduces NOx and CO emissions. Full article
Show Figures

Figure 1

19 pages, 849 KB  
Article
Transformational Leadership and Safety Attitudes in Firefighting: Evidence on the Moderating Role of Perceived Accident Likelihood from South Korea
by Kuk-Kyoung Moon and Jaeyoung Lim
Fire 2025, 8(11), 435; https://doi.org/10.3390/fire8110435 - 6 Nov 2025
Viewed by 605
Abstract
Leadership is context-dependent in its influence on various employee attitudes and behaviors, particularly in high-risk environments. Despite this, few studies have explored the role of leadership in shaping safety-related outcomes within high-risk public sector settings. This study posits that leadership’s impact may differ [...] Read more.
Leadership is context-dependent in its influence on various employee attitudes and behaviors, particularly in high-risk environments. Despite this, few studies have explored the role of leadership in shaping safety-related outcomes within high-risk public sector settings. This study posits that leadership’s impact may differ in high-risk contexts such as firefighting, where safety is of utmost importance. Using survey data collected from firefighters in Gyeonggi-do, the largest province in South Korea, this study examines the relationship between transformational leadership, perceived accident likelihood, and three safety-related attitudes: safety motivation, safety compliance, and safety participation. With sample sizes for the three dependent variables ranging from 1502 to 1504, the ordinary least squares (OLS) regression results indicate that transformational leadership is positively associated with all three safety attitudes. However, perceived accident likelihood shows a positive relationship with only one of the safety-related attitudes: safety motivation. More importantly, perceived accident likelihood moderates the relationship between transformational leadership and safety attitudes; as perceived accident likelihood increases, the positive impact of transformational leadership on these attitudes diminishes. These findings underscore the contextual nature of leadership effectiveness in high-risk settings and highlight the importance of contextual factors in understanding leadership styles. Full article
Show Figures

Figure 1

19 pages, 3582 KB  
Article
Investigation and Emergency Response Strategies of Aircraft Cargo Compartment Fires: A Case Study on the Beijing Capital Airport Incident
by Wenfei Yu, Quan Shao, Ning Sun, Yongye Gao, Hao Sun, Biao Zhang and Lin Wang
Fire 2025, 8(11), 434; https://doi.org/10.3390/fire8110434 - 6 Nov 2025
Viewed by 797
Abstract
Aircraft cargo compartment fires represent a major threat to aviation safety due to their rapid development, concealment, and the challenges associated with suppression in confined spaces. This study analyzes the 2019 A330 cargo compartment fire at Beijing Capital International Airport as a representative [...] Read more.
Aircraft cargo compartment fires represent a major threat to aviation safety due to their rapid development, concealment, and the challenges associated with suppression in confined spaces. This study analyzes the 2019 A330 cargo compartment fire at Beijing Capital International Airport as a representative case. Based on flight crew statements, ECAM alerts, surveillance footage, and firefighting records, the event timeline was reconstructed and the emergency response process examined. The analysis identified four defining characteristics of cargo fires: rapid escalation, interacting hazards, restricted accessibility, and prolonged suppression duration. To address these challenges, a three-stage investigation framework—comprising timeline reconstruction, evidence analysis, and experimental verification—is proposed to systematically determine the causes of fires. In addition, a portable penetrating fire-suppression device was designed and experimentally validated. Results confirm its effectiveness in achieving rapid agent delivery, enhanced structural cooling, and prevention of re-ignition. The findings demonstrate that comprehensive cargo fire investigations require the integration of multi-source data and experimental validation, while tactical and equipment innovations are critical for improving suppression efficiency in confined environments. This research provides practical insights for optimizing cargo fire investigation methodologies and emergency response strategies, thereby contributing to the advancement of aviation safety management systems. Full article
(This article belongs to the Special Issue Aircraft Fire Safety)
Show Figures

Figure 1

16 pages, 1774 KB  
Article
Fueling the Frontlines: A Post-Disaster Support Initiative for Community Health Workers Responding to Wildfires
by Adrienne Martinez-Hollingsworth, Namrata Shivaprakash, Elizabeth Kohout, Maximus Balliett, Fernando Fierro, Sandra Camberos, Joumana Rechdan, Angela Hughes, Laura Shouse, Zurisadai Inzunza, Monika Scherer, Natasha Milatovich and Efrain Talamantes
Fire 2025, 8(11), 433; https://doi.org/10.3390/fire8110433 - 3 Nov 2025
Viewed by 811
Abstract
Post-disaster support is critical for responders’ well-being who navigate the physical, mental, and emotional challenges of crisis intervention. The January 2025 Eaton Fire destroyed structures and disproportionately impacted Black and Latino neighborhoods. AltaMed deployed approximately 230 staff members to serve as frontline responders, [...] Read more.
Post-disaster support is critical for responders’ well-being who navigate the physical, mental, and emotional challenges of crisis intervention. The January 2025 Eaton Fire destroyed structures and disproportionately impacted Black and Latino neighborhoods. AltaMed deployed approximately 230 staff members to serve as frontline responders, providing medical and psychosocial support to evacuees at the Pasadena Convention Center. AltaMed frontline responders were invited to participate in a four-phase support initiative that included on-site peer-led debriefings, a needs and experiences survey, resilience-building workshops, and formal recognition of their contributions. A mixed-methods analysis was conducted on quantitative and qualitative survey data to assess well-being. Survey participants (n = 113) were highly motivated by community service, with 93% reporting a desire to contribute during crisis response. In addition, 53% identified the emotional impact as challenging, and 56% expressed interest in additional training. Peer support and reflection activities were cited as protective factors. Responders requested additional trauma-informed resources and infection prevention training. AltaMed’s support initiative successfully addressed the stressors of disaster response. Structured recognition, resilience-building, and professional development can promote long-term workforce well-being. These findings offer scalable strategies for Federally Qualified Health Centers and health systems supporting frontline workers during emergencies exacerbated by climate change and systemic disparities. Full article
Show Figures

Figure 1

17 pages, 3260 KB  
Article
Comprehensive Evaluation of a High-Resistance Fire Retardant via Simultaneous Thermal Analysis, Gas Chromatography–Mass Spectrometry, and Mass Loss Study
by Iveta Mitterová, Veronika Veľková and Andrea Majlingová
Fire 2025, 8(11), 432; https://doi.org/10.3390/fire8110432 - 1 Nov 2025
Viewed by 709
Abstract
In this study, we evaluate a phosphorus-based fire retardant (HR Prof) on Norway spruce using Simultaneous Thermal Analysis (STA: TG/DTG/DSC), Gas Chromatography–Mass Spectrometry (GC–MS), and bench-scale mass-loss measurements. Relative to the untreated reference, HR Prof re-routes decomposition toward earlier dehydration and transient char, [...] Read more.
In this study, we evaluate a phosphorus-based fire retardant (HR Prof) on Norway spruce using Simultaneous Thermal Analysis (STA: TG/DTG/DSC), Gas Chromatography–Mass Spectrometry (GC–MS), and bench-scale mass-loss measurements. Relative to the untreated reference, HR Prof re-routes decomposition toward earlier dehydration and transient char, simplifies the evolved gas mixture in the 150–250 °C range, and reduces burning intensity during 600 s of radiant exposure. Across 150/200/250 °C, identified components fell from 20/24/51 (reference) to 5/9/9 (HR Prof); no phosphorus-containing volatiles were detected in this window. Mass-loss tests showed a lower average burning rate (0.107 vs. 0.156%·s−1) and a smaller cumulative loss at 600 s (64.2 ± 9.5% vs. 93.7 ± 2.1%; one-way ANOVA, p < 0.05 for percentage loss). STA was conducted in air; the transient char formed at an intermediate temperature is oxidized near ~600 °C, explaining the low final residue despite earlier charring. A count-based Poisson model corroborated the significant reduction in volatile component richness for HR Prof (p < 0.001). The cross-method correspondences—earlier condensed-phase dehydration/char → leaner volatile pool → lower and flatter burning-rate profiles—support a condensed-phase-dominated protection mechanism within the conditions studied. Full article
(This article belongs to the Special Issue Sustainable Flame-Retardant Polymeric Materials)
Show Figures

Figure 1

19 pages, 4228 KB  
Article
Density-Based Spatial Clustering of Vegetation Fire Points Based on Genetic Optimization of Threshold Values
by Xuan Gao, Tao Wang and Ke Xie
Fire 2025, 8(11), 431; https://doi.org/10.3390/fire8110431 - 31 Oct 2025
Viewed by 675
Abstract
Vegetation fires are among the most common natural disasters, posing significant threats to people and the natural environment worldwide. Density-based clustering methods can be used to identify geospatial clustering patterns of fire points. It further helps reveal the spatial distribution characteristics of wildfires, [...] Read more.
Vegetation fires are among the most common natural disasters, posing significant threats to people and the natural environment worldwide. Density-based clustering methods can be used to identify geospatial clustering patterns of fire points. It further helps reveal the spatial distribution characteristics of wildfires, which are crucial for regional-specific fire mapping, prediction, mitigation, and protection. DBSCAN (density-based spatial clustering of applications with noise) is widely used for clustering spatial objects. It needs two user-determined threshold values: the local radius and the minimum number of neighboring points for core points, which require user expertise and background information. This work proposes a dual-population genetic optimization to determine threshold values of DBSCAN for clustering vegetation fire points in western China. By constructing randomly generated threshold populations, optimized threshold values are obtained through crossover, mutation, and inter-population exchange, measured by multiple clustering metrics. Focusing on vegetation wildfires in western China during 2016–2022, the results reveal that vegetation wildfires can be divided into eight regions, each exhibiting distinct spatiotemporal patterns and geographic contexts. Full article
Show Figures

Figure 1

23 pages, 1976 KB  
Article
Experimental Study on Ratio Optimization and Nonlinear Response Characteristics of Grouting and Fire-Protecting Filling Material Coal Mining Area
by Zhangliang Chen, Junwei Shi, Ziyan Zhang and Lifeng Li
Fire 2025, 8(11), 430; https://doi.org/10.3390/fire8110430 - 31 Oct 2025
Viewed by 573
Abstract
In order to improve the fluidity, pumpability, and strength of separation-layer grouting fire-protecting filling material and reliability with multiple parameters and factors in traditional orthogonal tests, the coupling theory of the response surface-satisfaction function is applied to optimize the ratio of separation-layer grouting [...] Read more.
In order to improve the fluidity, pumpability, and strength of separation-layer grouting fire-protecting filling material and reliability with multiple parameters and factors in traditional orthogonal tests, the coupling theory of the response surface-satisfaction function is applied to optimize the ratio of separation-layer grouting fire-protecting filling material. Cement content, the ash–gangue ratio, slurry concentration, and admixture were selected as the influencing factors for the ratio optimization of separation-layer grouting fire-protecting filling material and slump, with the bleeding rate and compressive strength selected as the evaluation indexes of material properties. The Box–Behnken experimental design method was applied to conduct 25 groups of experiments with different material ratios, and the response surface functions of various material performance evaluation indexes were constructed. The relationship between the influencing factors of fire protecting and filling material ratios and the target responsiveness was studied, as well as the optimal ratio of separation-layer grouting fire-protecting filling materials under multi-objective conditions. The results show that the influence of the slurry concentration and cement content on the degree of collapse is significant. The cement content and slurry concentration had significant influence on the compressive strength. The ash–gangue ratio has a significant impact on bleeding rate. Meanwhile, the interaction of the ash–gangue ratio, slurry concentration, and cement content also has a significant impact on the bleeding rate. For waste rock cementation abscission-layer grouting fire protecting and filling material, the optimal ratio is an ash and gangue ratio of 1:2, the cement content is 12.12%, the admixture is 1.49%, and the slurry concentration is 52%. The ratio of the corresponding response under the condition of prediction result is a slurry slump of 28.5 cm, bleeding rate of 2.36%, and filling body strength of 4.62 MPa, which basically coincide with the experimental results and verification and provide evidence for the abscission layer grouting field industrial test. Full article
Show Figures

Figure 1

26 pages, 5137 KB  
Article
Analyzing Surface Spectral Signature Shifts in Fire-Affected Areas of Elko County Nevada
by Ibtihaj Ahmad and Haroon Stephen
Fire 2025, 8(11), 429; https://doi.org/10.3390/fire8110429 - 31 Oct 2025
Viewed by 593
Abstract
This study investigates post-fire vegetation transitions and spectral responses in the Snowstorm Fire (2017) and South Sugarloaf Fire (2018) in Nevada using Landsat 8 Operational Land Imager (OLI) surface reflectance imagery and unsupervised ISODATA classification. By comparing pre-fire and post-fire conditions, we have [...] Read more.
This study investigates post-fire vegetation transitions and spectral responses in the Snowstorm Fire (2017) and South Sugarloaf Fire (2018) in Nevada using Landsat 8 Operational Land Imager (OLI) surface reflectance imagery and unsupervised ISODATA classification. By comparing pre-fire and post-fire conditions, we have assessed changes in vegetation composition, spectral signatures, and the emergence of novel land cover types. The results revealed widespread conversion of shrubland and conifer-dominated systems to herbaceous cover with significant reductions in near-infrared reflectance and elevated shortwave infrared responses, indicative of vegetation loss and surface alteration. In the South Sugarloaf Fire, three new spectral classes emerged post-fire, representing ash-dominated, charred, and sparsely vegetated conditions. A similar new class emerged in Snowstorm, highlighting the spatial heterogeneity of fire effects. Class stability analysis confirmed low persistence of shrub and conifer types, with grassland and herbaceous classes showing dominant post-fire expansion. The findings highlight the ecological consequences of high-severity fire in sagebrush ecosystems, including reduced resilience, increased invasion risk, and type conversion. Unsupervised classification and spectral signature analysis proved effective for capturing post-fire landscape change and can support more accurate, site-specific post-fire assessment and restoration planning. Full article
Show Figures

Figure 1

14 pages, 3474 KB  
Article
Evaluation of the Fire Safety Performance of Fire-Resistant Coatings in BIPV Modules
by Yong Chan Jung, Min Ji Song, Hee Kyung Park, Min Chul Lee and Soo Yeol Lee
Fire 2025, 8(11), 428; https://doi.org/10.3390/fire8110428 - 31 Oct 2025
Viewed by 735
Abstract
Building-Integrated Photovoltaics (BIPV), which are used for building exteriors such as walls, roofs, balconies, and awnings, play a significant role in reducing greenhouse gas emissions. However, since the back sheet, sealant, junction box, and cable of BIPV modules are made of flammable plastic [...] Read more.
Building-Integrated Photovoltaics (BIPV), which are used for building exteriors such as walls, roofs, balconies, and awnings, play a significant role in reducing greenhouse gas emissions. However, since the back sheet, sealant, junction box, and cable of BIPV modules are made of flammable plastic materials, fire protection technologies are needed to ensure fire safety. The aim of this work is to evaluate the fire safety performance of BIPV modules coated with fire-resistant (FRs) and flame-retardant (FRt) materials. The test results show that the performance of the FRs coating was excellent in terms of fire blocking, physical properties, and durability, compared to the FRt coating. Surface damage, such as cracks and blisters, was observed on the FRt coating during the impact and acid resistance tests, whereas the FRs coating demonstrated superior durability without any defects. Specifically, aluminum hydroxide (ATH, 5–10 wt%) added to the FRs coating promoted an endothermic reaction that lowered the flame temperature, released H2O, and stably formed an Al2O3 heat-shielding layer. Due to this reaction, the suppression of the fire spread by the BIPV modules was the best compared to that of Mg, Ti, and Si-based additives. Full article
(This article belongs to the Special Issue Advances in Industrial Fire and Urban Fire Research: 2nd Edition)
Show Figures

Figure 1

13 pages, 2065 KB  
Article
Research on the Influence of Density, Length and External Air Flow Rate on the Smoldering Limit of Paper Scraps by a Cylindrical Rod Heater
by Yanwen Deng, Zhi Xu, Qi Huang, Mingjiu Yang, Xue Shen, Hui Yan, Xianwen Shen, Jun Shi and Yu Tan
Fire 2025, 8(11), 427; https://doi.org/10.3390/fire8110427 - 31 Oct 2025
Viewed by 513
Abstract
This study investigates the minimum ignition temperature of smoldering paper scraps with varying bulk densities and lengths under different external airflow rates. Paper scraps of different lengths were compressed to modify the bulk density within the smoldering fuel bed. The ignition tests were [...] Read more.
This study investigates the minimum ignition temperature of smoldering paper scraps with varying bulk densities and lengths under different external airflow rates. Paper scraps of different lengths were compressed to modify the bulk density within the smoldering fuel bed. The ignition tests were performed using a rod-heater with a controlled temperature range of 340–460 °C. Once the rod-heater reached the preset temperature, the current was turned off, and the rod-heater was inserted into the center of the vertically oriented combustion chamber filled with paper scraps. By recording the temperature variations at different locations within the combustion chamber, the ignition limits of smoldering paper scraps with varying bulk densities under different external airflow rates were determined. The results showed that in the absence of external airflow and with a fixed paper scrap length, the ignition limit of smoldering paper scrap exhibits a clear U-shaped trend as bulk density increases. Furthermore, we found that in the absence of external airflow, the length of paper scraps had no significant effect on the ignition limit in the low bulk density range. However, in the high bulk density range, the ignition limit increased with scrap length. As for cases with external air flows, the ignition limit of paper scrap smoldering combustion once again exhibits a U-shaped trend with varying bulk density. Compared with the condition without forced airflow, however, the inflection point of the U-shaped curve shifts toward the higher-density region. Moreover, within the range of externally forced airflow rates examined in the present study, the length of paper scraps had no significant effect on the smoldering ignition limit. Full article
Show Figures

Graphical abstract

19 pages, 2888 KB  
Article
Pyrolysis Characteristics and Reaction Mechanism of Cement Fiberboard with Thermogravimetry/Fourier Transform Infrared Analysis
by Yuxiang Zhu, Longjiang Tang, Ying Hu, Chunlin Yang, Weijian Deng and Yanming Ding
Fire 2025, 8(11), 426; https://doi.org/10.3390/fire8110426 - 31 Oct 2025
Viewed by 518
Abstract
In this study, thermogravimetric analysis (TGA) was coupled with Fourier-transform infrared (FTIR) spectroscopy to systematically investigate the pyrolysis characteristics and mechanisms of cement fiberboard across varying heating rates. Experimental findings demonstrated that the thermal degradation process occurs in four distinct phases. Overlapping decomposition [...] Read more.
In this study, thermogravimetric analysis (TGA) was coupled with Fourier-transform infrared (FTIR) spectroscopy to systematically investigate the pyrolysis characteristics and mechanisms of cement fiberboard across varying heating rates. Experimental findings demonstrated that the thermal degradation process occurs in four distinct phases. Overlapping decomposition peaks in DTG curves were successfully resolved using a double-Gaussian deconvolution algorithm. A comprehensive kinetic analysis was conducted by integrating model-free iso-conversional methods (Flynn–Wall–Ozawa and Kissinger–Akahira–Sunose analysis) with a model-fitting technique (Coats–Redfern approximation) to determine the activation energies for each degradation stage. A subsequent FTIR spectroscopic analysis revealed that the evolution of gaseous products follows the sequence CO2 > H2O > CH4. The CO2 release was found to originate from multiple pathways, including the decomposition of organic components and high-temperature inorganic reactions. Notably, while the heating rate had a negligible impact on product speciation, it exhibited a statistically significant influence on CO2 emission intensities. Finally, mechanistic interpretations integrating Arrhenius parameters with time-resolved infrared spectral features were proposed for each thermal decomposition stage. Full article
Show Figures

Figure 1

24 pages, 4204 KB  
Article
Effect of Twin-Fluid Mass Ratio on Near-Field Spray Characteristics and Dynamics of a Novel Two-Phase Injector with an Internal Swirl
by Rachel Swinney, Md Shakil Ahmed and Lulin Jiang
Fire 2025, 8(11), 425; https://doi.org/10.3390/fire8110425 - 31 Oct 2025
Viewed by 618
Abstract
The present study investigates the influence of atomizing air-to-liquid mass ratio (ALR) on the near-field spray characteristics and stability of a novel twin-fluid injector that integrates bubble-bursting for primary atomization and shear-induced secondary atomization. Unlike conventional injectors, the novel design generates ultra-fine sprays [...] Read more.
The present study investigates the influence of atomizing air-to-liquid mass ratio (ALR) on the near-field spray characteristics and stability of a novel twin-fluid injector that integrates bubble-bursting for primary atomization and shear-induced secondary atomization. Unlike conventional injectors, the novel design generates ultra-fine sprays at the exit with low sensitivity to liquid properties. The previous version improved secondary atomization even for highly viscous liquids, showing strong potential in hydrogel-based fire suppression. The current design improves primary atomization, leading to more stable and finer sprays. The near-field spray characteristics are quantified using a high-speed shadowgraph across ALRs ranging from 1.25 to 2.00. This study found that stable and finely atomized sprays are produced across all the tested ALRs. Increasing ALR reduces droplet size, while the spray is the widest at 1.25. Sauter Mean Diameter (SMD) contours show larger droplets at the edges and smaller ones toward the center, with ALR 2.00 yielding the most uniform size distribution. As per the atomization efficiency, ALR of 1.25 shows the best performance. Overall, an optimum ALR of 1.75 is identified, offering balanced droplet size distribution, stability, and atomization efficiency, making the injector potentially suitable for fire suppression and liquid-fueled gas turbines requiring high stability and fuel flexibility. Full article
Show Figures

Graphical abstract

27 pages, 2786 KB  
Article
Pyrolysis of Foliage from 24 U.S. Plant Species with Recommendations for Physics-Based Wildland Fire Models
by Mahsa Alizadeh and Thomas H. Fletcher
Fire 2025, 8(11), 424; https://doi.org/10.3390/fire8110424 - 31 Oct 2025
Viewed by 586
Abstract
Pyrolysis of 24 samples of foliage from three U.S. regions with frequent wildland fires (Southeastern U.S., northern Utah and Southern California) was studied in a fuel-rich flat-flame burner system at 765 °C (for Southeastern U.S. samples) and 725 °C (for northern Utah and [...] Read more.
Pyrolysis of 24 samples of foliage from three U.S. regions with frequent wildland fires (Southeastern U.S., northern Utah and Southern California) was studied in a fuel-rich flat-flame burner system at 765 °C (for Southeastern U.S. samples) and 725 °C (for northern Utah and Southern California species), with a heating rate of approximately 180 °C/s. These conditions were selected to mimic the conditions of wildland fires. Individual plant samples were introduced to the high temperature zone in a flat-flame burner and pyrolysis products were collected. Tar was extracted and later analyzed by GC/MS. Light gases were collected and analyzed by GC/TCD. The estimated range for the average yields of tar and light gases were 48 to 62 wt% and 18 to 31 wt%, respectively. Apart from Eastwood’s manzanita (Arctostaphylos glandulosa Eastw.), aromatics were the major constituents of tar. The variations in the concentrations of tar compounds likely resulted from differences in biomass composition and physical characteristics of the foliage. The four major components of light gases from pyrolysis (wt% basis) were CO, CO2, CH4 and H2. Tar contributed more than 82% of the high heating value of volatiles. These data can be used to improve physical-based fire propagation models. Full article
(This article belongs to the Special Issue Pyrolysis, Ignition and Combustion of Solid Fuels)
Show Figures

Graphical abstract

21 pages, 4249 KB  
Article
Typology-Specific Gaps in Building Fire Safety: A Scientometric Review of Technologies, Functions, and Research Trends
by Fatma Kürüm Varolgüneş
Fire 2025, 8(11), 423; https://doi.org/10.3390/fire8110423 - 31 Oct 2025
Viewed by 902
Abstract
Fires remain a critical threat to the resilience and safety of the built environment, yet current research is often fragmented across building types, technologies, and functions. This study investigates typology-specific gaps in fire safety by conducting a scientometric review of peer-reviewed articles published [...] Read more.
Fires remain a critical threat to the resilience and safety of the built environment, yet current research is often fragmented across building types, technologies, and functions. This study investigates typology-specific gaps in fire safety by conducting a scientometric review of peer-reviewed articles published between 2010 and 2025. Following a PRISMA-guided protocol, a total of 83 studies indexed in the Web of Science were systematically screened and analyzed using VOSviewer (v1.6.19) and the R-based Bibliometrix package (version 4.2.1). The dataset was classified according to building typologies, fire safety functions—detection, suppression, and evacuation—and applied technologies such as BIM, simulation platforms, and AI-based models. The results show a strong research bias toward evacuation modeling in high-rise and general-purpose buildings, while critical typologies including healthcare facilities, heritage structures, and informal settlements remain underexplored. Suppression systems and real-time detection technologies are rarely integrated, and technological applications are often fragmented rather than interoperable. A conceptual matrix is proposed to align tools with typology-specific risk profiles, highlighting mismatches between research priorities and building functions. These findings emphasize the need for integrated, data-driven, and context-sensitive fire safety strategies that bridge methodological innovation with practical application, offering a roadmap for advancing resilient and adaptive fire safety in diverse urban settings. Full article
Show Figures

Figure 1

13 pages, 972 KB  
Article
Including Small Fires in Global Historical Burned Area Products: Promising Results from a Landsat-Based Product
by Davide Fornacca, Yuhan Ye, Xiaokang Li and Wen Xiao
Fire 2025, 8(11), 422; https://doi.org/10.3390/fire8110422 - 30 Oct 2025
Viewed by 820
Abstract
State-of-the-art historical global burned area (BA) products largely rely on MODIS data, offering long temporal coverage but limited spatial resolution. As a result, small fires and complex landscapes remain underrepresented in global fire history reconstructions. By contrast, Landsat provides the only continuous satellite [...] Read more.
State-of-the-art historical global burned area (BA) products largely rely on MODIS data, offering long temporal coverage but limited spatial resolution. As a result, small fires and complex landscapes remain underrepresented in global fire history reconstructions. By contrast, Landsat provides the only continuous satellite record extending back to the 1980s, with substantially finer resolution. However, its use at a global scale has long been hindered by infrequent revisit times, cloud contamination, massive data volumes, and processing demands. We compared MODIS FireCCI51 with the only existing Landsat-based global product, GABAM, in a mountainous region characterized by frequent, small-scale fires. GABAM detected a higher number of burn scars, including small events, with higher Producer’s Accuracy (0.68 vs. 0.08) and similar User’s Accuracy (0.85 vs. 0.83). These results emphasize the value of Landsat for reconstructing past fire regimes in complex landscapes. Crucially, recent advances in cloud computing, data cubes, and processing pipelines now remove many of the former barriers to exploiting the Landsat archive globally. A more systematic integration of Landsat data into MODIS-based routines may help produce more complete and accurate databases of historical fire activity, ultimately enabling improved understanding of long-term global fire dynamics. Full article
Show Figures

Figure 1

18 pages, 1154 KB  
Article
Explainable AI-Driven Wildfire Prediction in Australia: SHAP and Feature Importance to Identify Environmental Drivers in the Age of Climate Change
by Zina Abohaia, Abeer Elkhouly, May El Barachi and Obada Al-Khatib
Fire 2025, 8(11), 421; https://doi.org/10.3390/fire8110421 - 30 Oct 2025
Viewed by 910
Abstract
This study develops an explainable machine learning framework for wildfire prediction across Australia, integrating region-specific models and feature attribution to identify key environmental drivers. Three wildfire indicators, Estimated Fire Area (FA), Mean Fire Brightness Temperature (FBT), and Fire Radiative Power (FRP), were modeled [...] Read more.
This study develops an explainable machine learning framework for wildfire prediction across Australia, integrating region-specific models and feature attribution to identify key environmental drivers. Three wildfire indicators, Estimated Fire Area (FA), Mean Fire Brightness Temperature (FBT), and Fire Radiative Power (FRP), were modeled using Lasso, Random Forest, LightGBM, and XGBoost. Performance metrics (RMSEC, RMSECV, RMSEP) confirmed strong calibration and generalization, with Tasmania and Queensland achieving the lowest prediction errors for FA and FRP, respectively. Feature importance and SHAP analyses revealed that soil moisture, solar radiation, precipitation, and humidity variability are dominant predictors. Extremes and variance-based measures proved more influential than mean climatic values, indicating that fire dynamics respond non-linearly to environmental fluctuations. Lasso models captured stable linear dependencies in arid regions, while ensemble models effectively represented complex interactions in tropical climates. The results highlight a hierarchical process where cumulative soil and radiation stress establish fire potential, and short-term meteorological variability drives ignition and spread. Projected climate shifts, declining soil water and increased radiative load, are likely to intensify these drivers. The framework supports interpretable, region-specific mitigation planning and paves the way for incorporating generative AI and multi-source data fusion to enhance real-time wildfire forecasting. Full article
Show Figures

Graphical abstract

Previous Issue
Next Issue
Back to TopTop