Spatiotemporal Dynamics of Active Fire in China (2003–2024): Regional Patterns and Land Cover Associations
Abstract
1. Introduction
2. Study Area, Data and Methods
2.1. Study Area
2.2. Data
2.2.1. MODIS Active Fire Datasets
2.2.2. MODIS Land Cover Products
2.2.3. Meteorological Data
2.3. Methods
2.3.1. Mann-Kendall Test
2.3.2. Trend Analysis Using the Theil-Sen Estimator
2.3.3. Spatiotemporal Analysis Framework to Characterize Fire Dynamics
3. Results
3.1. Spatiotemporal Distribution of Active Fire Across Regions
3.2. Spatiotemporal Distribution of Active Fires Across Land Cover Types
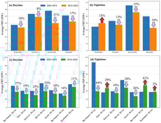
3.3. Spatiotemporal Dynamics of Fire Radiative Power in China
4. Discussion
4.1. The Dominant Role of Policy and Its Regional Heterogeneity
4.2. Land Cover Specificity and the Phenomenon of Temporal Displacement
4.3. Implications for Fire Management and Climate Adaptation
4.4. Limitations and Future Research
5. Conclusions
Supplementary Materials
Author Contributions
Funding
Data Availability Statement
Acknowledgments
Conflicts of Interest
References
- Zhao, J.; Ciais, P.; Chevallier, F.; Canadell, J.G.; van der Velde, I.R.; Chuvieco, E.; Chen, Y.; Zhang, Q.; He, K.; Zheng, B. Enhanced CH4 emissions from global wildfires likely due to undetected small fires. Nat. Commun. 2025, 16, 804. [Google Scholar] [CrossRef]
- Yu, Y.; Ginoux, P. Enhanced dust emission following large wildfires due to vegetation disturbance. Nat. Geosci. 2022, 15, 878–884. [Google Scholar] [CrossRef]
- de Souza Maria, L.; Rossi, F.S.; da Costa, L.M.; Campos, M.O.; Blas, J.C.G.; Panosso, A.R.; Silva, J.L.D.; da Silva Junior, C.A.; La Scala, N., Jr. Spatiotemporal analysis of atmospheric XCH4 as related to fires in the Amazon biome during 2015–2020. Remote Sens. Appl. Soc. Environ. 2023, 30, 100967. [Google Scholar] [CrossRef]
- Zhang, G.; Zhang, L.; Li, X.; Feng, X.; Wang, Y.; Guo, J.; Li, P.; Wei, X. Spatiotemporal evolution characteristics and driving mechanisms of wildfires in China under the context of climate change and human activities. Ecol. Indic. 2025, 176, 113694. [Google Scholar] [CrossRef]
- Xiang, M.; Xiao, C.; Feng, Z.; Ma, Q. Global distribution, trends and types of active fire occurrences. Sci. Total Environ. 2023, 902, 166456. [Google Scholar] [CrossRef]
- Chen, J.; Li, C.; Ristovski, Z.; Milic, A.; Gu, Y.; Islam, M.S.; Wang, S.; Hao, J.; Zhang, H.; He, C.; et al. A review of biomass burning: Emissions and impacts on air quality, health and climate in China. Sci. Total Environ. 2017, 579, 1000–1034. [Google Scholar] [CrossRef]
- Li, Y.; Zhao, J.; Guo, X.; Zhang, Z.; Tan, G.; Yang, J. The Influence of Land Use on the Grassland Fire Occurrence in the Northeastern Inner Mongolia Autonomous Region, China. Sensors 2017, 17, 437. [Google Scholar] [CrossRef]
- Li, W.; Li, P.; Feng, Z. Delineating Fire-Hazardous Areas and Fire-Induced Patterns Based on Visible Infrared Imaging Radiometer Suite (VIIRS) Active Fires in Northeast China. Remote Sens. 2022, 14, 5115. [Google Scholar] [CrossRef]
- Ke, H.; Gong, S.; He, J.; Zhou, C.; Zhang, L.; Zhou, Y. Spatial and temporal distribution of open bio-mass burning in China from 2013 to 2017. Atmos. Environ. 2019, 210, 156–165. [Google Scholar] [CrossRef]
- Huang, L.; Zhu, Y.; Wang, Q.; Zhu, A.; Liu, Z.; Wang, Y.; Allen, D.T.; Li, L. Assessment of the effects of straw burning bans in China: Emissions, air quality, and health impacts. Sci. Total Environ. 2021, 789, 147935. [Google Scholar] [CrossRef]
- Cheng, Z.; Wang, S.; Fu, X.; Watson, J.G.; Jiang, J.; Fu, Q.; Chen, C.; Xu, B.; Yu, J.; Chow, J.C.; et al. Impact of biomass burning on haze pollution in the Yangtze River delta, China: A case study in summer 2011. Atmos. Chem. Phys. 2014, 14, 4573–4585. [Google Scholar] [CrossRef]
- Hua, W.; Zhou, L.; Jiang, Y.; Zhou, L.; Xu, X.; Chen, H. Changes in fire-season burned area in northeastern China regulated by tropical North Atlantic variability. Environ. Res. Lett. 2024, 19, 124086. [Google Scholar] [CrossRef]
- Cui, S.; Song, Z.; Zhang, L.; Shen, Z.; Hough, R.; Zhang, Z.; An, L.; Fu, Q.; Zhao, Y.; Jia, Z. Spatial and temporal variations of open straw burning based on fire spots in northeast China from 2013 to 2017. Atmos. Environ. 2021, 244, 117962. [Google Scholar] [CrossRef]
- Liu, T.; He, G.; Lau, A.K.H. Statistical evidence on the impact of agricultural straw burning on urban air quality in China. Sci. Total Environ. 2020, 711, 134633. [Google Scholar] [CrossRef]
- Guo, F.; Su, Z.; Wang, G.; Sun, L.; Lin, F.; Liu, A. Wildfire ignition in the forests of southeast China: Identifying drivers and spatial distribution to predict wildfire likelihood. Appl. Geogr. 2016, 66, 12–21. [Google Scholar] [CrossRef]
- Wu, Z.; He, H.S.; Yang, J.; Liang, Y. Defining fire environment zones in the boreal forests of northeastern China. Sci. Total Environ. 2015, 518–519, 106–116. [Google Scholar] [CrossRef] [PubMed]
- Guo, F.; Innes, J.L.; Wang, G.; Ma, X.; Sun, L.; Hu, H.; Su, Z. Historic distribution and driving factors of human-caused fires in the Chinese boreal forest between 1972 and 2005. J. Plant Ecol. 2015, 8, 480–490. [Google Scholar] [CrossRef]
- Ying, L.; Cheng, H.; Shen, Z.; Guan, P.; Luo, C.; Peng, X. Relative humidity and agricultural activities dominate wildfire ignitions in Yunnan, Southwest China: Patterns, thresholds, and implications. Agric. For. Meteorol. 2021, 307, 108540. [Google Scholar] [CrossRef]
- Dong, B.; Li, H.; Xu, J.; Han, C.; Zhao, S. Spatiotemporal Analysis of Forest Fires in China from 2012 to 2021 Based on Visible Infrared Imaging Radiometer Suite (VIIRS) Active Fires. Sustainability 2023, 15, 9532. [Google Scholar] [CrossRef]
- Tian, X.; Zhao, F.; Shu, L.; Wang, M. Distribution characteristics and the influence factors of forest fires in China. For. Ecol. Manag. 2013, 310, 460–467. [Google Scholar] [CrossRef]
- Zong, X.; Tian, X.; Liu, J. A Fire Regime Zoning System for China. Front. For. Glob. Change 2021, 4, 717499. [Google Scholar] [CrossRef]
- Fang, K.; Yao, Q.; Guo, Z.; Zheng, B.; Du, J.; Qi, F.; Yan, P.; Li, J.; Ou, T.; Liu, J.; et al. ENSO modulates wildfire activity in China. Nat. Commun. 2021, 12, 1764. [Google Scholar] [CrossRef]
- Zhao, H.; Zhang, Z.; Ying, H.; Chen, J.; Zhen, S.; Wang, X.; Shan, Y. The spatial patterns of climate-fire relationships on the Mongolian Plateau. Agric. For. Meteorol. 2021, 308–309, 108549. [Google Scholar] [CrossRef]
- Kale, M.P.; Ramachandran, R.M.; Pardeshi, S.N.; Chavan, M.; Joshi, P.K.; Pai, D.S.; Bhavani, P.; Ashok, K.; Roy, P.S. Are Climate Extremities Changing Forest Fire Regimes in India? An Analysis Using MODIS Fire Locations During 2003–2013 and Gridded Climate Data of India Meteorological Department. Proc. Natl. Acad. Sci. India Sect. A Phys. Sci. 2017, 87, 827–843. [Google Scholar] [CrossRef]
- Liu, G.; Li, J.; Ying, T.; Su, H.; Huang, X.; Yu, Y. Increasing Fire Weather Potential Over Northeast China Linked to Declining Bering Sea Ice. Geophys. Res. Lett. 2023, 50, e2023GL105931. [Google Scholar] [CrossRef]
- Xiong, Q.; Luo, X.; Liang, P.; Xiao, Y.; Xiao, Q.; Sun, H.; Pan, K.; Wang, L.; Li, L.; Pang, X. Fire from policy, human interventions, or biophysical factors? Temporal–spatial patterns of forest fire in southwestern China. For. Ecol. Manag. 2020, 474, 118381. [Google Scholar] [CrossRef]
- Wei, X.; Wang, G.; Chen, T.; Hagan, D.F.; Ullah, W. A Spatio-Temporal Analysis of Active Fires over China during 2003–2016. Remote Sens. 2020, 12, 1787. [Google Scholar] [CrossRef]
- Lian, C.; Xiao, C.; Feng, Z. Spatiotemporal Characteristics and Regional Variations of Active Fires in China since 2001. Remote Sens. 2023, 15, 54. [Google Scholar] [CrossRef]
- Sun, L.; Yang, L.; Xia, X.; Wang, D.; Zhang, T. Climatological Aspects of Active Fires in Northeastern China and Their Relationship to Land Cover. Remote Sens. 2022, 14, 2316. [Google Scholar] [CrossRef]
- Guo, M.; Yao, Q.; Suo, H.; Xu, X.; Li, J.; He, H.; Yin, S.; Li, J. The importance degree of weather elements in driving wildfire occurrence in mainland China. Ecol. Indic. 2023, 148, 110152. [Google Scholar] [CrossRef]
- Lian, C.; Li, P.; Feng, Z. Accelerated reduction in China’s cropland fires against the background of policy enhancement. Environ. Impact Assess. Rev. 2024, 106, 107512. [Google Scholar] [CrossRef]
- Zhang, L.; Li, X.; Liu, X.; Lian, Z.; Zhang, G.; Liu, Z.; An, S.; Ren, Y.; Li, Y.; Liu, S. Dynamic monitoring and drivers of ecological environmental quality in the Three-North region, China: Insights based on remote sensing ecological index. Ecol. Inform. 2025, 85, 102936. [Google Scholar] [CrossRef]
- Ichoku, C.; Giglio, L.; Wooster, M.J.; Remer, L.A. Global characterization of biomass-burning patterns using satellite measurements of fire radiative energy. Remote Sens. Environ. 2008, 112, 2950–2962. [Google Scholar] [CrossRef]
- Justice, C.O.; Giglio, L.; Korontzi, S.; Owens, J.; Morisette, J.T.; Roy, D.; Descloitres, J.; Alleaume, S.; Petitcolin, F.; Kaufman, Y. The MODIS fire products. Remote Sens. Environ. 2002, 83, 244–262. [Google Scholar] [CrossRef]
- Giglio, L.; Schroeder, W.; Justice, C.O. The collection 6 MODIS active fire detection algorithm and fire products. Remote Sens. Environ. 2016, 178, 31–41. [Google Scholar] [CrossRef] [PubMed]
- Vadrevu, K.; Lasko, K. Intercomparison of MODIS AQUA and VIIRS I-Band Fires and Emissions in an Agricultural Landscape—Implications for Air Pollution Research. Remote Sens. 2018, 10, 978. [Google Scholar] [CrossRef]
- Xiao, C.; Feng, Z.; Li, P. Active fires show an increasing elevation trend in the tropical highlands. Glob. Change Biol. 2022, 28, 2790–2803. [Google Scholar] [CrossRef] [PubMed]
- Mark Friedl, D.S.-M. MODIS/Terra+Aqua Land Cover Type Yearly L3 Global 500m SIN Grid V061; NASA Land Processes Distributed Active Archive Center: Sioux Falls, SD, USA, 2022. [CrossRef]
- Sulla-Menashe, D.; Gray, J.M.; Abercrombie, S.P.; Friedl, M.A. Hierarchical mapping of annual global land cover 2001 to present: The MODIS Collection 6 Land Cover product. Remote Sens. Environ. 2019, 222, 183–194. [Google Scholar] [CrossRef]
- Liu, P.; Pei, J.; Guo, H.; Tian, H.; Fang, H.; Wang, L. Evaluating the Accuracy and Spatial Agreement of Five Global Land Cover Datasets in the Ecologically Vulnerable South China Karst. Remote Sens. 2022, 14, 3090. [Google Scholar] [CrossRef]
- Wang, H.; Wen, X.; Wang, Y.; Cai, L.; Peng, D.; Liu, Y. China’s Land Cover Fraction Change during 2001–2015 Based on Remote Sensed Data Fusion between MCD12 and CCI-LC. Remote Sens. 2021, 13, 341. [Google Scholar] [CrossRef]
- Li, P.; Wang, Y.; Wang, C.; Tian, L.; Lin, M.; Xu, S.; Zhu, C. A Comparison of Recent Global Time-Series Land Cover Products. Remote Sens. 2025, 17, 1417. [Google Scholar] [CrossRef]
- Hersbach, H.; Bell, B.; Berrisford, P.; Hirahara, S.; Horányi, A.; Muñoz-Sabater, J.; Nicolas, J.; Peubey, C.; Radu, R.; Schepers, D.; et al. The ERA5 global reanalysis. Q. J. R. Meteorol. Soc. 2020, 146, 1999–2049. [Google Scholar] [CrossRef]
- Gao, H.; Jin, J. Analysis of Water Yield Changes from 1981 to 2018 Using an Improved Mann-Kendall Test. Remote Sens. 2022, 14, 2009. [Google Scholar] [CrossRef]
- Theil, H. A Rank-Invariant Method of Linear and Polynomial Regression Analysis. In Henri Theil’s Contributions to Economics and Econometrics: Econometric Theory and Methodology; Raj, B., Koerts, J., Eds.; Springer: Dordrecht, The Netherlands, 1992; pp. 345–381. [Google Scholar]
- Sen, P.K. Estimates of the Regression Coefficient Based on Kendall’s Tau. J. Am. Stat. Assoc. 1968, 63, 1379–1389. [Google Scholar] [CrossRef]
- Pan, J.; Wu, X.; Zhou, L.; Wei, S. Spatial and Temporal Distribution Characteristics of Active Fires in China Using Remotely Sensed Data. Fire 2022, 5, 200. [Google Scholar] [CrossRef]
- World Meteorological Organization (WMO). State of the Global Climate 2024 (WMO-No. 1368); WMO: Geneva, Switzerland, 2025. [Google Scholar]
- Wang, S.; Yin, C.; Li, F.; Richel, A. Innovative incentives can sustainably enhance the achievement of straw burning control in China. Sci. Total Environ. 2023, 857, 159498. [Google Scholar] [CrossRef]
- Zhu, Z.; Zhang, Z.; Zhao, X.; Zuo, L.; Wang, X. Characteristics of Land Use Change in China before and after 2000. Sustainability 2022, 14, 14623. [Google Scholar] [CrossRef]
- Pausas, J.G.; Ribeiro, E. The global fire–productivity relationship. Glob. Ecol. Biogeogr. 2013, 22, 728–736. [Google Scholar] [CrossRef]
- van der Werf, G.R.; Randerson, J.T.; Giglio, L.; Gobron, N.; Dolman, A.J. Climate controls on the variability of fires in the tropics and subtropics. Glob. Biogeochem. Cycles 2008, 22, GB3028. [Google Scholar] [CrossRef]
- Hayes, J.P. Fire Suppression and the Wildfire Paradox in Contemporary China: Policies, Resilience, and Effects in Chinese Fire Regimes. Hum. Ecol. 2021, 49, 19–32. [Google Scholar] [CrossRef]
- Chen, J.; Di, X.-Y. Forest fire prevention management legal regime between China and the United States. J. For. Res. 2015, 26, 447–455. [Google Scholar] [CrossRef]
- Shang, Y.; Pei, Y.; Fu, P.; Ren, C.; Li, Z.; Ren, J.; Zheng, X.; Di, Y.; Zhou, Y.; Dong, J. Increased corn cultivation exacerbated crop residue burning in Northeast China in the 21st century. Geogr. Sustain. 2025, 6, 100244. [Google Scholar] [CrossRef]
- Cheng, Y.; Cao, X.-b.; Liu, J.-m.; Yu, Q.-q.; Zhong, Y.-j.; Geng, G.-n.; Zhang, Q.; He, K.-b. New open burning policy reshaped the aerosol characteristics of agricultural fire episodes in Northeast China. Sci. Total Environ. 2022, 810, 152272. [Google Scholar] [CrossRef] [PubMed]
- Wei, W.; Zhang, H.; Zhou, J.; Zhou, L.; Xie, B.; Li, C. Drought monitoring in arid and semi-arid region based on multi-satellite datasets in northwest, China. Environ. Sci. Pollut. Res. 2021, 28, 51556–51574. [Google Scholar] [CrossRef]
- Su, J.; Fan, L.; Yuan, Z.; Wang, Z.; Wang, Z. Quantifying the drought sensitivity of grassland under different climate zones in Northwest China. Sci. Total Environ. 2024, 910, 168688. [Google Scholar] [CrossRef]
- Xu, W.; Zhou, Q.; Ma, W.; Huang, Y. Analysis of the Spatial Distribution Pattern of Grassland Fire Susceptibility and Influencing Factors in Qinghai Province. Appl. Sci. 2025, 15, 3386. [Google Scholar] [CrossRef]
- Han, H.; Lin, H. Patterns of Agricultural Diversification in China and Its Policy Implications for Agricultural Modernization. Int. J. Environ. Res. Public Health 2021, 18, 4978. [Google Scholar] [CrossRef]
- Huang, J.; Yang, J.; Rozelle, S. China’s agriculture: Drivers of change and implications for China and the rest of world. Agric. Econ. 2010, 41, 47–55. [Google Scholar] [CrossRef]
- Pandey, P.; Huidobro, G.; Lopes, L.F.; Ganteaume, A.; Ascoli, D.; Colaco, C.; Xanthopoulos, G.; Giannaros, T.M.; Gazzard, R.; Boustras, G.; et al. A global outlook on increasing wildfire risk: Current policy situation and future pathways. Trees For. People 2023, 14, 100431. [Google Scholar] [CrossRef]
- Li, X.; Duan, T.; Yang, K.; Yang, B.; Wang, C.; Tian, X.; Lu, Q.; Wang, F. Mapping Temperate Savanna in Northeastern China Through Integrating UAV and Satellite Imagery. Sci. Data 2025, 12, 671. [Google Scholar] [CrossRef] [PubMed]












| Name | Value | Class | Name | Value | Class |
|---|---|---|---|---|---|
| Evergreen Needleleaf Forests | 1 | Forests | Grasslands | 10 | Grasslands |
| Evergreen Broadleaf Forests | 2 | Forests | Permanent Wetlands | 11 | Others |
| Deciduous Needleleaf Forests | 3 | Forests | Croplands | 12 | Croplands |
| Deciduous Broadleaf Forests | 4 | Forests | Urban and Built-up Lands | 13 | Others |
| Mixed Forests | 5 | Forests | Cropland/Natural Vegetation Mosaics | 14 | Croplands |
| Closed Shrublands | 6 | Forests | Permanent Snow and Ice | 15 | Others |
| Open Shrublands | 7 | Forests | Barren | 16 | Others |
| Woody Savannas | 8 | Savannas | Water Bodies | 17 | Others |
| Savannas | 9 | Savannas | Unclassified | 255 | Others |
Disclaimer/Publisher’s Note: The statements, opinions and data contained in all publications are solely those of the individual author(s) and contributor(s) and not of MDPI and/or the editor(s). MDPI and/or the editor(s) disclaim responsibility for any injury to people or property resulting from any ideas, methods, instructions or products referred to in the content. |
© 2025 by the authors. Licensee MDPI, Basel, Switzerland. This article is an open access article distributed under the terms and conditions of the Creative Commons Attribution (CC BY) license (https://creativecommons.org/licenses/by/4.0/).
Share and Cite
Wang, W.; Wang, C. Spatiotemporal Dynamics of Active Fire in China (2003–2024): Regional Patterns and Land Cover Associations. Fire 2025, 8, 445. https://doi.org/10.3390/fire8110445
Wang W, Wang C. Spatiotemporal Dynamics of Active Fire in China (2003–2024): Regional Patterns and Land Cover Associations. Fire. 2025; 8(11):445. https://doi.org/10.3390/fire8110445
Chicago/Turabian StyleWang, Wannan, and Chunjiao Wang. 2025. "Spatiotemporal Dynamics of Active Fire in China (2003–2024): Regional Patterns and Land Cover Associations" Fire 8, no. 11: 445. https://doi.org/10.3390/fire8110445
APA StyleWang, W., & Wang, C. (2025). Spatiotemporal Dynamics of Active Fire in China (2003–2024): Regional Patterns and Land Cover Associations. Fire, 8(11), 445. https://doi.org/10.3390/fire8110445

