Previous Issue
Volume 15, January-1
error_outline You can access the new MDPI.com website here. Explore and share your feedback with us.
 
 
electronics-logo

Journal Browser

Journal Browser

Electronics, Volume 15, Issue 2 (January-2 2026) – 39 articles

  • Issues are regarded as officially published after their release is announced to the table of contents alert mailing list.
  • You may sign up for e-mail alerts to receive table of contents of newly released issues.
  • PDF is the official format for papers published in both, html and pdf forms. To view the papers in pdf format, click on the "PDF Full-text" link, and use the free Adobe Reader to open them.
Order results
Result details
Section
Select all
Export citation of selected articles as:
31 pages, 13729 KB  
Article
Stage-Wise SOH Prediction Using an Improved Random Forest Regression Algorithm
by Wei Xiao, Jun Jia, Wensheng Gao, Haibo Li, Hong Xu, Weidong Zhong and Ke He
Electronics 2026, 15(2), 287; https://doi.org/10.3390/electronics15020287 (registering DOI) - 8 Jan 2026
Abstract
In complex energy storage operating scenarios, batteries seldom undergo complete charge–discharge cycles required for periodic capacity calibration. Methods based on accelerated aging experiments can indicate possible aging paths; however, due to uncertainties like changing operating conditions, environmental variations, and manufacturing inconsistencies, the degradation [...] Read more.
In complex energy storage operating scenarios, batteries seldom undergo complete charge–discharge cycles required for periodic capacity calibration. Methods based on accelerated aging experiments can indicate possible aging paths; however, due to uncertainties like changing operating conditions, environmental variations, and manufacturing inconsistencies, the degradation information obtained from such experiments may not be applicable to the entire lifecycle. To address this, we developed a stage-wise state-of-health (SOH) prediction approach that combined offline training with online updating. During the offline training phase, multiple single-cell experiments were conducted under various combinations of depth of discharge (DOD) and C-rate. Multi-dimensional health features (HFs) were extracted, and an accelerated aging probability pAA was defined. Based on the correlation statistics between HFs, kHF, the SOH, and pAA, all cells in the dataset were divided into general early, middle, and late aging stages. For each stage, cells were further classified by their longevity (long, medium, and short), and multiple models were trained offline for each category. The results show that models trained on cells following similar aging paths achieve significantly better performance than a model trained on all data combined. Meanwhile, HF optimization was performed via a three-step process: an initial screening based on expert knowledge, a second screening using Spearman correlation coefficients, and an automatic feature importance ranking using a random forest regression (RFR) model. The proposed method is innovative in the following ways: (1) The stage-wise multi-model strategy significantly improves the SOH prediction accuracy across the entire lifecycle, maintaining the mean absolute percentage error (MAPE) within 1%. (2) The improved model provides uncertainty quantification, issuing a warning signal at least 50 cycles before the onset of accelerated aging. (3) The analysis of feature importance from the model outputs allows the indirect identification of the primary aging mechanisms at different stages. (4) The model is robust against missing or low-quality HFs. If certain features cannot be obtained or are of poor quality, the prediction process does not fail. Full article
Show Figures

Figure 1

29 pages, 1917 KB  
Article
Research on Three-Dimensional Simulation Technology Based on an Improved RRT Algorithm
by Nan Zhang, Yang Luan, Chengkun Li, Weizhou Xu, Fengju Zhu, Chao Ye and Nianxia Han
Electronics 2026, 15(2), 286; https://doi.org/10.3390/electronics15020286 (registering DOI) - 8 Jan 2026
Abstract
As urban power grids grow increasingly complex and underground space resources become increasingly scarce, traditional two-dimensional cable design methods face significant challenges in spatial representation accuracy and design efficiency. This study proposes an automated cable path planning method based on an improved Rapidly [...] Read more.
As urban power grids grow increasingly complex and underground space resources become increasingly scarce, traditional two-dimensional cable design methods face significant challenges in spatial representation accuracy and design efficiency. This study proposes an automated cable path planning method based on an improved Rapidly exploring Random Tree (RRT) algorithm. This framework first introduces an enhanced RRT algorithm (referred to as ABS-RRT) that integrates adaptive stride, target-biased sampling, and Soft Actor-Critic reinforcement learning. This algorithm automates the planning of serpentine cable laying paths in confined environments such as cable tunnels and manholes. Subsequently, through trajectory simplification and smoothing optimization, it generates final paths that are safe, smooth, and compliant with engineering specifications. Simulation validation on a typical cable tunnel project in a city’s core area demonstrates that compared to the traditional RRT algorithm, this approach reduces path planning time by over 57%, decreases path length by 8.1%, and lowers the number of nodes by 52%. These results validate the algorithm’s broad application potential in complex urban power grid projects. Full article
(This article belongs to the Special Issue Planning, Scheduling and Control of Grids with Renewables)
22 pages, 13243 KB  
Article
Automatic Toilet Seat-Cleaning System: Design and Implementation
by Geunho Lee, Kazuki Takeshita, Kosei Shiinoki, Kota Okabe and Taeho Jung
Electronics 2026, 15(2), 285; https://doi.org/10.3390/electronics15020285 - 8 Jan 2026
Abstract
During the Coronavirus Disease 2019 (COVID-19) pandemic, global awareness of infectious diseases increased markedly. Many infectious diseases are transmitted through direct or indirect contact with biological fluids containing pathogens such as viruses and bacteria. This risk is particularly pronounced in environments used by [...] Read more.
During the Coronavirus Disease 2019 (COVID-19) pandemic, global awareness of infectious diseases increased markedly. Many infectious diseases are transmitted through direct or indirect contact with biological fluids containing pathogens such as viruses and bacteria. This risk is particularly pronounced in environments used by large numbers of unspecified individuals. Public restrooms, therefore, raise significant hygienic concerns, as toilet seats may serve as vectors for indirect transmission. To mitigate this risk, this study proposes a novel toilet seat equipped with an automatic cleaning function. Specifically, after use, the seat surface is automatically wiped by a cleaning cloth, eliminating the need for manual cleaning by staff. A fundamental operational concept is established, emphasizing the determination of an appropriate cleaning initiation timing that allows the cleaning sequence to be completed without compromising user convenience. Based on this concept, a belt–pulley type prototype is developed, and the effectiveness of the proposed cleaning sequence is verified. Subsequently, the prototype is further improved through the introduction of a flexible-rack mechanism. The control methodology, including the design of the electronic circuitry, is described in detail. Using the improved prototype, extensive simulations and experimental evaluations were conducted. The results showed that battery capacity declined at an approximately constant rate of 3% per 10 cycles, with about 70% remaining after 100 cycles. In addition, a single reciprocating cleaning cycle removed over 95% of artificially applied stains across the entire toilet seat. Additional evaluation results are presented in detail. Full article
32 pages, 1010 KB  
Article
A Quantum OFDM Framework for Next-Generation Video Transmission over Noisy Channels
by Udara Jayasinghe and Anil Fernando
Electronics 2026, 15(2), 284; https://doi.org/10.3390/electronics15020284 - 8 Jan 2026
Abstract
Quantum communication presents new opportunities for overcoming the limitations of classical wireless systems, particularly those associated with noise, fading, and interference. Building upon the principles of classical orthogonal frequency division multi-plexing (OFDM), this work proposes a quantum OFDM architecture tailored for video transmission. [...] Read more.
Quantum communication presents new opportunities for overcoming the limitations of classical wireless systems, particularly those associated with noise, fading, and interference. Building upon the principles of classical orthogonal frequency division multi-plexing (OFDM), this work proposes a quantum OFDM architecture tailored for video transmission. In the proposed system, video sequences are first compressed using the versatile video coding (VVC) standard with different group of pictures (GOP) sizes. Each GOP size is processed through a channel encoder and mapped to multi-qubit states with various qubit configurations. The quantum-encoded data is converted from serial-to-parallel form and passed through the quantum Fourier transform (QFT) to generate mutually orthogonal quantum subcarriers. Following reserialization, a cyclic prefix is appended to mitigate inter-symbol interference within the quantum channel. At the receiver, the cyclic prefix is removed, and the signal is restored to parallel before the inverse QFT (IQFT) recovers the original quantum subcarriers. Quantum decoding, classical channel decoding, and VVC reconstruction are then employed to recover the videos. Experimental evaluations across different GOP sizes and channel conditions demonstrate that quantum OFDM provides superior resilience to channel noise and improved perceptual quality compared to classical OFDM, achieving peak signal-to-noise ratio (PSNR) up to 47.60 dB, structural similarity index measure (SSIM) up to 0.9987, and video multi-method assessment fusion (VMAF) up to 96.40. Notably, the eight-qubit encoding scheme consistently achieves the highest SNR gains across all channels, underscoring the potential of quantum OFDM as a foundation for future high-quality video transmission. Full article
Show Figures

Figure 1

40 pages, 3330 KB  
Review
EMC-Friendly Gate Driver Design in GaN-Based DC-DC Converters for Automotive Electronics: A Review
by Xinyu Wu, Li Zhang, Haitao You, Shizeng Zhang, Dimitar Nikolov and Qiang Cui
Electronics 2026, 15(2), 283; https://doi.org/10.3390/electronics15020283 - 8 Jan 2026
Abstract
The imperative for EMC-optimized gate drivers in Gallium Nitride (GaN)-based automotive DC-DC converters stems from the stringent CISPR 25 standards and GaN’s intrinsic high-speed switching characteristics, which paradoxically exacerbate electromagnetic interference (EMI). This review distinguishes itself by proposing a novel frequency-domain classification framework [...] Read more.
The imperative for EMC-optimized gate drivers in Gallium Nitride (GaN)-based automotive DC-DC converters stems from the stringent CISPR 25 standards and GaN’s intrinsic high-speed switching characteristics, which paradoxically exacerbate electromagnetic interference (EMI). This review distinguishes itself by proposing a novel frequency-domain classification framework (Zone I: <50 MHz for conducted harmonics; Zone II: >50 MHz for switching noise and ringing), which systematically organizes and assesses gate driving techniques against the triad of fundamental GaN EMC challenges: pronounced capacitance nonlinearity, low threshold voltage, and extreme parasitic sensitivity. Unlike prior surveys that primarily catalog techniques, the analysis elevates the gate driver from a simple switch interface to the central “electromagnetic actuator” of the power stage, explicitly elucidating its pivotal role in mediating the critical trade-offs among switching speed, loss, and EMC performance. A comprehensive evaluation and comparison of advanced techniques—from spread-spectrum modulation for Zone I to adaptive current shaping and resonant topologies for Zone II—are provided, alongside an analysis of their design trade-offs. Furthermore, this review presents a first-of-its-kind, phased implementation roadmap towards holistic EMC compliance, integrating intelligent hybrid control, heterogeneous integration, and system-level co-design. This review bridges the gap between device physics and system engineering, offering structured design methodologies and a clear future direction for achieving electromagnetic integrity in next-generation automotive power electronics. Full article
Show Figures

Figure 1

24 pages, 3204 KB  
Article
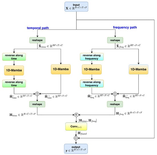
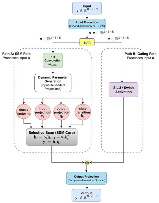
AMUSE++: A Mamba-Enhanced Speech Enhancement Framework with Bi-Directional and Advanced Front-End Modeling
by Tsung-Jung Li, Berlin Chen and Jeih-Weih Hung
Electronics 2026, 15(2), 282; https://doi.org/10.3390/electronics15020282 - 8 Jan 2026
Abstract
This study presents AMUSE++, an advanced speech enhancement framework that extends the MUSE++ model by redesigning its core Mamba module with two major improvements. First, the originally unidirectional one-dimensional (1D) Mamba is transformed into a bi-directional architecture to capture temporal dependencies more effectively. [...] Read more.
This study presents AMUSE++, an advanced speech enhancement framework that extends the MUSE++ model by redesigning its core Mamba module with two major improvements. First, the originally unidirectional one-dimensional (1D) Mamba is transformed into a bi-directional architecture to capture temporal dependencies more effectively. Second, this module is extended to a two-dimensional (2D) structure that jointly models both time and frequency dimensions, capturing richer speech features essential for enhancement tasks. In addition to these structural changes, we propose a Preliminary Denoising Module (PDM) as an advanced front-end, which is composed of multiple cascaded 2D bi-directional Mamba Blocks designed to preprocess and denoise input speech features before the main enhancement stage. Extensive experiments on the VoiceBank+DEMAND dataset demonstrate that AMUSE++ significantly outperforms both the backbone MUSE++ across a variety of objective speech enhancement metrics, including improvements in perceptual quality and intelligibility. These results confirm that the combination of bi-directionality, two-dimensional modeling, and an enhanced denoising frontend provides a powerful approach for tackling challenging noisy speech scenarios. AMUSE++ thus represents a notable advancement in neural speech enhancement architectures, paving the way for more effective and robust speech enhancement systems in real-world applications. Full article
Show Figures

Figure 1

20 pages, 945 KB  
Article
A Pilot Study on Multilingual Detection of Irregular Migration Discourse on X and Telegram Using Transformer-Based Models
by Dimitrios Taranis, Gerasimos Razis and Ioannis Anagnostopoulos
Electronics 2026, 15(2), 281; https://doi.org/10.3390/electronics15020281 - 8 Jan 2026
Abstract
The rise of Online Social Networks has reshaped global discourse, enabling real-time conversations on complex issues such as irregular migration. Yet the informal, multilingual, and often noisy nature of content on platforms like X (formerly Twitter) and Telegram presents significant challenges for reliable [...] Read more.
The rise of Online Social Networks has reshaped global discourse, enabling real-time conversations on complex issues such as irregular migration. Yet the informal, multilingual, and often noisy nature of content on platforms like X (formerly Twitter) and Telegram presents significant challenges for reliable automated analysis. This study presents an exploratory multilingual natural language processing (NLP) framework for detecting irregular migration discourse across five languages. Conceived as a pilot study addressing extreme data scarcity in sensitive migration contexts, this work evaluates transformer-based models on a curated multilingual corpus. It provides an initial baseline for monitoring informal migration narratives on X and Telegram. We evaluate a broad range of approaches, including traditional machine learning classifiers, SetFit sentence-embedding models, fine-tuned multilingual BERT (mBERT) transformers, and a Large Language Model (GPT-4o). The results show that GPT-4o achieves the highest performance overall (F1-score: 0.84), with scores reaching 0.89 in French and 0.88 in Greek. While mBERT excels in English, SetFit outperforms mBERT in low-resource settings, specifically in Arabic (0.79 vs. 0.70) and Greek (0.88 vs. 0.81). The findings highlight the effectiveness of transformer-based and large-language-model approaches, particularly in low-resource or linguistically heterogeneous environments. Overall, the proposed framework provides an initial, compact benchmark for multilingual detection of irregular migration discourse under extreme, low-resource conditions. The results should be viewed as exploratory indicators of model behavior on this synthetic, small-scale corpus, not as statistically generalizable evidence or deployment-ready tools. In this context, “multilingual” refers to robustness across different linguistic realizations of identical migration narratives under translation, rather than coverage of organically diverse multilingual public discourse. Full article
(This article belongs to the Special Issue Artificial Intelligence-Driven Emerging Applications)
Show Figures

Figure 1

2 pages, 134 KB  
Correction
Correction: Jiang et al. Properties and Analysis of the Guard Interval in Infinite Impulse Response–Orthogonal Frequency Division Multiplexing Systems. Electronics 2024, 13, 4519
by Mengwan Jiang, Jiehao Luo and Dejin Kong
Electronics 2026, 15(2), 280; https://doi.org/10.3390/electronics15020280 - 8 Jan 2026
Abstract
In the original publication [...] Full article
30 pages, 14221 KB  
Article
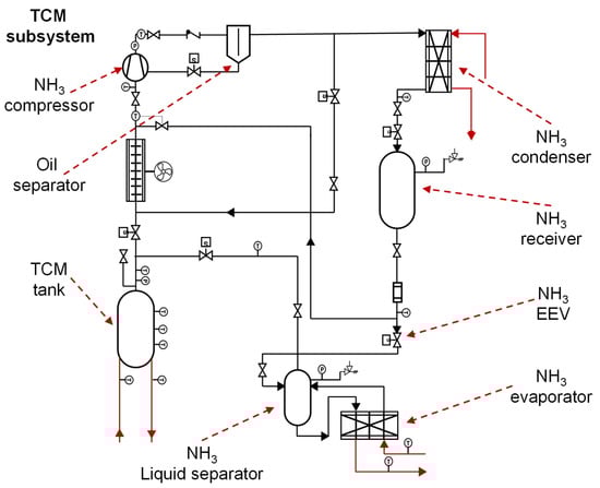
Integrated Control of Hybrid Thermochemical–PCM Storage for Renewable Heating and Cooling Systems in a Smart House
by Georgios Martinopoulos, Paschalis A. Gkaidatzis, Luis Jimeno, Alberto Belda González, Panteleimon Bakalis, George Meramveliotakis, Apostolos Gkountas, Nikolaos Tarsounas, Dimosthenis Ioannidis, Dimitrios Tzovaras and Nikolaos Nikolopoulos
Electronics 2026, 15(2), 279; https://doi.org/10.3390/electronics15020279 - 7 Jan 2026
Abstract
The development of integrated renewable energy and high-density thermal energy storage systems has been fueled by the need for environmentally friendly heating and cooling in buildings. In this paper, MiniStor, a hybrid thermochemical and phase-change material storage system, is presented. It is equipped [...] Read more.
The development of integrated renewable energy and high-density thermal energy storage systems has been fueled by the need for environmentally friendly heating and cooling in buildings. In this paper, MiniStor, a hybrid thermochemical and phase-change material storage system, is presented. It is equipped with a heat pump, advanced electronics-enabled control, photovoltaic–thermal panels, and flat-plate solar collectors. To optimize energy flows, regulate charging and discharging cycles, and maintain operational stability under fluctuating solar irradiance and building loads, the system utilizes state-of-the-art power electronics, variable-frequency drives and modular multi-level converters. The hybrid storage is safely, reliably, and efficiently integrated with building HVAC requirements owing to a multi-layer control architecture that is implemented via Internet of Things and SCADA platforms that allow for real-time monitoring, predictive operation, and fault detection. Data from the MiniStor prototype demonstrate effective thermal–electrical coordination, controlled energy consumption, and high responsiveness to dynamic environmental and demand conditions. The findings highlight the vital role that digital control, modern electronics, and Internet of Things-enabled supervision play in connecting small, high-density thermal storage and renewable energy generation. This strategy demonstrates the promise of electronics-driven integration for next-generation renewable energy solutions and provides a scalable route toward intelligent, robust, and effective building energy systems. Full article
(This article belongs to the Special Issue New Insights in Power Electronics: Prospects and Challenges)
Show Figures

Figure 1

20 pages, 2321 KB  
Article
SQL Statement Generation Enhanced Through the Fusion of Large Language Models and Knowledge Graphs
by Bohan Wang, Xuhong Yu and Xin Zheng
Electronics 2026, 15(2), 278; https://doi.org/10.3390/electronics15020278 - 7 Jan 2026
Abstract
Current mainstream SQL generation approaches remain insufficient in capturing the semantic information of structured data and handling complex query tasks. To address the challenges of hallucination and accuracy degradation in large language model (LLM)-based SQL generation, this paper proposes an enhanced SQL generation [...] Read more.
Current mainstream SQL generation approaches remain insufficient in capturing the semantic information of structured data and handling complex query tasks. To address the challenges of hallucination and accuracy degradation in large language model (LLM)-based SQL generation, this paper proposes an enhanced SQL generation framework that integrates knowledge graphs with large language models. The proposed method introduces an SQL-KG-Verifier module, which synergizes the structured information of knowledge graphs with the generative capabilities of LLMs. By incorporating the verifier, the framework collaboratively refines SQL statements to ensure higher structural consistency, improved accuracy, and enhanced interpretability. Specifically, the verifier employs the entities and relational information retrieved from the knowledge graph as proxies to validate and revise the model outputs, effectively reducing generation errors. Experimental results demonstrate that on the BIRD and Spider datasets, the proposed method achieves execution accuracies of 52.71% and 77.26%, respectively—representing improvements of 19.93 and 21.27 percentage points over baseline models. Moreover, the approach exhibits superior adaptability and generation performance in complex and domain-specific query scenarios. Full article
Show Figures

Figure 1

21 pages, 2765 KB  
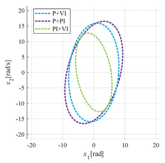
Article
Dynamic Error-Modulated Prescribed Performance Control of a DC–DC Boost Converter Using a Neural Network Disturbance Observer
by Hezhang Feng, Teng Lv and Xinchun Jia
Electronics 2026, 15(2), 277; https://doi.org/10.3390/electronics15020277 - 7 Jan 2026
Abstract
This paper formulates a control framework grounded in prescribed performance control (PPC) and combined with a dynamic error modulation function. The proposed framework addresses the control challenges of DC–DC boost converters under sudden power variations caused by constant power loads (CPLs). A sine [...] Read more.
This paper formulates a control framework grounded in prescribed performance control (PPC) and combined with a dynamic error modulation function. The proposed framework addresses the control challenges of DC–DC boost converters under sudden power variations caused by constant power loads (CPLs). A sine kernel-based prescribed performance function with smoothly decaying characteristics is designed to form a dynamic performance boundary that gradually tightens as the system state evolves. Furthermore, to effectively eliminate the restriction of traditional PPC on the system’s initial state, a time-varying modulation function is introduced. This function dynamically scales the tracking error, thereby improving the system’s adaptability at the initial state. A neural network disturbance observer (NNDO) is employed to approximate and compensate for unknown nonlinearities and external disturbances, thereby enhancing system robustness and adaptability. Consequently, a prescribed performance controller that integrates dynamic error modulation and a dual-channel NNDO is proposed. The proposed controller not only guarantees that the tracking error satisfies the prescribed performance constraints but also avoids the computation of high-order derivatives. Simulation results demonstrate that the proposed method maintains bounded convergence of the tracking error and achieves smooth voltage regulation during CPL variations. The results further exhibit excellent dynamic response and steady-state performance. Full article
(This article belongs to the Special Issue Automatic Control Strategy and Technology in Power Electronics)
Show Figures

Figure 1

23 pages, 1885 KB  
Article
A Fuzzy-Machine Learning Framework for Energy Efficiency Optimization and Smart Transition Analysis in European Economies
by Ionuț Nica, Irina Georgescu and Jani Kinnunen
Electronics 2026, 15(2), 276; https://doi.org/10.3390/electronics15020276 - 7 Jan 2026
Abstract
This study aims to identify and interpret latent energy-economic typologies across European economies and to assess whether their energy transition paths exhibit convergence or persistent structural divergence. To achieve this objective, the paper investigates the energy–economic structure of thirteen European economies between 2000 [...] Read more.
This study aims to identify and interpret latent energy-economic typologies across European economies and to assess whether their energy transition paths exhibit convergence or persistent structural divergence. To achieve this objective, the paper investigates the energy–economic structure of thirteen European economies between 2000 and 2024 using an integrated fuzzy–machine learning framework. Eight indicators related to renewable energy, energy efficiency, emissions, electricity use, digitalization, investment, urbanization and economic development were analyzed to identify structural typologies across countries. Using the Fuzzy C-Means algorithm, four distinct clusters were identified: (i) moderately developed economies with balanced renewable adoption and energy efficiency, (ii) structurally integrated economies with medium energy intensity and stable economic performance, (iii) an emerging economy with persistent structural constraints, and (iv) advanced high-performance economies engaged in accelerated energy transition. To validate the fuzzy classification, Random Forest and XGBoost models were trained based on the same indicators, achieving high predictive accuracy (94% and 92%, respectively). Feature importance analysis reveals that CO2 emissions, energy efficiency and urbanization play the most significant roles in differentiating country profiles. The proposed framework provides a comprehensive approach for understanding energy transition heterogeneity, structural convergence and the drivers shaping the evolution of European energy–economic systems. Full article
(This article belongs to the Special Issue New Trends in Energy Saving, Smart Buildings and Renewable Energy)
Show Figures

Figure 1

23 pages, 1096 KB  
Article
A Reinforcement Learning-Based Optimization Strategy for Noise Budget Management in Homomorphically Encrypted Deep Network Inference
by Chi Zhang, Fenhua Bai, Jinhua Wan and Yu Chen
Electronics 2026, 15(2), 275; https://doi.org/10.3390/electronics15020275 - 7 Jan 2026
Abstract
Homomorphic encryption provides a powerful cryptographic solution for privacy-preserving deep neural network inference, enabling computation on encrypted data. However, the practical application of homomorphic encryption is fundamentally constrained by the noise budget, a core component of homomorphic encryption schemes. The substantial multiplicative depth [...] Read more.
Homomorphic encryption provides a powerful cryptographic solution for privacy-preserving deep neural network inference, enabling computation on encrypted data. However, the practical application of homomorphic encryption is fundamentally constrained by the noise budget, a core component of homomorphic encryption schemes. The substantial multiplicative depth of modern deep neural networks rapidly consumes this budget, necessitating frequent, computationally expensive bootstrapping operations to refresh the noise. This bootstrapping process has emerged as the primary performance bottleneck. Current noise management strategies are predominantly static, triggering bootstrapping at pre-defined, fixed intervals. This approach is sub-optimal for deep, complex architectures, leading to excessive computational overhead and potential accuracy degradation due to cumulative precision loss. To address this challenge, we propose a Deep Network-aware Adaptive Noise-budget Management mechanism, a novel mechanism that formulates noise budget allocation as a sequential decision problem optimized via reinforcement learning. The core of the proposed mechanism comprises two components. First, we construct a layer-aware noise consumption prediction model to accurately estimate the heterogeneous computational costs and noise accumulation across different network layers. Second, we design a Deep Q-Network-driven optimization algorithm. This Deep Q-Network agent is trained to derive a globally optimal policy, dynamically determining the optimal timing and network location for executing bootstrapping operations, based on the real-time output of the noise predictor and the current network state. This approach shifts from a static, pre-defined strategy to an adaptive, globally optimized one. Experimental validation on several typical deep neural network architectures demonstrates that the proposed mechanism significantly outperforms state-of-the-art fixed strategies, markedly reducing redundant bootstrapping overhead while maintaining model performance. Full article
(This article belongs to the Special Issue Security and Privacy in Artificial Intelligence Systems)
18 pages, 964 KB  
Article
Stacked Intelligent Metasurfaces: Key Technologies, Scenario Adaptation, and Future Directions
by Jiayi Liu and Jiacheng Kong
Electronics 2026, 15(2), 274; https://doi.org/10.3390/electronics15020274 - 7 Jan 2026
Abstract
The advent of sixth-generation (6G) imposes stringent demands on wireless networks, while traditional 2D rigid reconfigurable intelligent surfaces (RISs) face bottlenecks in regulatory freedom and scenario adaptability. To address this, stacked intelligent metasurfaces (SIMs) have emerged. This paper presents a systematic review of [...] Read more.
The advent of sixth-generation (6G) imposes stringent demands on wireless networks, while traditional 2D rigid reconfigurable intelligent surfaces (RISs) face bottlenecks in regulatory freedom and scenario adaptability. To address this, stacked intelligent metasurfaces (SIMs) have emerged. This paper presents a systematic review of SIM technology. It first elaborates on the SIM multi-layer stacked architecture and wave-domain signal-processing principles, which overcome the spatial constraints of conventional RISs. Then, it analyzes challenges, including beamforming and channel estimation for SIM, and explores its application prospects in key 6G scenarios such as integrated sensing and communication (ISAC), low earth orbit (LEO) satellite communication, semantic communication, and UAV communication, as well as future trends like integration with machine learning and nonlinear devices. Finally, it summarizes the open challenges in low-complexity design, modeling and optimization, and performance evaluation, aiming to provide insights to promote the large-scale adoption of SIM in next-generation wireless communications. Full article
Show Figures

Figure 1

20 pages, 498 KB  
Article
Defending Against Backdoor Attacks in Federated Learning: A Triple-Phase Client-Side Approach
by Yunran Chen and Boyuan Li
Electronics 2026, 15(2), 273; https://doi.org/10.3390/electronics15020273 - 7 Jan 2026
Abstract
Federated learning effectively addresses the issues of data privacy and communication overhead in traditional deep learning through distributed local training. However, its open architecture is seriously threatened by backdoor attacks, where malicious clients can implant triggers to control the global model. To address [...] Read more.
Federated learning effectively addresses the issues of data privacy and communication overhead in traditional deep learning through distributed local training. However, its open architecture is seriously threatened by backdoor attacks, where malicious clients can implant triggers to control the global model. To address these issues, this paper proposes a novel three-stage defense mechanism based on local clients. First, through text readability analysis, each client’s local data is independently evaluated to construct a global scoring distribution model, and a dynamic threshold is used to precisely locate and remove suspicious samples with low readability. Second, frequency analysis and perturbation are performed on the remaining data to identify and disrupt triggers based on specific words while preserving the basic semantics of the text. Third, n-gram distribution analysis is employed to detect and remove samples containing abnormally high-frequency word sequences, which may correspond to complex backdoor attack patterns. Experimental results show that this method can effectively defend against various backdoor attacks with minimal impact on model accuracy, providing a new solution for the security of federated learning. Full article
(This article belongs to the Special Issue Empowering IoT with AI: AIoT for Smart and Autonomous Systems)
Show Figures

Figure 1

20 pages, 2313 KB  
Article
Development and Validation of a GPS Error-Mitigation Algorithm for Mental Health Digital Phenotyping
by Joo Ho Lee, Jin Young Park, Se Hwan Park, Seong Jeon Lee, Gang Ho Do and Jee Hang Lee
Electronics 2026, 15(2), 272; https://doi.org/10.3390/electronics15020272 - 7 Jan 2026
Abstract
Mobile Global Positioning System (GPS) data offer a promising approach to inferring mental health status through behavioural analysis. Whilst previous research has explored location-based behavioural indicators including location clusters, entropy, and variance, persistent GPS measurement errors have compromised data reliability, limiting the practical [...] Read more.
Mobile Global Positioning System (GPS) data offer a promising approach to inferring mental health status through behavioural analysis. Whilst previous research has explored location-based behavioural indicators including location clusters, entropy, and variance, persistent GPS measurement errors have compromised data reliability, limiting the practical deployment of smartphone-based digital phenotyping systems. This study develops and validates an algorithmic preprocessing method designed to mitigate inherent GPS measurement limitations in mobile health applications. We conducted comprehensive evaluation through controlled experimental protocols and naturalistic field assessments involving 38 participants over a seven-day period, capturing GPS data across diverse environmental contexts on both Android and iOS platforms. The proposed preprocessing algorithm demonstrated exceptional precision, consistently detecting major activity centres within an average 50-metre margin of error across both platforms. In naturalistic settings, the algorithm yielded robust location detection capabilities, producing spatial patterns that reflected plausible and behaviourally meaningful traits at the individual level. Cross-platform analysis revealed consistent performance regardless of operating system, with no significant differences in accuracy metrics between Android and iOS devices. These findings substantiate the potential of mobile GPS data as a reliable, objective source of behavioural information for mental health monitoring systems, contingent upon implementing sophisticated error-mitigation techniques. The validated algorithm addresses a critical technical barrier to the practical implementation of GPS-based digital phenotyping, enabling the more accurate assessment of mobility-related behavioural markers across diverse mental health conditions. This research contributes to the growing field of mobile health technology by providing a robust algorithmic framework for leveraging smartphone sensing capabilities in healthcare applications. Full article
(This article belongs to the Section Electronic Materials, Devices and Applications)
Show Figures

Figure 1

18 pages, 3932 KB  
Article
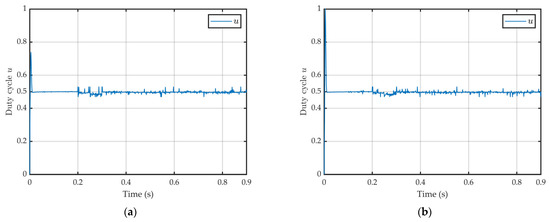
Drain-Voltage Assessment-Based RC Snubber Design Approach for GaN HEMT Flyback Converters
by Byeong-Je Park, Chae-Jeong Hwang, Geon-Ung Park, Min-Su Park and Daeyong Shim
Electronics 2026, 15(2), 271; https://doi.org/10.3390/electronics15020271 - 7 Jan 2026
Abstract
Conventional RC snubber design relies on oscillation frequency-based estimation, which is often influenced by uncontrolled parasitic elements and can therefore limit the accuracy of surge voltage prediction in GaN HEMT flyback converters. To overcome this limitation, a drain-voltage assessment-based design approach is introduced, [...] Read more.
Conventional RC snubber design relies on oscillation frequency-based estimation, which is often influenced by uncontrolled parasitic elements and can therefore limit the accuracy of surge voltage prediction in GaN HEMT flyback converters. To overcome this limitation, a drain-voltage assessment-based design approach is introduced, in which the snubber parameters are extracted directly from the measured voltage characteristics during the turn off transition. This method allows the surge voltage to be modeled more precisely and enables the snubber capacitance to be selected without unnecessary oversizing. Simulation results using the GaN Systems GS66516T device show that the proposed approach reduces the total power loss by 27.67% and 21.84% relative to two empirical design methods and achieves up to 53.64% lower loss compared with other RC combinations in the explored design space. The method suppresses the surge voltage from 877 V to 556 V, which closely aligns with the design target of 550 V, whereas the empirical methods result in maximum voltages of 637 V and 603 V. Finally, the thermal feasibility of the snubber resistor is analytically assessed, indicating that the estimated temperature rise remains within the safe operating range of commercial components. Full article
Show Figures

Figure 1

31 pages, 1536 KB  
Article
Dynamic Protocol Parse Based on a General Protocol Description Language
by Dong Lin, Xun Gong, Xiaobo Liu, Liangguo Chen, Zhenwu Xu and Ping Dong
Electronics 2026, 15(2), 270; https://doi.org/10.3390/electronics15020270 - 7 Jan 2026
Abstract
Real-timenetwork protocol data are indispensable for network security analysis. However, the rapid evolution of protocol standards poses significant challenges to automated parsing and dynamic extensibility. While artificial intelligence (AI) techniques offer potential solutions, they often introduce semantic ambiguities and inconsistent results, thereby undermining [...] Read more.
Real-timenetwork protocol data are indispensable for network security analysis. However, the rapid evolution of protocol standards poses significant challenges to automated parsing and dynamic extensibility. While artificial intelligence (AI) techniques offer potential solutions, they often introduce semantic ambiguities and inconsistent results, thereby undermining parsing precision. To overcome these limitations, we propose PMDL (Protocol Model Description Language), a general-purpose protocol description language. PMDL abstracts protocols into structured sets of fields and attributes, enabling precise and unambiguous specification of protocol syntax and semantics. Based on PMDL descriptions, our execution engine dynamically instantiates and loads protocol templates on the fly, achieving accurate, automated, and dynamically extensible parsing of network traffic. We evaluate PMDL against representative tools such as Wireshark and Kelai, as well as approaches such as Nail and BIND. Experimental results demonstrate that PMDL provides concise yet expressive protocol specifications, and the execution engine achieves superior parsing throughput. Furthermore, performance evaluation using real-world HTTP, MySQL, and DNS traffic from a campus network confirms that our system robustly meets the throughput requirements of large-scale security analysis. Full article
(This article belongs to the Section Computer Science & Engineering)
Show Figures

Figure 1

22 pages, 6418 KB  
Article
Large Signal Stability Analysis of Grid-Connected VSC Based on Hybrid Synchronization Control
by Kai Gong, Huangqing Xiao, Ying Huang and Ping Yang
Electronics 2026, 15(2), 269; https://doi.org/10.3390/electronics15020269 - 7 Jan 2026
Abstract
Hybrid synchronization control (HSC) has recently attracted considerable attention owing to its superior transient stability and adaptability to varying grid strengths. However, existing studies on HSC employ diverse control strategies for the Phase-Locked Loop (PLL) and the voltage control loop (VCL). Since both [...] Read more.
Hybrid synchronization control (HSC) has recently attracted considerable attention owing to its superior transient stability and adaptability to varying grid strengths. However, existing studies on HSC employ diverse control strategies for the Phase-Locked Loop (PLL) and the voltage control loop (VCL). Since both the PLL and VCL are associated with the q-axis component of the point of common coupling (PCC) voltage, the coupling effect between these two control loops and the impact of different controller configurations on system transient stability remain to be further explored. To address this gap, this study first analyzes the transient characteristics of the system under different PLL-VCL control combinations using the power-angle curve method. Subsequently, a Lyapunov stability criterion is established based on the Takagi–Sugeno (T-S) fuzzy model, enabling the estimation of the region of asymptotic stability (RAS). By comparing the RAS of different control combinations, the influence of the proportional coefficient in HSC on transient stability is quantitatively investigated. Finally, PSCAD electromagnetic transient simulations are carried out to verify the validity and accuracy of the theoretical analysis results. Full article
(This article belongs to the Section Power Electronics)
Show Figures

Figure 1

15 pages, 26315 KB  
Article
A 1.06 ppm/°C Compact CMOS Voltage Reference
by Rui Yang, Binhan Zhang, Zhenjie Yan, Yi Zheng, Jinghu Li and Zhicong Luo
Electronics 2026, 15(2), 268; https://doi.org/10.3390/electronics15020268 - 7 Jan 2026
Abstract
This paper presents a low-area, low-temperature coefficient (TC) CMOS voltage reference (CVR) circuit utilizing a compensation technique. Compared to traditional CVR circuits, this design does not rely on compensating the temperature characteristics of the threshold voltage. It lowers current demand, reducing resistor dependency [...] Read more.
This paper presents a low-area, low-temperature coefficient (TC) CMOS voltage reference (CVR) circuit utilizing a compensation technique. Compared to traditional CVR circuits, this design does not rely on compensating the temperature characteristics of the threshold voltage. It lowers current demand, reducing resistor dependency and thus minimizing circuit area. In addition, a curvature compensation circuit is constructed, improving temperature stability. Implemented in 180 μm CMOS the core area of the circuit is 0.0081 mm2. Under a 1.8 V supply voltage, post-layout simulations show that the best TC reaches 1.06 ppm/°C over the temperature range of −40 °C to 125 °C, and the line regulation (LR) is 0.36%/V within a supply voltage range of 1.6 V to 2 V. Full article
(This article belongs to the Section Circuit and Signal Processing)
Show Figures

Figure 1

42 pages, 1539 KB  
Article
SplitML: A Unified Privacy-Preserving Architecture for Federated Split-Learning in Heterogeneous Environments
by Devharsh Trivedi, Aymen Boudguiga, Nesrine Kaaniche and Nikos Triandopoulos
Electronics 2026, 15(2), 267; https://doi.org/10.3390/electronics15020267 - 7 Jan 2026
Abstract
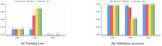
While Federated Learning (FL) and Split Learning (SL) aim to uphold data confidentiality by localized training, they remain susceptible to adversarial threats such as model poisoning and sophisticated inference attacks. To mitigate these vulnerabilities, we propose SplitML, a secure and privacy-preserving framework [...] Read more.
While Federated Learning (FL) and Split Learning (SL) aim to uphold data confidentiality by localized training, they remain susceptible to adversarial threats such as model poisoning and sophisticated inference attacks. To mitigate these vulnerabilities, we propose SplitML, a secure and privacy-preserving framework for Federated Split Learning (FSL). By integrating INDCPAD secure Fully Homomorphic Encryption (FHE) with Differential Privacy (DP), SplitML establishes a defense-in-depth strategy that minimizes information leakage and thwarts reconstructive inference attempts. The framework accommodates heterogeneous model architectures by allowing clients to collaboratively train only the common top layers while keeping their bottom layers exclusive to each participant. This partitioning strategy ensures that the layers closest to the sensitive input data are never exposed to the centralized server. During the training phase, participants utilize multi-key CKKS FHE to facilitate secure weight aggregation, which ensures that no single entity can access individual updates in plaintext. For collaborative inference, clients exchange activations protected by single-key CKKS FHE to achieve a consensus derived from Total Labels (TL) or Total Predictions (TP). This consensus mechanism enhances decision reliability by aggregating decentralized insights while obfuscating soft-label confidence scores that could be exploited by attackers. Our empirical evaluation demonstrates that SplitML provides substantial defense against Membership Inference (MI) attacks, reduces temporal training costs compared to standard encrypted FL, and improves inference precision via its consensus mechanism, all while maintaining a negligible impact on federation overhead. Full article
Show Figures

Figure 1

24 pages, 1304 KB  
Article
Securing Zero-Touch Networks with Blockchain: Decentralized Identity Management and Oracle-Assisted Monitoring
by Michael G. Xevgenis, Maria Polychronaki, Dimitrios G. Kogias, Helen C. Leligkou and Eirini Liotou
Electronics 2026, 15(2), 266; https://doi.org/10.3390/electronics15020266 - 7 Jan 2026
Abstract
Zero-Touch Network (ZTN) represents a cornerstone approach of Next Generation Networks (NGNs), enabling fully automated and AI-driven network and service management. However, their distributed and multi-domain nature introduces critical security challenges, particularly regarding service identity and data integrity. This paper proposes a novel [...] Read more.
Zero-Touch Network (ZTN) represents a cornerstone approach of Next Generation Networks (NGNs), enabling fully automated and AI-driven network and service management. However, their distributed and multi-domain nature introduces critical security challenges, particularly regarding service identity and data integrity. This paper proposes a novel blockchain-based framework to enhance the security of ZTN through two complementary mechanisms: decentralized digital identity management and oracle-assisted network monitoring. First, a Decentralized Identity Management framework aligned with Zero-Trust Architecture principles is introduced to ensure tamper-proof authentication and authorization in a trustless environment among network components. By leveraging decentralized identifiers, verifiable credentials, and zero-knowledge proofs, the proposed Decentralized Authentication and Authorization component eliminates reliance on centralized authorities, while preserving privacy and interoperability across domains. Second, the paper investigates blockchain oracle mechanisms as a means to extend data integrity guarantees beyond the blockchain, enabling secure monitoring of Network Services and validation of Service-Level Agreements. We propose a four-dimensional framework for oracle design, based on qualitative comparison of oracle types—decentralized, compute-enabled, and consensus-based—to identify their suitability for NGN scenarios. This work proposes an architectural and design framework for Zero-Touch Networks, focusing on system integration and security-aware orchestration rather than large-scale experimental evaluation. The outcome of our study highlights the potential of integrating blockchain-based identity and oracle solutions to achieve resilient, transparent, and self-managed network ecosystems. This research bridges the gap between theory and implementation by offering a holistic approach that unifies identity security and data integrity in ZTNs, paving the way towards trustworthy and autonomous 6G infrastructures. Full article
Show Figures

Figure 1

18 pages, 4563 KB  
Article
Enhancing Multi Object Tracking with CLIP: A Comparative Study on DeepSORT and StrongSORT
by Khadijah Alkandary, Ahmet Serhat Yildiz and Hongying Meng
Electronics 2026, 15(2), 265; https://doi.org/10.3390/electronics15020265 - 7 Jan 2026
Abstract
Multi object tracking (MOT) is a crucial task in video analysis but is often hindered by frequent identity (ID) switches, particularly in crowded or occluded scenarios. This study explores the integration of a vision-language model, into two tracking by detection frameworks DeepSORT and [...] Read more.
Multi object tracking (MOT) is a crucial task in video analysis but is often hindered by frequent identity (ID) switches, particularly in crowded or occluded scenarios. This study explores the integration of a vision-language model, into two tracking by detection frameworks DeepSORT and StrongSORT to enhance appearance-based re-identification. YOLOv8x is employed as the base detector due to its robust localization performance, while CLIP’s visual features replace the default appearance encoders, providing more discriminative and semantically rich embeddings. We evaluated the CLIP enhanced DeepSORT and StrongSORT on sequences from two challenging real world benchmarks: MOT15 and MOT16. Furthermore, we analyze the generalizability of YOLOv8x when trained on the MOT20 benchmark and applied to the chosen trackers on MOT15 and MOT16. Our findings show that both CLIP enhanced trackers substantially reduce ID switches and improve ID-based tracking metrics, with CLIP StrongSORT achieving the most consistent gains. In addition, YOLOv8x demonstrates strong generalization capabilities for unseen datasets. These results highlight the effectiveness of incorporating vision language models into MOT frameworks, particularly under visually challenging conditions. Full article
Show Figures

Figure 1

36 pages, 4575 KB  
Article
Evaluation of Connectivity Reliability in MANETs Considering Link Communication Quality and Channel Capacity
by Yunlong Bian, Junhai Cao, Chengming He, Xiying Huang, Ying Shen and Jia Wang
Electronics 2026, 15(2), 264; https://doi.org/10.3390/electronics15020264 - 7 Jan 2026
Abstract
Mobile Ad Hoc Networks (MANETs) exhibit diverse deployment forms, such as unmanned swarms, mobile wireless sensor networks (MWSNs), and Vehicular Ad Hoc Networks (VANETs). While providing significant social application value, MANETs also face the challenge of accurately and efficiently evaluating connectivity reliability. Building [...] Read more.
Mobile Ad Hoc Networks (MANETs) exhibit diverse deployment forms, such as unmanned swarms, mobile wireless sensor networks (MWSNs), and Vehicular Ad Hoc Networks (VANETs). While providing significant social application value, MANETs also face the challenge of accurately and efficiently evaluating connectivity reliability. Building on existing studies—which mostly rely on the assumptions of imperfect nodes and perfect links—this paper comprehensively considers link communication quality and channel capacity, and extends the imperfect link assumption to analyze and evaluate the connectivity reliability of MANETs. The Couzin-leader model is used to characterize the ordered swarm movement of MANETs, while various probability models are employed to depict the multiple actual failure modes of network nodes. Additionally, the Free-Space-Two-Ray Ground (FS-TRG) model is introduced to quantify link quality and reliability, and the probability of successful routing path information transmission is derived under the condition that channel capacity follows a truncated normal distribution. Finally, a simulation-based algorithm for solving the connectivity reliability of MANETs is proposed, which comprehensively considers node characteristics and link states. Simulation experiments are conducted using MATLAB R2023b to verify the effectiveness and validity of the proposed algorithm. Furthermore, the distinct impacts of link communication quality and channel capacity on the connectivity reliability of MANETs are identified, particularly in terms of transmission quality and network lifetime. Full article
(This article belongs to the Special Issue Advanced Technologies for Intelligent Vehicular Networks)
Show Figures

Figure 1

23 pages, 1063 KB  
Article
A Comparative Experimental Study on Simple Features and Lightweight Models for Voice Activity Detection in Noisy Environments
by Bo-Yu Su, Berlin Chen, Shih-Chieh Huang and Jeih-Weih Hung
Electronics 2026, 15(2), 263; https://doi.org/10.3390/electronics15020263 - 7 Jan 2026
Abstract
This work presents a comparative study of voice activity detection in noise using simple acoustic features and relatively compact recurrent models within a controlled MATLAB-based framework. For each utterance, 9 baseline spectral-plus-periodicity features, MFCCs, and FBANKs are extracted and passed to several lightweight [...] Read more.
This work presents a comparative study of voice activity detection in noise using simple acoustic features and relatively compact recurrent models within a controlled MATLAB-based framework. For each utterance, 9 baseline spectral-plus-periodicity features, MFCCs, and FBANKs are extracted and passed to several lightweight BiLSTM-based networks, either alone or preceded by a 1D CNN layer. The main experiments are carried out at a fixed SNR to separate the influence of the network structure and the feature type, and an additional series with four SNR levels is used to assess whether the same performance trends hold when the SNR varies. The results show that adding a compact CNN front-end before the BiLSTM consistently improves detection scores, that MFCCs generally outperform the baseline spectral–periodicity features and often give better recall/F1 than FBANKs for the considered lightweight models, and that CNN(3,32)+BiLSTM with 13-dimensional MFCCs offers a favorable trade-off between accuracy, robustness across SNRs, and model size. Because all conditions share a single MATLAB implementation with fixed noise types, SNR values, and evaluation metrics, this work is positioned as a benchmark and practical guideline publication for noise-robust, resource-constrained VAD, rather than as a proposal of a completely new deep-learning architecture. Full article
Show Figures

Figure 1

19 pages, 2708 KB  
Article
A TPU-Based 3D Printed Robotic Hand: Design and Its Impact on Human–Robot Interaction
by Younglim Choi, Minho Lee, Seongmin Yea, Seunghwan Kim and Hyunseok Kim
Electronics 2026, 15(2), 262; https://doi.org/10.3390/electronics15020262 - 7 Jan 2026
Abstract
This study outlines the design and evaluation of a biomimetic robotic hand tailored for Human–Robot Interaction (HRI), focusing on improvements in tactile fidelity driven by material choice. Thermoplastic polyurethane (TPU) was selected over polylactic acid (PLA) based on its reported elastomeric characteristics and [...] Read more.
This study outlines the design and evaluation of a biomimetic robotic hand tailored for Human–Robot Interaction (HRI), focusing on improvements in tactile fidelity driven by material choice. Thermoplastic polyurethane (TPU) was selected over polylactic acid (PLA) based on its reported elastomeric characteristics and mechanical compliance described in prior literature. Rather than directly matching human skin properties, TPU was perceived as providing a softer and more comfortable tactile interaction compared to rigid PLA. The robotic hand was anatomically reconstructed from an open-source model and integrated with AX-12A and MG90S actuators to simplify wiring and enhance motion precision. A custom PCB, built around an ATmega2560 microcontroller, enables real-time communication with ROS-based upper-level control systems. Angular displacement analysis of repeated gesture motions confirmed the high repeatability and consistency of the system. A repeated-measures user study involving 47 participants was conducted to compare the PLA- and TPU-based prototypes during interactive tasks such as handshakes and gesture commands. The TPU hand received significantly higher ratings in tactile realism, grip satisfaction, and perceived responsiveness (p < 0.05). Qualitative feedback further supported its superior emotional acceptance and comfort. These findings indicate that incorporating TPU in robotic hand design not only enhances mechanical performance but also plays a vital role in promoting emotionally engaging and natural human–robot interactions, making it a promising approach for affective HRI applications. Full article
Show Figures

Figure 1

28 pages, 11379 KB  
Article
Performance Analysis and Comparison of Two Deep Learning Methods for Direction-of-Arrival Estimation with Observed Data
by Shuo Liu, Wen Zhang, Junqiang Song, Jian Shi, Hongze Leng and Qiankun Yu
Electronics 2026, 15(2), 261; https://doi.org/10.3390/electronics15020261 - 7 Jan 2026
Abstract
Direction-of-arrival (DOA) estimation is fundamental in array signal processing, yet classical algorithms suffer from significant performance degradation under low signal-to-noise ratio (SNR) conditions and require computationally intensive eigenvalue decomposition. This study presents a systematic comparative analysis of two backbone networks, a convolutional neural [...] Read more.
Direction-of-arrival (DOA) estimation is fundamental in array signal processing, yet classical algorithms suffer from significant performance degradation under low signal-to-noise ratio (SNR) conditions and require computationally intensive eigenvalue decomposition. This study presents a systematic comparative analysis of two backbone networks, a convolutional neural network (CNN) and long short-term memory (LSTM) for DOA estimation, addressing two critical research gaps: the lack of a mechanistic understanding of architecture-dependent performance under varying conditions and insufficient validation using real measured data. Both networks are trained using cross-spectral density matrices (CSDMs) from simulated uniform linear array (ULA) signals. Under baseline conditions (1° classification interval), both CNN and LSTM methods reach an accuracy (ACC) above 98%, in which the error is ±1° for CNN and ±2° for LSTM, only existing in the end-fire direction. Key findings reveal that LSTM maintains above 90% accuracy down to −20 dB SNR, demonstrating superior noise robustness, whereas CNN exhibits better angular resolution. Four performance boundaries are identified: optimal performance is achieved at half-wavelength element spacing; SNR crossover occurs at −20 dB below which accuracy drops sharply; the snapshot threshold of 32 marks the transition from snapshot-deficient to snapshot-sufficient conditions; the array size of 8 is the turning point for the performance variation rate. Comparative analysis against traditional methods demonstrates that deep learning approaches achieve superior resolution ability, batch processing efficiency, and noise robustness. Critically, models trained exclusively on single-target simulated data successfully generalize to multi-target experimental data from the Shallow Water Array Performance (SWAP) program, recovering primary target trajectories without domain adaptation. These results provide concrete engineering guidelines for architecture selection and validate the sim-to-real generalization capability of CSDM-based deep learning approaches in underwater acoustic environments. Full article
Show Figures

Figure 1

5 pages, 147 KB  
Editorial
Advanced Nonlinear and Learning-Based Control Techniques for Complex Dynamical Systems
by Mahmut Reyhanoglu and Mohammad Jafari
Electronics 2026, 15(2), 260; https://doi.org/10.3390/electronics15020260 - 7 Jan 2026
Abstract
Recently, there has been growing interest in new methods for modeling and controlling complex dynamical systems [...] Full article
24 pages, 2130 KB  
Article
A Trust-Oriented Blockchain Architecture for Compliant and Secure Cross-Border Data Flows
by Sheng Peng and Di Sun
Electronics 2026, 15(2), 259; https://doi.org/10.3390/electronics15020259 - 6 Jan 2026
Abstract
Compliant cross-border data flows face persistent challenges from fragmented regulatory regimes, inconsistent enforcement, and limited trust among stakeholders. Current approaches typically rely on centralized oversight or excessive data disclosure, both compromising regulatory interoperability and operational security. This paper introduces a trust-oriented blockchain architecture [...] Read more.
Compliant cross-border data flows face persistent challenges from fragmented regulatory regimes, inconsistent enforcement, and limited trust among stakeholders. Current approaches typically rely on centralized oversight or excessive data disclosure, both compromising regulatory interoperability and operational security. This paper introduces a trust-oriented blockchain architecture that enables secure cross-border data exchange while ensuring verifiable compliance without revealing sensitive content. The architecture decouples policy enforcement, privacy-preserving validation, and cross-jurisdiction auditability, enabling entities to share cryptographically verifiable compliance proofs rather than raw data. To capture the behavioral dynamics across heterogeneous regulatory environments, we incorporate a strategic interaction layer that models how domestic firms, foreign enterprises, and cross-border data platforms adjust decisions under varying incentive structures. These insights guide the design of an adaptive compliance verification pipeline that maintains trust equilibrium across participants. Our design records only cryptographic digests and structured compliance evidence on-chain, while off-chain components execute privacy-preserving checks using secure computation and decentralized storage. Through a case-driven evaluation, we show that the proposed architecture reduces governance friction, enhances institutional trust, and achieves interoperable compliance validation with minimal disclosure overhead. Through component-level evaluation and architectural analysis, this work establishes a technical foundation for secure, transparent, and regulation-aligned cross-border data governance. The framework provides a blueprint for future multi-party pilot deployments in operational environments. Full article
(This article belongs to the Special Issue New Trends for Blockchain Technology in IoT)
Show Figures

Figure 1

14 pages, 2392 KB  
Article
Anti-Interference Compensation of Grating Moiré Fringe Signals via Parameter Adaptive Optimized VMD Based on MSPSO
by Gang Wu, Ruihao Wei, Shuo Wang, Xiaoqiao Mu, Jing Wang, Guangwei Sun and Yusong Mu
Electronics 2026, 15(2), 258; https://doi.org/10.3390/electronics15020258 - 6 Jan 2026
Abstract
This paper proposes a grating Moiré fringe signal compensation method based on Variational Mode Decomposition (VMD) to address signal errors in grating encoders. VMD decomposes Moiré fringe signals into multiple amplitude-modulated and frequency-modulated components, and realizes noise compensation through parameter optimization and signal [...] Read more.
This paper proposes a grating Moiré fringe signal compensation method based on Variational Mode Decomposition (VMD) to address signal errors in grating encoders. VMD decomposes Moiré fringe signals into multiple amplitude-modulated and frequency-modulated components, and realizes noise compensation through parameter optimization and signal reconstruction. The Multi-Strategy Particle Swarm Optimization (MSPSO) enhances optimization performance via adaptive inertia weight adjustment and chaotic perturbation, solving the problems of mode mixing or over-decomposition caused by blind parameter selection in traditional VMD. A hardware-software co-design test system based on ZYNQ FPGA is developed, which optimally allocates tasks between the Processing System and Programmable Logic, resolving issues of large data volume and long computation time in traditional systems. The compensation scheme provides excellent signal processing performance. The experimental tests on random periodic signals, triangular waves and square waves with different duty cycles have demonstrated the robustness of this scheme. After compensation, the output signal exhibits excellent sinuosity and orthogonality, with harmonic components and noise in the frequency domain almost negligible. It provides a practical solution for high-precision measurement in ultra-precision machining, semiconductor manufacturing, and automated control. Full article
(This article belongs to the Section Circuit and Signal Processing)
Show Figures

Figure 1

Previous Issue
Back to TopTop