Next Article in Journal
Dynamic Protocol Parse Based on a General Protocol Description Language
Previous Article in Journal
A Comparative Experimental Study on Simple Features and Lightweight Models for Voice Activity Detection in Noisy Environments
error_outline You can access the new MDPI.com website here. Explore and share your feedback with us.
 
 
Font Type:
Arial Georgia Verdana
Font Size:
Aa Aa Aa
Line Spacing:
Column Width:
Background:
Article

Large Signal Stability Analysis of Grid-Connected VSC Based on Hybrid Synchronization Control

1
School of Electric Power Engineering, South China University of Technology, Guangzhou 510641, China
2
College of Electrical Engineering, Zhejiang University, Hangzhou 310027, China
*
Author to whom correspondence should be addressed.
Electronics 2026, 15(2), 269; https://doi.org/10.3390/electronics15020269
Submission received: 7 December 2025 / Revised: 29 December 2025 / Accepted: 5 January 2026 / Published: 7 January 2026
(This article belongs to the Section Power Electronics)

Abstract

Hybrid synchronization control (HSC) has recently attracted considerable attention owing to its superior transient stability and adaptability to varying grid strengths. However, existing studies on HSC employ diverse control strategies for the Phase-Locked Loop (PLL) and the voltage control loop (VCL). Since both the PLL and VCL are associated with the q-axis component of the point of common coupling (PCC) voltage, the coupling effect between these two control loops and the impact of different controller configurations on system transient stability remain to be further explored. To address this gap, this study first analyzes the transient characteristics of the system under different PLL-VCL control combinations using the power-angle curve method. Subsequently, a Lyapunov stability criterion is established based on the Takagi–Sugeno (T-S) fuzzy model, enabling the estimation of the region of asymptotic stability (RAS). By comparing the RAS of different control combinations, the influence of the proportional coefficient in HSC on transient stability is quantitatively investigated. Finally, PSCAD electromagnetic transient simulations are carried out to verify the validity and accuracy of the theoretical analysis results.

1. Introduction

Renewable energy sources, which have been widely installed in recent years, typically use voltage source converters (VSCs) to interface to power systems [1,2,3,4]. Since 2013, the annual addition of renewable energy capacity has surpassed that of fossil fuels and nuclear sources combined [5]. However, there are inherent differences between generation based on VSCs and synchronous generators (SGs). VSCs lack the intrinsic ability to provide grid inertia and strength, making power systems more vulnerable during large disturbances [6,7].
Unlike grid-following (GFL) VSC, grid-forming (GFM) VSC can provide inertia and damping for power system and exhibits better stability in weak grids, which make it a research hotspot in recent years [8,9]. Nevertheless, even when equilibrium points are present, the second-order dynamics of droop control incorporating low-pass filters (LPFs) and virtual synchronous generator (VSG) control—also known as inertial GFM control—may become unstable as a result of insufficient damping [10]. Introducing inertia into the power synchronization loop (PSL) diminishes the system’s effective damping, potentially triggering an overshoot in the power angle following a large disturbance. Such an overshoot might drive the power angle beyond the unstable equilibrium, ultimately leading to system instability.
Hybrid synchronization control (HSC), the incorporation of phase-locked loop (PLL) and PSL, is prone to exhibiting better dynamic response compared to conventional GFM control [11]. Analysis of the transient model of HSC indicates that the incorporated PLL functions similarly to the damper windings in SG [12], enhancing system damping and thereby improving system’s large-signal stability. By adjusting the ratio between the PLL and PSL in HSC, the VSC’s active power reference can be reduced which allows the VSC to maintain an equilibrium point after deeper voltage dips [13]. Furthermore, a low-voltage ride-through (LVRT) strategy specifically designed for HSC-based VSCs has been proposed in recent study [14]. This strategy significantly enhances the system’s transient stability and enables precise limitation of the fault current. Using the impedance method to perform small-signal stability analysis of the HSC-based VSC system reveals that adjusting the proportions of the PLL and PSL within the HSC can enhance the small-signal stability of the VSC under varying grid strengths [15].
Recent advancements in HSC research have further expanded its application potential. A fault ride-through strategy based on HSC integrates the advantages of PLL and virtual synchronous generator (VSG) phase-locking to achieve stable fault ride-through without control mode switching during grid voltage sags [16]. A current saturation ratio (CSR)-based HSC method weights PSL and PLL components by the current limiter’s CSR, collaborating with GFM converters’ current limiting to enhance synchronization stability under large disturbances and achieve precise power setpoint tracking [17]. A modified HSC method improves the power-based synchronization loop with power reference feedforward and the voltage-based synchronization loop with a first-order inertial damping mechanism, enhancing power tracking accuracy, suppressing low-frequency oscillations, and boosting transient synchronization stability [18]. Additionally, an HSC strategy combining power synchronization control (PSC) and PLL resolves the stability trade-off between weak and strong grids, with impedance modeling and Nyquist analysis used to evaluate the impacts of hybrid coefficients and virtual admittance on system stability [19].
The controller of the PLL in HSC across the aforementioned research varies, and so do the voltage control loop (VCL) strategies. In [12,13,14,17,18,19], the PLL in HSC utilizes proportional control or improved synchronization loops, while the VCL is based on virtual impedance (VI) control or optimized damping mechanisms. Conversely, in [15,16,19], both the PLL and VCL use PI controllers. Furthermore, Reference [15] adopts reactive power-voltage droop control to generate the voltage reference value, while References [12,13,14] employ constant voltage control with a directly specified voltage reference. Existing study has explored the first-swing transient synchronization stability mechanism of power-synchronized converters from the perspective of whether a stable equilibrium point exists after faults, combined with the equal-area criterion [20,21]. These studies also indicate that the presence of the reactive voltage control loop in VSCs reduces the transient stability margin. However, the specific underlying mechanism remains unclear. In addition, as both the HSC and the VCL incorporate the q-axis component of the point of common coupling (PCC) voltage, interaction between the two control loops may be introduced. Existing studies have not yet comprehensively investigated how the coupling between the HSC and VCL influences the system’s large-signal stability, nor have they explicitly mapped control strategy choices to physical meanings for intuitive understanding. Moreover, the impact of employing different controller combinations and key parameters on the system’s large-signal stability still lacks quantitative analysis across multiple operating conditions, and the boundaries of stability conclusions remain ambiguous. Therefore, further research is needed to systematically investigate the synergistic interaction and coupling mechanisms between HSC and VCL under different control combinations, quantify the influence of controllers and parameters on large-signal stability, and clarify the physical essence and applicable scenarios of HSC-based control strategies.
This paper investigates the large signal stability of the HSC-based VSC system under different control methods and parameters. In this paper, a Takagi-Sugeno (T-S) fuzzy model [20,21,22] is employed to construct a Lyapunov function, which serves to both confirm the system’s asymptotic stability and evaluate the system’s region of asymptotic stability (RAS). Previous research has shown that employing a Lyapunov function derived from the T-S fuzzy model reduces conservatism and facilitates more straightforward evaluation of parameter influences on system stability [23,24,25].
(1)
This paper provides the first systematic investigation into the transient stability mechanism of grid-connected VSCs based on HSC when the PLL and VCL adopt different controller combinations.
(2)
The power-angle curve method is employed to qualitatively analyze the transient stability characteristics of VSCs under different controller combinations, with and without the reactive voltage control loop.
(3)
By establishing a T–S fuzzy model and validating the results through PSCAD electromagnetic transient simulations, the research quantitatively evaluates the system’s RAS under various controller combinations.
This paper is organized as follows: The HSC-based VSC system and its control methods are presented in Section 2. In Section 3, power angle curve is applied to evaluate the transient stability of VSCs under different control methods. Then Section 4 will present the T-S fuzzy model of the HSC-based VSC and the control methods and parameters’ impact on the RAS is discussed. Then simulation results are provided to validate the analysis results in Section 5. Section 6 gives conclusions.

2. System Description and Modeling

Figure 1 represents the equivalent circuit of the HSC-based VSC system, where Lf and Cf are the filtering inductor and filtering capacitor.
All subsequent analyses in this paper are based on the simplified system depicted in Figure 1, which serves as a simplified model of renewable energy converters transmitting power to the grid via AC transmission lines. This configuration is intentionally adopted for two key reasons: first, it isolates the core dynamics of converter-grid interaction, enabling a clear and concise investigation into how different control strategies and parameters influence system transient stability. Second, the fundamental mechanisms revealed through this simplified system ensure the conclusions retain a degree of generalizability to practical power systems.
Notably, complex benchmark systems were not selected due to modeling constraints: overly intricate system topologies would result in high-order mathematical models, introducing excessive computational complexity and obscuring the intrinsic stability mechanisms.
State equations of the equivalent circuit can be expressed as follows:
L f d i v d d t = u v d R f i v d + ω L f i v q u s d L f d i v q d t = u v q R f i v q ω L f i v d u s q
As shown in Figure 2, the core of HSC is the adaptive coefficient Kh, which can vary the ratio of the PLL and PSL properties, combining their respective advantages [13]. The two most commonly employed control strategies for the PLL are proportional controller and PI controller. The VSC’s synchronization angle in the HSC can be written as:
θ = ω s ω ω 0 = K h Δ P G PSL ( s ) ( 1 K h ) u s q G PLL ( s )
where
G PSL ( s ) = 1 J s + D
G PLL ( s ) = k pL + k pL s m
In (2), θ represents the synchronization angle of HSC, ω is the angular frequency, ω0 is the reference value of the angular frequency, ΔP = PrefP, J is the moment of inertia, D is the damping coefficient, and usq is the q-axis component of internal potential.
From (2), the power angle δ can be obtained as
δ = 1 s K h Δ P G PSL ( s ) ( 1 K h ) u s q G PLL ( s ) + ω 0
As shown in Figure 3, the control method of the VCL employed in this paper is VI control and PI controller, and the corresponding control equation is presented below
i v d _ ref = u sd _ ref u sd G U ( s ) i v q _ ref = u s q _ ref u s q G U ( s )
where
G U ( s ) = k pU + k pU s 1 L v s + R v
In (6) and (7), usq_ref is the q-axis component of the internal potential reference; ivd_ref and ivq_ref are the dq-axis components of the current references; Lv and Rv are the VI parameters.
Since usq is controlled in both the PLL and the VCL with different types of controllers, a brief analysis of the coupling relationship between these two control loops is presented below.
The physical mechanism of the coupling between the PLL and VCL originates from their shared regulation target—the q-axis component of the PCC voltage usq, which inherently links the two loops’ functional objectives: synchronization tracking and voltage regulation. Physically, the PLL adjusts the synchronization angle based on usq to maintain grid synchronization, directly influencing the power angle δ and active power exchange between the VSC and the grid. Meanwhile, the VCL regulates the output current with reference to usq to stabilize the PCC voltage, which affects reactive power balance and further modulates the amplitude and phase of the PCC voltage. This mutual interplay forms a closed-loop coupling: variations in usq trigger concurrent adjustments in both the PLL and VCL, whose responses feedback to usq through grid-VSC interactions.
The impact of this coupling on system stability is determined by the matching degree of the control characteristics of the PLL and VCL. When the two loops adopt compatible control strategies, the coupling effect is mitigated, as their coordinated adjustments suppress oscillations in usq and enhance system damping. In contrast, conflicting control objectives amplify coupling-induced disturbances: the rigid regulation of usq by the PI-PLL conflicts with the VCL’s voltage adaptation. This physical insight explains why different control combinations exhibit distinct stability performances under large disturbances.

3. Analysis of Large Signal Stability with Different Controller Based on Power Angle Curves

In existing studies, the PLL in HSC has been implemented using either a PI controller [15] or a proportional controller [13,14]. Similarly, the VCL is commonly designed using either a PI controller [15] or a VI control method [13,14]. To investigate the impact of these control strategies on the large-signal stability of VSC, four control combinations are formed by pairing different PLL and VCL controllers. Each combination is analyzed individually to assess its influence on system large-signal stability.

3.1. PLL with Proportional Control and VCL with VI Control

When the PLL in the HSC adopts proportion control, the transient model of the HSC can be expressed as follows:
J K h d Δ ω d t = P 1 K h D m u sq K h P D + J m u sd K h J m u sd Δ ω
By comparing (8) with the rotor equation of SG, it can be concluded that
P eq = P 1 K h D m u sq K h J eq = J K h D eq = D + J m u sd K h J m u sd
From (9), it can be seen that the adaptive coefficient Kh affect the active power reference, the equivalent inertia, and the equivalent damping coefficient. Moreover, the following rule can be easily obtained: reducing Kh increases the system’s equivalent inertia and damping coefficient, thereby enhancing the system’s transient stability.
From the above derivation, it can be concluded that when the PLL adopts proportional control, the PLL branch acts as an additional damper winding, providing extra damping to the system and improving its transient stability. In contrast, when the PLL employs PI control, the fast response and zero-steady-state-error control characteristics of the PI controller accelerate the synchronization speed of the HSC, strengthen its grid-following characteristics, and enable the VSC to adapt to stronger grids [15].
Since the VCL adopts the VI control strategy, the equivalent circuit of the system can be represented by Figure 4.
Based on Figure 4, the following relationships can be obtained.
u sd _ ref = Z V i s + Z g i s + u g u s = Z g i s + u g
Based on the above equation, the equivalent vector diagram of the system with the VCL adopting VI control can be obtained, as shown in Figure 5.
When the red vector in Figure 5 is examined, it can be observed that when the voltage outer loop adopts VI control, the PCC voltage u s does not strictly align with the d -axis. As a result, u s d does not strictly equal its reference value u s d _ r e f , and u s q is not exactly zero. Moreover, when the system experiences a fault or other large disturbance, the increased current further enlarges the deviation between the PCC voltage and its reference value.
According to (10), when u s is not aligned with the d -axis, the system’s equivalent active power reference becomes smaller than the given active power reference. During a fault, the rise in current increases the angle difference between δ and φ , which further reduces the equivalent active power reference. Based on the power-angle curve, the existence of an intersection between the active power reference and the power-angle curve indicates the presence of a stable operating point, which is a necessary condition for system stability. Therefore, the reduction in the equivalent active power reference allows the system to maintain a stable operating point under deeper voltage sags, as illustrated in Figure 6a.
However, the existence of a stable operating point is only a necessary condition for maintaining system stability. If the power angle experiences large oscillations after a major disturbance and crosses the unstable equilibrium point, the system will fail to recover stability. According to (10), reducing K h decreases the system’s equivalent active power reference, which enables the existence of a stable operating point. Furthermore, as shown in Figure 6b, decreasing K h enlarges the deceleration area and reduces the acceleration area, thereby enhancing the system’s transient stability. Finally, (10) indicates that reducing K h increases the system damping coefficient, which suppresses the post-disturbance power-angle oscillation amplitude and effectively mitigates the risk of instability caused by the power angle exceeding the unstable equilibrium point.

3.2. VCL with PI Control

When the VCL adopts PI control, both u s d and u s q are tightly regulated around their reference values, and the corresponding phasor diagram of the system is shown in Figure 7.
In this case, u s is aligned with the d-axis, and φ = δ . Therefore, according to (10), the equivalent active power reference is equal to the given active power reference, as shown below:
P eq = P 1 K h D m u sq K h = P
As a result, when the voltage control loop uses PI control, the active power reference value will not decrease when the grid voltage drops.
When the grid voltage drops, the output power of the VSC is expressed as follows:
P F = u sF u gF sin δ Z g
where usF and ugF is PCC voltage and grid voltage during faults, respectively. Zg is the grid impedance.
As shown in Figure 8, when the voltage drops, the power-angle curve shifts downward. However, since usF remains equal to its pre-fault value and only ugF decreases, the degree of downward shift is smaller compared to the PLL with proportional control and VCL with VI control (P + VI). In the following text, control combinations are denoted in the format of “P + VI”, where the term before the plus sign represents the controller used for the PLL, and the term after the plus sign represents the controller used for the VCL. When the voltage dip is deeper, the VSC may lose its stable equilibrium point and become unstable. Therefore, the large-signal stability of VCL with PI controller is slightly weaker than that of P + VI control.
Since the VSC output voltage is always maintained near its rated value, a deeper voltage sag on the grid side will result in a large voltage difference between the grid voltage and the VSC output voltage. This voltage difference leads to a significant fault current, which poses a threat to the transient stability of the system.
Since the characteristics of the PLL using proportional control and PI control show little difference when the VCL employs PI control, the following and previous analysis simplifies the study by focusing only on the P + PI control combination.

3.3. PLL with PI Control and VCL with VI Control

When the PLL in the HSC adopts PI control, usq is strictly controlled near 0 by the integral part of the PI controller. Therefore, according to (11), the system’s active power reference value will not decrease after the grid voltage drops. Moreover, since the VCL uses VI control, usd will decrease after the grid voltage drops. Therefore, from (12), it can be seen that after the grid voltage drops, the system’s power angle curve will shift significantly downward, causing the system to lose its stable operating point, as shown in Figure 9.
From the above analysis, it can be concluded that when the PI + VI control combination exhibits the worst transient stability.

3.4. Q-U Control

This part investigates how Q-U control affects transient stability. By ignoring the line resistance, the active and reactive power output of the VSC can be approximately described using the following expressions:
P = 3 R ( u s 2 u s u g cos δ ) + X g u s u g sin δ 2 ( R 2 + X g 2 ) 3 u s u g 2 X g sin δ
Q = 3 X g ( u s 2 u s u g cos δ ) R u s u g sin δ 2 ( R 2 + X g 2 ) 3 u s u s u g cos δ 2 X g
As shown in Figure 10, The control equation for the Q-U control loop is as follows:
u s u 0 = Q ref Q k q
where kq is the Q-U control sag coefficient and u0 is a constant 1.
By combining (13) to (15), the expression for the PCC voltage under grid voltage dip can be obtained as:
u sF = ( k q u gF cos δ X g ) 2 + 4 k q X g ( u 0 + k q Q ref ) 2 k q + k q u gF cos δ X g 2 k q
Define intermediate variable λ
λ = k q u gF cos δ X g 2 k q
Then (17) can be expressed as
u s F = λ 2 + X g ( u 0 + k q Q ref ) k q + λ
Take the partial derivative of both sides of (18) with respect to λ .
d u sF d λ = 1 + λ λ 2 + X g ( u 0 + k q Q ref ) / k q > 0
According to (17), the partial derivatives of λ with respect to kq, δ, and ugF can be obtained as follows:
n k q = X g 2 k q 2 0
n δ = u gF 2 sin δ 0
n U gf = 1 2 cos δ 0 δ [ 0 , π / 2 ] 1 2 cos δ < 0 δ ( π / 2 , π ]
When δ ∈ [0, π/2], λ is directly proportional to both ugF and usF. Therefore, usF is also directly proportional to ugF. On the other hand, λ is inversely proportional to δ, which implies that usF is inversely proportional to both usF and δ.
As a result, when the grid voltage drops, the power angle δ increases and usF decreases, leading to a further downward shift in the power-angle curve and a degradation of the system’s transient stability. Figure 11 clearly illustrates the above conclusion.
From the preceding analysis, implementing Q-U control leads to a further downward shift in the power-angle curve after a grid voltage dip, which deteriorates the system’s transient stability. Consequently, for the subsequent comparisons of transient stability across various control schemes, Q-U control is disabled, and the usd_ref is maintained at 1.

4. Large Signal Stability Analysis with Different Control Based on T-S Fuzzy Model

While the power angle curve analysis above can qualitatively illustrate the system’s transient stability under various control strategies, it lacks a quantitative assessment. To address this limitation, numerical approaches have been introduced for evaluating the transient stability of VSCs. Among these, numerical simulation and the Lyapunov function method are commonly used for transient stability analysis in power systems. Previous research has shown that the Lyapunov energy function formulated with the T-S fuzzy model offers reduced conservatism and simplifies the evaluation of how different parameters affect system stability. Accordingly, the transient stability analysis for the control strategies discussed here will be performed using this approach.

4.1. Principle of T-S Fuzzy Modelling Method

Reference [25] presents an algorithm to estimate the attraction domain of a nonlinear system expressed as x = A(x)x by employing the T-S fuzzy model. For each nonlinear element within the matrix function A(x), lower and upper bounds are assigned, resulting in two matrices Ai. When the system’s state equation contains r nonlinearities, 2r matrices of A(x) are generated. Reference [26] presents the stability criterion for this method, indicating that if the Linear Matrix Inequality (LMI) in (23) has a solution, the nonlinear system is asymptotically stable.
M = M T > 0 A i T M + M A i < 0 , i = 1 , 2 , r
where M represents a positive definite matrix. The following expression defines the Lyapunov function for the nonlinear system:
V ( x ) = x T M x
The specific steps are as follows [27,28,29,30]:
The steps for developing the Lyapunov energy function are summarized below:
Step 1: Represent the nonlinear system and define the nonlinear matrix function A(x).
Step 2: Determine the lower and upper bounds for each nonlinear term within A(x).
Step 3: Implement a program to solve (23). If a solution exists, the matrix M will be automatically derived, and the Lyapunov energy function can then be computed.
Step 4: The Lyapunov energy function characterizes the system’s RAS, serving as a tool to evaluate its large-signal stability. A smaller RAS indicates a higher likelihood of system instability.
Following the steps outlined above, we have established the T-S fuzzy model for this paper, as shown in Appendix A.
To verify the accuracy of the T-S fuzzy model established above, all other parameters are kept constant, and the critical active power obtained through simulations under different SCR values is compared with the critical active power calculated by the T-S fuzzy model.
As shown in Figure 12, the stability boundary obtained from the T-S fuzzy model is generally consistent with the simulation results. As the SCR increases from a low to a high value, the system’s critical active power first increases and then decreases. From the active power boundary, the T-S fuzzy model developed in this paper is accurate and can measure the stability boundary of the system accurately.

4.2. Effect of Kh on the RAS with Different Control

One of the key aspects of the HSC lies in the coefficient Kh which determines the proportional between PSL and PLL. To investigate the impact of Kh on the transient stability of the system, the RAS under different Kh values are shown in Figure 13, Figure 14 and Figure 15.
As shown in Figure 13, when the PLL in the HSC adopts proportional controller and the VCL adopts VI control, the RAS of the system gradually expands as Kh decreases. The analysis results of the RAS are consistent with those obtained from the power-angle curve analysis discussed earlier. With a reduction in Kh, the active power reference declines, whereas the equivalent inertia and damping coefficients rise, leading to improved transient stability and a larger RAS for the system.
As shown in Figure 14, when the VCL adopts PI control, the RAS increases with decreasing Kh, but the change is not significant. This is due to the characteristic of PI control, where usq is regulated tightly around 0. According to (11), variations in Kh have no impact on the active power reference. However, as indicated by (9), a smaller Kh increases the system’s equivalent inertia and damping coefficient, thereby enhancing transient stability.
Finally, Figure 15 illustrates the RAS for various Kh values when the PLL in the HSC uses a PI controller and the VCL employs VI control. The results in Figure 15 are similar to those in Figure 14. This is because the PI control characteristic of the PLL regulates usq tightly around 0. In this case, variations in Kh have no effect on the equivalent active power reference.

4.3. Comparison of the RAS Under Different Control Strategies

According to the above analysis, different values of Kh influence the domain of RAS. Therefore, to compare the transient stability under different control strategies, the RAS for the four control combinations are analyzed and compared under various values of Kh.
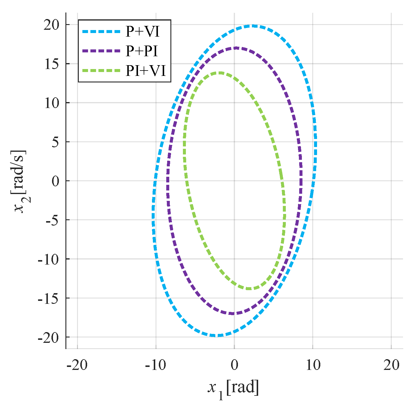
As shown in Figure 16, when Kh = 0.8, the control combinations in which the P + PI control combination exhibit the largest RAS and thus the best transient stability. This is followed by the P + VI control combination. This occurs because, with a relatively large Kh, the second term on the right side of (9) remains small, causing only slight changes in the active power reference. During grid voltage dips, if the VCL adopts VI control, the drop in PCC voltage causes the power-angle curve to shift downward, potentially losing an equilibrium point. Conversely, applying PI control in the VCL keeps the PCC voltage almost constant, which reduces the downward shift in the power-angle curve and improves transient stability.
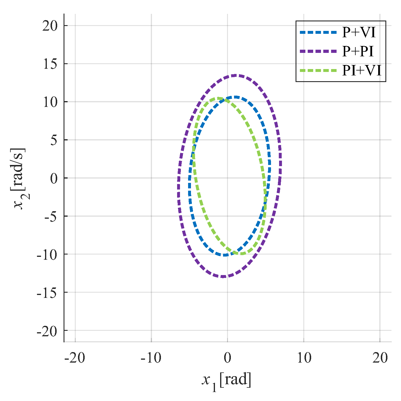
As shown in Figure 17, when Kh = 0.5, the RAS under the first two control combinations exhibit minimal differences, while the system with the PI + VI control combination still shows the smallest RAS.
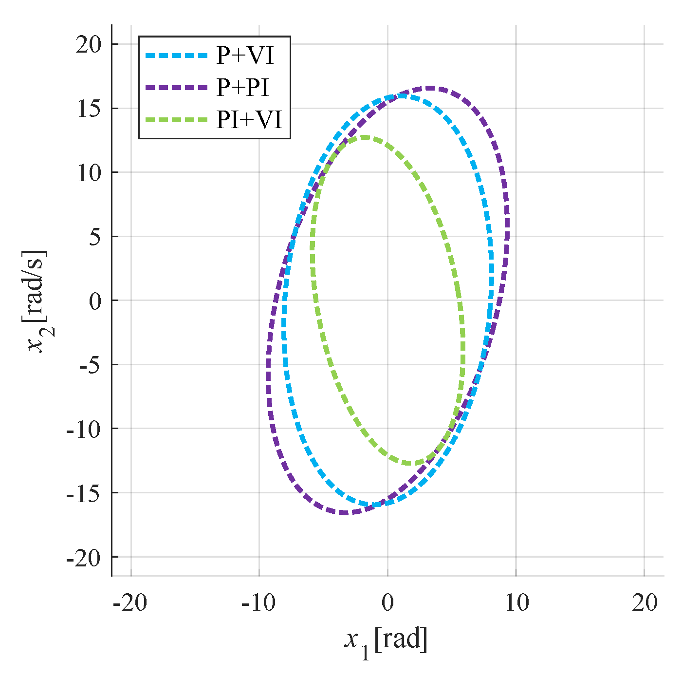
As shown in Figure 18, when Kh = 0.2, the system with P + VI control combination exhibits the largest RAS, indicating the best transient stability. As Kh decreases, the second term on the right-hand side of (9) increases, resulting in a more significant reduction in the active power reference following a voltage sag. Consequently, the P + VI control combination provides the best transient stability under this condition.
Finally, the RAS for the four control combinations are compared with and without Q-U control. Since the previous analysis of the impact of Q-U control on system transient stability is generally applicable to all four control combinations, this section selects the system with P + VI control combination for the comparison of RAS.
As shown in Figure 19, the results show that after incorporating Q-U control, the RAS become smaller, indicating a degradation in transient stability. This observation is consistent with the previous analysis.

5. Simulation Verification

To validate the previous analysis, a simulation model was developed using PSCAD/EMTDC. Key simulation parameters are listed in Table 1. The structure of the simulation model adopted in PSCAD is shown in Figure 1, and its control strategy and configuration are completely consistent with those of the model in Section 2 and the T-S fuzzy model.

5.1. Effect of Kh on the Transient Stability with Different Control

To verify the above comparative analysis of the RAS under different control, several sets of comparative simulations were designed. The specific simulation results are shown in Table 2.
As presented in Table 2, with Kh, the P + VI control combination allows the system to maintain stability under deeper grid voltage dip, demonstrating superior transient stability. As Kh increases, the transient stability of the system with the P + VI control combination gradually decreases, while that of the other two combinations declines slightly. When Kh = 0.8, the transient stability of the system under the P + PI control combination becomes slightly better than that under the P + VI control combination. Overall, the P + VI control combination provides the best transient stability when Kh is small. As Kh increases, the P + PI control combination shows slightly better transient stability than the P + VI control. The PI + VI control combination results in the worst transient stability among the three.
The aforementioned simulations were conducted under a grid strength with SCR = 3. To address the limitation of limited simulation cases and enhance the generalizability of research conclusions, this section expands the simulation scenarios by incorporating two typical grid strength conditions—extremely weak grid (SCR = 1.5) and strong grid (SCR = 10). Based on the same disturbance scenario, the specific simulation results are shown in Table 3 and Table 4.
As can be seen from the quantitative results in Table 4 (extremely weak grid) and Table 5 (strong grid): when the system operates in an extremely weak grid with SCR = 1.5 or a strong grid with SCR = 10, the minimum grid voltage it can withstand is higher than that in the medium-weak grid scenario with SCR = 3 in Table 2, indicating that the system’s transient stability is reduced compared with the SCR = 3 condition. However, the performance variation trends under different grid strengths are still highly consistent with the qualitative conclusions drawn earlier: reducing Kh can effectively improve the system’s transient stability; the P + VI control combination exhibits the optimal transient stability at small Kh values, while the P + PI control combination performs best at large Kh values; the PI + VI control combination maintains the worst transient stability regardless of grid strength.
To further deepen the analysis of simulation results and quantitatively verify the regulatory laws of the HSC proportional coefficient Kh on the system damping coefficient and moment of inertia, this section introduces two core dynamic response indicators: maximum power angle overshoot and transient recovery time. Combined with different control combinations and Kh values, the intrinsic mechanism of system transient stability is revealed through quantitative comparison, forming a complementary verification loop with the qualitative analysis and RAS quantitative analysis in previous sections.
Table 5 and Table 6 present a comparison of the maximum power angle overshoot and transient recovery time under different control combinations and Kh values when the grid voltage sags to 0.8 p.u.
As shown in Table 5, with the decrease of Kh, the power angle overshoot of the system under all control combinations decreases. According to (9), a reduction in Kh increases the system damping coefficient, thereby suppressing power angle oscillations and reducing overshoot—this quantitative result verifies the qualitative analysis in previous sections regarding the correlation between damping coefficient and overshoot. In addition, since the usd amplitude under PI-controlled VCL is higher than that under VI-controlled VCL, and PI control features fast response characteristics, the power angle overshoot of the P + PI control combination is significantly lower than that of the other two combinations.
As indicated in Table 6, the decrease of Kh leads to prolonged transient recovery time of the system under all control combinations. Based on (9), a lower Kh corresponds to a larger system moment of inertia, and greater inertia requires more time for the system to return to the new steady-state operating point. Among the combinations, the P + PI control combination has a relatively shorter transient recovery time due to the faster response speed of its VCL; since the transient recovery time in this paper is calculated based on the power angle recovery time, and the PLL with PI controller has a faster power angle response speed, the PI + VI control combination achieves the shortest transient recovery time.
To more clearly illustrate the waveform dynamics in PSCAD simulations, we present simulation waveform diagrams for selected operating conditions in Appendix B.

5.2. Effect of Q-U Control on the Transient Stability with Different Control

To confirm the earlier findings regarding Q-U control’s effect on transient stability, a set of comparative simulations was performed, and the outcomes are summarized in Table 7. It can be observed that with the implementation of Q-U control, the transient stability deteriorates across all control combinations, as indicated by the increase in the minimum grid voltage that the system can withstand under fault conditions. This confirms the conclusion presented earlier that the inclusion of Q-U control adversely affects the transient stability of the system.

6. Conclusions

This paper investigates the large-signal stability of HSC-based VSCs under different control strategies. The main findings are as follows:
(1) Reducing the HSC coefficient Kh improves transient stability, with the most pronounced effect in the P + VI combination. For example, under SCR = 3, decreasing Kh from 0.9 to 0.3 enables the P + VI combination to withstand complete voltage sags, while reducing the maximum power angle overshoot from 1.35 p.u. to 1.3 p.u. and prolonging the transient recovery time from 0.5 s to 1.5 s.
(2) The optimal control combination depends on Kh: When Kh is large, the P + PI combination achieves the best stability with a smaller power angle overshoot (1.31 p.u.). As Kh decreases, the P + VI combination becomes optimal. The PI + VI combination consistently performs the worst, with ugF = 0.57 p.u. and the largest power angle overshoot (up to 1.41 p.u.).
(3) Q-U control deteriorates transient stability by reducing the PCC voltage during faults. For the P + VI combination, enabling Q-U control increases ugF from 0 p.u. to 0.21 p.u., confirming its adverse effect.

Author Contributions

Conceptualization, H.X. and Y.H.; methodology, P.Y.; validation, K.G.; formal analysis, K.G.; investigation, K.G. and H.X.; writing—original draft preparation, K.G. and H.X.; writing—review and editing, Y.H., H.X. and P.Y.; visualization, K.G.; supervision, H.X.; funding acquisition, H.X. and Y.H. All authors have read and agreed to the published version of the manuscript.

Funding

This research was funded by National Natural Science Foundation of China, grant number U24B2076.

Data Availability Statement

The data will be made available on request.

Conflicts of Interest

The authors declare no conflicts of interest.

Appendix A

When the HSC-VSC adopts the P + VI control combination, the dynamic model of the system is given as follows. The dynamic models under other control combinations are similar and therefore are not listed here.
x 1 = x 2 x 2 = K h J K h 1 D m x 6 K h D K h x 2 J m ( 1 K h 1 ) f x 5 x 2 1.5 f x 5 x 3 + i 1 d 0 x 5 + f x 6 x 4 + i 1 q 0 x 6 x 3 = k p ( x 9 x 3 ) + k i x 11 R f x 3 L f x 4 = k p ( x 10 x 4 ) + k i x 12 R f x 4 L f x 5 = 1 C f x 3 + f x 2 x 6 + u o q 0 x 2 1 C f x 7 x 6 = 1 C f x 4 f x 2 x 5 u o d 0 x 2 1 C f x 8 x 7 = 1 L g x 5 + f x 2 x 8 + i o q 0 x 2 1 L g u g x 2 sin δ 0 x 8 = 1 L g x 6 f x 2 x 7 i o d 0 x 2 1 L g u g x 2 cos δ 0 x 9 = x 5 R v x 9 L v x 10 = x 6 R v x 10 L v x 11 = x 9 x 3 x 12 = x 10 x 4
x 1 = δ δ 0 , x 2 = ω ω 0 , x 3 = i 1 d i 1 d 0 x 4 = i 1 q i 1 q 0 , x 5 = u od u od 0 , x 6 = u oq u oq 0 x 7 = i o d i o d 0 , x 8 = i o q i o q 0 , x 9 = i 1 d _ r e f i 1 d _ r e f 0 x 10 = i 1 q _ r e f i 1 q _ r e f 0 , x 11 = ( i 1 d _ ref i 1 d ) d t , x 12 = ( i 1 q _ ref i 1 q ) d t
f x 2 = x 2 + ω 0 f x 5 = x 5 + u o d 0 f x 6 = x 6 + u o q 0

Appendix B

To verify the accuracy of the large-signal stability analysis in this paper, the following comparison plots of power angle and PCC voltage fluctuations are provided for the three control combinations when the grid voltage drops to 0.5 p.u.
Figure A1. Simulated waveform verification when ugF = 0.5 p.u. (a) With P + VI control. (b) With P + PI control. (c) With PI + VI control.
Figure A1. Simulated waveform verification when ugF = 0.5 p.u. (a) With P + VI control. (b) With P + PI control. (c) With PI + VI control.
Electronics 15 00269 g0a1

References

  1. Matevosyan, J.; MacDowell, J.; Miller, N.; Badrzadeh, B.; Ramasubramanian, D.; Isaacs, A.; Quint, R.; Quitmann, E.; Pfeiffer, R.; Urdal, H.; et al. A future with inverter-based resources: Finding strength from traditional weakness. IEEE Power Energy Mag. 2021, 19, 18–29. [Google Scholar] [CrossRef]
  2. Zeng, Z.; Zhao, J.; Zhang, S.; Mao, L.; Qu, K. Sensitivity analysis of different controller parameters on the stability of the weak-grid-tied interlinking VSC. Prot. Control. Mod. Power Syst. 2025, 10, 40–51. [Google Scholar]
  3. Tiwari, K.; Singh, B. Regulation of parallel converters based AC microgrid considering non-ideal grid conditions. Energy Convers. Econ. 2025, 6, 1–12. [Google Scholar]
  4. Liang, Z.; Chung, C.Y.; Zhang, W.; Wang, Q.; Lin, W.; Wang, C. Enabling High-Efficiency Economic Dispatch of Hybrid AC/DC Networked Microgrids: Steady-State Convex Bi-Directional Converter Models. IEEE Trans. Smart Grid 2025, 16, 45–61. [Google Scholar]
  5. Xiao, H.; Gan, H.; Huang, Y.; Zhang, L.; Yang, P. Review on Emerging Collection and Transmission Technologies for Large-Scale Offshore Wind Power. J. Mod. Power Syst. Clean Energy 2025, 1–17. Available online: https://ieeexplore.ieee.org/document/11262757 (accessed on 4 January 2026).
  6. Rathnayake, D.B.; Akrami, M.; Phurailatpam, C.; Me, S.P.; Hadavi, S.; Jayasinghe, G.; Zabihi, S.; Bahrani, B. Grid forming inverter modeling, control, and applications. IEEE Access 2021, 9, 114781–114807. [Google Scholar] [CrossRef]
  7. Wang, X.; Taul, M.G.; Wu, H.; Liao, Y.; Blaabjerg, F.; Harnefors, L. Grid-synchronization stability of converter-based resources—An overview. IEEE Open J. Ind. Appl. 2020, 1, 115–134. [Google Scholar] [CrossRef]
  8. Zhou, J.Z.; Ding, H.; Fan, S.; Zhang, Y.; Gole, A.M. Impact of short-circuit ratio and phase-locked-loop parameters on the small-signal behavior of a VSC-HVDC converter. IEEE Trans. Power Deliv. 2014, 29, 2287–2296. [Google Scholar] [CrossRef]
  9. Zhu, Q.; Xiao, H.; Yang, Q.; Yang, P.; Dong, Y.; Zhang, L. General and Efficient Simulation Model for Energy Storage-Embedded MMC with Adaptability to Multiple Submodule Topologies. IEEE Trans. Ind. Appl. 2025, 1–11. [Google Scholar] [CrossRef]
  10. Alam, M.R.; Muttaqi, K.M.; Bouzerdoum, A. Characterizing voltage sags and swells using three-phase voltage ellipse parameters. IEEE Trans. Ind. Appl. 2015, 51, 2780–2790. [Google Scholar] [CrossRef]
  11. Harnefors, L.; Kukkola, J.; Routimo, M.; Hinkkanen, M.; Wang, X. A universal controller for grid-connected voltage-source converters. IEEE J. Emerg. Sel. Top. Power Electron. 2021, 9, 5761–5770. [Google Scholar] [CrossRef]
  12. Liu, T.; Wang, X. Physical insight into hybrid-synchronization-controlled grid-forming inverters under large disturbances. IEEE Trans. Power Electron. 2022, 37, 11475–11480. [Google Scholar]
  13. Xiao, H.; He, H.; Zhang, L.; Liu, T. Adaptive grid-synchronization based grid-forming control for voltage source converters. IEEE Trans. Power Syst. 2024, 39, 4763–4766. [Google Scholar]
  14. Xiao, H.; Gong, K.; Gan, H. Adaptive LVRT Control Strategy for VSC Based on Hybrid Synchronization Control. IEEE Access 2025, 13, 88972–88983. [Google Scholar] [CrossRef]
  15. Liu, P.; Xie, X.; Shair, J. Adaptive Hybrid Grid-Forming and Grid-Following Control of IBRs with Enhanced Small-Signal Stability Under Varying SCRs. IEEE Trans. Power Electron. 2024, 39, 6603–6607. [Google Scholar]
  16. Ruiliang, Y.; Chao, W.; Zhewei, Z.; Pengfei, H.; Yanxue, Y.; Longyue, W. Fault Ride-through Strategy for Back-to-back Devices Based on Hybrid Synchronization Control. In Proceedings of the 2023 6th Asia Conference on Energy and Electrical Engineering (ACEEE), Chengdu, China, 21–23 July 2023; pp. 328–333. [Google Scholar]
  17. Xu, T.; Jiang, S.; Konstantinou, G. Current Saturation Ratio-Based Hybrid Synchronization Control of Grid-Forming Converters. IEEE Trans. Power Electron. 2026, 41, 214–220. [Google Scholar]
  18. Diao, W. Modified Hybrid Synchronization Control for GFM Inverters in Output Power Tracking, Oscillation Suppression, and Transient Synchronization Stability Improvement. IEEE Access 2025, 13, 144385–144396. [Google Scholar] [CrossRef]
  19. Zhong, Q.; Zhang, K.; Chang, S.; Wang, S.; Feng, Z.; Yang, Z. Modeling and Analysis of Grid-Tied VSC with Hybrid Synchronization Control. In Proceedings of the 2025 IEEE 16th International Symposium on Power Electronics for Distributed Generation Systems (PEDG), Nanjing, China, 22–25 June 2025; pp. 708–713. [Google Scholar]
  20. Huang, S.; Yao, J.; Pei, J.; Chen, S.; Luo, Y.; Chen, Z. Transient Synchronization Stability Improvement Control Strategy for Grid-Connected VSC Under Symmetrical Grid Fault. IEEE Trans. Power Electron. 2022, 37, 4957–4961. [Google Scholar] [CrossRef]
  21. Liu, T.; Wang, X. Transient Stability of Single-Loop Voltage-Magnitude Controlled Grid-Forming Converters. IEEE Trans. Power Electron. 2021, 36, 6158–6162. [Google Scholar] [CrossRef]
  22. Cheng, H.; Shuai, Z.; Shen, C.; Liu, X.; Li, Z.; Shen, Z.J. Transient Angle Stability of Paralleled Synchronous and Virtual Synchronous Generators in Islanded Microgrids. IEEE Trans. Power Electron. 2020, 35, 8751–8765. [Google Scholar] [CrossRef]
  23. Zhao, F.; Shuai, Z.; Huang, W.; Shen, Y.; Shen, Z.J.; Shen, C. A Unified Model of Voltage-Controlled Inverter for Transient Angle Stability Analysis. IEEE Trans. Power Deliv. 2022, 37, 2275–2288. [Google Scholar]
  24. Duan, Z.; Meng, Y.; Zhao, P.; Yan, S.; Wang, X.; Wang, X. Interaction Large-Signal Stability Analysis of M3C and GFM/GFL Hybrid Control Strategies Converters Based on the Novel Fuzzy Tensor Space Method. IEEE Trans. Power Electron. 2025, 40, 9986–9999. [Google Scholar]
  25. Marx, D.; Magne, P.; Nahid-Mobarakeh, B.; Pierfederici, S.; Davat, B. Large signal stability analysis tools in DC power systems with constant power loads and variable power loads—A review. IEEE Trans. Power Electron. 2012, 27, 1773–1787. [Google Scholar] [CrossRef]
  26. Duan, Z.; Meng, Y.; Wang, T.; Zhang, H.; Wang, X.; Wang, X. Large-Signal Stability Analysis Using Takagi-Sugeno Fuzzy Model Theory for Fractional Frequency Transmission System Under Grid Faults. IEEE Trans. Power Syst. 2024, 39, 2227–2238. [Google Scholar] [CrossRef]
  27. Shen, C.; Shuai, Z.; Shen, Y.; Peng, Y.; Liu, X.; Li, Z.; Shen, Z.J. Transient Stability and Current Injection Design of Paralleled Current-Controlled VSCs and Virtual Synchronous Generators. IEEE Trans. Smart Grid 2021, 12, 1118–1134. [Google Scholar]
  28. Duan, Z.; Meng, Y.; Duan, Y.; Zhang, H.; Wang, X.; Wang, X. Large-Signal Stability Analysis and Enhancement of Modular Multilevel Matrix Converter Under Power Fluctuation Based on T-S Fuzzy Model Theory. IEEE Trans. Power Electron. 2023, 38, 14601–14613. [Google Scholar]
  29. Kabalan, M.; Singh, P.; Niebur, D. Nonlinear Lyapunov Stability Analysis of Seven Models of a DC/AC Droop Controlled Inverter Connected to an Infinite Bus. IEEE Trans. Smart Grid 2019, 10, 772–781. [Google Scholar] [CrossRef]
  30. Takagi, T.; Sugeno, M. Fuzzy identification of systems and its applications to modeling and control. IEEE Trans. Syst. Man Cybern. 1985, 15, 116–132. [Google Scholar]
Figure 1. Equivalent circuit of the HSC-based VSC system.
Figure 1. Equivalent circuit of the HSC-based VSC system.
Electronics 15 00269 g001
Figure 2. Control scheme of the HSC.
Figure 2. Control scheme of the HSC.
Electronics 15 00269 g002
Figure 3. Control scheme of VCL.
Figure 3. Control scheme of VCL.
Electronics 15 00269 g003
Figure 4. Equivalent circuit of the HSC-based VSC system under VI control.
Figure 4. Equivalent circuit of the HSC-based VSC system under VI control.
Electronics 15 00269 g004
Figure 5. System vector diagram with VI control in VCL.
Figure 5. System vector diagram with VI control in VCL.
Electronics 15 00269 g005
Figure 6. P-δ curves when PLL with proportional control and VCL with VI control. (a) No stable operating point exists after the fault. (b) A stable operating point exists after the fault.
Figure 6. P-δ curves when PLL with proportional control and VCL with VI control. (a) No stable operating point exists after the fault. (b) A stable operating point exists after the fault.
Electronics 15 00269 g006
Figure 7. System vector diagram with PI control in VCL.
Figure 7. System vector diagram with PI control in VCL.
Electronics 15 00269 g007
Figure 8. P-δ curves when VCL with PI control.
Figure 8. P-δ curves when VCL with PI control.
Electronics 15 00269 g008
Figure 9. P-δ curves when PLL with PI control and voltage control loop with VI control.
Figure 9. P-δ curves when PLL with PI control and voltage control loop with VI control.
Electronics 15 00269 g009
Figure 10. Q-U control loop.
Figure 10. Q-U control loop.
Electronics 15 00269 g010
Figure 11. P-δ curves with or without Q-U control.
Figure 11. P-δ curves with or without Q-U control.
Electronics 15 00269 g011
Figure 12. Maximum output active power under different SCR.
Figure 12. Maximum output active power under different SCR.
Electronics 15 00269 g012
Figure 13. Comparison of the RAS under P + VI with different Kh.
Figure 13. Comparison of the RAS under P + VI with different Kh.
Electronics 15 00269 g013
Figure 14. Comparison of the RAS under P + PI with different Kh.
Figure 14. Comparison of the RAS under P + PI with different Kh.
Electronics 15 00269 g014
Figure 15. Comparison of the RAS under PI + VI with different Kh.
Figure 15. Comparison of the RAS under PI + VI with different Kh.
Electronics 15 00269 g015
Figure 16. Comparison of the RAS when Kh = 0.8.
Figure 16. Comparison of the RAS when Kh = 0.8.
Electronics 15 00269 g016
Figure 17. Comparison of the RAS when Kh = 0.5.
Figure 17. Comparison of the RAS when Kh = 0.5.
Electronics 15 00269 g017
Figure 18. Comparison of the RAS when Kh = 0.2.
Figure 18. Comparison of the RAS when Kh = 0.2.
Electronics 15 00269 g018
Figure 19. Comparison of the attraction domain with or without Q-U control.
Figure 19. Comparison of the attraction domain with or without Q-U control.
Electronics 15 00269 g019
Table 1. System Parameters.
Table 1. System Parameters.
ParametersValue
Grid voltage ug690 V
Filter capacitor Cf3.6 × 10−4 F
Filter inductance Lf0.05 mH
Grid inductance Lg0.34 mH
Rated active power P01.5 MW
Nominal angular frequency ω0314 rad/s
Table 2. Minimum Stable Grid Voltage with different Kh (SCR = 3).
Table 2. Minimum Stable Grid Voltage with different Kh (SCR = 3).
P + VIP + PIPI + VI
Kh = 0.3ugF = 0 p.u.ugF = 0.20 p.u.ugF = 0.57 p.u.
Kh = 0.6ugF = 0.17 p.u.ugF = 0.23 p.u.ugF = 0.61 p.u.
Kh = 0.9ugF = 0.43 p.u.ugF = 0.24 p.u.ugF = 0.63 p.u.
Table 3. Minimum Stable Grid Voltage with different Kh (SCR = 1.5).
Table 3. Minimum Stable Grid Voltage with different Kh (SCR = 1.5).
P + VIP + PIPI + VI
Kh = 0.3ugF = 0.28 p.u.ugF = 0.58 p.u.ugF = 0.81 p.u.
Kh = 0.6ugF = 0.48 p.u.ugF = 0.64 p.u.ugF = 0.88 p.u.
Kh = 0.9ugF = 0.72 p.u.ugF = 0.68 p.u.ugF = 0.92 p.u.
Table 4. Minimum Stable Grid Voltage with different Kh (SCR = 10).
Table 4. Minimum Stable Grid Voltage with different Kh (SCR = 10).
P + VIP + PIPI + VI
Kh = 0.3ugF = 0.12 p.u.ugF = 0.24 p.u.ugF = 0.35 p.u.
Kh = 0.6ugF = 0.25 p.u.ugF = 0.31 p.u.ugF = 0.42 p.u.
Kh = 0.9ugF = 0.42 p.u.ugF = 0.35 p.u.ugF = 0.45 p.u.
Table 5. Maximum power angle overshoot with different Kh.
Table 5. Maximum power angle overshoot with different Kh.
P + VIP + PIPI + VI
Kh = 0.3δmax = 1.30 p.u.δmax = 1.22 p.u.δmax = 1.35 p.u.
Kh = 0.6δmax = 1.33 p.u.δmax = 1.28 p.u.δmax = 1.38 p.u.
Kh = 0.9δmax = 1.35 p.u.δmax = 1.31 p.u.δmax = 1.41 p.u.
Table 6. Transient recovery time with different Kh.
Table 6. Transient recovery time with different Kh.
P + VIP + PIPI + VI
Kh = 0.3tr = 1.51 str = 1.23 str = 1.05 s
Kh = 0.6tr = 0.82 str = 0.77 str = 0.73 s
Kh = 0.9tr = 0.51 str = 0.41 str = 0.45 s
Table 7. Minimum Stable Grid Voltage.
Table 7. Minimum Stable Grid Voltage.
P + VIP + PIPI + VI
With Q-U controlugF = 0.21 p.u.ugF = 0.33 p.u.ugF = 0.65 p.u.
Without Q-U controlugF = 0 p.u.ugF = 0.18 p.u.ugF = 0.52 p.u.
Disclaimer/Publisher’s Note: The statements, opinions and data contained in all publications are solely those of the individual author(s) and contributor(s) and not of MDPI and/or the editor(s). MDPI and/or the editor(s) disclaim responsibility for any injury to people or property resulting from any ideas, methods, instructions or products referred to in the content.

Share and Cite

MDPI and ACS Style

Gong, K.; Xiao, H.; Huang, Y.; Yang, P. Large Signal Stability Analysis of Grid-Connected VSC Based on Hybrid Synchronization Control. Electronics 2026, 15, 269. https://doi.org/10.3390/electronics15020269

AMA Style

Gong K, Xiao H, Huang Y, Yang P. Large Signal Stability Analysis of Grid-Connected VSC Based on Hybrid Synchronization Control. Electronics. 2026; 15(2):269. https://doi.org/10.3390/electronics15020269

Chicago/Turabian Style

Gong, Kai, Huangqing Xiao, Ying Huang, and Ping Yang. 2026. "Large Signal Stability Analysis of Grid-Connected VSC Based on Hybrid Synchronization Control" Electronics 15, no. 2: 269. https://doi.org/10.3390/electronics15020269

APA Style

Gong, K., Xiao, H., Huang, Y., & Yang, P. (2026). Large Signal Stability Analysis of Grid-Connected VSC Based on Hybrid Synchronization Control. Electronics, 15(2), 269. https://doi.org/10.3390/electronics15020269

Note that from the first issue of 2016, this journal uses article numbers instead of page numbers. See further details here.

Article Metrics

Back to TopTop